A Promising Process to Remove Nitrate from Solar Panel Production Wastewater and Meanwhile Generating Electricity
Abstract
:1. Introduction
2. Materials and Methods
2.1. The Characteristics of Actual Wastewater
2.2. Construction of Microbial Fuel Cell
2.3. Experiments Design and Basic Analysis
2.4. Denitrification Efficiency
2.5. Electrochemical Efficiency
2.5.1. The Output Voltage and Conversion Efficiency
2.5.2. The Cyclic Voltammetry Method
2.5.3. Electrochemical Impedance Spectroscopy (EIS) Test
2.6. Microbial Community Analysis
3. Results and Discussion
3.1. Denitrification Efficiency
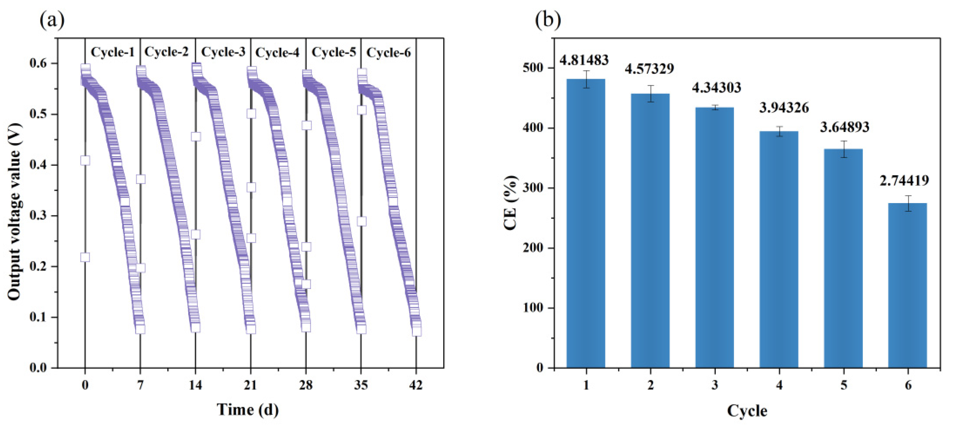
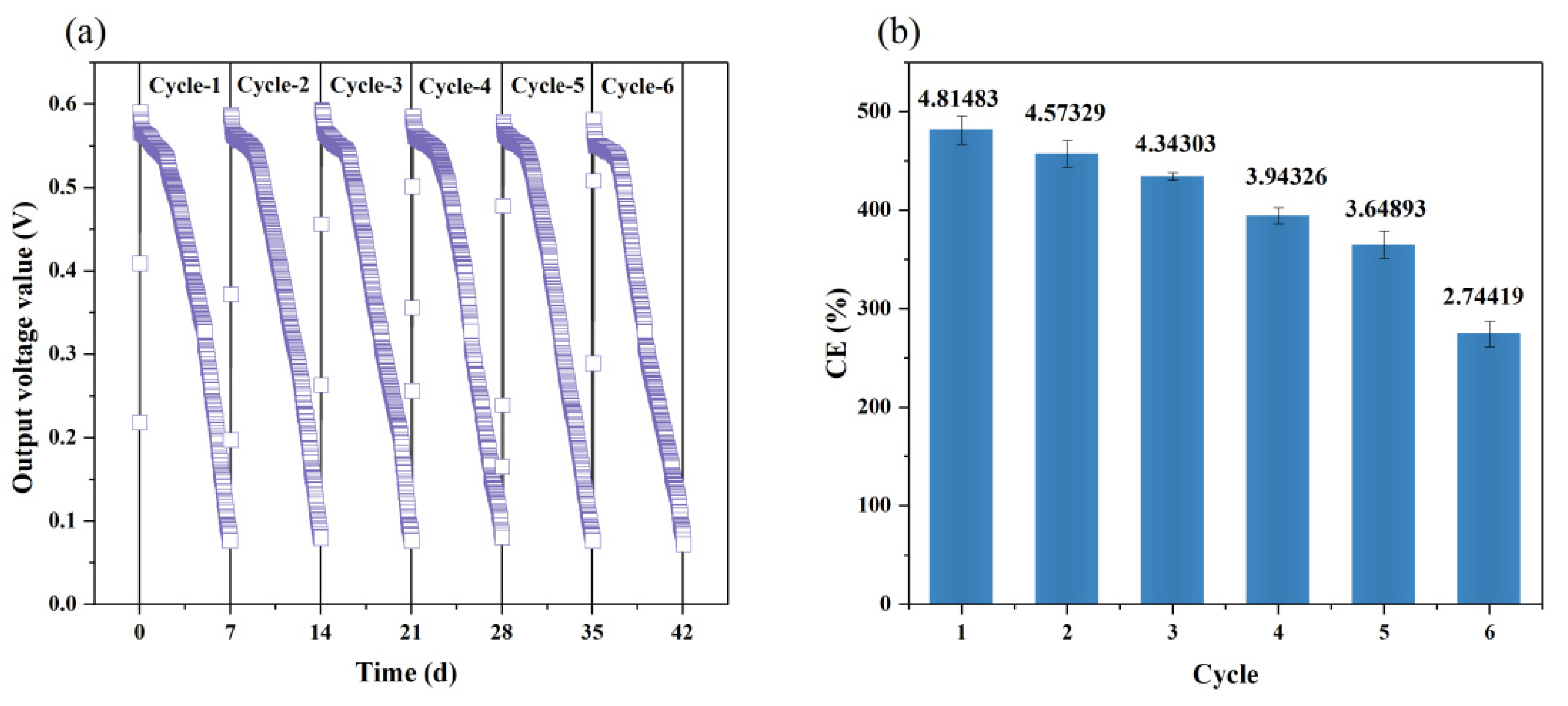
3.2. Electrochemical Efficiency
3.3. Microbial Community Analysis of Bio-Cathode Biofilm
4. Conclusions
Supplementary Materials
Author Contributions
Funding
Data Availability Statement
Conflicts of Interest
References
- Fang, S.B.; Zhang, J.X.; Niu, Y.F.; Ju, S.H.; Gu, Y.W.; Han, K.; Wan, X.X.; Li, N.; Zhou, Y. Removal of nitrate nitrogen from wastewater by green synthetic hydrophilic activated carbon supported sulfide modified nanoscale zerovalent Iron: Characterization, performance and mechanism. Chem. Eng. J. 2023, 461, 141990. [Google Scholar] [CrossRef]
- Hui, K.L.; Yuan, Y.; Xi, B.D.; Tan, W.B. A review of the factors affecting the emission of the ozone chemical precursors VOCs and NOx from the soil. Environ. Int. 2023, 172, 107799. [Google Scholar] [CrossRef] [PubMed]
- Egrinya Eneji, A.; Islam, R.; An, P.; Amalu, U.C. Nitrate retention and physiological adjustment of maize to soil amendment with superabsorbent polymers. J. Clean. Prod. 2013, 52, 474–480. [Google Scholar] [CrossRef]
- Kassaee, M.; Motamedi, E.; Mikhak, A.; Rahnemaie, R. Nitrate removal from water using iron nanoparticles produced by arc discharge vs. reduction. Chem. Eng. J. 2011, 166, 490–495. [Google Scholar] [CrossRef]
- Meng, S.; Ling, Y.; Yang, M.Y.; Zhao, X.G.; Osman, A.I.; Al-Muhtaseb, A.H.; Rooney, D.W.; Yap, P.S. Recent research progress of electrocatalytic reduction technology for nitrate wastewater: A review. J. Environ. Chem. Eng. 2023, 11, 109418. [Google Scholar] [CrossRef]
- Zou, X.Y.; Chen, C.J.; Wang, C.H.; Zhang, Q.; Yu, Z.W.; Wu, H.P.; Zhuo, C.; Zhang, T.C. Combining electrochemical nitrate reduction and anammox for treatment of nitrate-rich wastewater: A short review. Sci. Total Environ. 2021, 800, 149645. [Google Scholar] [CrossRef] [PubMed]
- Ghafari, S.; Hasan, M.; Aroua, M.K. Bio-electrochemical removal of nitrate from water and wastewater—A review. Bioresour. Technol. 2008, 99, 3965–3974. [Google Scholar] [CrossRef]
- Zhang, H.; Li, H.F.; Gao, D.D.; Yu, H.R. Source identification of surface water pollution using multivariate statistics combined with physicochemical and socioeconomic parameters. Sci. Total Environ. 2021, 806, 12. [Google Scholar] [CrossRef]
- Mohajeri, P.; Smith, C.M.S.; Chau, H.W.; Lehto, N. ALLODUST augmented activated sludge single batch anaerobic reactor (AS-SBAnR) for high concentration nitrate removal from agricultural wastewater. Sci. Total Environ. 2021, 752, 141905. [Google Scholar] [CrossRef]
- Wu, Y. Treatment process design of the wastewater from the production of silicon solar panels. Ind. Water Treat. 2021, 41, 138–142. [Google Scholar] [CrossRef]
- Shi, P.; Zhang, Y.; Song, J.; Li, P.; Wang, Y.-S.; Zhang, X.; Li, Z.-B.; Bi, Z.; Zhang, X.; Qin, Y.-L.; et al. Response of nitrogen pollution in surface water to land use and social-economic factors in the Weihe River watershed, northwest China. Sust. Cities Soc. 2019, 50, 9. [Google Scholar] [CrossRef]
- Kabuba, J.; Lephallo, J.; Rutto, H. Comparison of various technologies used to eliminate nitrogen from wastewater: A review. J. Water Process Eng. 2022, 48, 102885. [Google Scholar] [CrossRef]
- Moloantoa, K.M.; Khetsha, Z.P.; Van Heerden, E.; Castillo, J.C.; Cason, E.D. Nitrate Water Contamination from Industrial Activities and Complete Denitrification as a Remediation Option. Water 2022, 14, 799. [Google Scholar] [CrossRef]
- Zhou, X.L.; Bi, X.J.; Fan, X.; Yang, T.; Wang, X.D.; Chen, S.S.; Cheng, L.H.; Zhang, Y.; Zhao, W.H.; Zhao, F.C.; et al. Performance and bacterial community analysis of a two-stage A/O-MBBR system with multiple chambers for biological nitrogen removal. Chemosphere 2022, 303, 135195. [Google Scholar] [CrossRef]
- Moghaddam, R.; Torres-Rojas, D.; Schipper, L. Enhanced nitrate removal and side effects of methanol dosing in denitrifying bioreactors. Ecol. Eng. 2022, 185, 106818. [Google Scholar] [CrossRef]
- Chen, L.; Zhang, W.M.; Shen, Y.J.; Zhou, B. Practical operation of solar battery wastewater treatment plant. Ind. Water Treat. 2022, 42, 168–172. [Google Scholar] [CrossRef]
- Chung, J.; Amin, K.; Kim, S.; Yoon, S.; Kwon, K.; Bae, W. Autotrophic denitrification of nitrate and nitrite using thiosulfate as an electron donor. Water Res. 2014, 58, 169–178. [Google Scholar] [CrossRef]
- Rezvani, F.; Sarrafzadeh, M.H.; Ebrahimi, S.; Oh, H.M. Nitrate removal from drinking water with a focus on biological methods: A review. Environ. Sci. Pollut. Res. 2019, 26, 1124–1141. [Google Scholar] [CrossRef]
- Saran, H.; Purchase, D.; Saratale, G.D.; Saratale, R.G.; Romanholo Ferreira, L.F.; Bilal, M.; Iqbal, H.M.N.; Hussain, C.M.; Mulla, S.I.; Bharagava, R.N. Microbial fuel cell: A green eco-friendly agent for tannery wastewater treatment and simultaneous bioelectricity/power generation. Chemosphere 2023, 312, 137072. [Google Scholar] [CrossRef]
- Wang, S.F.; Liu, B.Y.; Tan, G.T.; Wang, R.; Yuan, L.J. Parameters’optimization of autotrophic denitrification on bio-cathode with iron as anode. Acta Sci. Circumstantiae 2022, 42, 137–145. [Google Scholar] [CrossRef]
- Clauwaert, P.; Aelterman, P.; Pham, T.H.; De Schamphelaire, L.; Carballa, M.; Rabaey, K.; Verstraete, W. Minimizing losses in bio-electrochemical systems: The road to applications. Appl. Microbiol. Biotechnol. 2008, 79, 901–913. [Google Scholar] [CrossRef]
- Wu, D.; Yi, X.; Tang, R.; Feng, C.; Wei, C. Single microbial fuel cell reactor for coking wastewater treatment: Simultaneous carbon and nitrogen removal with zero alkaline consumption. Sci. Total Environ. 2018, 621, 497–506. [Google Scholar] [CrossRef]
- Virdis, B.; Rabaey, K.; Yuan, Z.; Keller, J. Microbial fuel cells for simultaneous carbon and nitrogen removal. Water Res. 2008, 42, 3013–3024. [Google Scholar] [CrossRef]
- Xie, B.; Dong, W.; Liu, B.; Liu, H. Enhancement of pollutants removal from real sewage by embedding microbial fuel cell in anaerobic-anoxic-oxic wastewater treatment process. J. Chem. Technol. Biotechnol. 2014, 89, 448–454. [Google Scholar] [CrossRef]
- Xie, B.; Liu, B.; Yi, Y.; Yang, L.; Liang, D.; Zhu, Y.; Liu, H. Microbiological Mechanism of the Improved Nitrogen and Phosphorus Removal by Embedding Microbial Fuel Cell in Anaerobic-Anoxic-Oxic Wastewater Treatment Process. Bioresour. Technol. 2016, 207, 109–117. [Google Scholar] [CrossRef]
- Ding, A.Q.; Zhao, D.; Ding, F.; Du, S.W.; Lu, H.J.; Zhang, M.; Zheng, P. Effect of inocula on performance of bio-cathode denitrification and its microbial mechanism. Chem. Eng. J. 2018, 343, 399–407. [Google Scholar] [CrossRef]
- Wang, H.; Wang, Q.; Li, X.; Wang, Y.; Jin, P.; Zheng, Y.; Huang, J.; Li, Q. Bioelectricity generation from the decolorization of reactive blue 19 by using microbial fuel cell. J. Environ. Manag. 2019, 248, 109310. [Google Scholar] [CrossRef]
- Li, Z.H.; Zhang, Q.H.; Jiang, Q.R.; Zhan, G.Q.; Li, D.P. The enhancement of iron fuel cell on bio-cathode denitrification and its mechanism as well as the microbial community analysis of bio-cathode. Bioresour. Technol. 2019, 274, 1–8. [Google Scholar] [CrossRef]
- Zhou, J.; Guan, W.X.; Wang, S.F.; Zhang, X.M. Electrochemical active surface area of Ti/IrO2+MnO2 electrodes in the acid solutions. Chem. Ind. Eng. Prog. 2019, 38, 3782–3787. [Google Scholar] [CrossRef]
- Shi, X.X. Research on cathodic structure and catalyst of air-cathode microbial fuel cells. Harbin Inst. Technol. 2013. [Google Scholar] [CrossRef]
- Wagner, N. Characterization of membrane electrode assemblies in polymer electrolyte fuel cells using a.c. impedance spectroscopy. J. Appl. Electrochem. 2002, 32, 859–863. [Google Scholar] [CrossRef]
- Li, X.; Wang, X.; Zhang, Y.; Zhao, Q.; Yu, B.; Li, Y.; Zhou, Q. Salinity and conductivity amendment of soil enhanced the bioelectrochemical degradation of petroleum hydrocarbons. Sci. Rep. 2016, 6, 32861. [Google Scholar] [CrossRef]
- Xiao, Y.; Zheng, Y.; Wu, S.; Yang, Z.H.; Zhao, F. Bacterial community structure of autotrophic denitrification biocathode by 454 pyrosequencing of the 16S rRNA gene. Microb. Ecol. 2015, 69, 492–499. [Google Scholar] [CrossRef]
- Xu, L.; Zhao, Y.Q.; Doherty, L.; Hu, Y.S.; Hao, X.D. Promoting the bio-cathode formation of a constructed wetland-microbial fuel cell by using powder activated carbon modified alum sludge in anode chamber. Sci. Rep. 2016, 6, 26514. [Google Scholar] [CrossRef] [PubMed]
- Gao, C.Q.; Yu, W.; Zhu, Y.C.; Wang, M.; Tang, Z.Z.; Du, L.; Hu, M.Y.; Fang, L.; Xiao, X.C. Preparation of porous silicate supported micro-nano zero-valent iron from copper slag and used as persulfate activator for removing organic contaminants. Sci. Total Environ. 2021, 754, 142131. [Google Scholar] [CrossRef]
- Liu, Y.; Wang, J.L. Reduction of nitrate by zero valent iron (ZVI)-based materials: A review. Sci. Total Environ. 2019, 671, 388–403. [Google Scholar] [CrossRef] [PubMed]
- Li, W.; Shan, X.Y.; Wang, Z.Y.; Lin, X.Y.; Li, X.C.; Cai, C.Y.; Abbas, G.; Zhang, M.; Shen, L.D.; Hu, Z.Q.; et al. Effect of self-alkalization on nitrite accumulation in a high-rate denitrification system: Performance, microflora and enzymatic activities. Water Res. 2016, 88, 758–765. [Google Scholar] [CrossRef]
- Deng, S.H.; Peng, S.; Ngo, H.H.; Jin-An Oh, S.; Hu, Z.F.; Yao, H.; Li, D.S. Characterization of nitrous oxide and nitrite accumulation during iron (Fe(0))- and ferrous iron (Fe(II))-driven autotrophic denitrification: Mechanisms, environmental impact factors and molecular microbial characterization. Chem. Eng. J. 2022, 438, 135627. [Google Scholar] [CrossRef]
- Freguia, S.; Rabaey, K.; Yuan, Z.; Keller, J. Electron and carbon balances in microbial fuel cells reveal temporary bacterial storage behavior during electricity generation. Environ. Sci. Technol. 2007, 41, 2915–2921. [Google Scholar] [CrossRef] [PubMed]
- Xia, X.; Tokash, J.C.; Zhang, F.; Liang, P.; Huang, X.; Logan, B.E. Oxygen-reducing biocathodes operating with passive oxygen transfer in microbial fuel cells. Environ. Sci. Technol. 2013, 47, 2085–2091. [Google Scholar] [CrossRef]
- Endut, Z.; Hamdi, M.; Basirun, W.J. An investigation on formation and electrochemical capacitance of anodized titania nanotubes. Appl. Surf. Sci. 2013, 280, 962–996. [Google Scholar] [CrossRef]
- Yin, Y.; Huang, G.; Chen, J.; Liu, Y. Electrochemical Behavior of Microbial Fuel Cell in a Start-up Phase. J. East. China Univ. Sci. Technol. Nat. Sci. Ed. 2014, 40, 190–195. [Google Scholar] [CrossRef]
- Wang, Y.; Chen, Y.; Wen, Q.; Zheng, H.; Xu, H.; Qi, L. Electricity generation, energy storage, and microbial-community analysis in microbial fuel cells with multilayer capacitive anodes. Energy 2019, 189, 116342. [Google Scholar] [CrossRef]
- Chang, C.C.; Kao, W.; Yu, C.P. Assessment of voltage reversal effects in the serially connected biocathode-based microbial fuel cells through treatment performance, electrochemical and microbial community analysis. Chem. Eng. J. 2020, 397, 125368. [Google Scholar] [CrossRef]
- Krishna, K.V.; Mohan, S.V. Selective enrichment of electrogenic bacteria for fuel cell application: Enumerating microbial dynamics using MiSeq platform. Bioresour. Technol. 2016, 213, 146–154. [Google Scholar] [CrossRef]
- Xu, X.; Zhao, Q.L.; Wu, M.S.; Ding, J.; Zhang, W.X. Biodegradation of organic matter and anodic microbial communities analysis in sediment microbial fuel cells with/without Fe(III) oxide addition. Bioresour. Technol. 2017, 225, 402–408. [Google Scholar] [CrossRef]
- Schilirò, T.; Tommasi, T.; Armato, C.; Hidalgo, D.; Traversi, D.; Bocchini, S.; Gilli, G.; Pirri, C.F. The study of electrochemically active planktonic microbes in microbial fuel cells in relation to different carbon-based anode materials. Energy 2016, 106, 277–284. [Google Scholar] [CrossRef]
- Chen, P.; Jiang, J.W.; Zhang, S.X.; Wang, X.Y.; Guo, X.Y.; Li, F.X. Enzymatic response and antibiotic resistance gene regulation by microbial fuel cells to resist sulfamethoxazole. Chemosphere 2023, 325, 138410. [Google Scholar] [CrossRef]
- Zhao, C.F.; Liu, B.; Meng, S.Y.; Wang, Y.H.; Yan, L.J.; Zhang, X.W.; Wei, D. Microbial fuel cell enhanced pollutants removal in a solid-phase biological denitrification reactor: System performance, bioelectricity generation and microbial community analysis. Bioresour. Technol. 2021, 341, 125909. [Google Scholar] [CrossRef]
- Ali, A.; Wu, Z.Z.; Li, M.; Su, J.F. Carbon to nitrogen ratios influence the removal performance of calcium, fluoride, and nitrate by Acinetobacter H12 in a quartz sand-filled biofilm reactor. Bioresour. Technol. 2021, 333, 125154. [Google Scholar] [CrossRef]
- Su, J.F.; Zheng, S.C.; Huang, T.L.; Ma, F.; Shao, S.C.; Yang, S.F.; Zhang, L.N. Characterization of the anaerobic denitrification bacterium Acinetobacter sp. SZ28 and its application for groundwater treatment. Bioresour. Technol. 2015, 192, 654–659. [Google Scholar] [CrossRef] [PubMed]
- Liu, H.; Matsuda, S.; Hashimoto, K.; Nakanishi, S. Flavins secreted by bacterial cells of Shewanella catalyze cathodic oxygen reduction. ChemSusChem 2012, 5, 1054–1058. [Google Scholar] [CrossRef] [PubMed]
- Chen, F.; Li, Z.L.; Ye, Y.; Lv, M.; Liang, B.; Yuan, Y.; Cheng, H.Y.; Liu, Y.; He, Z.W.; Wang, H.C.; et al. Coupled sulfur and electrode-driven autotrophic denitrification for significantly enhanced nitrate removal. Water Res. 2022, 220, 118675. [Google Scholar] [CrossRef] [PubMed]
- Park, H.I.; Kim, J.S.; Kim, D.K.; Choi, Y.J.; Pak, D. Nitrate-reducing bacterial community in a biofilm-electrode reactor. Enzym. Microb. Technol. 2006, 39, 453–458. [Google Scholar] [CrossRef]
- Khanongnuch, R.; Di Capua, F.; Lakaniemi, A.M.; Rene, E.R.; Lens, P.N. H2S removal and microbial community composition in an anoxic biotrickling filter under autotrophic and mixotrophic conditions. J. Hazard. Mater. 2019, 367, 397–406. [Google Scholar] [CrossRef]
- Burgmann, H.; Jenni, S.; Vazquez, F.; Udert, K.M. Regime shift and microbial dynamics in a sequencing batch reactor for nitrification and anammox treatment of urine. Appl. Environ. Microbiol. 2011, 77, 5897–5907. [Google Scholar] [CrossRef]





| Water Quality Index | Concentration | Water Quality Index | Concentration |
|---|---|---|---|
| NO3− -N | 340.6 mg/L | pH | 2.5 |
| Ca2+ | 103.8 mg/L | conductivity | 4.9 ms/cm |
| Mg2+ | 41.8 mg/L | turbidity | 0 UNT |
| Na2+ | 287.9 mg/L | COD | 76.9 mg/L |
| K+ | 18.7 mg/L | ORP | 462 mV |
| NH4+ -N | 95.6 mg/L | NO2− -N | 45.0 mg/L |
| Cycle | 1 | 2 | 3 | 4 | 5 | 6 |
|---|---|---|---|---|---|---|
| k | 59.88 ± 5.70 | 55.36 ± 4.77 | 51.184 ± 3.89 | 46.54 ± 3.10 | 40.04 ± 1.88 | 27.53 ± 0.83 |
| R2 | 0.9318 | 0.94351 | 0.95568 | 0.96556 | 0.98259 | 0.99282 |
| Cycle | 1 | 2 | 3 | 4 | 5 | 6 |
|---|---|---|---|---|---|---|
| Rohm (Ω) | 0.756 | 0.833 | 1.072 | 1.615 | 1.747 | 1.886 |
| Rct (Ω) | 29.71 | 40.37 | 52.57 | 60.39 | 72.06 | 94.79 |
| Sample | OUT-Num | ACE-Index | Chao1-Index | Coverage | Shannon-Index | Simpson |
|---|---|---|---|---|---|---|
| Day 1 | 378 | 419.24 | 378.2 | 0.99938 | 1.69 | 0.611 |
| Day 7 | 486 | 525.27 | 486.1 | 0.99942 | 2.45 | 0.452 |
| Day 28 | 546 | 581.01 | 546.1 | 0.99934 | 4.18 | 0.142 |
| Day 42 | 509 | 536.07 | 509.1 | 0.99949 | 3.95 | 0.148 |
Disclaimer/Publisher’s Note: The statements, opinions and data contained in all publications are solely those of the individual author(s) and contributor(s) and not of MDPI and/or the editor(s). MDPI and/or the editor(s) disclaim responsibility for any injury to people or property resulting from any ideas, methods, instructions or products referred to in the content. |
© 2023 by the authors. Licensee MDPI, Basel, Switzerland. This article is an open access article distributed under the terms and conditions of the Creative Commons Attribution (CC BY) license (https://creativecommons.org/licenses/by/4.0/).
Share and Cite
Chen, L.; Ding, C.; Liu, B.; Lian, J.; Lai, L.; Yuan, L.; Wang, R. A Promising Process to Remove Nitrate from Solar Panel Production Wastewater and Meanwhile Generating Electricity. Water 2023, 15, 3347. https://doi.org/10.3390/w15193347
Chen L, Ding C, Liu B, Lian J, Lai L, Yuan L, Wang R. A Promising Process to Remove Nitrate from Solar Panel Production Wastewater and Meanwhile Generating Electricity. Water. 2023; 15(19):3347. https://doi.org/10.3390/w15193347
Chicago/Turabian StyleChen, Libin, Cong Ding, Bingyin Liu, Jinshi Lian, Lingling Lai, Linjiang Yuan, and Ru Wang. 2023. "A Promising Process to Remove Nitrate from Solar Panel Production Wastewater and Meanwhile Generating Electricity" Water 15, no. 19: 3347. https://doi.org/10.3390/w15193347
APA StyleChen, L., Ding, C., Liu, B., Lian, J., Lai, L., Yuan, L., & Wang, R. (2023). A Promising Process to Remove Nitrate from Solar Panel Production Wastewater and Meanwhile Generating Electricity. Water, 15(19), 3347. https://doi.org/10.3390/w15193347
