Determination of the Optimal Conditions for the Mass Culture of Large-Type Rotifers (Brachionus plicatilis) at Low Temperatures
Abstract
1. Introduction
2. Materials and Methods
2.1. Culturing Rotifers at Low Temperatures
2.2. Culture Conditions According to Temperature, Salinity, Density, DO Concentration, and Chlorella Abundance
2.2.1. Temperature
2.2.2. Salinity
2.2.3. Density
2.2.4. DO
2.2.5. Chlorella Supply
2.2.6. Daily Growth Rate
2.3. Analysis of Ammonium, Nitrite, and Nitrate
2.4. Rotifer Enrichment
2.5. Data Analysis
3. Results
3.1. Effects of Culture Environment on Rotifer Growth
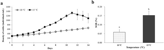
3.1.1. Water Temperature
3.1.2. Salinity
3.1.3. Inoculation Density
3.1.4. DO
3.1.5. Chlorella Supply
3.2. Ammonium, Nitrite, and Nitrate
3.3. Enrichment of Rotifers
4. Discussion
5. Conclusions
Author Contributions
Funding
Data Availability Statement
Acknowledgments
Conflicts of Interest
References
- Battaglene, S.C.; Purser, G.; Hart, P.R.; Morehead, D.T. Priorities for live feed production and research in Tasmania. In The Second Hatchery Feeds and Technology Workshop; Kolkovski, S.J., Heine, S.C., Eds.; University of Tasmania: Tasmania, Australia, 2004; pp. 104–112. [Google Scholar]
- Hirayama, K.; Kusano, T. Fundamental studies on physiology of rotifer for its mass cultrure-II. Nippon. Suissan Gakkaishi 1972, 38, 1357–1363. [Google Scholar] [CrossRef]
- Lubzens, E. Raising rotifers for use in aquaculture. In Rotifer Symposium IV; Springer: Dordrecht, The Netherlands, 1987; Volume 147, pp. 245–255. ISBN 9401083029. [Google Scholar]
- Yukino, T.; Hayashi, M.; Yoshimatsu, T.; Maruyama, I.; Murata, H. Nutritional enrichment and cultivation of rotifers by feeding of docosahexaenoic acid-enriched Chlorella vulgaris K-22. Aquac. Sci. 2004, 52, 381–386. [Google Scholar] [CrossRef]
- Hayashi, M.; Yukino, T.; Watanabe, F.; Miyamoto, E.; Nakano, Y. Effect of vitamin B12-enriched thraustochytrids on the population growth of rotifers. Biosci. Biotechnol. Biochem. 2007, 71, 222–225. [Google Scholar] [CrossRef]
- Hirayama, K.; Ogawa, S. Fundamental studies on physiology of rotifer for its mass culture-I. Nippon Suissan Gakkaishi 1972, 38, 1207–1214. [Google Scholar] [CrossRef][Green Version]
- Fu, Y.; Hada, A.; Yamashita, T.; Yoshida, Y.; Hino, A. Development of a continuous culture system for stable mass production of the marine rotifer Brachionus. Hydrobiologia 1997, 358, 145–151. [Google Scholar] [CrossRef]
- Fielder, D.S.; Purser, G.J.; Battaglene, S.C. Effect of rapid changes in temperature and salinity on availability of the rotifers Brachionus rotundiformis and Brachionus plicatilis. Aquaculture 2000, 189, 85–99. [Google Scholar] [CrossRef]
- Altaff, K.; Janakiraman, A. Effect of temperature on mass culture of three species of zooplankton, Brachionus plicatilis, Ceriodaphnia reticulata and Apocyclops dengizicus. Int. J. Fish. Aquat. Stud. 2015, 2, 49–53. [Google Scholar]
- Önal, U.; Topaloğlu, G.; Sepil, A. The performance of continuous rotifer (Brachionus plicatilis) culture system for ornamental fish production. J. Life Sci. 2015, 10, 207–213. [Google Scholar] [CrossRef]
- Minkoff, G.; Lubzens, E.; Kahan, D. Environmental factors affecting hatching of rotifer (Brachionus plicatilis) resting eggs. Hydrobiologia 1983, 104, 61–69. [Google Scholar] [CrossRef]
- Yoseda, K.; Asami, K.; Fukumoto, M.; Takaira, S.; Kurokawa, Y.; Kawai, S. Effects of two types of rotifer on first-feeding success and early survival in coral trout Plectropomus leopardus larvae. Aquac. Sci. 2003, 51, 101–108. [Google Scholar] [CrossRef]
- Lubzens, E.; Minkoff, G. Influence of the age of algae fed to rotifers (Brachionus plicatilis O.F. Müller) on the expression of mixis in their progenies. Oecologia 1988, 75, 430–435. [Google Scholar] [CrossRef] [PubMed]
- Stelzer, C.-P. Phenotypic plasticity of body size at different temperatures in a planktonic rotifer: Mechanisms and adaptive significance. In Functional Ecology; British Ecological Society: London, UK, 2002; Volume 16, pp. 835–841. [Google Scholar]
- Snell, T.W.; Bieberich, C.J.; Fuerst, R. The effects of green and blue-green algal diets on the reproductive rate of the rotifer Brachionus plicatilis. Aquaculture 1983, 31, 21–30. [Google Scholar] [CrossRef]
- Park, H.-G.; Hur, S.-B. Production and hatching rate of resing egg of Korean rotifer, Brachionus plicatilis (S-type) with different diets. J. Aquac. 1996, 9, 329–337. [Google Scholar]
- Yoshimatsu, T.; Higuchi, T.; Zhang, D.; Fortes, N.R.; Tanaka, K.; Yoshimura, K. Effect of dietary cobalt supplementation on the population growth of rotifer Brachionus rotundiformis. Fish. Sci. 2006, 72, 214–216. [Google Scholar] [CrossRef]
- Theilacker, G.H.; McMaster, M.F. Mass culture of the rotifer Brachionus plicatilis and its evaluation as a food for larval anchovies. Mar. Biol. 1971, 10, 183–188. [Google Scholar] [CrossRef]
- Takeuchi, T. A review of feed development for early life stages of marine finfish in Japan. Aquaculture 2001, 200, 203–222. [Google Scholar] [CrossRef]
- Tomoda, T.; Koiso, M.; Shima, Y. Dietary value of marine rotifer Brachionus plicatilis after enrichment produced by batch culture and extensive continuous culture methods. Nippon. Suissan Gakkaishi 2007, 73, 505–507. [Google Scholar] [CrossRef]
- Ito, S.; Sakamoto, H.; Hori, M.; Hirayama, K. Morphological characteristics and suitable temperature for the growth of several strains of the rotifer, Brachionus plicatilis. Bull. Fac. Fish. Nagasaki Univ. 1981, 51, 9–16. [Google Scholar]
- Miracle, M.R.; Serra, M. Salinity and temperature influence in rotifer life history characteristics. In Rotifer Symposium V; Springer: Dordrecht, The Netherlands, 1989; pp. 81–102. ISBN 9401066949. [Google Scholar]
- Hagiwara, A.; Kotani, T.; Snell, T.W.; Assava-Aree, M.; Hirayama, K. Morphology, reproduction, genetics, and mating behavior of small, tropical marine Brachionus strains (Rotifera). J. Exp. Mar. Bio. Ecol. 1995, 194, 25–37. [Google Scholar] [CrossRef]
- Snell, T.W.; Moffat, B.D. A 2-d Life cycle test with the rotifer Brachionus calyciflorus. Environ. Toxicol. Chem. 1992, 11, 1249–1257. [Google Scholar] [CrossRef]
- Kuefler, D.; Avgar, T.; Fryxell, J.M. Density- and resource-dependent movement characteristics in a rotifer. Funct. Ecol. 2013, 27, 323–328. [Google Scholar] [CrossRef]
- Lingampally, V.; Solanki, V.R.; Anuradha, D.L.; Raja, S.S. Investigating the Effect of Dissolved Oxygen on Rotifers of Chakki Talab, Bodhan, Telangana, India. New Vis. Biol. Sci. 2021, 3, 142–147. [Google Scholar]
- Kim, S.-S.; Lee, C.-J.; Yoo, H.-K.; Choi, J.; Byun, S.-G.; Kim, W.-J.; Lim, H.-J.; Park, J.-S. Effect of water temperature on walleye pollock (Gadus chalcogrammus) embryos, larvae and juveniles: Survival, HSP70 expression, and physiological responses. Aquaculture 2022, 554, 738136. [Google Scholar] [CrossRef]
- Choi, J.; Han, G.S.; Lee, K.W.; Byun, S.-G.; Lim, H.J.; Lee, C.-H.; Lee, D.-Y.; Kim, H.S. Effects of feeding differentially enriched Artemia nauplii on the survival, growth, fatty acid composition, and air exposure stress response of Pacific cod (Gadus macrocephalus) larvae. Aquac. Rep. 2021, 21, 100829. [Google Scholar] [CrossRef]
- Øie, G.; Olsen, Y. Influence of rapid changes in salinity and temperature on the mobility of the rotifer Brachionus plicatilis. In Rotifer Symposium VI; Springer: Dordrecht, The Netherlands, 1993; pp. 81–86. ISBN 9401047006. [Google Scholar]
- Makridis, P.; Fjellheim, A.J.; Skjermo, J.; Vadstein, O. Control of the bacterial flora of Brachionus plicatilis and Artemia franciscana by incubation in bacterial suspensions. Aquaculture 2000, 185, 207–218. [Google Scholar] [CrossRef]
- Tomoda, T.; Dan, S. Stagnant water larviculture using the rotifer Brachionus plicatilis acclimated at low temperature in Pacific cod Gadus macrocephalus. Aquac. Sci. 2014, 62, 307–318. [Google Scholar] [CrossRef]
- Tomoda, T. Temperature effects of rotifer Brachionus plicatilis mass culture on rearing efficiency of larval Japanese flounder Paralichthys olivaceus. Nippon Suisan Gakkaishi 2008, 74, 625–635. [Google Scholar] [CrossRef]
- Hagiwara, A.; Suga, K.; Akazawa, A.; Kotani, T.; Sakakura, Y. Development of rotifer strains with useful traits for rearing fish larvae. Aquaculture 2007, 268, 44–52. [Google Scholar] [CrossRef]
- Reitan, K.I.; Rainuzzo, J.R.; Øie, G.; Olsen, Y. A review of the nutritional effects of algae in marine fish larvae. Aquaculture 1997, 155, 207–221. [Google Scholar] [CrossRef]
- Cahu, C.L.; Infante, J.L.Z.; Peres, A.; Quazuguel, P.; Le Gall, M.M. Algal addition in sea bass (Dicentrarchus labrax) larvae rearing: Effect on digestive enzymes. Aquaculture 1998, 161, 479–489. [Google Scholar] [CrossRef]
- Assavaaree, M.; Hagiwara, A.; Ide, K.; Maruyama, K.; Lubzens, E. Low-temperature preservation (at 4 °C) of marine rotifer Brachionus. Aquac. Res. 2001, 32, 29–39. [Google Scholar] [CrossRef]
- Sargent, J.; Bell, G.; McEvoy, L.; Tocher, D.; Estevez, A. Recent developments in the essential fatty acid nutrition of fish. Aquaculture 1999, 177, 191–199. [Google Scholar] [CrossRef]
- NRC. National Research Council, Nutrient Requirements of Fish; National Academies Press: Washington, DC, USA, 1993; ISBN 0309048915. [Google Scholar]
- Sargent, J.; McEvoy, L.; Estevez, A.; Bell, G.; Bell, M.; Henderson, J.; Tocher, D. Lipid nutrition of marine fish during early development: Current status and future directions. Aquaculture 1999, 179, 217–229. [Google Scholar] [CrossRef]
- Abd Rahman, A.R.; Che Cob, Z.; Jamari, Z.; Mohamed, A.M.; Toda, T.; Haji Ross, O. The Effects of Microalgae as Live Food for Brachionus plicatilis (Rotifer) in Intensive Culture System. Trop. Life Sci. Res. 2018, 29, 127–138. [Google Scholar] [CrossRef] [PubMed]
- Rico-Martínez, R.; Dodson, S.I. Culture of the rotifer Brachionus calyciflorus Pallas. Aquaculture 1992, 105, 191–199. [Google Scholar] [CrossRef]
- Folch, J.; Lees, M.; Sloane Stanley, G.H. A simple method for the isolation and purification of total lipids from animal tissues. J. Biol. Chem. 1957, 226, 497–509. [Google Scholar] [CrossRef]
- Sarma, S.S.S. Effect of Chlorella density and temperature on somatic growth and age at maturity of the rotifer Brachionus patulus (Muller)(Rotifera). Curr. Sci. 1989, 58, 788–791. [Google Scholar]
- Yona, G.K. Effect of culture temperature on rotifers (Brachionus plicatilis sensu strictu) size and reproduction activities. Tanzan. J. Agric. Sci. 2018, 17, 23–30. [Google Scholar]
- Tomas, C.; Bum, H.U.R.S.; Jun, K.I.M.H. Lifespan and fecundity of three types of rotifer, Brachionus plicatilis by an individual culture. Korean J. Fish. Aquat. Sci. 1993, 26, 511–518. [Google Scholar]
- Kobayashi, T.; Nagase, T.; Hino, A.; Takeuchi, T. Influence of photoperiod on the eicosapentaenoic acid concentration of Nannochloropsis, and fatty acid composition of S-type rotifer Brachionus in a continuous culture system. Aquac. Sci. 2009, 57, 133–139. [Google Scholar] [CrossRef]
- Kuhla, A.; Hahn, S.; Butschkau, A.; Lange, S.; Wree, A.; Vollmar, B. Lifelong caloric restriction reprograms hepatic fat metabolism in mice. J. Gerontol. Ser. A Biol. Sci. Med. Sci. 2014, 69, 915–922. [Google Scholar] [CrossRef] [PubMed]
- Heck, M.J.; Pehlivanovic, M.; Purcell, J.U.; Hahn, D.A.; Hatle, J.D. Life-extending dietary restriction reduces oxidative damage of proteins in grasshoppers but does not alter allocation of ingested nitrogen to somatic tissues. J. Gerontol. Ser. A Biol. Sci. Med. Sci. 2017, 72, 616–623. [Google Scholar] [CrossRef] [PubMed]
- Pierce, G.J.; Valavanis, V.D.; Guerra, A.; Jereb, P.; Orsi-Relini, L.; Bellido, J.M.; Katara, I.; Piatkowski, U.; Pereira, J.; Balguerias, E.; et al. A review of cephalopod-environment interactions in European Seas. Hydrobiologia 2008, 612, 49–70. [Google Scholar] [CrossRef]
- Sarma, S.S.S.; Nandini, S.; Gulati, R.D. Cost of reproduction in selected species of zooplankton (rotifers and cladocerans). Hydrobiologia 2002, 481, 89–99. [Google Scholar] [CrossRef]
- Stelzer, C.-P. Evolution of rotifer life histories. Hydrobiologia 2005, 546, 335–346. [Google Scholar] [CrossRef]
- Chigbu, P.; Suchar, V.A. Isolation and culture of the marine rotifer, Colurella dicentra (Gosse, 1887), from a Mississippi Gulf Coast estuary. Aquac. Res. 2006, 37, 1400–1405. [Google Scholar] [CrossRef]
- Yin, X.W.; Zhao, W. Studies on life history characteristics of Brachionus plicatilis O. F. Müller (Rotifera) in relation to temperature, salinity and food algae. Aquat. Ecol. 2008, 42, 165–176. [Google Scholar] [CrossRef]
- Oltra, R.; Todolf, R. Effects of temperature, salinity and food level on the life history traits of the marine rotifer Synchaera cecilia valentina, n. subsp. J. Plankton Res. 1997, 19, 693–702. [Google Scholar] [CrossRef]
- Bosque, T.; Hernandez, R.; Pérez, R.; Todolí, R.; Oltra, R. Effects of salinity, temperature and food level on the demographic characteristics of the seawater rotifer Synchaeta littoralis Rousselet. J. Exp. Mar. Bio. Ecol. 2001, 258, 55–64. [Google Scholar] [CrossRef]
- Lee, M.-C.; Park, J.C.; Kim, D.-H.; Kang, S.; Shin, K.-H.; Park, H.G.; Han, J.; Lee, J.-S. Interrelationship of salinity shift with oxidative stress and lipid metabolism in the monogonont rotifer Brachionus koreanus. Comp. Biochem. Physiol. Part A Mol. Integr. Physiol. 2017, 214, 79–84. [Google Scholar] [CrossRef]
- Yoshimura, K.; Kitajima, C.; Miyamoto, Y.; Kishimoto, G. Factors inhibiting growth of the rotifer Brachionus plicatilis in high density cultivation by feeding condensed Chlorella. Nippon. Suissan Gakkaishi 1994, 60, 207–213. [Google Scholar] [CrossRef]
- Suantika, G.; Dhert, P.; Nurhudah, M.; Sorgeloos, P. High-density production of the rotifer Brachionus plicatilis in a recirculation system: Consideration of water quality, zootechnical and nutritional aspects. Aquac. Eng. 2000, 21, 201–213. [Google Scholar] [CrossRef]
- Zhang, K.; Wan, Q.; Xi, Y.-L. Competition between Brachionus calyciflorus and Brachionus angularis (Rotifera) in relation to algal food level and initial population density. Ann. Limnol. Int. J. Limnol. 2019, 55, 2. [Google Scholar] [CrossRef]
- Karpowicz, M.; Ejsmont-Karabin, J.; Kozłowska, J.; Feniova, I.; Dzialowski, A.R. Zooplankton community responses to oxygen stress. Water 2020, 12, 706. [Google Scholar] [CrossRef]
- Czarnoleski, M.; Ejsmont-Karabin, J.; Angilletta, M.J., Jr.; Kozlowski, J. Colder rotifers grow larger but only in oxygenated waters. Ecosphere 2015, 6, 1–5. [Google Scholar] [CrossRef]
- Mandal, S.; Shurin, J.B.; Efroymson, R.A.; Mathews, T.J. Functional divergence in nitrogen uptake rates explains diversity–productivity relationship in microalgal communities. Ecosphere 2018, 9, e02228. [Google Scholar] [CrossRef]
- Sanz-Luque, E.; Chamizo-Ampudia, A.; Llamas, A.; Galvan, A.; Fernandez, E. Understanding nitrate assimilation and its regulation in microalgae. Front. Plant Sci. 2015, 6, 899. [Google Scholar] [CrossRef]
- Randall, D.J.; Tsui, T.K.N. Ammonia toxicity in fish. Mar. Pollut. Bull. 2002, 45, 17–23. [Google Scholar] [CrossRef]
- Han, C.; Kim, H.-J.; Sakakura, Y.; Hagiwara, A. Species-specific ammonia tolerance in the marine rotifers Brachionus plicatilis and Brachionus rotundiformis: Reproductive characteristics and its mechanisms. Aquaculture 2022, 550, 737837. [Google Scholar] [CrossRef]
- Stemberger, R.S.; Gilbert, J.J. Body size, food concentration, and population growth in planktonic rotifers. Ecology 1985, 66, 1151–1159. [Google Scholar] [CrossRef]
- Starkweather, P.L. Aspects of the feeding behavior and trophic ecology of suspension-feeding rotifers. In Rotatoria; Springer: Dordrecht, The Netherlands, 1980; pp. 63–72. ISBN 9400992114. [Google Scholar]
- Korstad, J.; Vadstein, O.; Olsen, Y. Feeding kinetics of Brachionus plicatilis fed Isochrysis galbana. Hydrobiologia 1989, 186, 51–57. [Google Scholar] [CrossRef]
- PARK, H.G.; KIM, S.K.; PARK, K.Y.; PARK, Y.J. High density cultivation of rotifer, Brachionus rotundiformis in the different diets. Korean J. Fish. Aquat. Sci. 1999, 32, 280–283. [Google Scholar]
- Tocher, D.R. Fatty acid requirements in ontogeny of marine and freshwater fish. Aquac. Res. 2010, 41, 717–732. [Google Scholar] [CrossRef]
- Hamre, K. Nutrient profiles of rotifers (Brachionus sp.) and rotifer diets from four different marine fish hatcheries. Aquaculture 2016, 450, 136–142. [Google Scholar] [CrossRef]
- Kotani, T. The current status of the morphological classification of rotifer strains used in aquaculture. In Rotifers: Aquaculture, Ecology, Gerontology, and Ecotoxicology; Hagiwara, A., Yoshinaga, T., Eds.; Springer: Singapore, 2017; pp. 3–13. [Google Scholar]
- Eryalcin, K. Effects of different commercial feeds and enrichments on biochemical composition and fatty acid profile of rotifer (Brachionus Plicatilis, Muller 1786) and Artemia franciscana. Turk. J. Fish. Aquat. Sci. 2018, 18, 81–90. [Google Scholar] [CrossRef] [PubMed]
- Roo, F.J.; Hernández-Cruz, C.M.; Socorro, J.A.; Fernández-Palacios, H.; Montero, D.; Izquierdo, M.S. Effect of DHA content in rotifers on the occurrence of skeletal deformities in red porgy Pagrus pagrus (Linnaeus, 1758). Aquaculture 2009, 287, 84–93. [Google Scholar] [CrossRef]
- Izquierdo, M.S.; Scolamacchia, M.; Betancor, M.; Roo, J.; Caballero, M.J.; Terova, G.; Witten, P.E. Effects of dietary DHA and α-tocopherol on bone development, early mineralisation and oxidative stress in Sparus aurata (Linnaeus, 1758) larvae. Br. J. Nutr. 2013, 109, 1796–1805. [Google Scholar] [CrossRef]
- Conti, B. Considerations on temperature, longevity and aging. Cell. Mol. Life Sci. 2008, 65, 1626–1630. [Google Scholar] [CrossRef]
- Gillooly, J.F.; Brown, J.H.; West, G.B.; Savage, V.M.; Charnov, E.L. Effects of size and temperature on metabolic rate. Science 2001, 293, 2248–2251. [Google Scholar] [CrossRef]
- Waalen, J.; Buxbaum, J.N. Is older colder or colder older? The association of age with body temperature in 18,630 individuals. J. Gerontol. Ser. A Biol. Sci. Med. Sci. 2011, 66, 487–492. [Google Scholar] [CrossRef]
- Lee, M.-C.; Yoon, D.-S.; Lee, Y.; Choi, H.; Shin, K.-H.; Park, H.G.; Lee, J.-S. Effects of low temperature on longevity and lipid metabolism in the marine rotifer Brachionus koreanus. Comp. Biochem. Physiol. Part A Mol. Integr. Physiol. 2020, 250, 110803. [Google Scholar] [CrossRef] [PubMed]
- Fu, Z.; Yang, R.; Zhou, S.; Ma, Z.; Zhang, T. Effects of Rotifers Enriched With Different Enhancement Products on Larval Performance and Jaw Deformity of Golden Pompano Larvae Trachinotus ovatus (Linnaeus, 1758). Front. Mar. Sci. 2021, 7, 626071. [Google Scholar] [CrossRef]
- Ozdogan, H.B.E.; Savas, S. The effect on fatty acid contents of Rotifer (Brachionus plicatilis) of Algamac 3050 and Olio ω-3 supplemented with or without L-Carnitine. Iran. J. Fish. Sci. 2022, 21, 1097–1107. [Google Scholar] [CrossRef]
- Rainuzzo, J.R.; Reitan, K.I.; Olsen, Y. Effect of short- and long-term lipid enrichment on total lipids, lipid class and fatty acid composition in rotifers. Aquac. Int. 1994, 2, 19–32. [Google Scholar] [CrossRef]






| FFA (%) | Before Enrichment | Enrichment Time | ||
|---|---|---|---|---|
| 6 h | 12 h | 24 h | ||
| 12:0 | 0.31 ± 0.03 b | 0.00 ± 0.00 a | 0.00 ± 0.00 a | 0.00 ± 0.00 a |
| 14:0 | 1.86 ± 0.04 b | 1.42 ± 0.06 a | 1.41 ± 0.08 a | 1.54 ± 0.07 a |
| 15:0 | 0.49 ± 0.04 b | 0.00 ± 0.00 a | 0.00 ± 0.00 a | 0.00 ± 0.00 a |
| 16:0 | 16.87 ± 0.54 c | 15.44 ± 0.02 b | 14.23 ± 0.13 a | 14.89 ± 0.49 a |
| 16:1 | 1.25 ± 0.10 c | 1.09 ± 0.00 b | 0.77 ± 0.06 a | 0.80 ± 0.01 a |
| 18:0 | 4.43 ± 0.13 c | 3.07 ± 0.03 a | 3.92 ± 0.24 b | 4.08 ± 0.18 b |
| 18:1n-9 trans | 2.02 ± 0.07 c | 1.92 ± 0.05 b | 1.73 ± 0.15 a | 1.73 ± 0.13 a |
| 18:1n-9 cis | 5.90 ± 0.40 a | 7.97 ± 0.32 b | 8.49 ± 0.19 c | 8.42 ± 0.45 bc |
| 18:2n-6 trans | 0.28 ± 0.15 b | 0.00 ± 0.00 a | 0.00 ± 0.00 a | 0.00 ± 0.00 a |
| 18:2n-6 cis | 46.63 ± 1.74 c | 41.56 ± 0.42 b | 38.77 ± 0.23 a | 36.60 ± 3.07 a |
| 20:0 | 0.31 ± 0.02 b | 0.00 ± 0.00 a | 0.00 ± 0.00 a | 0.00 ± 0.00 a |
| 20:1 | 1.40 ± 0.04 a | 1.69 ± 0.00 c | 1.46 ± 0.02 b | 1.51 ± 0.05 bc |
| 18:3n-3 | 3.35 ± 0.24 a | 4.58 ± 0.02 b | 6.42 ± 0.20 c | 6.15 ± 0.12 c |
| 20:2 | 9.00 ± 0.40 c | 8.11 ± 0.09 b | 6.56 ± 0.24 a | 6.41 ± 0.44 a |
| 22:0 | 0.39 ± 0.09 b | 0.00 ± 0.00 a | 0.00 ± 0.00 a | 0.00 ± 0.00 a |
| 20:3n-6 | 1.63 ± 0.01 b | 1.60 ± 0.01 b | 1.11 ± 0.14 a | 1.01 ± 0.22 a |
| 22:1n-9 | 0.49 ± 0.03 b | 0.00 ± 0.00 a | 0.00 ± 0.00 a | 0.00 ± 0.00 a |
| 20:3n-3 | 0.76 ± 0.02 a | 0.81 ± 0.02 b | 1.40 ± 0.05 c | 1.35 ± 0.05 c |
| 20:4n-6 | 0.34 ± 0.06 b | 0.00 ± 0.00 a | 0.00 ± 0.00 a | 0.00 ± 0.00 a |
| 23:0 | 1.21 ± 0.09 c | 0.56 ± 0.03 a | 0.66 ± 0.04 b | 0.72 ± 0.08 b |
| 22:2 | 0.80 ± 0.00 c | 0.62 ± 0.08 b | 0.24 ± 0.00 a | 0.20 ± 0.35 a |
| 24:0 | 0.81 ± 0.02 c | 0.50 ± 0.01 a | 0.61 ± 0.05 b | 0.67 ± 0.07 b |
| 20:5n-3 | 0.70 ± 0.14 a | 2.52 ± 0.16 b | 3.73 ± 0.17 c | 4.50 ± 0.89 d |
| 24:1 | 0.76 ± 0.09 a | 0.72 ± 0.01 a | 0.70 ± 0.20 a | 0.70 ± 0.05 a |
| 22:6n-3 | 0.45 ± 0.08 a | 5.83 ± 0.27 a | 7.80 ± 0.45 a | 8.71 ± 1.51 a |
| SFA | 26.68 ± 1.63 b | 20.98 ± 0.03 a | 20.84 ± 0.48 a | 21.91 ± 0.58 a |
| MUFA | 11.83 ± 0.43 a | 13.39 ± 0.28 b | 13.15 ± 0.25 b | 13.16 ± 0.50 b |
| HUFA | 3.89 ± 0.08 a | 11.75 ± 0.32 b | 14.04 ± 0.86 c | 15.58 ± 2.20 c |
Disclaimer/Publisher’s Note: The statements, opinions and data contained in all publications are solely those of the individual author(s) and contributor(s) and not of MDPI and/or the editor(s). MDPI and/or the editor(s) disclaim responsibility for any injury to people or property resulting from any ideas, methods, instructions or products referred to in the content. |
© 2023 by the authors. Licensee MDPI, Basel, Switzerland. This article is an open access article distributed under the terms and conditions of the Creative Commons Attribution (CC BY) license (https://creativecommons.org/licenses/by/4.0/).
Share and Cite
Yoo, H.-K.; Kim, S.-S.; Lee, K.-W.; Lee, S.-Y.; Jung, M.-M.; Woo, S.-J. Determination of the Optimal Conditions for the Mass Culture of Large-Type Rotifers (Brachionus plicatilis) at Low Temperatures. Water 2023, 15, 3310. https://doi.org/10.3390/w15183310
Yoo H-K, Kim S-S, Lee K-W, Lee S-Y, Jung M-M, Woo S-J. Determination of the Optimal Conditions for the Mass Culture of Large-Type Rotifers (Brachionus plicatilis) at Low Temperatures. Water. 2023; 15(18):3310. https://doi.org/10.3390/w15183310
Chicago/Turabian StyleYoo, Hae-Kyun, So-Sun Kim, Ki-Wook Lee, Suk-Young Lee, Min-Min Jung, and Soo-Ji Woo. 2023. "Determination of the Optimal Conditions for the Mass Culture of Large-Type Rotifers (Brachionus plicatilis) at Low Temperatures" Water 15, no. 18: 3310. https://doi.org/10.3390/w15183310
APA StyleYoo, H.-K., Kim, S.-S., Lee, K.-W., Lee, S.-Y., Jung, M.-M., & Woo, S.-J. (2023). Determination of the Optimal Conditions for the Mass Culture of Large-Type Rotifers (Brachionus plicatilis) at Low Temperatures. Water, 15(18), 3310. https://doi.org/10.3390/w15183310
