Effects of Patch Density and Incoming Sediment on Flow Characteristics and Bed Morphology
Abstract
:1. Introduction
2. Experimental Procedures and Measurement Methods
2.1. Experimental Arrangement
2.2. Experimental Methods
3. Results
3.1. Leading Edge
3.2. Wake Region
3.3. Reacceleration Region
3.4. Altimetric Topographic Maps for the Different Densities and Bed Conditions
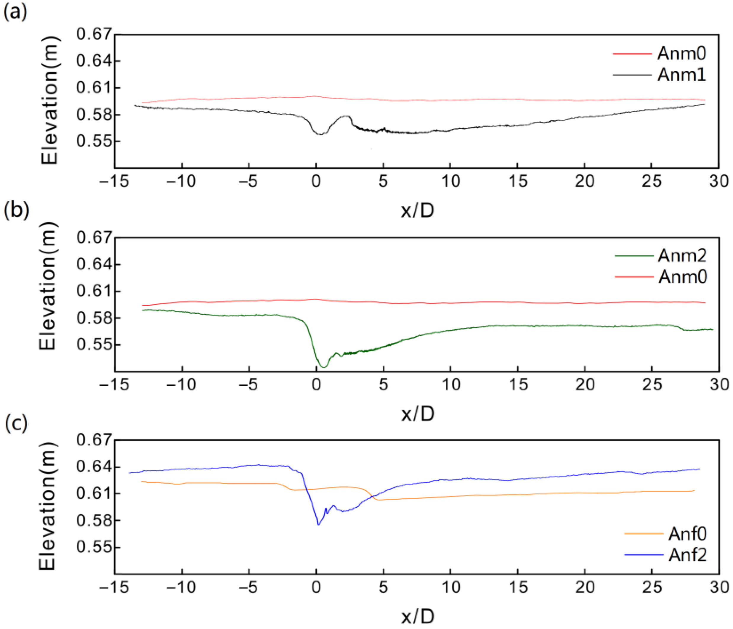
3.5. Longitudinal Distribution of the Bed Elevation Along the Central Line
4. Discussion
4.1. Relationship between Bed Morphology and Flow Structure
4.2. The Effects of Vegetation Density and Feeding Sediment on Bed Morphology
5. Conclusions
- (1)
- The upstream adjustment velocity Ua remains almost constant at a low density, but it slightly decreases as the volume fraction increases when the patch density is high. The movable bed form contributes to a reduction in Ua, while the incoming sediment causes an increase. The length of the upstream adjustment region (L0) is greater in the high-density condition. However, the value remains nearly constant, whether the patch is sparse or dense.
- (2)
- Both the exit velocity Ue and the steady wake velocity U1 gradually decrease with the increasing solid volume fraction φ. They also decrease with the sediment supply when the patch density is low but show little change under high-density conditions.
- (3)
- The length of the recovery region L2 increases with the density when the patch is sparse, and it remains constant for the dense patch. The incoming sediment causes a reduction in L2, decreasing as U1/U0 increases.
- (4)
- Turbulent kinetic energy varies depending on the bed form. The value of the first peak is greater than that of the second peak in all bed conditions. The incoming sediment causes a decrease in the magnitude of the difference between these two peaks. Because of the sediment, the position of the second peak is closer to the patch, and this value is greater.
- (5)
- The depth of the scour holes on both sides of the patch increases as the vegetation density increases. The incoming sediment leads to the hillocks becoming wider, the scour holes becoming shallower, and the narrow strip becoming longer. Significantly, the development of bed morphology is closely related to the TKE and the increase in the vortex street.
Author Contributions
Funding
Data Availability Statement
Acknowledgments
Conflicts of Interest
References
- Moradi Larmaei, M.; Mahdi, T.F. Depth-averaged turbulent heat and fluid flow in a vegetated porous medium. Int. J. Heat Mass Transf. 2012, 55, 848–863. [Google Scholar] [CrossRef]
- Nepf, H.M.; Sullivan, J.A.; Zavistoski, R.A. A model for dif- fusion within emergent vegetation. Am. Soc. Limnol. Oceanogr. 1997, 42, 1735–1745. [Google Scholar] [CrossRef]
- Horritt, M.S. A linearized approach to flow resistance uncertainty in a 2-D finite volume model of flood flow. J. Hydrol. 2006, 316, 13–27. [Google Scholar] [CrossRef]
- Zhang, J.T.; Su, X.H. Numerical model for flow motion with vegetation. J. Hydrodyn. 2008, 20, 172–178. [Google Scholar] [CrossRef]
- Zhang, H.; Dai, L. Surface runoff and its erosion energy in a partially continuous system: An Ecological Hydraulic Model. In Proceedings of the 2010 ASME International Mechanical Engineering Congress and Exposition, Lake Buena Vista, FL, USA, 13–19 November 2009; Volume 10, pp. 575–583. [Google Scholar]
- Wang, P.F.; Wang, C. Numerical model for flow through submerged vegetation regions in a shallow lake. J. Hydrodyn. 2011, 23, 170–178. [Google Scholar] [CrossRef]
- Wilson, C.A.M.E.; Stoesser, T.; Bates, P.D.; Bateman Pinzen, A. Open channel flow through different forms of submerged flexible vegetation. J. Hydraul. Eng. 2003, 129, 847–853. [Google Scholar] [CrossRef]
- Tal, M.; Paola, C. Dynamic single-thread channels maintained by the interaction of flow and vegetation. Geology 2007, 35, 1651–1656. [Google Scholar] [CrossRef]
- Braudrick, C.A.; Dietrich, W.E.; Leverich, G.T.; Sklar, L.S. Experimental evidence for the conditions necessary to sustain meandering in coarse-bedded rivers. Proc. Natl. Acad. Sci. USA 2009, 106, 16936–16941. [Google Scholar] [CrossRef]
- Cotton, J.A.; Wharton, G.; Bass, J.; Heppell, C.M.; Wotton, R.S. The effects of seasonal changes to in-stream vegetation cover on patterns of flow and accumulation of sediment. Geomorphology 2006, 77, 320–334. [Google Scholar] [CrossRef]
- Gurnell, A.M.; van Oosterhout, M.P.; de Vlieger, B.; Goodson, J.M. Reach-scale interactions between aquatic plants and physical habitat: River Frome, Dorset. River Res. Appl. 2006, 22, 667–680. [Google Scholar] [CrossRef]
- Bennett, S.J.; Wu, W.; Alonso, C.V.; Wang, S.S.Y. Modeling fluvial response to in-stream woody vegetation: Implications for stream corridor restoration. Earth Surf. Process. Landf. 2008, 33, 890–909. [Google Scholar] [CrossRef]
- Bouma, T.J.; Duren, L.; Temmerman, S.; Claverie, T.; Blanco-Garcia, A.; Ysebaert, T.; Herman, P.M.J. Spatial flow and sedimentation patterns within patches of epibenthic structures: Combining field, flume and modelling experiments. Cont. Shelf Res. 2007, 27, 1020–1045. [Google Scholar] [CrossRef]
- Rominger, J.T.; Nepf, H.M. Flow adjustment and interior flow associated with a rectangular porous obstruction. J. Fluid Mech. 2011, 680, 636–659. [Google Scholar] [CrossRef]
- Sukhodolova, T.A.; Sukhodolov, A.N. Vegetated mixing layer around a finite-size patch of submerged plants: 1. Theory and field experiments. Water Resour. Res. 2012, 48, 268–282. [Google Scholar] [CrossRef]
- Olson; Gerland, W. Book Reviews: Biotechnical slope protection and erosion control. Soil Sci. 1982, 135, 126. [Google Scholar] [CrossRef]
- Temmerman, S.; Bouma, T.J.; Van de Koppel, J.; Van der Wal, D.; De Vries, M.B.; Heman, P.M.J. Vegetation causes channel erosion in a tidal landscape. Geology 2007, 35, 631–634. [Google Scholar] [CrossRef]
- Liu, C.; Shan, Y.Q. Impact of an emergent model vegetation patch on flow adjustment and velocity. Proc. Inst. Civ. Eng.-Water Manag. 2022, 175, 55–66. [Google Scholar] [CrossRef]
- Liu, C.; Yan, C.H.; Sun, S.C.; Lei, J.R.; Nepf, H.M.; Shan, Y.Q. Velocity, turbulence, and sediment deposition in a channel partially filled with a Phragmites australis canopy. Water Resour. Res. 2022, 58, e2022WR032381. [Google Scholar] [CrossRef]
- Follett, E.M.; Nepf, H.M. Sediment patterns near a model patch of reedy emergent vegetation. Geomorphology 2012, 179, 141–151. [Google Scholar] [CrossRef]
- Chen, Z.; Jiang, C.; Nepf, H.M. Flow adjustment at the leading edge of a submerged aquatic canopy. Water Resour. Res. 2013, 49, 5537–5551. [Google Scholar] [CrossRef]
- Ortiz, A.C.; Ashton, A.; Nepf, H.M. Mean and turbulent velocity fields near rigid and flexible plants and the implications for deposition. J. Geophys. Res. Earth Surf. 2013, 118, 2585–2599. [Google Scholar] [CrossRef]
- Liu, C.; Nepf, H.M. Sediment deposition within and around a finite patch of model vegetation over a range of channel velocity. Water Resour. Res. 2016, 52, 600–612. [Google Scholar] [CrossRef]
- Tinoco, R.O.; Coco, G. A laboratory study on sediment resuspension within arrays of rigid cylinders. Adv. Water Resour. 2016, 92, 1–9. [Google Scholar] [CrossRef]
- Tseng, C.Y.; Tinoco, R.O. A two-layer turbulence-based model to predict suspended sediment concentration in flows with aquatic vegetation. Geophys. Res. Lett. 2021, 48, e2020GL091255. [Google Scholar] [CrossRef]
- Yang, J.Q.; Chung, H.; Nepf, H.M. The onset of sediment transport in vegetated channels predicted by turbulent kinetic energy. Geophys. Res. Lett. 2016, 43, 11–261. [Google Scholar] [CrossRef]
- Furukawa, K.; Wolanski, E.; Mueller, H. Currents and sediment transport in mangrove forests. Estuar. Coast. Shelf Sci. 1997, 44, 301–310. [Google Scholar] [CrossRef]
- Li, W.Q.; Dan, W.; Jiao, J.L.; Yang, K.J. Effects of vegetation patch density on flow velocity characteristics in an open channel. J. Hydrodyn. 2018, 31, 1052–1059. [Google Scholar] [CrossRef]
- Ren, B.L.; Wang, D.; Li, W.Q.; Yang, K. The velocity patterns in rigid and mobile channels with vegetation patches. J. Hydrodyn. 2019, 32, 561–569. [Google Scholar] [CrossRef]
- Chen, Z.; Ortiz, A.; Zong, L.; Nepf, H.M. The wake structure behind a porous obstruction and its implications for deposition near a finite patch of emergent vegetation. Water Resour. Res. 2012, 48, W09517. [Google Scholar] [CrossRef]
- Belcher, S.E.; Jerram, N.; Hunt, J.C.R. Adjustment of a turbulent boundary layer to a canopy of roughness elements. Fluid Mech. 2003, 488, 369–398. [Google Scholar] [CrossRef]
- Zong, L.; Nepf, H.M. Vortex development behind a finite porous obstruction in a channel. J. Fluid Mech. 2012, 691, 368–391. [Google Scholar] [CrossRef]
- Graf, W.H.; Istiarto, I. Flow pattern in the scour hole around a cylinder. J. Hydraul. Res. 2002, 40, 13–20. [Google Scholar] [CrossRef]
- Zong, L.; Nepf, H.M. Flow and deposition in and around a finite patch of vegetation. Geomorphology 2010, 116, 363–372. [Google Scholar] [CrossRef]
- Roni, P.; Liermann, M.; Muhar, S.; Schmutz, S. Stream and Watershed Restoration: A Guide to Restoring Riverine Processes and Habitats; Wiley & Sons: Hoboken, NJ, USA, 2012; pp. 254–279. [Google Scholar]











| Condition. | D (cm) | a (cm−1) | Ψ (%) | Bed Form |
|---|---|---|---|---|
| Anr0 | Non-vegetated | 0 | rigid | |
| Anr1 | 6 | 0.2 | 6 | rigid |
| Anr2 | 6 | 0.25 | 8 | rigid |
| Anr3 | 6 | 0.3 | 10 | rigid |
| Anr4 | 6 | 0.4 | 13 | rigid |
| Anr5 | 6 | 0.5 | 16 | rigid |
| Anr6 | 6 | 0.6 | 19 | rigid |
| Anr7 | 6 | 0.7 | 22 | rigid |
| Anm0 | Non-vegetated | 0 | movable | |
| Anm1 | 6 | 0.25 | 8 | movable |
| Anm2 | 6 | 0.5 | 16 | movable |
| Anf0 | Non-vegetated | 0 | feeding sediment | |
| Anf1 | 6 | 0.25 | 8 | feeding sediment |
| Anf2 | 6 | 0.5 | 16 | feeding sediment |
Disclaimer/Publisher’s Note: The statements, opinions and data contained in all publications are solely those of the individual author(s) and contributor(s) and not of MDPI and/or the editor(s). MDPI and/or the editor(s) disclaim responsibility for any injury to people or property resulting from any ideas, methods, instructions or products referred to in the content. |
© 2023 by the authors. Licensee MDPI, Basel, Switzerland. This article is an open access article distributed under the terms and conditions of the Creative Commons Attribution (CC BY) license (https://creativecommons.org/licenses/by/4.0/).
Share and Cite
Wang, D.; Li, F.; Yang, K. Effects of Patch Density and Incoming Sediment on Flow Characteristics and Bed Morphology. Water 2023, 15, 3247. https://doi.org/10.3390/w15183247
Wang D, Li F, Yang K. Effects of Patch Density and Incoming Sediment on Flow Characteristics and Bed Morphology. Water. 2023; 15(18):3247. https://doi.org/10.3390/w15183247
Chicago/Turabian StyleWang, Dan, Feng Li, and Kejun Yang. 2023. "Effects of Patch Density and Incoming Sediment on Flow Characteristics and Bed Morphology" Water 15, no. 18: 3247. https://doi.org/10.3390/w15183247
APA StyleWang, D., Li, F., & Yang, K. (2023). Effects of Patch Density and Incoming Sediment on Flow Characteristics and Bed Morphology. Water, 15(18), 3247. https://doi.org/10.3390/w15183247
