Effect of Straw Mulching and Deep Burial Mode on Water and Salt Transport Regularity in Saline Soils
Abstract
:1. Introduction
2. Materials and Methods
2.1. The Soil Column Test
2.1.1. Test Materials
2.1.2. Test Setup
2.1.3. Treatments
2.1.4. Sample Collection and Determination
Determination of Soil Moisture Content (Drying Method)
Determination of Soil Salinity (Residue Drying-Mass Method)
2.2. The Microzone Test
2.2.1. Study Area and Site Characterization
2.2.2. Treatments
2.2.3. Sample Collection and Determination
2.3. Data Analysis
3. Results
3.1. Effect of Different Treatments on Soil Water and Salt Transport in Soil Columns
3.1.1. Soil Water Evaporation Analysis
3.1.2. Changes in Salt Dynamics
3.1.3. Correlation Analysis
3.2. Effects of Different Treatments on Water-Salt Distribution in Agricultural Soils
3.2.1. Moisture Distribution Characteristics
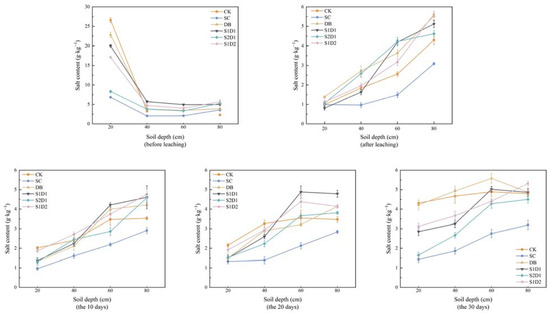
3.2.2. Salt Distribution Characteristics
4. Discussion
4.1. Effect on Soil Water Evaporation
4.2. Effect Soil Salinity Dynamics
4.3. Soil Water and Salt Transport Patterns
5. Conclusions
- (1)
- Straw mulching has been demonstrated to be efficient in mitigating soil water evaporation, with varying degrees of effectiveness observed in different treatment methods. The hierarchy of evaporation suppression, in descending order of efficacy, is as follows: S2D1 > S1D2 > S1D1 > SC > DB. Straw mulching and deep burial model exhibits superior performance in reducing soil water evaporation compared to single-layer straw mulching. Specifically, S2D1 treatment (a 2:1 ratio of soil surface cover to the amount of straw buried 40 cm below the soil surface) had the most obvious effect and the cumulative evaporation of soil moisture was 65.85% lower than that of CK (the control treatment), which had the best effect of inhibiting evaporation.
- (2)
- In the drenching and infiltration stage, S1D1 treatment (a 1:1 ratio of soil surface cover to the amount of straw buried 40 cm below the soil surface) had the best drenching effect and the highest desalination rate. In the evaporation phase, S2D1 treatment had much lower salt levels than CK, indicating that the S2D1 treatment had the best inhibition effect on soil salinity reversal.
- (3)
- There was a significant positive correlation between the cumulative evaporation of soil water and cumulative soil salinity, which meant that the cumulative soil salinity increased with the cumulative evaporation of soil water.
- (1)
- Different treatments could reduce the evaporation of soil moisture, but the moisture retention effect and duration were different. Among them, the S2D1 treatment maintained high soil water content in all soil layers during all periods of the experiment, which could obviously inhibit the evaporation and dissipation of soil moisture.
- (2)
- Different treatments can inhibit soil salinity return to a certain extent in all soil layers. All treatments could keep the soil salinity in the 0–40 cm soil layer at a lower level, among which the S2D1 treatment had the best effect on salt suppression in the surface soil. In the 40–80 cm soil layer, the best soil salinity suppression was DB treatment (straw buried at 40 cm below soil surface).
Author Contributions
Funding
Institutional Review Board Statement
Informed Consent Statement
Data Availability Statement
Conflicts of Interest
References
- Fei, Y.; She, D.; Gao, L.; Xin, P. Micro-CT Assessment on the Soil Structure and Hydraulic Characteristics of Saline/Sodic Soils Subjected to Short-Term Amendment. Soil Tillage Res. 2019, 193, 59–70. [Google Scholar] [CrossRef]
- Hopmans, J.W.; Qureshi, A.; Kisekka, I.; Munns, R.; Grattan, S.; Rengasamy, P.; Ben-Gal, A.; Assouline, S.; Javaux, M.; Minhas, P.; et al. Critical Knowledge Gaps and Research Priorities in Global Soil Salinity. Adv. Agron. 2021, 169, 1–191. [Google Scholar]
- Sahab, S.; Suhani, I.; Srivastava, V.; Chauhan, P.S.; Singh, R.P.; Prasad, V. Potential Risk Assessment of Soil Salinity to Agroecosystem Sustainability: Current Status and Management Strategies. Sci. Total Environ. 2021, 764, 144164. [Google Scholar] [CrossRef] [PubMed]
- Yang, H.; Xia, J.; Cui, Q.; Liu, J.; Wei, S.; Feng, L.; Dong, K. Effects of Different Tamarix Chinensis-Grass Patterns on the Soil Quality of Coastal Saline Soil in the Yellow River Delta, China. Sci. Total Environ. 2021, 772, 145501. [Google Scholar] [CrossRef]
- Cui, Q.; Xia, J.; Yang, H.; Liu, J.; Shao, P. Biochar and Effective Microorganisms Promote Sesbania Cannabina Growth and Soil Quality in the Coastal Saline-Alkali Soil of the Yellow River Delta, China. Sci. Total Environ. 2021, 756, 143801. [Google Scholar] [CrossRef]
- Li, K.; Li, Q.; Geng, Y.; Liu, C. An Evaluation of the Effects of Microstructural Characteristics and Frost Heave on the Remediation of Saline-alkali Soils in the Yellow River Delta, China. Land Degrad. Dev. 2021, 32, 1325–1337. [Google Scholar] [CrossRef]
- Jiang, S.-Q.; Yu, Y.-N.; Gao, R.-W.; Wang, H.; Zhang, J.; Li, R.; Long, X.-H.; Shen, Q.-R.; Chen, W.; Cai, F. High-Throughput Absolute Quantification Sequencing Reveals the Effect of Different Fertilizer Applications on Bacterial Community in a Tomato Cultivated Coastal Saline Soil. Sci. Total Environ. 2019, 687, 601–609. [Google Scholar] [CrossRef]
- Du, X.J.; Yan, B.W.; Xu, K.; Wang, S.Y.; Gao, Z.D.; Ren, X.Q.; Hu, S.W.; Yun, W.J. Advances in the Theory and Modeling of Water and Salt Transport in Saline Lands. Chin. J. Soil Sci. 2021, 52, 713–721. [Google Scholar]
- Sao, D.; Saito, H.; Kato, T.; Šimunek, J. Numerical Analysis of Soil Water Dynamics during Spinach Cultivation in a Soil Column with an Artificial Capillary Barrier under Different Irrigation Managements. Water 2021, 13, 2176. [Google Scholar] [CrossRef]
- Deng, Y.P.; Sun, C.T.; Sun, Y.S.; Zhang, J.P.; Mi, Z.R.; Mao, W.B.; Sun, Y.X. Water and Salt Distribution and Evaporation Characteristics of Coastal Saline Soils under Straw Mulching Conditions. China Rural Water Hydropower 2021, 2021, 128–133. [Google Scholar]
- Yin, Z.R.; Ke, Y.; Gui, L.G.; Zhang, Y.H.; Wang, P. Effect of Sand Cover on Water and Salt Transport and Growth and Yield of Lycium Barbarum in Saline Soils. Acta Agric. Boreali-Occident. Sin. 2021, 30, 1382–1393. [Google Scholar]
- Yang, R.; Zhou, C.; Zhu, J.; Pan, Y.; Sun, J.; Zhang, Z. Effects of Biochar Application on Phreatic Water Evaporation and Water-Salt Distribution in Coastal Saline Soil. J. Plant Nutr. 2019, 42, 1243–1253. [Google Scholar] [CrossRef]
- Fan, L.L.; Shi, H.B.; Li, R.P.; Miao, Q.F.; Wang, S.N.; Pei, W.W. Effect of straw mulch on salt migration and water use efficiency of maize by furrow irrigation. Trans. Chin. Soc. Agric. Mach. 2021, 52, 283–293+319. [Google Scholar]
- Dann, C.E.; Cabrera, M.; Thapa, R.; Mirsky, S.; Tully, K.; Reberg-Horton, C.; Hitchcock, R.; Morari, F. Modeling Water Potential of Cover Crop Residues on the Soil Surface. Ecol. Model. 2021, 459, 109708. [Google Scholar] [CrossRef]
- Zhou, Y.L.; Wu, H.M.; Zhou, Y.D. Effects of different methods of short-term straw return on soil structure and water content. Arid Zone Stud. 2022, 39, 502–509. [Google Scholar]
- Yang, Y.; Liu, H.; Wu, J.; Zhang, S.; Gao, C.; Zhang, S.; Tang, D.W.S. Soil Enzyme Activities, Soil Physical Properties, Photosynthetic Physical Characteristics and Water Use of Winter Wheat after Long-Term Straw Mulch and Organic Fertilizer Application. Front. Plant Sci. 2023, 14, 1186376. [Google Scholar] [CrossRef]
- Huang, X.; Wang, H.; Zhang, M.; Horn, R.; Ren, T. Soil Water Retention Dynamics in a Mollisol during a Maize Growing Season under Contrasting Tillage Systems. Soil Tillage Res. 2021, 209, 104953. [Google Scholar] [CrossRef]
- Fu, Q.; Yan, P.; Li, T.; Cui, S.; Peng, L. Effects of Straw Mulching on Soil Evaporation during the Soil Thawing Period in a Cold Region in Northeastern China. J. Earth Syst. Sci. 2018, 127, 33. [Google Scholar] [CrossRef]
- Alkharabsheh, H.M.; Seleiman, M.F.; Hewedy, O.A.; Battaglia, M.L.; Jalal, R.S.; Alhammad, B.A.; Schillaci, C.; Ali, N.; Al-Doss, A. Field Crop Responses and Management Strategies to Mitigate Soil Salinity in Modern Agriculture: A Review. Agronomy 2021, 11, 2299. [Google Scholar] [CrossRef]
- Zhong, Z.Y.; Zhang, Y.; Feng, Z.Y.; Huang, C.Z.; Wang, J. Experimental Study on Simulation of Soil Water and Salt Transport by Combining Deep Burial of Straw with Mulching. J. Irrig. Drain. 2019, 38, 25–30. [Google Scholar]
- Zhang, W.F.; Yang, S.Q.; Jin, Y.H.; Lou, S.; Liu, P. Effect of Irrigation Water under Deep Straw Burial on Soil Water and Salt Distribution and Summer Corn Yield. Trans. Chin. Soc. Agric. Mach. 2021, 52, 228–237. [Google Scholar]
- Zhao, Y.; Pang, H.; Wang, J.; Huo, L.; Li, Y. Effects of Straw Mulch and Buried Straw on Soil Moisture and Salinity in Relation to Sunflower Growth and Yield. Field Crops Res. 2014, 161, 16–25. [Google Scholar] [CrossRef]
- Zhu, D.Y.; Xu, Z.Q.; Han, M.; Zhu, W.S.; Li, Z.C.; Hu, Y.H.; Wang, J.L. Effect of Different Material Covers on the Physicochemical Properties of Saline Soils in the Yellow River Delta. J. Qingdao Agric.Univ. 2022, 39, 79–84. [Google Scholar]
- Chang, F.-D.; Wang, X.-Q.; Song, J.-S.; Zhang, H.-Y.; Yu, R.; Wang, J.; Liu, J.; Wang, S.; Ji, H.-J.; Li, Y.-Y. Maize Straw Application as an Interlayer Improves Organic Carbon and Total Nitrogen Concentrations in the Soil Profile: A Four-Year Experiment in a Saline Soil. J. Integr. Agric. 2023, 22, 1870–1882. [Google Scholar] [CrossRef]
- Li, S.; Yao, Y.; Yang, M.; Zhang, Y.; Zhang, S.; Shen, T.; Ding, F.; Li, Z.; Liu, W.; Cui, J.; et al. Effects of Different Amendments on Aggregate Stability and Microbial Communities of Coastal Saline–Alkali Soil in the Yellow River Delta. Land Degrad. Dev. 2023, 34, 1694–1707. [Google Scholar] [CrossRef]
- Kottek, M.; Grieser, J.; Beck, C.; Rudolf, B.; Rubel, F. World Map of the Köppen-Geiger climate classification updated. Meteorol. Z. 2006, 15, 259–263. [Google Scholar] [CrossRef] [PubMed]
- Yusefi, A.; Firouzi, A.F.; Aminzadeh, M. The Effects of Shallow Saline Groundwater on Evaporation, Soil Moisture, and Temperature Distribution in the Presence of Straw Mulch. Hydrol. Res. 2020, 51, 720–738. [Google Scholar] [CrossRef]
- Zhu, H.H.; Wang, J.C.; Reddy, N.G.; Garg, A.; Cao, D.F.; Liu, X.F.; Shi, B. Monitoring infiltration of capillary barrier with actively heated fibre Bragg gratings. Environ. Geotech. 2022, 40, 2100130. [Google Scholar] [CrossRef]
- Zhang, L.; Xu, C.; Yan, W.; Tan, G.; Sun, N.; Zhao, H.; Li, F.; Yu, J.; Meng, X.; Bian, S. Effects of Surface Mulching on Soil Water Temperature, Physiological Characteristics and Yield of Maize. Int. J. Plant Prod. 2023, 17, 283–296. [Google Scholar] [CrossRef]
- Liu, Y.Q.; Wang, J.L.; Li, Z.Z. Progress of Research on the Effect of Straw Mulch on Soil Moisture and Erosion. Res. Soil Water Conserv. 2021, 28, 429–436. [Google Scholar]
- Chen, J.; Wei, Y.; Zhao, X.; Xue, J.; Xu, S.; Du, Q. Simulation of Soil Water Evaporation during Freeze–Thaw Periods under Different Straw Mulch Thickness Conditions. Water 2020, 12, 2003. [Google Scholar] [CrossRef]
- Rasool, G.; Zhang, S.; Wu, F.; Guo, X. Effects of the Buried Straw Layer on Soil Water and Nitrogen Distribution under Different Irrigation Limits. Int. J. Agric. Biol. Eng. 2022, 15, 141–145. [Google Scholar] [CrossRef]
- Wang, X.; Yang, K.; Zheng, J. Effect of straw addition on soil infiltration characteristics and model-fitting analysis. Arab. J. Geosci. 2019, 12, 395. [Google Scholar] [CrossRef]
- Lu, X.; Li, R.; Shi, H.; Liang, J.; Miao, Q.; Fan, L. Successive simulations of soil water-heat-salt transport in one whole year of agriculture after different mulching treatments and autumn irrigation. Geoderma 2019, 344, 99–107. [Google Scholar] [CrossRef]
- Zhou, C.Q.; Zhao, W.J.; Wang, Z.Z.; Xu, J.T. Effect of Double Straw Mulching in Different Layers on Soil Water Evaporation. Water Sav. Irrig. 2019, 3, 30–33. [Google Scholar] [CrossRef]
- Sun, B.; Xie, J.C.; Wang, N.; Zhu, J.W.; Zhang, J.L.; Li, C.J. Experimental Study on the Effect of Straw Mulch on Water and Salt in Salinized Soil. Bull. Soil Water Conserv. 2011, 31, 48–51. [Google Scholar]
- Yang, M.; Yang, R.; Li, Y.; Pan, Y.; Sun, J.; Zhang, Z. Effects of Different Biomass Materials as a Salt-Isolation Layer on Water and Salt Migration in Coastal Saline Soil. PeerJ 2021, 9, e11766. [Google Scholar] [CrossRef] [PubMed]
- Guo, X.P.; Yang, B.; Wang, Z.C.; Chen, S.; Liu, M.H.; Chen, R. Effect of Straw Compartments on Water and Salt Transport in Coastal Saline Soils. J. Irrig. Drain. 2016, 35, 22–27. [Google Scholar]
- Li, X.N. Effects of Double Ammoniated Straw Returning on Water and Salt Transport and Maize Growth in Saline Alkali Soil. Water-Sav. Irrig. 2021, 7, 80–83. [Google Scholar] [CrossRef]
- Zhang, H.; Pang, H.; Zhao, Y.; Lu, C.; Liu, N.; Zhang, X.; Li, Y. Water and Salt Exchange Flux and Mechanism in a Dry Saline Soil Amended with Buried Straw of Varying Thicknesses. Geoderma 2020, 365, 114213. [Google Scholar] [CrossRef]
- Zhou, L.; Su, T.; Zhao, L. Simulation of Water and Salt Transport in Shallow Soil with Different Soil Quality:A Case Study of Jiefangzha Irrigation Area of Inner Mongolia. Water Sav. Irrig. 2019, 2, 91–95. [Google Scholar] [CrossRef]








| Soil Type | TN (g/kg) | AP (mg/kg) | AK (mg/kg) | SOM (g/kg) | pH | EC (μs/cm) | SAR (mmolc L−1)0.5 | Total Salt (g/kg) | Bulk Densit (g/cm3) |
|---|---|---|---|---|---|---|---|---|---|
| salted tidal soil | 0.93 | 34.14 | 110.87 | 9.67 | 8.14 | 1735.5 | 13.1 | 6.4 | 1.39 |
| Soil Depth | TN (g/kg) | AP (mg/kg) | AK (mg/kg) | SOM (g/kg) | pH | EC (μs/cm) | SAR (mmolc L−1)0.5 | Total Salt (g/kg) | Bulk Densit (g/cm3) |
|---|---|---|---|---|---|---|---|---|---|
| 0–20 cm | 0.67 | 37.4 | 118.3 | 10.41 | 8.39 | 1764.3 | 13.5 | 6.13 | 1.31 |
| 20–40 cm | 0.53 | 30.2 | 83.47 | 7.18 | 8.36 | 1699.5 | 12.8 | 6.57 | 1.41 |
| 40–60 cm | 0.41 | 21.2 | 51.15 | 6.17 | 8.37 | 1652.3 | 12.1 | 6.11 | 1.46 |
| 60–80 cm | 0.49 | 22.8 | 52.55 | 6.77 | 8.39 | 1667.7 | 12.3 | 6.29 | 1.43 |
| Cumulative Evaporation (mm) | Cumulative Salt Content (g/kg) | ||
|---|---|---|---|
| Cumulative evaporation | Pearson correlation | 1 | 0.848 * |
| Significance (bilateral) | 0.033 | ||
| The sum of square and fork product | 481.1 | 120.8 | |
| Covariance | 96.22 | 24.16 | |
| N | 6 | 6 | |
| Cumulative salt content | Pearson correlation | 0.848 * | 1 |
| Significance (bilateral) | 0.033 | ||
| The sum of square and fork product | 120.8 | 42.18 | |
| Covariance | 24.16 | 8.436 | |
| N | 6 | 6 | |
| Soil Depth | Salt Inhibition Rate (%) | ||||
|---|---|---|---|---|---|
| SC | DB | S1D1 | S2D1 | S1D2 | |
| 0–20 cm | 35.46 | 44.76 | 50.98 | 54.80 | 37.30 |
| 20–40 cm | 17.14 | 43.79 | 41.03 | 49.47 | 33.11 |
| 40–60 cm | 5.064 | 34.52 | 27.04 | 31.23 | 19.85 |
| 60–80 cm | 3.047 | 38.53 | 27.51 | 34.73 | 22.97 |
Disclaimer/Publisher’s Note: The statements, opinions and data contained in all publications are solely those of the individual author(s) and contributor(s) and not of MDPI and/or the editor(s). MDPI and/or the editor(s) disclaim responsibility for any injury to people or property resulting from any ideas, methods, instructions or products referred to in the content. |
© 2023 by the authors. Licensee MDPI, Basel, Switzerland. This article is an open access article distributed under the terms and conditions of the Creative Commons Attribution (CC BY) license (https://creativecommons.org/licenses/by/4.0/).
Share and Cite
Li, M.; Wang, W.; Wang, X.; Yao, C.; Wang, Y.; Wang, Z.; Zhou, W.; Chen, E.; Chen, W. Effect of Straw Mulching and Deep Burial Mode on Water and Salt Transport Regularity in Saline Soils. Water 2023, 15, 3227. https://doi.org/10.3390/w15183227
Li M, Wang W, Wang X, Yao C, Wang Y, Wang Z, Zhou W, Chen E, Chen W. Effect of Straw Mulching and Deep Burial Mode on Water and Salt Transport Regularity in Saline Soils. Water. 2023; 15(18):3227. https://doi.org/10.3390/w15183227
Chicago/Turabian StyleLi, Mengzhu, Wei Wang, Xiaofang Wang, Chunmei Yao, Yuanbo Wang, Zanxia Wang, Weizhi Zhou, Endian Chen, and Weifeng Chen. 2023. "Effect of Straw Mulching and Deep Burial Mode on Water and Salt Transport Regularity in Saline Soils" Water 15, no. 18: 3227. https://doi.org/10.3390/w15183227
APA StyleLi, M., Wang, W., Wang, X., Yao, C., Wang, Y., Wang, Z., Zhou, W., Chen, E., & Chen, W. (2023). Effect of Straw Mulching and Deep Burial Mode on Water and Salt Transport Regularity in Saline Soils. Water, 15(18), 3227. https://doi.org/10.3390/w15183227
