Study on the Mechanism of Rainfall-Runoff Induced Nitrogen and Phosphorus Loss in Hilly Slopes of Black Soil Area, China
Abstract
:1. Introduction
2. Materials and Methods
2.1. Overview of the Study Area
2.2. Runoff Site Layout
2.3. Rainfall Monitoring Process
2.4. Sample Collection and Analysis
2.4.1. Water Sample and Sediment Separation Method
2.4.2. Water Sample and Sediment Analysis Method
2.5. Analysis of the Erosion Mechanism
2.6. Data Processing
3. Results and Discussion
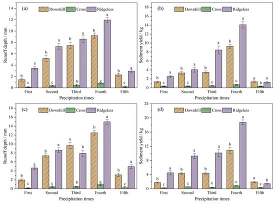
3.1. Runoff Sand Effect
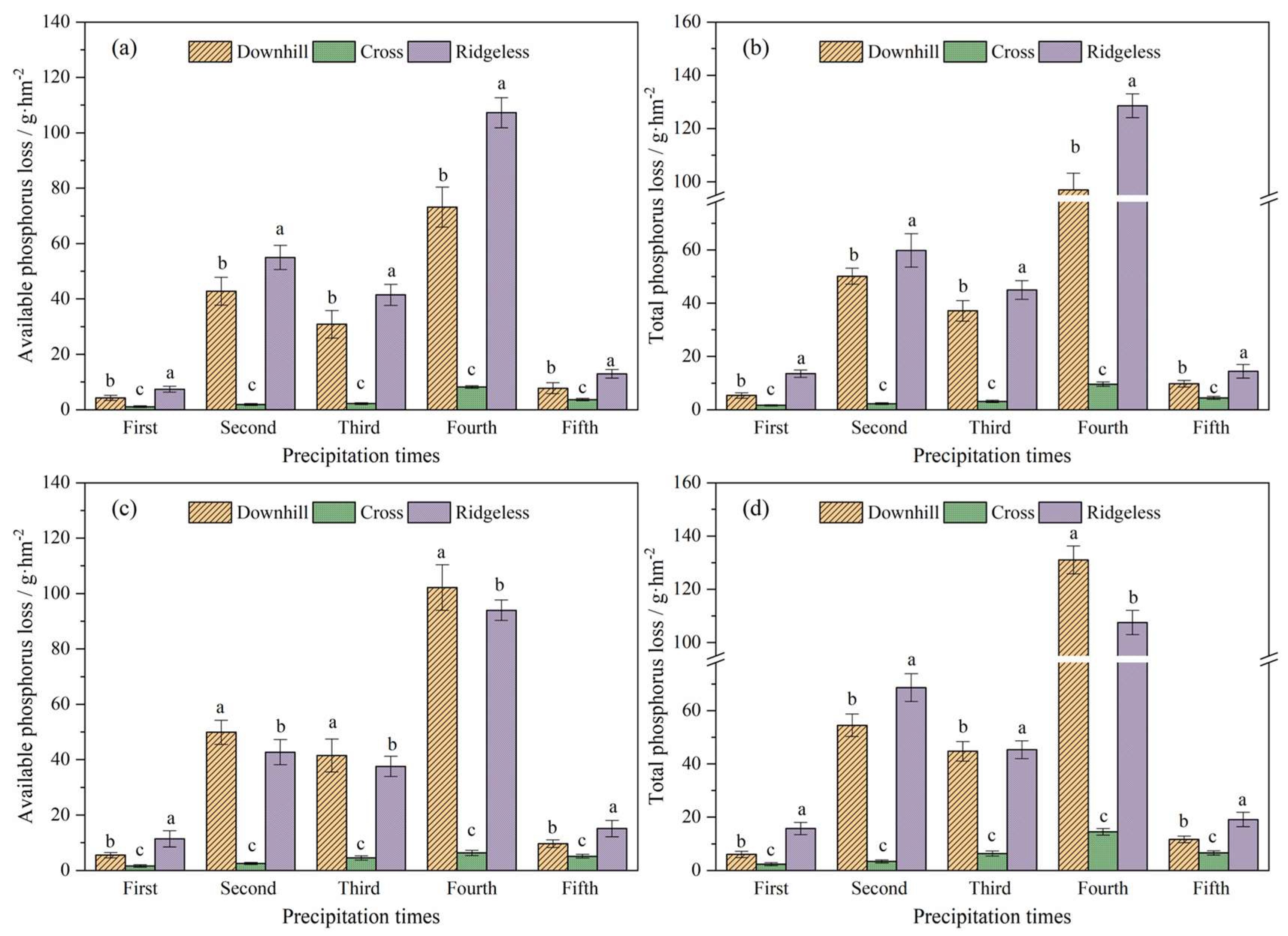
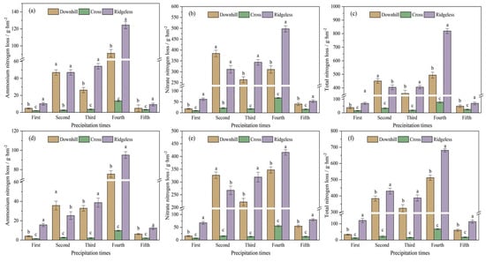
3.2. Nitrogen and Phosphorus Loss Effects in Runoff Communities
3.3. Analysis of Influencing Factors behind Water and Fertilizer Loss in Runoff Communities
4. Discussion
4.1. Analysis of Rainfall-Runoff Processes
4.2. Hydrodynamic Characteristics of Rainfall Runoff
4.3. Rainfall Erosion Force Effect
5. Conclusions
Author Contributions
Funding
Data Availability Statement
Conflicts of Interest
References
- Li, W.; Wang, D.; Li, H.; Liu, S. Urbanization-induced site condition changes of peri-urban cultivated land in the black soil region of northeast China. Ecol. Indic. 2017, 80, 215–223. [Google Scholar] [CrossRef]
- Liu, D.; Wang, Z.; Zhang, B.; Song, K.; Li, X.; Li, J.; Li, F.; Duan, H. Spatial distribution of soil organic carbon and analysis of related factors in croplands of the black soil region, Northeast China. Agric. Ecosyst. Environ. 2006, 113, 73–81. [Google Scholar] [CrossRef]
- Yang, S.L.; Bai, Y.; Alatalo, J.M.; Wang, H.M.; Tong, J.P.; Liu, G.; Zhang, F.; Chen, J.Y. Spatial-temporal pattern of cul-tivated land productivity based on net primary productivity and analysis of influencing factors in the Songhua River basin. Land Degrad. Dev. 2022, 33, 1917–1932. [Google Scholar] [CrossRef]
- Li, H.; Liao, X.; Zhu, H.; Wei, X.; Shao, M. Soil physical and hydraulic properties under different land uses in the black soil region of Northeast China. Can. J. Soil Sci. 2019, 99, 406–419. [Google Scholar] [CrossRef]
- Liberati, D.; Guidolotti, G.; Dato, G.; De Angelis, P. Enhancement of ecosystem carbon uptake in a dry shrubland under moderate warming: The role of nitrogen-driven changes in plant morphology. Glob. Chang. Biol. 2021, 27, 5629–5642. [Google Scholar] [CrossRef]
- Yuan, X.; Jun, Z. Water Resource Risk Assessment Based on Non-Point Source Pollution. Water 2021, 13, 1907. [Google Scholar] [CrossRef]
- Park, J.C.; Sp, N.; Kim, H.D.; Kang, D.Y.; Kim, I.H.; Bae, S.W.; Yang, Y.; Jang, K.J. The Exogenous Application of Non-Toxic Sulfur Contributes to the Growth-Promoting Effects of Leaf Lettuce (Lactuca sativa L. var. crispa). Agriculture 2021, 11, 769. [Google Scholar] [CrossRef]
- Huang, B.B.; Yan, D.H.; Wang, H.; Cheng, B.F.; Cui, X.H. Effects of water quality of the basin caused by nitrogen loss from soil in drought. Nat. Hazards 2015, 75, 2357–2368. [Google Scholar] [CrossRef]
- Wang, S.Y.; Wang, W.D.; Zhao, S.Y.; Wang, X.M.; Hefting, M.M.; Schwark, L.; Zhu, G.B. Anammox and denitrification separately dominate microbial N-loss in water saturated and unsaturated soils horizons of riparian zones. Water Res. 2019, 162, 139–150. [Google Scholar] [CrossRef]
- Guo, J.K.; Shan, H.Y.; Xu, H.J.; Bai, Y.C.; Zhang, J.M. Exact solution for asymmetric turbulent channel flow with ap-plications in ice-covered rivers. J. Hydraul. Eng. 2017, 143, 04017041. [Google Scholar] [CrossRef]
- Kothyari, U.C.; Hayashi, K.; Hashimoto, H. Drag coefficient of unsubmerged rigid vegetation stems in open channel flows. J. Hydraul. Res. 2009, 47, 691–699. [Google Scholar] [CrossRef]
- Li, X.-P.; Cai, J.; Wang, Q.-J.; Wang, X.-W. Heterogeneous public preferences for controlling agricultural non-point source pollution based on a choice experiment. J. Environ. Manag. 2022, 305, 114413. [Google Scholar] [CrossRef] [PubMed]
- Zeng, L.L.; Li, X.Y.; Ruiz-Menjivar, J. The effect of crop diversity on agricultural eco-efficiency in China: A blessing or a curse? J. Clean. Prod. 2020, 276, 124243. [Google Scholar] [CrossRef]
- Qi, H.H.; Altinakar, M.S. Vegetation Buffer Strips Design Using an Optimization Approach for Non-Point Source Pol-lutant Control of an Agricultural Watershed. Water Resour. Manag. 2011, 25, 565–578. [Google Scholar] [CrossRef]
- Guo, L.; Liu, R.; Men, C.; Wang, Q.; Miao, Y.; Shoaib, M.; Wang, Y.; Jiao, L.; Zhang, Y. Multiscale spatiotemporal characteristics of landscape patterns, hotspots, and influencing factors for soil erosion. Sci. Total Environ. 2021, 779, 146474. [Google Scholar] [CrossRef] [PubMed]
- Li, H.; Zhu, H.; Wei, X.; Liu, B.; Shao, M. Soil erosion leads to degradation of hydraulic properties in the agricultural region of Northeast China. Agric. Ecosyst. Environ. 2021, 314, 107388. [Google Scholar] [CrossRef]
- Ma, Q.H.; Zhang, K.L.; Jabro, J.D.; Ren, L.; Liu, H.Y. Freeze-thaw cycles effects on soil physical properties under different degraded conditions in Northeast China. Environ. Earth Sci. 2019, 78, 321. [Google Scholar] [CrossRef]
- Sadeghi, S.H.; Najafinejad, A.; Gharemahmudli, S.; Darki, B.Z.; Behbahani, A.M.; Kheirfam, H. Reduction in soil loss caused by a freeze-thaw cycle through inoculation of endemic soil microorganisms. Appl. Soil Ecol. 2021, 157, 103770. [Google Scholar] [CrossRef]
- Yang, X.M.; Zhang, X.P.; Deng, W.; Fang, H.J. Black soil degradation by rainfall erosion in Jilin, China. Land Degrad. Dev. 2003, 14, 409–420. [Google Scholar] [CrossRef]
- Hou, S.; Wang, S.; Ji, Z.; Zhu, X. Design and Test of the Clearing and Covering of a Minimum-Tillage Planter for Corn Stubble. Agriculture 2022, 12, 1209. [Google Scholar] [CrossRef]
- Lei, Z.; Yu, D.; Zhou, F.; Zhang, Y.; Yu, D.; Zhou, Y.; Han, Y. Changes in soil organic carbon and its influencing factors in the growth of Pinus sylvestris var. mongolica plantation in Horqin Sandy Land, Northeast China. Sci. Rep. 2019, 9, 16453. [Google Scholar] [CrossRef] [PubMed]
- Xu, L.; Du, H.; Zhang, X. Spatial Distribution Characteristics of Soil Salinity and Moisture and Its Influence on Agricultural Irrigation in the Ili River Valley, China. Sustainability 2019, 11, 7142. [Google Scholar] [CrossRef]
- Ahmed, A.I.A.; Eldoma, I.M.; Elaagip, E.E.A.H.; Hou, F. Effects of Indigenous Cultivation Practices on Soil Conservation in the Hilly Semiarid Areas of Western Sudan. Water 2020, 12, 1554. [Google Scholar] [CrossRef]
- Robichaud, P.R.; Storrar, K.A.; Wagenbrenner, J.W. Effectiveness of straw bale check dams at reducing post-fire sedi-ment yields from steep ephemeral channels. Sci. Total Environ. 2019, 676, 721–731. [Google Scholar] [CrossRef] [PubMed]
- Peng, X.D.; Shi, D.M.; Guo, H.Z.; Jiang, D.; Wang, S.S.; Li, Y.X.; Ding, W.B. Effect of urbanisation on the water reten-tion function in the Three Gorges Reservoir Area, China. Catena 2015, 133, 241–249. [Google Scholar] [CrossRef]
- Golosov, V.; Collins, A.; Dobrovolskaya, N.; Bazhenova, O.; Ryzhov, Y.; Sidorchuk, A. Soil loss on the arable lands of the forest-steppe and steppe zones of European Russia and Siberia during the period of intensive agriculture. Geoderma 2021, 381, 114678. [Google Scholar] [CrossRef]
- Wu, B.; Cheng, G.; Jiao, K.; Shi, W.; Wang, C.; Xu, H. Mycoextraction by Clitocybe maxima combined with metal immobilization by biochar and activated carbon in an aged soil. Sci. Total Environ. 2016, 562, 732–739. [Google Scholar] [CrossRef]
- Ross, C.A.; Ali, G.A.; Spence, C.; Courchesne, F. Evaluating the Ubiquity of Thresholds in Rainfall-Runoff Response Across Contrasting Environments. Water Resour. Res. 2021, 57, 3575–3591. [Google Scholar] [CrossRef]
- Han, S.M.; Yang, Y.H.; Fan, T.; Xiao, D.P.; Moiwo, J.P. Precipitation-runoff processes in Shimen hillslope micro-catchment of Taihang Mountain, north China. Hydrol. Process. 2012, 26, 1332–1341. [Google Scholar] [CrossRef]
- Li, T.; Yu, P.; Liu, D.; Fu, Q.; Hou, R.; Zhao, H.; Xu, S.; Zuo, Y.; Xue, P. Effects of Biochar on Sediment Transport and Rill Erosion after Two Consecutive Years of Seasonal Freezing and Thawing. Sustainability 2021, 13, 6984. [Google Scholar] [CrossRef]
- Baek, C.W.; Coles, N. The influence of antecedent soil moisture conditions on the rainfall–runoff threshold value of a roaded catchment used for water harvesting. Water Supply 2013, 13, 1202–1208. [Google Scholar] [CrossRef]
- Guo, D.D.; Wang, Y.; Gao, Y.; Lyu, Y.N.; Lin, Y.H.; Pan, Y.S.; Zhu, L.; Zhu, Y.Z. Nitrogen migration in products dur-ing the microwave-assisted hydrothermal carbonization of spirulina platensis. Bioresour. Technol. 2022, 351, 126968. [Google Scholar] [CrossRef] [PubMed]
- Xiong, J.; He, Z.; Mahmood, Q.; Liu, D.; Yang, X.; Islam, E. Phosphate removal from solution using steel slag through magnetic separation. J. Hazard. Mater. 2008, 152, 211–215. [Google Scholar] [CrossRef] [PubMed]
- Pansu, M.; Gautheyrou, J. Handbook of Soil Analysis: Mineralogical, Organic and Inorganic Methods; Springer: Berlin/Heidelberg, Germany, 2006. [Google Scholar]
- Grag, L.; Abrahams, A.D.; Atkinson, J.F. Correction factors in the determination of mean velocity of overland flow. Earth Surf. Process. Land Forms 1996, 21, 509–515. [Google Scholar]
- Liu, H.; Yang, J.; Diao, Y.; Lei, T.; Rahma, A.E. The hydrodynamic mechanism of rainfall runoff from loess slopes treated with incorporated straw. Land Degrad. Dev. 2021, 32, 3812–3822. [Google Scholar] [CrossRef]
- Hou, J.M.; Zhang, Y.W.; Tong, Y.; Guo, K.H.; Qi, W.C.; Hinkelmann, R. Experimental study for effects of terrain features and rainfall intensity on infiltration rate of modelled permeable pavement. J. Environ. Manag. 2019, 243, 177–186. [Google Scholar] [CrossRef]
- Zhao, J.L.; Wang, Z.G.; Dong, Y.F.; Yang, Z.Q.; Govers, G. How soil erosion and runoff are related to land use, topography and annual precipitation: Insights from a meta-analysis of erosion plots in China. Sci. Total Environ. 2022, 802, 149665. [Google Scholar] [CrossRef]
- Zanandrea, F.; Michel, G.P.; Kobiyama, M.; Censi, G.; Abatti, B.H. Spatial-temporal assessment of water and sediment connectivity through a modified connectivity index in a subtropical mountainous catchment. Catena 2021, 204, 105380. [Google Scholar] [CrossRef]
- He, J.; Su, D.; Lv, S.; Diao, Z.; Bu, H.; Wo, Q. Analysis of factors controlling soil phosphorus loss with surface runoff in Huihe National Nature Reserve by principal component and path analysis methods. Environ. Sci. Pollut. Res. 2018, 25, 2320–2330. [Google Scholar] [CrossRef]
- Luo, J.; Zheng, Z.; Li, T.; He, S.; Wang, Y.; Zhang, X.; Huang, H.; Yu, H.; Liu, T. Characterization of runoff and sediment associated with rill erosion in sloping farmland during the maize-growing season based on rescaled range and wavelet analyses. Soil Tillage Res. 2019, 195, 104359. [Google Scholar] [CrossRef]
- Peng, X.; Dai, Q.; Ding, G.; Li, C. Role of underground leakage in soil, water and nutrient loss from a rock-mantled slope in the karst rocky desertification area. J. Hydrol. 2019, 578, 124086. [Google Scholar] [CrossRef]
- Li, H.B.; Ma, Q.H.; Li, H.G.; Zhang, F.S.; Rengel, Z.; Shen, J.B. Root morphological responses to localized nutrient supply differ among crop species with contrasting root traits. Plant Soil 2014, 376, 151–163. [Google Scholar] [CrossRef]
- Uwizeye, A.; Gerber, P.J.; Schulte, R.P.; de Boer, I.J. A comprehensive framework to assess the sustainability of nutrient use in global livestock supply chains. J. Clean. Prod. 2016, 129, 647–658. [Google Scholar] [CrossRef]
- Liu, R.; Wang, J.; Shi, J.; Chen, Y.; Sun, C.; Zhang, P.; Shen, Z. Runoff characteristics and nutrient loss mechanism from plain farmland under simulated rainfall conditions. Sci. Total Environ. 2014, 468–469, 1069–1077. [Google Scholar] [CrossRef]
- Wang, S.; Adhikari, K.; Zhuang, Q.; Gu, H.; Jin, X. Impacts of urbanization on soil organic carbon stocks in the northeast coastal agricultural areas of China. Sci. Total Environ. 2020, 721, 137814. [Google Scholar] [CrossRef] [PubMed]
- Robichaud, P.; Lillybridge, T.; Wagenbrenner, J. Effects of postfire seeding and fertilizing on hillslope erosion in north-central Washington, USA. Catena 2006, 67, 56–67. [Google Scholar] [CrossRef]
- Ravikovitch, P.I.; Bogan, B.W.; Neimark, A.V. Nitrogen and Carbon Dioxide Adsorption by Soils. Environ. Sci. Technol. 2005, 39, 4990–4995. [Google Scholar] [CrossRef]
- Ao, C.; Zeng, W.Z.; Yang, P.L.; Xing, W.M.; Lei, G.Q.; Wu, J.W.; Huang, J.S. The effects of slope shape and poly-acrylamide application on runoff, erosion and nutrient loss from hillslopes under simulated rainfall. Hydrol. Process. 2021, 35, 372–381. [Google Scholar] [CrossRef]
- Cui, E.; Lu, R.; Xu, X.; Sun, H.; Qiao, Y.; Ping, J.; Qiu, S.; Lin, Y.; Bao, J.; Yong, Y.; et al. Soil phosphorus drives plant trait variations in a mature subtropical forest. Glob. Chang. Biol. 2022, 28, 3310–3320. [Google Scholar] [CrossRef]
- Fu, D.; Wu, X.; Duan, C.; Zhao, L.; Li, B. Different life-form plants exert different rhizosphere effects on phosphorus biogeochemistry in subtropical mountainous soils with low and high phosphorus content. Soil Tillage Res. 2020, 199, 104516. [Google Scholar] [CrossRef]
- Wang, K.; Onodera, S.-I.; Saito, M.; Ishida, T. Assessment of long-term phosphorus budget changes influenced by anthropogenic factors in a coastal catchment of Osaka Bay. Sci. Total Environ. 2022, 843, 156833. [Google Scholar] [CrossRef] [PubMed]
- Bayad, M.; Chau, H.W.; Trolove, S.; Moir, J.; Condron, L.; El Gharous, M. Surface runoff and losses of phosphorus from hydrophobic pastoral soils. Agric. Ecosyst. Environ. 2022, 324, 107690. [Google Scholar] [CrossRef]
- Ao, C.; Yang, P.L.; Zeng, W.Z.; Chen, W.L.; Xu, Y.; Xu, H.L.; Zha, Y.Y.; Wu, J.W.; Huang, J.S. Impact of raindrop di-ameter and polyacrylamide application on runoff, soil and nitrogen loss via raindrop splashing. Geoderma 2019, 353, 372–381. [Google Scholar] [CrossRef]
- Wen, L.L.; Zheng, F.L.; Shen, H.O.; Bian, F.; Jiang, Y.L. Rainfall intensity and inflow rate effects on hillslope soil ero-sion in the Mollisol region of Northeast China. Nat. Hazards 2015, 79, 381–395. [Google Scholar] [CrossRef]
- Henry, A.; Kleinman, P.J.A.; Lynch, J.P. Phosphorus runoff from a phosphorus deficient soil under common bean (Phaseolus vulgaris L.) and soybean (Glycine max L.) genotypes with contrasting root architecture. Plant Soil 2009, 317, 1–16. [Google Scholar] [CrossRef]
- Graham, S.L.; Laubach, J.; Hunt, J.E.; Mudge, P.L.; Nuñez, J.; Rogers, G.N.; Buxton, R.P.; Carrick, S.; Whitehead, D. Irrigation and grazing management affect leaching losses and soil nitrogen balance of lucerne. Agric. Water Manag. 2022, 259, 107233. [Google Scholar] [CrossRef]
- Nishigaki, T.; Shibata, M.; Sugihara, S.; Mvondo-Ze, A.D.; Araki, S.; Funakawa, S. Effect of mulching with vegetative residues on soil water erosion and water balance in an oxisol cropped by Cassava in east cameroon. Land Degrad. Dev. 2017, 28, 682–690. [Google Scholar] [CrossRef]
- Wu, L.; Qiao, S.; Peng, M.; Ma, X. Coupling loss characteristics of runoff-sediment-adsorbed and dissolved nitrogen and phosphorus on bare loess slope. Environ. Sci. Pollut. Res. 2018, 25, 14018–14031. [Google Scholar] [CrossRef]
- Liang, Z.M.; Wang, J.; Li, B.Q.; Yu, Z.B. A statistically based runoff-yield model coupling infiltration excess and saturation excess mechanisms. Hydrol. Process. 2012, 26, 2856–2865. [Google Scholar] [CrossRef]
- Wang, S.; Zhang, B.; Wang, S.; Xie, G.D. Dynamic changes in water conservation in the Beijinge-Tianjin Sandstorm Source Control Project Area: A case study of Xilin Gol League in China. J. Clean. Prod. 2021, 293, 126054. [Google Scholar] [CrossRef]
- Zhang, X.; Hu, M.; Guo, X.; Yang, H.; Zhang, Z.; Zhang, K. Effect of topographic factors on runoff and soil loss in Southwest China. Catena 2018, 160, 394–402. [Google Scholar] [CrossRef]
- Gerontidis, D.S.; Kosmas, C.; Detsis, B.; Marathianou, M.; Zafirious, T.; Tsara, M. The effect of moldboard plow on tillage erosion along a hillslope. J. Soil Water Conserv. 2001, 56, 147–152. [Google Scholar]
- Zhang, G.H.; Shen, R.C.; Luo, R.T.; Cao, Y.; Zhang, X.C. Effects of sediment load on hydraulics of overland flow on steep slopes. Earth Surf. Process. Landf. 2010, 35, 1811–1819. [Google Scholar] [CrossRef]
- Liu, S.; Qin, T.; Lv, X.; Shi, X.; Dong, B.; Wang, J.; Liu, C. Experimental Study of Runoff and Sediment Yield Affected by Ridge Direction and Width of Sloping Farmland. Front. Earth Sci. 2021, 9, 694773. [Google Scholar] [CrossRef]
- Liao, Y.; Yuan, Z.; Zhuo, M.; Huang, B.; Nie, X.; Xie, Z.; Tang, C.; Li, D. Coupling effects of erosion and surface roughness on colluvial deposits under continuous rainfall. Soil Tillage Res. 2019, 191, 98–107. [Google Scholar] [CrossRef]
- Gomez, J.A.; Nearing, M.A. Runoff and sediment losses from rough and smooth soil surfaces in a laboratory experiment. Catena 2005, 59, 253–266. [Google Scholar] [CrossRef]
- Leys, A.; Govers, G.; Gillijns, K.; Berckmoes, E.; Takken, I. Scale effects on runoff and erosion losses from arable land under conservation and conventional tillage: The role of residue cover. J. Hydrol. 2010, 390, 143–154. [Google Scholar] [CrossRef]
- Rodríguez-Caballero, E.; Cantón, Y.; Chamizo, S.; Afana, A.; Solé-Benet, A. Effects of biological soil crusts on surface roughness and implications for runoff and erosion. Geomorphology 2012, 145, 81–89. [Google Scholar] [CrossRef]








| No. | Slope | Ridge Type | Mechanical Composition of the Soil | Soil Dry Density (cm3·g−1) | Initial Moisture Content (%) | Cation Exchange Capability (cmol·kg−1) | ||
|---|---|---|---|---|---|---|---|---|
| Clay (<0.002 mm) | Silt (0.002–0.02 mm) | Sand (>0.02 mm) | ||||||
| A1 | 3° | Ridge cultivation along the slope | 27.5 | 42.2 | 31.3 | 1.32 | 25.62 | 8.63 |
| A2 | 3° | Cross-slope-ridge direction | 26.3 | 43.5 | 30.2 | 1.37 | 24.68 | 7.92 |
| A3 | 3° | No-ridge cropping | 28.6 | 44.5 | 26.9 | 1.34 | 26.35 | 7.63 |
| B1 | 5° | Ridge cultivation along the slope | 27.2 | 46.9 | 25.9 | 1.31 | 25.97 | 8.12 |
| B2 | 5° | Cross-slope-ridge direction | 26.9 | 45.8 | 27.3 | 1.29 | 26.79 | 8.35 |
| B3 | 5° | No-ridge cropping | 28.8 | 44.3 | 26.9 | 1.35 | 27.68 | 8.46 |
| Date of Rainfall (y-m-d) | Rainfall (mm) | The Rainfall Lasts for a Long Time (min) | Average Rainfall Intensity (mm·h−1) | I30 (mm) | Rainfall Erosion (MJ∙mm/(hm2∙h)) | Type of Rainfall |
|---|---|---|---|---|---|---|
| 2021-07-02 | 9.8 | 105 | 5.6 | 16.1 | 36.83 | light rain |
| 2021-07-07 | 28.7 | 818 | 2.1 | 31.6 | 221.34 | heavy rain |
| 2021-07-08 | 27.3 | 284 | 5.8 | 28.6 | 202.35 | heavy rain |
| 2021-08-25 | 43.3 | 535 | 4.9 | 39.8 | 445.61 | rainstorm |
| 2021-09-11 | 11.7 | 1459 | 0.5 | 5.8 | 11.05 | moderate rain |
| Treatment | Runoff Is Deep | Sand Production | Ammonium Nitrogen | Nitrate | Total Nitrogen | Available Phosphorus | Total Phosphorus | |||||||
|---|---|---|---|---|---|---|---|---|---|---|---|---|---|---|
| F-Value | Sig. | F-Value | Sig. | F-Value | Sig. | F-Value | Sig. | F-Value | Sig. | F-Value | Sig. | F-Value | Sig. | |
| Rainfall | 178.53 | 0.000 ** | 257.23 | 0.000 ** | 287.67 | 0.000 ** | 351.78 | 0.000 ** | 457.67 | 0.000 ** | 231.89 | 0.000 ** | 387.96 | 0.000 ** |
| Ridge direction | 152.36 | 0.000 ** | 221.56 | 0.000 ** | 89.36 | 0.000 ** | 125.56 | 0.000 ** | 172.35 | 0.000 ** | 112.45 | 0.000 ** | 56.35 | 0.000 ** |
| slope | 85.65 | 0.037 * | 159.36 | 0.025 * | 112.32 | 0.072 | 135.64 | 0.114 | 86.36 | 0.089 | 72.36 | 0.023 * | 22.35 | 0.017 * |
| Rainfall × ridge direction | 56.48 | 0.005 ** | 37.58 | 0.002 ** | 54.16 | 0.000 ** | 52.12 | 0.000 ** | 35.64 | 0.000 ** | 28.56 | 0.001 ** | 35.48 | 0.000 ** |
| Ridge direction × slope | 65.69 | 0.008 ** | 52.13 | 0.025 * | 32.11 | 0.015 * | 21.68 | 0.015 * | 63.56 | 0.011 * | 42.15 | 0.007 ** | 21.48 | 0.005 ** |
| Rainfall × slope | 19.74 | 0.033 * | 12.48 | 0.013 * | 12.45 | 0.079 | 9.36 | 0.046 * | 14.58 | 0.028 * | 16.35 | 0.034 * | 14.65 | 0.027 * |
| Rainfall × ridge direction × slope | 15.36 | 0.065 | 6.35 | 0.079 | 3.63 | 0.081 | 4.56 | 0.022 * | 5.28 | 0.137 | 5.27 | 0.037 * | 3.26 | 0.143 |
| Slope | Rainfall (mm) | Re | Fr | f | ||||||
|---|---|---|---|---|---|---|---|---|---|---|
| Downhill | Cross | Ridgeless | Downhill | Cross | Ridgeless | Downhill | Cross | Ridgeless | ||
| 3° | 9.8 | 96.52 | 23.78 | 153.41 | 0.42 | 0.16 | 0.39 | 43.62 | 86.33 | 24.56 |
| 28.7 | 239.94 | 51.35 | 382.93 | 0.49 | 0.25 | 0.57 | 35.24 | 65.27 | 18.61 | |
| 27.3 | 218.86 | 45.27 | 352.24 | 0.54 | 0.23 | 0.62 | 32.45 | 59.34 | 15.57 | |
| 43.3 | 276.55 | 60.64 | 517.46 | 0.63 | 0.26 | 0.73 | 28.36 | 51.45 | 13.91 | |
| 11.7 | 110.47 | 26.42 | 180.41 | 0.39 | 0.18 | 0.47 | 38.63 | 76.86 | 21.98 | |
| 5° | 9.8 | 104.92 | 27.41 | 175.03 | 0.39 | 0.19 | 0.45 | 39.41 | 81.52 | 21.32 |
| 28.7 | 263.41 | 34.85 | 434.07 | 0.64 | 0.34 | 0.69 | 27.46 | 60.58 | 15.67 | |
| 27.3 | 229.61 | 47.61 | 454.70 | 0.68 | 0.31 | 0.75 | 29.36 | 55.23 | 14.75 | |
| 43.3 | 389.53 | 69.41 | 567.41 | 0.76 | 0.39 | 0.82 | 24.16 | 48.26 | 11.82 | |
| 11.7 | 135.38 | 32.04 | 208.24 | 0.45 | 0.21 | 0.62 | 35.21 | 73.64 | 19.71 | |
Disclaimer/Publisher’s Note: The statements, opinions and data contained in all publications are solely those of the individual author(s) and contributor(s) and not of MDPI and/or the editor(s). MDPI and/or the editor(s) disclaim responsibility for any injury to people or property resulting from any ideas, methods, instructions or products referred to in the content. |
© 2023 by the authors. Licensee MDPI, Basel, Switzerland. This article is an open access article distributed under the terms and conditions of the Creative Commons Attribution (CC BY) license (https://creativecommons.org/licenses/by/4.0/).
Share and Cite
Li, T.; Ma, F.; Wang, J.; Qiu, P.; Zhang, N.; Guo, W.; Xu, J.; Dai, T. Study on the Mechanism of Rainfall-Runoff Induced Nitrogen and Phosphorus Loss in Hilly Slopes of Black Soil Area, China. Water 2023, 15, 3148. https://doi.org/10.3390/w15173148
Li T, Ma F, Wang J, Qiu P, Zhang N, Guo W, Xu J, Dai T. Study on the Mechanism of Rainfall-Runoff Induced Nitrogen and Phosphorus Loss in Hilly Slopes of Black Soil Area, China. Water. 2023; 15(17):3148. https://doi.org/10.3390/w15173148
Chicago/Turabian StyleLi, Tienan, Fang Ma, Jun Wang, Pengpeng Qiu, Ning Zhang, Weiwei Guo, Jinzhong Xu, and Taoyan Dai. 2023. "Study on the Mechanism of Rainfall-Runoff Induced Nitrogen and Phosphorus Loss in Hilly Slopes of Black Soil Area, China" Water 15, no. 17: 3148. https://doi.org/10.3390/w15173148
APA StyleLi, T., Ma, F., Wang, J., Qiu, P., Zhang, N., Guo, W., Xu, J., & Dai, T. (2023). Study on the Mechanism of Rainfall-Runoff Induced Nitrogen and Phosphorus Loss in Hilly Slopes of Black Soil Area, China. Water, 15(17), 3148. https://doi.org/10.3390/w15173148

