Analysis of the Behavior of Groundwater Storage Systems at Different Time Scales in Basins of South Central Chile: A Study Based on Flow Recession Records
Abstract
1. Introduction
2. Materials and Methods
2.1. Study Area and Data
2.2. Recession Flow Analysis
2.3. Temporal Variability in Recession Flows
2.4. Cluster Analysis
3. Results and Discussion
3.1. Basin-Scale Spatial Distribution of Characteristics
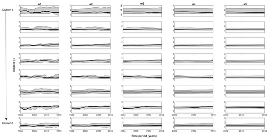
3.2. Temporal Variability of Recession Parameter b
3.3. Influence of Climate Behavior on S-Q Behavior
3.4. Implications of the Study and Future Research
4. Conclusions
Author Contributions
Funding
Data Availability Statement
Acknowledgments
Conflicts of Interest
Appendix A
| Gauge Name | Gauge Latitude (°) | Gauge Longitude (°) | Area (km2) | Mean Elevation (m) | Mean Slope (°) | Geologic Class | Degree of Permeability (-) | Aridity Index (-) |
|---|---|---|---|---|---|---|---|---|
| Estero Zamorano En Puente El Niche | −34.4 | −71.2 | 1023 | 672 | 13.2 | MiG | 3.1 | 1.6 |
| Rio Quepe En Quepe | −38.9 | −72.6 | 1666 | 506 | 7.3 | MiG | 3.2 | 0.5 |
| Rio Cauquenes En El Arrayan | −36.0 | −72.4 | 622 | 308 | 8.3 | MiG | 1.8 | 1.2 |
| Rio Purapel En Sauzal | −35.8 | −72.1 | 404 | 294 | 7.0 | PG | 1.7 | 1.5 |
| Rio Andalien Camino A Penco | −36.8 | −73.0 | 750 | 210 | 7.7 | PG | 1.0 | 1.0 |
| Rio Lumaco En Lumaco | −38.2 | −72.9 | 853 | 341 | 9.7 | MiG | 1.7 | 1.0 |
| Estero Curipeumo En Lo Hernandez | −36.0 | −72.0 | 217 | 137 | 0.7 | SG | 3.2 | 1.6 |
| Rio Loncomilla En Bodega | −35.8 | −71.8 | 7079 | 398 | 7.1 | MiG | 2.7 | 1.1 |
| Rio Mininco En Longitudinal | −37.9 | −72.4 | 440 | 450 | 3.3 | SG | 3.0 | 0.6 |
| Rio Malleco En Collipulli | −38.0 | −72.4 | 415 | 801 | 13.8 | MiG | 3.0 | 0.4 |
| Rio Traiguen En Victoria | −38.2 | −72.3 | 94 | 513 | 2.1 | SG | 3.0 | 0.6 |
| Rio Dumo En Santa Ana | −38.2 | −72.3 | 393 | 485 | 2.4 | SG | 3.0 | 0.7 |
| Rio Quino En Longitudinal | −38.3 | −72.4 | 277 | 581 | 3.6 | SG | 3.0 | 0.5 |
| Estero Chufquen En Chufquen | −38.3 | −72.7 | 854 | 429 | 2.7 | SG | 3.0 | 0.7 |
| Rio Quillen En Galvarino | −38.4 | −72.8 | 710 | 285 | 3.7 | SG | 3.1 | 0.9 |
| Rio Larqui En Santa Cruz De Cuca | −36.7 | −72.4 | 636 | 150 | 1.7 | SG | 5.0 | 1.1 |
| Rio Lirquen En Cerro El Padre | −37.8 | −71.9 | 103 | 668 | 13.7 | MiG | 3.5 | 0.5 |
| Rio Donguil En Gorbea | −39.1 | −72.7 | 770 | 206 | 5.1 | MG | 4.2 | 0.6 |
| Rio Negro En Chahuilco | −40.7 | −73.2 | 2280 | 152 | 3.2 | SG | 4.6 | 0.6 |
| Rio Damas En Tacamo | −40.6 | −73.1 | 467 | 132 | 1.6 | SG | 4.8 | 0.7 |
| Rio Negro En Las Lomas | −41.4 | −73.1 | 253 | 118 | 1.8 | SG | 3.6 | 0.4 |
| Rio Cholchol En Cholchol | −38.6 | −72.8 | 5048 | 342 | 7.0 | MiG | 2.6 | 0.8 |
| Rio Puyehue En Quitratue | −39.2 | −72.7 | 153 | 200 | 8.9 | MG | 2.2 | 0.6 |
| Rio Mahuidanche En Santa Ana | −39.1 | −72.9 | 384 | 189 | 10.2 | MG | 2.2 | 0.6 |
| Rio Collileufu En Los Lagos | −39.9 | −72.8 | 626 | 197 | 8.1 | MG | 2.5 | 0.7 |
| Rio Inaque En Mafil | −39.7 | −73.0 | 539 | 204 | 8.6 | MG | 2.9 | 0.6 |
| Rio Cauquenes En Desembocadura | −35.9 | −72.1 | 1637 | 246 | 5.9 | MiG | 2.0 | 1.3 |
| Rio Loncomilla En Las Brisas | −35.6 | −71.8 | 9924 | 489 | 8.7 | MiG | 2.8 | 1.0 |
| Rio Vergara En Tijeral | −37.7 | −72.6 | 2537 | 375 | 8.1 | MiG | 2.2 | 0.8 |
| Rio Muco En Puente Muco | −38.6 | −72.4 | 650 | 537 | 7.1 | MiG | 3.1 | 0.6 |
| Rio Cruces En Rucaco | −39.6 | −72.9 | 1803 | 282 | 7.9 | MiG | 3.4 | 0.5 |
| Rio Longavi En El Castillo | −36.3 | −71.3 | 467 | 1564 | 24.4 | VG | 2.7 | 0.5 |
| Rio Achibueno En La Recova | −36.0 | −71.4 | 894 | 1329 | 23.0 | VG | 2.9 | 0.6 |
| Rio Itata En Cholguan | −37.2 | −72.1 | 860 | 834 | 12.1 | VG | 3.1 | 0.6 |
| Rio Diguillin En San Lorenzo (Atacalco) | −36.9 | −71.6 | 204 | 1511 | 22.8 | VG | 2.7 | 0.4 |
| Rio Coihueco Antes Junta Pichicope | −40.9 | −72.7 | 313 | 608 | 14.1 | VG | 3.0 | 0.3 |
| Rio Perquilauquen En Gniquen | −36.2 | −72.0 | 1209 | 647 | 11.2 | MiG | 2.6 | 0.7 |
| Rio Perquilauquen En Quella | −36.1 | −72.1 | 1687 | 505 | 8.6 | MiG | 2.9 | 0.9 |
| Rio Itata En General Cruz | −36.9 | −72.4 | 1662 | 613 | 7.9 | SG | 3.2 | 0.7 |
| Rio Itata En Trilaleo | −37.1 | −72.2 | 1148 | 752 | 10.2 | MiG | 3.2 | 0.7 |
| Rio Diguillin En Longitudinal | −36.9 | −72.3 | 1300 | 785 | 10.1 | SG | 3.2 | 0.6 |
| Rio Itata En Balsa Nueva Aldea | −36.7 | −72.5 | 4510 | 504 | 7.0 | SG | 3.3 | 0.8 |
| Rio Itata En Coelemu | −36.5 | −72.7 | 10,405 | 616 | 9.0 | SG | 3.3 | 0.8 |
| Rio Renaico En Longitudinal | −37.9 | −72.4 | 688 | 833 | 16.0 | MiG | 2.6 | 0.4 |
| Rio Huichahue En Faja 24000 | −38.9 | −72.3 | 348 | 605 | 12.9 | MiG | 3.1 | 0.4 |
| Rio Cautin En Almagro | −38.8 | −72.9 | 5547 | 553 | 7.4 | SG | 3.1 | 0.5 |
| Estero Upeo En Upeo | −35.2 | −71.1 | 367 | 1197 | 19.8 | MiG | 2.9 | 0.8 |
| Rio Mataquito En Licanten | −35.0 | −72.0 | 5700 | 1230 | 15.2 | SG | 3.0 | 0.9 |
| Rio Perquilauquen En San Manuel | −36.4 | −71.6 | 502 | 1100 | 20.5 | MiG | 2.0 | 0.5 |
| Rio Longavi En La Quiriquina | −36.2 | −71.5 | 669 | 1401 | 23.0 | VG | 2.5 | 0.5 |
| Rio Lircay En Puente Las Rastras | −35.5 | −71.3 | 382 | 1052 | 14.4 | MiG | 3.1 | 0.6 |
| Rio Duqueco En Villucura | −37.6 | −72.0 | 818 | 1023 | 16.4 | MiG | 2.3 | 0.5 |
| Rio Tolten En Teodoro Schmidt | −39.0 | −73.1 | 7927 | 702 | 11.1 | MiG | 2.8 | 0.4 |
| Rio Rahue En Forrahue | −40.5 | −73.3 | 5603 | 234 | 4.9 | MiG | 4.1 | 0.5 |
| Rio Ñirehuao En Villa Mañihuales | −45.2 | −72.1 | 1997 | 926 | 9.7 | MiG | 3.5 | 1.1 |
| Rio Claro En El Valle | −34.7 | −70.9 | 349 | 1605 | 20.0 | VG | 2.5 | 0.7 |
| Rio Claro En Los QueñEs | −35.0 | −70.8 | 354 | 1857 | 23.8 | VG | 2.7 | 0.6 |
| Rio Sauces Antes Junta Con Ñuble | −36.7 | −71.3 | 607 | 1683 | 22.8 | VG | 2.9 | 0.6 |
| Rio Blanco En Curacautin | −38.5 | −71.9 | 171 | 1297 | 13.4 | VG | 2.9 | 0.3 |
| Rio Cautin En Rari-Ruca | −38.4 | −72.0 | 1306 | 1125 | 13.5 | VG | 2.9 | 0.4 |
| Rio Allipen En Los Laureles | −39.0 | −72.2 | 1675 | 1021 | 14.7 | VG | 2.5 | 0.4 |
| Rio Nilahue En Mayay | −40.3 | −72.2 | 309 | 914 | 14.5 | VG | 2.5 | 0.3 |
| Rio Liucura En Liucura | −39.3 | −71.8 | 349 | 1038 | 19.4 | MiG | 1.9 | 0.4 |
| Rio Liquine En Liquine | −39.7 | −71.8 | 368 | 1122 | 19.8 | PG | 1.5 | 0.3 |
| Rio Calcurrupe En Desembocadura | −40.3 | −72.3 | 1726 | 936 | 20.5 | PG | 1.6 | 0.3 |
| Rio San Juan En Desembocadura | −53.7 | −71.0 | 864 | 342 | 8.8 | SG | 4.0 | 0.8 |
| Rio Maule En Forel | −35.4 | −72.2 | 20,515 | 890 | 11.8 | MiG | 2.8 | 0.9 |
| Rio Lonquimay Antes Junta Rio Bio Bio | −38.4 | −71.2 | 467 | 1359 | 15.6 | MiG | 2.6 | 0.4 |
| Rio Cautin En Cajon | −38.7 | −72.5 | 2756 | 763 | 9.2 | VG | 3.0 | 0.5 |
| Rio Trancura En Curarrehue | −39.4 | −71.6 | 357 | 1195 | 20.2 | VG | 2.3 | 0.3 |
| Rio Trancura Antes Rio Llafenco | −39.3 | −71.8 | 1379 | 1147 | 18.3 | VG | 2.4 | 0.3 |
| Rio Rubens En Ruta N 9 | −52.0 | −71.9 | 504 | 415 | 7.4 | SG | 3.5 | 0.7 |
References
- Condon, L.E.; Atchley, A.L.; Maxwell, R.M. Evapotranspiration depletes groundwater under warming over the contiguous United States. Nat. Commun. 2020, 11, 873. [Google Scholar] [CrossRef] [PubMed]
- Patnaik, S.; Biswal, B.; Kumar, D.N.; Bellie Sivakumar, B. Regional variation of recession flow power-law exponent. Hydrol. Process. 2018, 32, 866–872. [Google Scholar] [CrossRef]
- Jachens, E.R.; Rupp, D.E.; Roques, C.; Selker, J.S. Recession analysis revisited: Impacts of climate on parameter estimation. Hydrol. Earth Syst. Sci. 2020, 24, 1159–1170. [Google Scholar] [CrossRef]
- Shao, C.; Liu, Y. Analysis of Groundwater Storage Changes and Influencing Factors in China Based on GRACE Data. Atmosphere 2023, 14, 250. [Google Scholar] [CrossRef]
- Karimi, S.; Seibert, S.; Laudon, H. Evaluating the effects of alternative model structures on dynamic storage simulation in heterogeneous boreal catchments. Hydrol. Res. 2022, 53, 562–583. [Google Scholar] [CrossRef]
- Adams, K.H.; Reager, J.T.; Rosen, P.; Wiese, D.N.; Farr, T.G.; Rao, S.; Haines, B.J.; Argus, D.F.; Liu, Z.; Smith, R.; et al. Remote sensing of groundwater: Current capabilities and future directions. Water Resour. Res. 2022, 58, e2022WR032219. [Google Scholar] [CrossRef]
- Brutsaert, W.; Nieber, J.L. Regionalized drought flow hydrographs from a mature glaciated plateau. Water Resour. Res. 1977, 13, 637–643. [Google Scholar] [CrossRef]
- Tallaksen, L. A review of baseflow recession analysis. J. Hydrol. 1995, 65, 349–370. [Google Scholar] [CrossRef]
- Kirchner, J.W. Catchments as simple dynamical systems: Catchment characterization, rainfall-runoff modeling, and doing hydrology backward. Water Resour. Res. 2009, 45, W02429. [Google Scholar] [CrossRef]
- Biswal, B.; Marani, M. Universal recession curves and their geomorphological interpretation. Adv. Water Resour. 2014, 65, 34–42. [Google Scholar] [CrossRef]
- Parra, V.; Arumí, J.L.; Muñoz, E.I. Characterization of the Groundwater Storage Systems of South-Central Chile: An Approach Based on Recession Flow Analysis. Water 2019, 11, 1506. [Google Scholar] [CrossRef]
- Huang, C.; Yeh, H. Impact of climate and NDVI changes on catchment storage–discharge dynamics in southern Taiwan. Hydrol. Sci. J. 2022, 67, 1834–1845. [Google Scholar] [CrossRef]
- Mendoza, G.F.; Steenhuis, T.S.; Walter, M.T.; Parlange, J.Y. Estimating basin-wide hydraulic parameters of a semi-arid mountainous watershed by recession-flow analysis. J. Hydrol. 2003, 279, 57–69. [Google Scholar] [CrossRef]
- Oyarzún, R.; Godoy, R.; Núñez, J.; Fairley, J.P.; Oyarzún, J.; Maturana, H.; Freixas, G. Recession flow analysis as a suitable tool for hydrogeological parameter determination in steep, arid basins. J. Arid. Environ. 2014, 105, 1–11. [Google Scholar] [CrossRef]
- Brutsaert, W. Long-term groundwater storage trends estimated from streamflow records: Climatic perspective. Water Resour. Res. 2008, 44, W02409. [Google Scholar] [CrossRef]
- Lin, K.T.; Yeh, H.F. Baseflow recession characterization and groundwater storage trends in northern Taiwan. Hydrol. Res. 2017, 48, 1745–1756. [Google Scholar] [CrossRef]
- Yan, H.; Hu, H.; Liu, Y.; Tudaji, M.; Yang, T.; Wei, Z.; Chen, L.; Ali Khan, M.Y.; Chen, Z. Characterizing the groundwater storage–discharge relationship of small catchments in China. Hydrol. Res. 2022, 53, 782–794. [Google Scholar] [CrossRef]
- Lin, L.; Gao, M.; Liu, J.; Wang, J.; Wang, S.; Chen, X.; Liu, H. Understanding the effects of climate warming on streamflow and active groundwater storage in an alpine catchment: The upper Lhasa River. Hydrol. Earth Syst. Sci. 2020, 24, 1145–1157. [Google Scholar] [CrossRef]
- Buttle, J.M. Dynamic storage: A potential metric of inter-basin differences in storage properties. Hydrol. Process. 2016, 30, 4644–4653. [Google Scholar] [CrossRef]
- Fan, Y.; Clark, M.; Lawrence, D.; Swenson, S.; Band, L.E.; Brantley, S.; Brooks, P.; Dietrich, W.; Flores, A.; Grant, G.; et al. Hillslope Hydrology in Global Change Research and Earth System Modeling. Water Resour. Res. 2019, 55, 1737–1772. [Google Scholar] [CrossRef]
- Shaw, S.B.; Riha, S.J. Examining individual recession events instead of a data cloud: Using a modified interpretation of dQ/dt -Q streamflow recession in glaciated watersheds to better inform models of low flow. J. Hydrol. 2012, 434, 46–54. [Google Scholar] [CrossRef]
- Sánchez-Murillo, R.; Brooks, E.S.; Elliot, W.J.; Gazel, E.; Boll, J. Baseflow recession analysis in the in land Pacific Northwest of the United States. Hydrogeol. J. 2015, 23, 287–303. [Google Scholar] [CrossRef]
- Brutsaert, W.; Lopez, J.P. Basin-scale geohydrologic drought Flow features of riparian aquifers in the southern Great Plains. Water Resour. Res. 1998, 34, 233–240. [Google Scholar] [CrossRef]
- Ceola, S.; Botter, G.; Bertuzzo, E.; Porporato, A.; Rodriguez-Iturbe, I.; Rinaldo, A. Comparative study of ecohydrological streamflow probability distributions. Water Resour. Res. 2010, 46, W09502. [Google Scholar] [CrossRef]
- Ye, S.; Li, H.; Huang, M.; Ali, M.; Leng, G.; Leung, L.R.; Sivapalan, M. Regionalization of subsurface stormflow parameters of hydrologic models: Derivation from regional analysis of streamflow recession curves. J. Hydrol. 2014, 519, 670–682. [Google Scholar] [CrossRef]
- Chen, B.; Krajewski, W. Analysing individual recession events: Sensitivity of parameter determination to thecalculation procedure. Hydrol. Sci. J. 2016, 61, 2887–2901. [Google Scholar] [CrossRef]
- Santos, A.C.; Portela, M.M.; Rinaldo, A.; Schaefli, B. Estimation of streamflow recession parameters: New insights from an analytic streamflow distribution model. Hydrol. Process. 2019, 33, 1595–1609. [Google Scholar] [CrossRef]
- Jachens, E.R.; Roques, C.; Rupp, D.E.; Selker, J.S. Streamflow recession analysis using water height. Water Resour. Res. 2020, 56, e2020WR027091. [Google Scholar] [CrossRef]
- Huang, C.C.; Yeh, H.F. Evaluation of seasonal catchment dynamic storage components using an analytical streamflow duration curve model. Sustain. Environ. Res. 2022, 32, 49. [Google Scholar] [CrossRef]
- DGA. Atlas del Agua: Chile 2016; DGA: Santiago, Chile, 2016; Available online: https://snia.mop.gob.cl/repositoriodga/handle/20.500.13000/4371 (accessed on 16 March 2023).
- Garreaud, R.; Vuille, M.; Compagnucci, R.; Marengo, J. Present-day South American climate. Palaeogeogr. Palaeoclim. Palaeoecol. 2009, 281, 180–195. [Google Scholar] [CrossRef]
- Alvarez-Garreton, C.; Mendoza, P.A.; Boisier, J.P.; Addor, N.; Galleguillos, M.; Zambrano-Bigiarini, M.; Lara, A.; Puelma, C.; Cortes, G.; Garreaud, R.; et al. The CAMELS-CL dataset: Catchment attributes and meteorology for large sample studies—Chile dataset. Hydrol. Earth Syst. Sci. 2018, 22, 5817–5846. [Google Scholar] [CrossRef]
- Sernageomin. Mapa Geológico de Chile: Versión Digital; Servicio Nacional de Geología y Minería; Publicación Geológica Digital: Santiago, Chile, 2003.
- Rubio-Álvarez, E.; McPhee, J. Patterns of spatial and temporal variability in streamflow records in south central Chile in the period 1952–2003. Water Resour. Res. 2010, 46. [Google Scholar] [CrossRef]
- Voeckler, H.; Allen, D.M. Estimating regional-scale fractured bedrock hydraulic conductivity using discrete fracture network (DFN) modeling. Hydrogeol. J. 2012, 20, 1081–1100. [Google Scholar] [CrossRef]
- Roques, C.; Rupp, D.; Selker, J. Improved streamflow recession parameter estimation with attention to calculation of −dQ/dt. Adv. Water Resour. 2017, 108, 29–43. [Google Scholar] [CrossRef]
- Troch, P.A.; De Troch, F.P.; Brutsaert, W. Effective water-table depth to describe initial conditions prior to storm rainfall in humid regions. Water Resour. Res. 1993, 29, 427–434. [Google Scholar] [CrossRef]
- Wang, Y.; Duan, L.; Liu, T.; Li, J.; Feng, P. A Non-stationary Standardized Streamflow Index for hydrological drought using climate and human-induced indices as covariates. Sci. Total Environ. 2019, 699, 134278. [Google Scholar] [CrossRef]
- World Meteorological Organization. Standardized Precipitation Index User Guide. Available online: https://library.wmo.int/index.php?lvl=notice_display&id=13682 (accessed on 16 January 2023).
- Castro, L.; Gironás, J. Precipitation, Temperature and Evaporation. In Water Resources of Chile; Fernández, B., Gironás, J., Eds.; Springer: Cham, Switzerland, 2021; Volume 8. [Google Scholar] [CrossRef]
- Savenije, H.H. HESS opinions “topography driven conceptual modelling (FLEX-topo)”. Hydrol. Earth Syst. Sci. 2010, 14, 2681–2692. [Google Scholar] [CrossRef]
- Li, H.; Ameli, A. A statistical approach for identifying factors governing streamflow recession behaviour. Hydrol. Process. 2022, 36, e14718. [Google Scholar] [CrossRef]
- Fenta, M.C.; Anteneh, Z.L.; Szanyi, J.; Walker, D. Hydrogeological framework of the volcanic aquifers and groundwater quality in Dangila Town and the surrounding area, Northwest Ethiopia. Groundw. Sustain. Dev. 2020, 11, 100408. [Google Scholar] [CrossRef]
- Garreaud, R.D.; Boisier, J.P.; Rondanelli, R.; Montecinos, A.; Sepúlveda, H.H.; Veloso-Aguila, D. The Central Chile Mega Drought (2010–2018): A climate dynamics perspective. Int. J. Climatol. 2019, 40, 421–439. [Google Scholar] [CrossRef]
- McNamara, J.P.; Tetzlaff, D.; Bishop, K.; Soulsby, C.; Seyfried, M.; Peters, N.E.; Aulenbach, B.T.; Hooper, R. Storage as a metric of catchment comparison. Hydrol. Process. 2011, 25, 3364–3371. [Google Scholar] [CrossRef]
- Dralle, D.N.; Hahm, W.J.; Rempe, D.M.; Karst, N.J.; Thompson, S.E.; Dietrich, W.E. Quantification of the seasonal hillslope water storage that does not drive streamflow. Hydrol Process. 2018, 32, 1978–1992. [Google Scholar] [CrossRef]
- Staudinger, M.; Stoelzle, M.; Seeger, S.; Seibert, J.; Weiler, M.; Stahl, K. Catchment water storage variation with elevation. Hydrol. Process. 2017, 31, 2000–2015. [Google Scholar] [CrossRef]
- Balocchi, F.; Flores, N.; Arumí, J.L.; Iroumé, A.; White, D.A.; Silberstein, R.P.; Ramírez de Arellano, P. Comparison of streamflow recession between plantations and native forests in small catchments in Central-Southern Chile. Hydrol. Process. 2021, 35, e14182. [Google Scholar] [CrossRef]
- Mutzner, R.; Bertuzzo, E.; Tarolli, P.; Weijs, S.V.; Nicotina, L.; Ceola, S.; Rinaldo, A. Geomorphic signatures on brutsaert base flow recession analysis. Water Resour. Res. 2013, 49, 5462–5472. [Google Scholar] [CrossRef]
- Sharma, D.; Patnaik, S.; Biswal, B.; Reager, J.T. Characterization of Basin-Scale Dynamic Storage–Discharge Relationship Using Daily GRACE Based Storage Anomaly Data. Geosciences 2020, 10, 404. [Google Scholar] [CrossRef]
- Wu, W.Y.; Lo, M.H.; Wada, Y.; Famiglietti, J.S.; Reager, J.T.; Yeh, P.J.-F.; Ducharne, A.; Yang, Z. Divergent effects of climate change on future groundwater availability in key mid-latitude aquifers. Nat. Commun. 2020, 11, 3710. [Google Scholar] [CrossRef]







| SPI/SSI Values (*) | Category |
|---|---|
| 2 and above | Extremely wet |
| 1.5 a 1.99 | Severely wet |
| 1.0 a 1.49 | Moderately wet |
| −0.99 a 0.99 | Normal or near normal |
| −1.0 a −1.49 | Moderate drought |
| −1.5 a −1.99 | Severe drought |
| −2 and below | Extreme drought |
Disclaimer/Publisher’s Note: The statements, opinions and data contained in all publications are solely those of the individual author(s) and contributor(s) and not of MDPI and/or the editor(s). MDPI and/or the editor(s) disclaim responsibility for any injury to people or property resulting from any ideas, methods, instructions or products referred to in the content. |
© 2023 by the authors. Licensee MDPI, Basel, Switzerland. This article is an open access article distributed under the terms and conditions of the Creative Commons Attribution (CC BY) license (https://creativecommons.org/licenses/by/4.0/).
Share and Cite
Parra, V.; Muñoz, E.; Arumí, J.L.; Medina, Y. Analysis of the Behavior of Groundwater Storage Systems at Different Time Scales in Basins of South Central Chile: A Study Based on Flow Recession Records. Water 2023, 15, 2503. https://doi.org/10.3390/w15142503
Parra V, Muñoz E, Arumí JL, Medina Y. Analysis of the Behavior of Groundwater Storage Systems at Different Time Scales in Basins of South Central Chile: A Study Based on Flow Recession Records. Water. 2023; 15(14):2503. https://doi.org/10.3390/w15142503
Chicago/Turabian StyleParra, Víctor, Enrique Muñoz, José Luis Arumí, and Yelena Medina. 2023. "Analysis of the Behavior of Groundwater Storage Systems at Different Time Scales in Basins of South Central Chile: A Study Based on Flow Recession Records" Water 15, no. 14: 2503. https://doi.org/10.3390/w15142503
APA StyleParra, V., Muñoz, E., Arumí, J. L., & Medina, Y. (2023). Analysis of the Behavior of Groundwater Storage Systems at Different Time Scales in Basins of South Central Chile: A Study Based on Flow Recession Records. Water, 15(14), 2503. https://doi.org/10.3390/w15142503

