Effects of Different Submerged Macrophytes on the Water and Sediment in Aquaculture Ponds with Enrofloxacin Residues
Abstract
1. Introduction
2. Material and Methods
2.1. Experimental Mesocosms
2.2. Sampling and Analysis
2.3. DNA Extraction and High throughout Sequencing
2.4. Statistical Analysis
3. Results and Discussion
3.1. Growth of Submerged Macrophytes
3.2. Overlying Water Quality
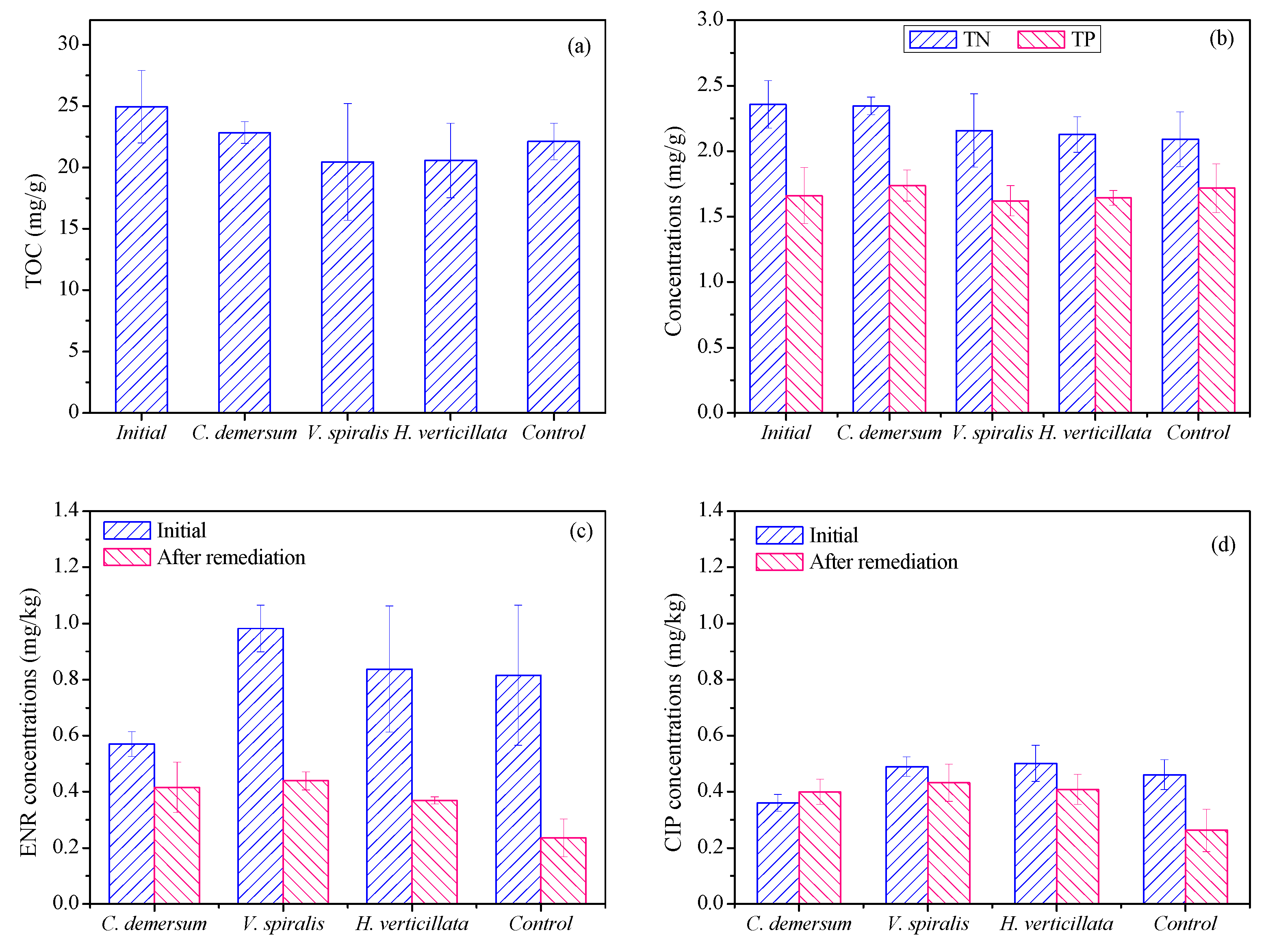
3.3. Effects of Submerged Macrophytes on the Sediment Characteristics
3.4. Effects of Plant Species on the Microorganism in Sediment with ENR
4. Conclusions
Author Contributions
Funding
Data Availability Statement
Conflicts of Interest
References
- FAO. The State of World Fisheries and Aquaculture 2020. In Sustainability in Action; FAO: Rome, Italy, 2020; Volume 32, p. 244. [Google Scholar] [CrossRef]
- Naylor, R.L.; Hardy, R.W.; Buschmann, A.H.; Bush, S.R.; Cao, L.; Klinger, D.H.; Little, D.C.; Lubchenco, J.; Shumway, S.E.; Troell, M. A 20-year retrospective review of global aquaculture. Nature 2021, 591, 551–563. [Google Scholar] [CrossRef]
- Wang, J.; Beusen, A.H.W.; Liu, X.; Bouwman, A.F. Aquaculture Production is a Large, Spatially Concentrated Source of Nutrients in Chinese Freshwater and Coastal Seas. Environ. Sci. Technol. 2019, 54, 1464–1474. [Google Scholar] [CrossRef]
- Amable, V.I.; Amarilla, M.J.V.; Salas, P.L.; Mendoza, J.A.; Falcón, S.L.; Boehringer, S.I.; Sánchez, S.; Guidoli, M.G. Fluoro-quinolones and tetracyclines as growth factors in aquaculture: Increase of biometrical parameters versus emergence of resistant bacteria and residues in meat. Aquaculture 2022, 561, 738640. [Google Scholar] [CrossRef]
- Jin, X.; Liu, S.; Zhang, Z.; Liu, T.; Li, N.; Liang, Y.; Zheng, J.; Peng, N. Enrofloxacin-induced transfer of multiple-antibiotic resistance genes and emergence of novel resistant bacteria in red swamp crayfish guts and pond sediments. J. Hazard. Mater. 2023, 443, 130261. [Google Scholar] [CrossRef] [PubMed]
- Zhu, M.H.; Chen, J.W.; Peijnenburg, W.J.G.M.; Xie, H.J.; Wang, Z.Y.; Zhang, S.Y. Controlling factors and toxicokinetic modeling of antibiotics bioaccumulation in aquatic organisms: A review. Crit. Rev. Environ. Sci. Technol. 2023, 53, 1431–1451. [Google Scholar] [CrossRef]
- Xu, J.; Liu, X.; Lv, Y.; Guo, X.; Lu, S. Response of Cyperus involucratus to sulfamethoxazole and ofloxacin-contaminated envi-ronments: Growth physiology, transportation, and microbial community. Ecotoxicol. Environ. Saf. 2020, 206, 111332. [Google Scholar] [CrossRef] [PubMed]
- Swiacka, K.; Maculewicz, J.; Kowalska, D.; Caban, M.; Smolarz, K.; Swiezak, J. Presence of pharmaceuticals and their me-tabolites in wild-living aquatic organisms—Current state of knowledge. J. Hazard. Mater. 2022, 424, 127350. [Google Scholar] [CrossRef] [PubMed]
- Griboff, J.; Carrizo, J.C.; Bonansea, R.I.; Valdés, M.E.; Wunderlin, D.A.; Amé, M.V. Multiantibiotic residues in commercial fish from Argentina. The presence of mixtures of antibiotics in edible fish, a challenge to health risk assessment. Food Chem. 2020, 332, 127380. [Google Scholar] [CrossRef]
- Kim, A.; Kim, N.; Roh, H.J.; Chun, W.-K.; Ho, D.T.; Lee, Y.; Kim, D.-H. Administration of antibiotics can cause dysbiosis in fish gut. Aquaculture 2019, 512, 734330. [Google Scholar] [CrossRef]
- Li, B.; Jia, R.; Hou, Y.; Zhu, J. Treating performance of a commercial-scale constructed wetland system for aquaculture effluents from intensive inland Micropterus salmoides farm. Front. Mar. Sci. 2022, 9, 1000703. [Google Scholar] [CrossRef]
- Xu, L.; Li, Z.; Zhuang, B.; Zhou, F.; Li, Z.; Pan, X.; Xi, H.; Zhao, W.; Liu, H. Enrofloxacin perturbs nitrogen transformation and assimilation in rice seedlings (Oryza sativa L.). Sci. Total. Environ. 2022, 802, 149900. [Google Scholar] [CrossRef]
- Kashem, A.H.M.; Das, P.; AbdulQuadir, M.; Khan, S.; Thaher, M.I.; Alghasal, G.; Hawari, A.H.; Al-Jabri, H. Microalgal bio-remediation of brackish aquaculture wastewater. Sci. Total Environ. 2023, 873, 162384. [Google Scholar] [CrossRef]
- Zhang, L.L.; Zhang, Y.P.; Liu, L.Z. Effect of submerged macrophytes Vallisneria spiralis L. on restoring the sediment contami-nated by enrofloxacin in aquaculture ponds. Ecol. Eng. 2019, 140, 105596. [Google Scholar] [CrossRef]
- Xue, H.H.; Li, M.; Liu, B.S.; Meng, Q.L. Photochemical degradation kinetics and mechanisms of norfloxacin and oxytetracycline. Environ. Sci. Pollut. Res. 2020, 28, 8258–8265. [Google Scholar] [CrossRef]
- Sha, S.; Dong, Z.; Gao, Y.; Hashim, H.; Lee, C.T.; Li, C. In-situ removal of residual antibiotics (enrofloxacin) in recirculating aquaculture system: Effect of ultraviolet photolysis plus biodegradation using immobilized microbial granules. J. Clean. Prod. 2022, 333, 130190. [Google Scholar] [CrossRef]
- Li, Y.; Wang, L.G.; Chao, C.X.; Yu, H.W.; Yu, D.; Liu, C.H. Submerged macrophytes successfully restored a subtropical aqua-cultural lake by controlling its internal phosphorus loading. Environ. Pollut. 2021, 268, 115949. [Google Scholar] [CrossRef]
- Ohore, O.E.; Qin, Z.R.; Sanganyado, E.; Wang, Y.W.; Jiao, X.Y.; Liu, W.H.; Wang, Z. Ecological impact of antibiotics on bio-remediation performance of constructed wetlands: Microbial and plant dynamics, and potential antibiotic resistance genes hotspots. J. Hazard. Mater. 2022, 424, 127495. [Google Scholar] [CrossRef] [PubMed]
- Chen, Q.; Jin, L.Q.; Zhong, Y.; Ji, G.H. Effects of Enrofloxacin on the Epiphytic Algal Communities Growing on the Leaf Surface of Vallisneria natans. Antibiotics 2022, 11, 1020. [Google Scholar] [CrossRef]
- Limbu, S.M.; Chen, L.; Zhang, M.; Du, Z. A global analysis on the systemic effects of antibiotics in cultured fish and their po-tential human health risk: A review. Rev. Aquacult. 2021, 13, 1015–1059. [Google Scholar] [CrossRef]
- Nie, Z.J.; Zheng, Z.W.; Zhu, H.J.; Sun, Y.; Gao, J.; Gao, J.C.; Xu, P.; Xu, G.C. Effects of submerged macrophytes (Elodea nuttallii) on water quality and microbial communities of largemouth bass (Micropterus salmoides) ponds. Front. Microbiol. 2023, 13, 1050699. [Google Scholar] [CrossRef]
- Liu, H.; Liu, G.; Xing, W. Functional traits of submerged macrophytes in eutrophic shallow lakes affect their ecological functions. Sci. Total. Environ. 2021, 760, 143332. [Google Scholar] [CrossRef] [PubMed]
- Zhu, L.M.; Xu, H.T.; Xiao, W.S.; Lu, J.K.; Lu, D.; Chen, X.Y.; Zheng, X.Y.; Jeppesen, E.; Zhang, W.; Wang, L.Q. Ecotoxicological effects of sulfonamide on and its removal by the submerged plant Vallisneria natans (Lour.) Hara. Water Res. 2020, 170, 115354. [Google Scholar] [CrossRef] [PubMed]
- Yan, W.M.; He, X.Y.; Wu, T.F.; Chen, M.S.; Lin, J.; Chen, X.; Li, Q.; Li, M.J.; Yan, Y.L.; Yao, Q. A combined study on Vallisneria spiralis and lanthanum modified bentonite to immobilize arsenic in sediments. Environ. Res. 2023, 216, 114689. [Google Scholar] [CrossRef] [PubMed]
- Han, C.; Ren, J.H.; Wang, Z.D.; Yang, S.K.; Ke, F.; Xu, D.; Xie, X.C. Characterization of phosphorus availability in response to radial oxygen losses in the rhizosphere of Vallisneria spiralis. Chemosphere 2018, 208, 740–748. [Google Scholar] [CrossRef] [PubMed]
- Marzocchi, U.; Benelli, S.; Larsen, M.; Bartoli, M.; Glud, R.N. Spatial heterogeneity and short-term oxygen dynamics in the rhizosphere of Vallisneria spiralis: Implications for nutrient cycling. Freshw. Biol. 2019, 64, 532–543. [Google Scholar] [CrossRef]
- Gu, X.S.; Chen, D.Y.; Wu, F.; Tang, L.; He, S.B.; Zhou, W.L. Function of aquatic plants on nitrogen removal and greenhouse gas emission in enhanced denitrification constructed wetlands: Iris pseudacorus for example. J. Clean. Prod. 2022, 330, 129842. [Google Scholar] [CrossRef]
- Liu, Y.L.; Zou, Y.L.Y.; Kong, L.W.; Bai, G.L.; Luo, F.; Liu, Z.S.; Wang, C.; Ding, Z.M.; He, F.; Wu, Z.B.; et al. Effects of bentonite on the growth process of submerged macrophytes and sediment microenvironment. J. Environ. Manag. 2021, 287, 112308. [Google Scholar] [CrossRef]
- Lin, J.S.; Pan, H.Y.; Liu, S.M.; Lai, H.T. Effects of light and microbial activity on the degradation of two fluoroquinolone anti-biotics in pond water and sediment. J. Environ. Sci. Health Part B 2010, 45, 456–465. [Google Scholar] [CrossRef]
- Ding, N.; Jin, C.J.; Zhao, N.N.; Zhao, Y.G.; Guo, L.; Gao, M.C.; She, Z.L.; Ji, J.Y. Removal effect of enrofloxacin from mariculture sediments by bioelectrochemical system and analysis of microbial community structure. Environ. Pollut. 2022, 311, 119641. [Google Scholar] [CrossRef]
- Chang, J.J.; Ji, B.H.; Li, W.; Wu, J.P. Bellamya aeruginosa (Reeve) regulates bacterial community features in sediment harbouring different submerged macrophytes under different nutrient levels. Aquat. Sci. 2021, 83, 35. [Google Scholar] [CrossRef]
- Man, Y.; Wang, J.X.; Tam, N.F.-Y.; Wan, X.; Huang, W.D.; Zheng, Y.; Tang, J.P.; Tao, R.; Yang, Y. Responses of rhizosphere and bulk substrate microbiome to wastewater-borne sulfonamides in constructed wetlands with different plant species. Sci. Total. Environ. 2020, 706, 135955. [Google Scholar] [CrossRef] [PubMed]
- Wang, C.; Liu, S.Y.; Zhang, Y.; Liu, B.Y.; He, F.; Xu, D.; Zhou, Q.H.; Wu, Z.B. Bacterial communities and their predicted func-tions explain the sediment nitrogen changes along with submerged macrophyte restoration. Microb. Ecol. 2018, 76, 625–636. [Google Scholar] [CrossRef]
- Chao, C.X.; Wang, L.G.; Li, Y.; Yan, Z.W.; Liu, H.M.; Yu, D.; Liu, C.H. Response of sediment and water microbial communities to submerged vegetations restoration in a shallow eutrophic lake. Sci. Total. Environ. 2021, 801, 149701. [Google Scholar] [CrossRef] [PubMed]
- Ohore, O.E.; Zhang, S.H.; Guo, S.Z.; Addo, F.G.; Manirakiza, B.; Zhang, W.J. Ciprofloxacin increased abundance of antibiotic resistance genes and shaped microbial community in epiphytic biofilm on Vallisneria spiralis in mesocosmic wetland. Bioresour. Technol. 2021, 323, 124574. [Google Scholar] [CrossRef]
- Zhu, H.-Z.; Jiang, M.-Z.; Zhou, N.; Jiang, C.-Y.; Liu, S.-J. Submerged macrophytes recruit unique microbial communities and drive functional zonation in an aquatic system. Appl. Microbiol. Biotechnol. 2021, 105, 7517–7528. [Google Scholar] [CrossRef] [PubMed]
- Liu, J.X.; Li, C.; Jing, J.H.; Zhao, P.Y.; Luo, Z.M.; Cao, M.W.; Ma, Z.Z.; Jia, T.; Chai, B.F. Ecological patterns and adaptability of bacterial communities in alkaline copper mine drainage. Water Res. 2018, 133, 99–109. [Google Scholar] [CrossRef]
- Solís-González, C.J.; Loza-Tavera, H. Alicycliphilus: Current knowledge and potential for bioremediation of xenobiotics. J. Appl. Microbiol. 2019, 126, 1643–1656. [Google Scholar] [CrossRef]
- Wu, H.L.; Wang, X.Z.; He, X.J.; Zhang, S.B.; Liang, R.B.; Shen, J. Effects of root exudates on denitrifier gene abundance, community structure and activity in a micro-polluted constructed wetland. Sci. Total. Environ. 2017, 598, 697–703. [Google Scholar] [CrossRef]
- Devarajan, N.; Köhler, T.; Sivalingam, P.; van Delden, C.; Mulaji, C.K.; Mpiana, P.T.; Ibelings, B.W.; Poté, J. Antibiotic resistant Pseudomonas spp. in the aquatic environment: A prevalence study under tropical and temperate climate conditions. Water Res. 2017, 115, 256–265. [Google Scholar] [CrossRef]






| Sample | Good’s Coverage (%) | OTUs | ACE | Chao1 | Shannon | Simpson (×10−3) |
|---|---|---|---|---|---|---|
| C. demersum | 98.4 ± 0.15 | 2034 ± 117 b | 2543.1 ± 164.4 b | 2528.7 ± 195.0 b | 5.92 ± 0.19 | 10.5 ± 3.3 |
| V. spiralis | 98.4 ± 0.07 | 2150 ± 70 b,c | 2638.8 ± 72.9 b,c | 2598.7 ± 103.7 b,c | 6.07 ± 0.14 | 9.5 ± 4.8 |
| H. verticillata | 98.6 ± 0.03 | 1859 ± 230 a,b | 2303.5 ± 189.1 a,b | 2265.5 ± 195.1 a,b | 5.89 ± 0.32 | 9.8 ± 4.2 |
| Control | 98.6 ± 0.10 | 1767 ± 57 a | 2212.7 ± 98.3 a | 2205.4± 116.1 a | 5.83 ± 0.10 | 9.8 ± 1.2 |
Disclaimer/Publisher’s Note: The statements, opinions and data contained in all publications are solely those of the individual author(s) and contributor(s) and not of MDPI and/or the editor(s). MDPI and/or the editor(s) disclaim responsibility for any injury to people or property resulting from any ideas, methods, instructions or products referred to in the content. |
© 2023 by the authors. Licensee MDPI, Basel, Switzerland. This article is an open access article distributed under the terms and conditions of the Creative Commons Attribution (CC BY) license (https://creativecommons.org/licenses/by/4.0/).
Share and Cite
Zhang, L.; Liu, L.; Zhang, Y. Effects of Different Submerged Macrophytes on the Water and Sediment in Aquaculture Ponds with Enrofloxacin Residues. Water 2023, 15, 2493. https://doi.org/10.3390/w15132493
Zhang L, Liu L, Zhang Y. Effects of Different Submerged Macrophytes on the Water and Sediment in Aquaculture Ponds with Enrofloxacin Residues. Water. 2023; 15(13):2493. https://doi.org/10.3390/w15132493
Chicago/Turabian StyleZhang, Lingling, Lizao Liu, and Yuping Zhang. 2023. "Effects of Different Submerged Macrophytes on the Water and Sediment in Aquaculture Ponds with Enrofloxacin Residues" Water 15, no. 13: 2493. https://doi.org/10.3390/w15132493
APA StyleZhang, L., Liu, L., & Zhang, Y. (2023). Effects of Different Submerged Macrophytes on the Water and Sediment in Aquaculture Ponds with Enrofloxacin Residues. Water, 15(13), 2493. https://doi.org/10.3390/w15132493
