Characteristics of Winter Precipitation over Pakistan and Possible Causes during 1981–2018
Abstract
1. Introduction
2. Materials and Methods
2.1. Climate Mean State and Topography of Pakistan
2.2. Data
2.3. Methods
3. Results
3.1. Spatial and Temporal Daily Variability
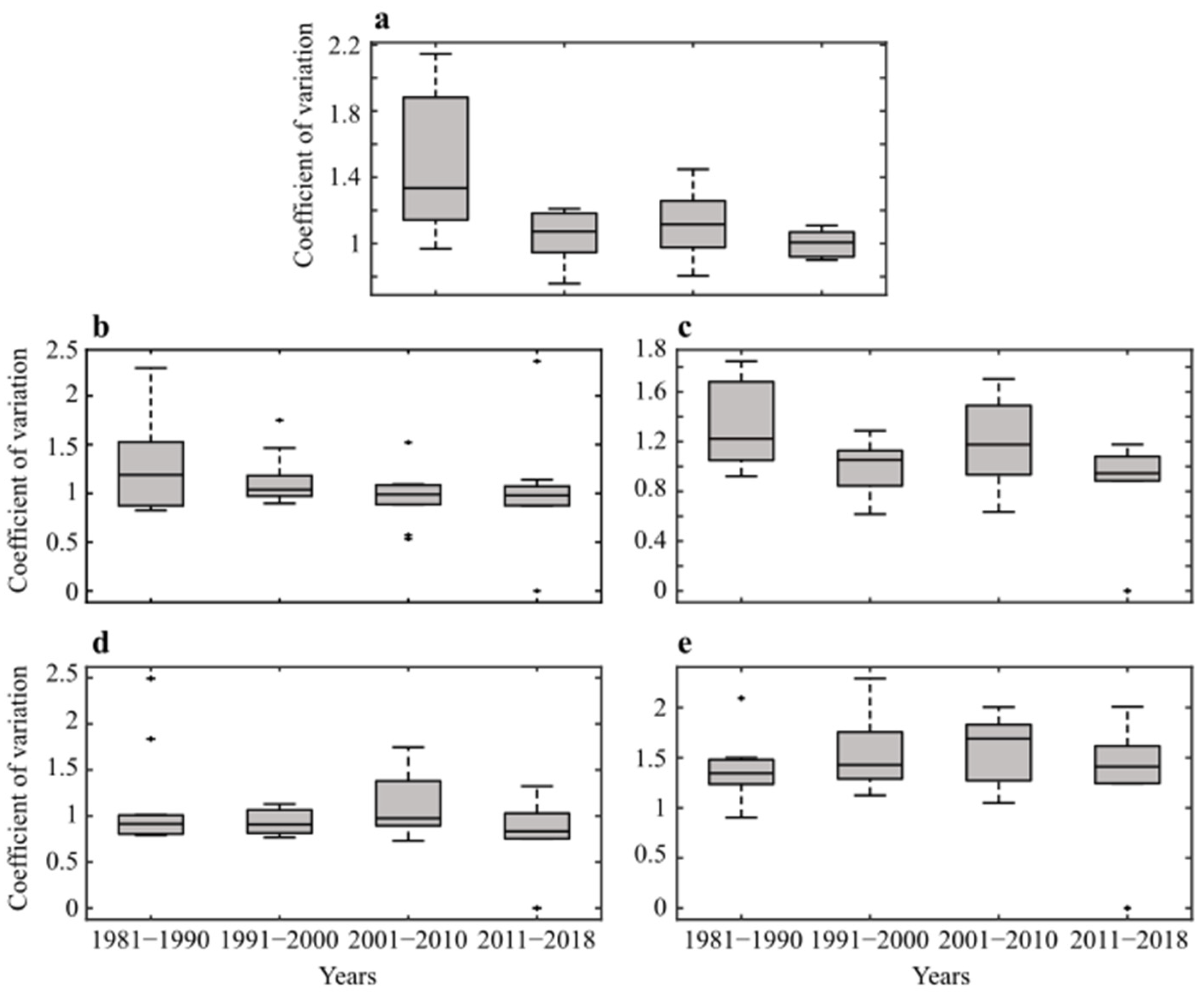
3.2. Interannual Variability
3.3. Variability of Winter Precipitation and Its Drivers
4. Discussion
5. Conclusions
Supplementary Materials
Author Contributions
Funding
Data Availability Statement
Acknowledgments
Conflicts of Interest
References
- Eckstein, D.; Kreft, S. Global Climate Risk Index 2021. Who Suffers Most from Extreme Weather Events? Germanwatch: Bonn, Germany, 2020; ISBN 978-3-94370-414-3. [Google Scholar]
- Ullah, S.; You, Q.; Ullah, W.; Ali, A. Observed Changes in Precipitation in China-Pakistan Economic Corridor during 1980–2016. Atmos. Res. 2018, 210, 1–14. [Google Scholar] [CrossRef]
- Amin, A.; Nasim, W.; Mubeen, M.; Kazmi, D.H.; Lin, Z.; Wahid, A.; Sultana, S.R.; Gibbs, J.; Fahad, S. Comparison of Future and Base Precipitation Anomalies by SimCLIM Statistical Projection through Ensemble Approach in Pakistan. Atmos. Res. 2017, 194, 214–225. [Google Scholar] [CrossRef]
- Webster, P.J.; Toma, V.E.; Kim, H.M. Were the 2010 Pakistan Floods Predictable? Geophys. Res. Lett. 2011, 38, 4806. [Google Scholar] [CrossRef]
- Rasmussen, K.L.; Hill, A.J.; Toma, V.E.; Zuluaga, M.D.; Webster, P.J.; Houze, R.A. Multiscale Analysis of Three Consecutive Years of Anomalous Flooding in Pakistan. Q. J. R. Meteorol. Soc. 2015, 141, 1259–1276. [Google Scholar] [CrossRef]
- Ullah, S.; You, Q.; Ullah, W.; Ali, A.; Xie, W.; Xie, X. Observed Changes in Temperature Extremes over China–Pakistan Economic Corridor during 1980–2016. Int. J. Climatol. 2019, 39, 1457–1475. [Google Scholar] [CrossRef]
- Khan, I.; Waqas, T.; Samiullah; Ullah, S. Precipitation Variability and Its Trend Detection for Monitoring of Drought Hazard in Northern Mountainous Region of Pakistan. Arab. J. Geosci. 2020, 13, 698. [Google Scholar] [CrossRef]
- Kirby, M.; Ahmad, M.u.D.; Mainuddin, M.; Khaliq, T.; Cheema, M.J.M. Agricultural Production, Water Use and Food Availability in Pakistan: Historical Trends, and Projections to 2050. Agric. Water Manag. 2017, 179, 34–46. [Google Scholar] [CrossRef]
- Mahmood, R.; Jia, S. Assessment of Impacts of Climate Change on the Water Resources of the Transboundary Jhelum River Basin of Pakistan and India. Water 2016, 8, 246. [Google Scholar] [CrossRef]
- Ullah, S.; You, Q.; Sachindra, D.A.; Nowosad, M.; Ullah, W.; Bhatti, A.S.; Jin, Z.; Ali, A. Spatiotemporal Changes in Global Aridity in Terms of Multiple Aridity Indices: An Assessment Based on the CRU Data. Atmos. Res. 2022, 268, 105998. [Google Scholar] [CrossRef]
- Ullah, W.; Wang, G.; Lou, D.; Ullah, S.; Bhatti, A.S.; Ullah, S.; Karim, A.; Hagan, D.F.T.; Ali, G. Large-Scale Atmospheric Circulation Patterns Associated with Extreme Monsoon Precipitation in Pakistan during 1981–2018. Atmos. Res. 2021, 253, 105489. [Google Scholar] [CrossRef]
- Ahmed, F.; Adnan, S.; Latif, M. Impact of Jet Stream and Associated Mechanisms on Winter Precipitation in Pakistan. Meteorol. Atmos. Phys. 2020, 132, 225–238. [Google Scholar] [CrossRef]
- Ahmed, K.; Shahid, S.; Chung, E.S.; Ismail, T.; Wang, X.J. Spatial Distribution of Secular Trends in Annual and Seasonal Precipitation over Pakistan. Clim. Res. 2017, 74, 95–107. [Google Scholar] [CrossRef]
- Asmat, U.; Athar, H.; Nabeel, A.; Latif, M. An AOGCM Based Assessment of Interseasonal Variability in Pakistan. Clim. Dyn. 2018, 50, 349–373. [Google Scholar] [CrossRef]
- Abbas, A.; Ullah, S.; Ullah, W.; Waseem, M.; Dou, X.; Zhao, C.; Karim, A.; Zhu, J.; Hagan, D.F.T.; Bhatti, A.S.; et al. Evaluation and Projection of Precipitation in Pakistan Using the Coupled Model Intercomparison Project Phase 6 Model Simulations. Int. J. Climatol. 2022, 42, 6665–6684. [Google Scholar] [CrossRef]
- Dimri, A.P.; Niyogi, D.; Barros, A.P.; Ridley, J.; Mohanty, U.C.; Yasunari, T.; Sikka, D.R. Western Disturbances: A Review. Rev. Geophys. 2015, 53, 225–246. [Google Scholar] [CrossRef]
- Hunt, K.M.R.; Turner, A.G.; Shaffrey, L.C. The Evolution, Seasonality and Impacts of Western Disturbances. Q. J. R. Meteorol. Soc. 2018, 144, 278–290. [Google Scholar] [CrossRef]
- Abbas, A.; Waseem, M.; Ullah, W.; Zhao, C.; Zhu, J. Spatiotemporal Analysis of Meteorological and Hydrological Droughts and Their Propagations. Water 2021, 13, 2237. [Google Scholar] [CrossRef]
- Abbas, F.; Ahmad, A.; Safeeq, M.; Ali, S.; Saleem, F.; Hammad, H.M.; Farhad, W. Changes in Precipitation Extremes over Arid to Semiarid and Subhumid Punjab, Pakistan. Appl. Clim. 2014, 116, 671–680. [Google Scholar] [CrossRef]
- Safdar, F.; Khokhar, M.F.; Mahmood, F.; Khan, M.Z.A.; Arshad, M. Observed and Predicted Precipitation Variability across Pakistan with Special Focus on Winter and Pre-Monsoon Precipitation. Environ. Sci. Pollut. Res. 2023, 30, 4510–4530. [Google Scholar] [CrossRef]
- Hunt, K.M.R.; Turner, A.G.; Shaffrey, L.C. Falling Trend of Western Disturbances in Future Climate Simulations. J. Clim. 2019, 32, 5037–5051. [Google Scholar] [CrossRef]
- Ridley, J.; Wiltshire, A.; Mathison, C. More Frequent Occurrence of Westerly Disturbances in Karakoram up to 2100. Sci. Total Environ. 2013, 468–469, S31–S35. [Google Scholar] [CrossRef] [PubMed]
- Midhuna, T.M.; Kumar, P.; Dimri, A.P. A New Western Disturbance Index for the Indian Winter Monsoon. J. Earth Syst. Sci. 2020, 129, 59. [Google Scholar] [CrossRef]
- Mishra, A.K.; Dubey, A.K.; Das, S. Identifying the Changes in Winter Monsoon Characteristics over the Indian Subcontinent Due to Arabian Sea Warming. Atmos. Res. 2022, 273, 106162. [Google Scholar] [CrossRef]
- Abbas, A.; Bhatti, A.S.; Ullah, S.; Ullah, W.; Waseem, M.; Zhao, C.; Dou, X.; Ali, G. Projection of Precipitation Extremes over South Asia from CMIP6 GCMs. J. Arid. Land 2023, 15, 274–296. [Google Scholar] [CrossRef]
- Hamal, K.; Sharma, S.; Baniya, B.; Khadka, N.; Zhou, X. Inter-Annual Variability of Winter Precipitation Over Nepal Coupled with Ocean-Atmospheric Patterns During 1987–2015. Front. Earth Sci. 2020, 8, 161. [Google Scholar] [CrossRef]
- Yadav, R.K.; Rupa Kumar, K.; Rajeevan, M. Characteristic Features of Winter Precipitation and Its Variability over Northwest India. J. Earth Syst. Sci. 2012, 121, 611–623. [Google Scholar] [CrossRef]
- Syed, F.S.; Giorgi, F.; Pal, J.S.; Keay, K. Regional Climate Model Simulation of Winter Climate over Central–Southwest Asia, with Emphasis on NAO and ENSO Effects. Int. J. Climatol. 2010, 30, 220–235. [Google Scholar] [CrossRef]
- Yadav, R.K.; Rupa Kumar, K.; Rajeevan, M. Increasing Influence of ENSO and Decreasing Influence of AO/NAO in the Recent Decades over Northwest India Winter Precipitation. J. Geophys. Res. Atmos. 2009, 114, 12112. [Google Scholar] [CrossRef]
- Hunt, K.M.R.; Curio, J.; Turner, A.G.; Schiemann, R. Subtropical Westerly Jet Influence on Occurrence of Western Disturbances and Tibetan Plateau Vortices. Geophys. Res. Lett. 2018, 45, 8629–8636. [Google Scholar] [CrossRef]
- Ahmed, K.; Shahid, S.; Wang, X.; Nawaz, N.; Khan, N. Spatiotemporal Changes in Aridity of Pakistan during 1901–2016. Hydrol. Earth Syst. Sci. 2019, 23, 3081–3096. Available online: hess.copernicus.org (accessed on 20 February 2023). [CrossRef]
- Azmat, M.; Ilyas, F.; Sarwar, A.; Huggel, C.; Vaghefi, S.A.; Hui, T.; Qamar, M.U.; Bilal, M.; Ahmed, Z. Impacts of Climate Change on Wheat Phenology and Yield in Indus Basin, Pakistan. Sci. Total Environ. 2021, 790, 148221. [Google Scholar] [CrossRef]
- Abbas, S.; Dastgeer, G. Analysing the Impacts of Climate Variability on the Yield of Kharif Rice over Punjab, Pakistan. Nat. Resour. Forum 2021, 45, 329–349. [Google Scholar] [CrossRef]
- Hussain, A.; Cao, J.; Hussain, I.; Begum, S.; Akhtar, M.; Wu, X.; Guan, Y.; Zhou, J. Observed Trends and Variability of Temperature and Precipitation and Their Global Teleconnections in the Upper Indus Basin, Hindukush-Karakoram-Himalaya. Atmosphere 2021, 12, 973. [Google Scholar] [CrossRef]
- Ishaque, W.; Osman, R.; Hafiza, B.S.; Malghani, S.; Zhao, B.; Xu, M.; Ata-Ul-Karim, S.T. Quantifying the Impacts of Climate Change on Wheat Phenology, Yield, and Evapotranspiration under Irrigated and Rainfed Conditions. Agric. Water Manag. 2023, 275, 108017. [Google Scholar] [CrossRef]
- Ali, U.; Wang, J.; Ullah, A.; Ishtiaque, A.; Javed, T.; Nurgazina, Z. The Impact of Climate Change on the Economic Perspectives of Crop Farming in Pakistan: Using the Ricardian Model. J. Clean. Prod. 2021, 308, 127219. [Google Scholar] [CrossRef]
- Syed, A.; Raza, T.; Bhatti, T.T.; Eash, N.S. Climate Impacts on the Agricultural Sector of Pakistan: Risks and Solutions. Environ. Chall. 2022, 6, 100433. [Google Scholar] [CrossRef]
- Alvar-Beltrán, J.; Heureux, A.; Soldan, R.; Manzanas, R.; Khan, B.; Dalla Marta, A. Assessing the Impact of Climate Change on Wheat and Sugarcane with the AquaCrop Model along the Indus River Basin, Pakistan. Agric. Water Manag. 2021, 253, 106909. [Google Scholar] [CrossRef]
- Rahman, K.U.; Hussain, A.; Ejaz, N.; Shang, S.; Balkhair, K.S.; Jan Khan, K.U.; Khan, M.A.; Rehman, N.U.; Rahman, K.U.; Hussain, A.; et al. Analysis of Production and Economic Losses of Cash Crops under Variable Drought: A Case Study from Punjab Province of Pakistan. IJDRR 2023, 85, 103507. [Google Scholar] [CrossRef]
- Jabeen, M.; Rashid Ahmed, S.; Ahmed, M. Enhancing Water Use Efficiency and Grain Yield of Wheat by Optimizing Irrigation Supply in Arid and Semi-Arid Regions of Pakistan. Saudi J. Biol. Sci. 2022, 29, 878–885. [Google Scholar] [CrossRef]
- Ullah, S.; You, Q.; Ali, A.; Ullah, W.; Jan, M.A.; Zhang, Y.; Xie, W.; Xie, X. Observed Changes in Maximum and Minimum Temperatures over China- Pakistan Economic Corridor during 1980–2016. Atmos. Res. 2019, 216, 37–51. [Google Scholar] [CrossRef]
- Ullah, S.; You, Q.; Ullah, W.; Hagan, D.F.T.; Ali, A.; Ali, G.; Zhang, Y.; Jan, M.A.; Bhatti, A.S.; Xie, W. Daytime and Nighttime Heat Wave Characteristics Based on Multiple Indices over the China–Pakistan Economic Corridor. Clim. Dyn. 2019, 53, 6329–6349. [Google Scholar] [CrossRef]
- Iqbal, M.F.; Athar, H. Variability, Trends, and Teleconnections of Observed Precipitation over Pakistan. Appl. Clim. 2018, 134, 613–632. [Google Scholar] [CrossRef]
- Khan, S.I.; Hong, Y.; Gourley, J.J.; Khattak, M.U.K.; Yong, B.; Vergara, H.J. Evaluation of Three High-Resolution Satellite Precipitation Estimates: Potential for Monsoon Monitoring over Pakistan. Adv. Space Res. 2014, 54, 670–684. [Google Scholar] [CrossRef]
- Bhatti, A.S.; Wang, G.; Ullah, W.; Ullah, S.; Hagan, D.F.T.; Nooni, I.K.; Lou, D.; Ullah, I. Trend in Extreme Precipitation Indices Based on Long Term In Situ Precipitation Records over Pakistan. Water 2020, 12, 797. [Google Scholar] [CrossRef]
- Toreti, A.; Kuglitsch, F.G.; Xoplaki, E.; Della-Marta, P.M.; Aguilar, E.; Prohom, M.; Luterbacher, J. A Note on the Use of the Standard Normal Homogeneity Test to Detect Inhomogeneities in Climatic Time Series. Int. J. Climatol. 2011, 31, 630–632. [Google Scholar] [CrossRef]
- Ahmad, N.H.; Deni, S.M. Homogeneity Test on Daily Rainfall Series for Malaysia. MATEMATIKA Malays. J. Ind. Appl. Math. 2013, 29, 141–150. [Google Scholar]
- Hersbach, H.; Bell, B.; Berrisford, P.; Hirahara, S.; Horányi, A.; Muñoz-Sabater, J.; Nicolas, J.; Peubey, C.; Radu, R.; Schepers, D.; et al. The ERA5 Global Reanalysis. Q. J. R. Meteorol. Soc. 2020, 146, 1999–2049. [Google Scholar] [CrossRef]
- Shen, L.; Wen, J.; Zhang, Y.; Ullah, S.; Meng, X.; Chen, G. Performance Evaluation of ERA5 Extreme Precipitation in the Yangtze River Delta, China. Atmosphere 2022, 13, 1416. [Google Scholar] [CrossRef]
- Zhang, X.; Alexander, L.; Hegerl, G.C.; Jones, P.; Tank, A.K.; Peterson, T.C.; Trewin, B.; Zwiers, F.W. Indices for Monitoring Changes in Extremes Based on Daily Temperature and Precipitation Data. Wiley Interdiscip. Rev. Clim. Chang. 2011, 2, 851–870. [Google Scholar] [CrossRef]
- Hamed, K.H.; Ramachandra Rao, A. A Modified Mann-Kendall Trend Test for Autocorrelated Data. J. Hydrol. 1998, 204, 182–196. [Google Scholar] [CrossRef]
- Sen, P.K. Estimates of the Regression Coefficient Based on Kendall’s Tau. J. Am. Stat. Assoc. 1968, 63, 1379–1389. [Google Scholar] [CrossRef]
- Ali, G.; Bao, Y.; Ullah, W.; Ullah, S.; Guan, Q.; Liu, X.; Li, L.; Lei, Y.; Li, G.; Ma, J. Spatiotemporal Trends of Aerosols over Urban Regions in Pakistan and Their Possible Links to Meteorological Parameters. Atmosphere 2020, 11, 306. [Google Scholar] [CrossRef]
- Berg, A.; Lintner, B.R.; Findell, K.L.; Malyshev, S.; Loikith, P.C.; Gentine, P. Impact of Soil Moisture–Atmosphere Interactions on Surface Temperature Distribution. J. Clim. 2014, 27, 7976–7993. [Google Scholar] [CrossRef]
- McColl, K.A.; Alemohammad, S.H.; Akbar, R.; Konings, A.G.; Yueh, S.; Entekhabi, D. The Global Distribution and Dynamics of Surface Soil Moisture. Nat. Geosci. 2017, 10, 100–104. [Google Scholar] [CrossRef]
- Von Storch, H.; Zwiers, F.W. Statistical Analysis in Climate Research. In Statistical Analysis in Climate Research; Cambridge University Press: Cambridge, UK, 1984. [Google Scholar] [CrossRef]
- Dimri, A.P. Relationship between ENSO Phases with Northwest India Winter Precipitation. Int. J. Climatol. 2013, 33, 1917–1923. [Google Scholar] [CrossRef]
- Kar, S.C.; Rana, S. Interannual Variability of Winter Precipitation over Northwest India and Adjoining Region: Impact of Global Forcings. Appl. Clim. 2014, 116, 609–623. [Google Scholar] [CrossRef]
- Bordoni, S.; Schneider, T. Monsoons as Eddy-Mediated Regime Transitions of the Tropical Overturning Circulation. Nature Geoscience 2008, 1, 515–519. [Google Scholar] [CrossRef]
- Schneider, T.; Bischoff, T.; Haug, G.H. Migrations and Dynamics of the Intertropical Convergence Zone. Nature 2014, 513, 45–53. [Google Scholar] [CrossRef]
- Stachnik, J.P.; Schumacher, C. A Comparison of the Hadley Circulation in Modern Reanalyses. J. Geophys. Res. Atmos. 2011, 116, 22102. [Google Scholar] [CrossRef]
- Krishnamurthy, V.; Shukla, J. Intraseasonal and Interannual Variability of Rainfall over India. J. Clim. 2000, 13, 4366–4377. [Google Scholar] [CrossRef]
- Wang, B.; Wu, R.; Lau, K.-M. Interannual Variability of the Asian Summer Monsoon: Contrasts between the Indian and the Western North Pacific–East Asian Monsoons. J. Clim. 2001, 14, 4073–4090. [Google Scholar] [CrossRef]
- Kumar, N.; Yadav, B.P.; Gahlot, S.; Singh, M. Winter Frequency of Western Disturbances and Precipitation Indices over Himachal Pradesh, India: 1977–2007. Atmósfera 2015, 28, 63–70. [Google Scholar] [CrossRef]
- Li, X.; Wang, X.; Babovic, V. Analysis of Variability and Trends of Precipitation Extremes in Singapore during 1980–2013. Int. J. Climatol. 2018, 38, 125–141. [Google Scholar] [CrossRef]
- Yadav, R.K.; Ramu, D.A.; Dimri, A.P. On the Relationship between ENSO Patterns and Winter Precipitation over North and Central India. Glob. Planet Chang. 2013, 107, 50–58. [Google Scholar] [CrossRef]
- Gao, C.; Chen, H.; Li, G.; Ma, H.; Li, X.; Long, S.; Xu, B.; Li, X.; Zeng, X.; Yan, H.; et al. Land–Atmosphere Interaction over the Indo-China Peninsula during Spring and Its Effect on the Following Summer Climate over the Yangtze River Basin. Clim. Dyn. 2019, 53, 6181–6198. [Google Scholar] [CrossRef]
- Hagan, D.F.T.; Wang, G.; Liang, X.S.; Dolman, H.A.J. A Time-Varying Causality Formalism Based on the Liang–Kleeman Information Flow for Analyzing Directed Interactions in Nonstationary Climate Systems. J. Clim. 2019, 32, 7521–7537. [Google Scholar] [CrossRef]
- Joshi, S.; Kar, S.C. Mechanism of ENSO Influence on the South Asian Monsoon Rainfall in Global Model Simulations. Appl. Clim. 2018, 131, 1449–1464. [Google Scholar] [CrossRef]
- Chu, J.E.; Ha, K.J.; Lee, J.Y.; Wang, B.; Kim, B.H.; Chung, C.E. Future Change of the Indian Ocean Basin-Wide and Dipole Modes in the CMIP5. Clim. Dyn. 2014, 43, 535–551. [Google Scholar] [CrossRef]
- Praveen, B.; Talukdar, S.; Shahfahad; Mahato, S.; Mondal, J.; Sharma, P.; Islam, A.R.M.T.; Rahman, A. Analyzing Trend and Forecasting of Rainfall Changes in India Using Non-Parametrical and Machine Learning Approaches. Sci. Rep. 2020, 10, 10342. [Google Scholar] [CrossRef]
- Hartmann, H.; Buchanan, H. Trends in Extreme Precipitation Events in the Indus River Basin and Flooding in Pakistan. Atmos.-Ocean 2014, 52, 77–91. [Google Scholar] [CrossRef]
- Hartmann, H.; Andresky, L. Flooding in the Indus River Basin—A Spatiotemporal Analysis of Precipitation Records. Glob. Planet Chang. 2013, 107, 25–35. [Google Scholar] [CrossRef]
- Atta-ur-Rahman; Dawood, M. Spatio-Statistical Analysis of Temperature Fluctuation Using Mann–Kendall and Sen’s Slope Approach. Clim. Dyn. 2017, 48, 783–797. [Google Scholar] [CrossRef]
- Atta-ur-Rahman; Khan, A.N. Analysis of Flood Causes and Associated Socio-Economic Damages in the Hindukush Region. Nat. Hazards 2011, 59, 1239–1260. [Google Scholar] [CrossRef]
- Befort, D.J.; Leckebusch, G.C.; Cubasch, U. Intraseasonal Variability of the Indian Summer Monsoon: Wet and Dry Events in COSMO-CLM. Clim. Dyn. 2016, 47, 2635–2651. [Google Scholar] [CrossRef]
- Younis, S.M.Z.; Ammar, A. Quantification of Impact of Changes in Land Use-Land Cover on Hydrology in the Upper Indus Basin, Pakistan. Egypt. J. Remote Sens. Space Sci. 2018, 21, 255–263. [Google Scholar] [CrossRef]
- Haider, S.; Adnan, S. Classification and Assessment of Aridity Over Pakistan Provinces (1960–2009). Int. J. Environ. 2014, 3, 24–35. [Google Scholar] [CrossRef]
- Sheikh, M.M.; Manzoor, N.; Ashraf, J.; Adnan, M.; Collins, D.; Hameed, S.; Manton, M.J.; Ahmed, A.U.; Baidya, S.K.; Borgaonkar, H.P.; et al. Trends in Extreme Daily Rainfall and Temperature Indices over South Asia. Int. J. Climatol. 2015, 35, 1625–1637. [Google Scholar] [CrossRef]
- Preethi, B.; Ramya, R.; Patwardhan, S.K.; Mujumdar, M.; Kripalani, R.H. Variability of Indian Summer Monsoon Droughts in CMIP5 Climate Models. Clim. Dyn. 2019, 53, 1937–1962. [Google Scholar] [CrossRef]
- Ali, S.H.B.; Shafqat, M.N.; Eqani, S.A.M.A.S.; Shah, S.T.A. Trends of Climate Change in the Upper Indus Basin Region, Pakistan: Implications for Cryosphere. Environ. Monit. Assess. 2019, 191, 51. [Google Scholar] [CrossRef]
- Qazlbash, S.K.; Zubair, M.; Manzoor, S.A.; ul Haq, A.; Baloch, M.S. Socioeconomic Determinants of Climate Change Adaptations in the Flood-Prone Rural Community of Indus Basin, Pakistan. Environ. Dev. 2021, 37, 100603. [Google Scholar] [CrossRef]
- Usman, M.; Liedl, R.; Awan, U.K. Spatio-Temporal Estimation of Consumptive Water Use for Assessment of Irrigation System Performance and Management of Water Resources in Irrigated Indus Basin, Pakistan. J. Hydrol. 2015, 525, 26–41. [Google Scholar] [CrossRef]
- Mehboob, M.S.; Kim, Y. Effect of Climate and Socioeconomic Changes on Future Surface Water Availability from Mountainous Water Sources in Pakistan’s Upper Indus Basin. Sci. Total Environ. 2021, 769, 144820. [Google Scholar] [CrossRef] [PubMed]
- Xu, Z.; Chen, X.; Liu, J.; Zhang, Y.; Chau, S.; Bhattarai, N.; Wang, Y.; Li, Y.; Connor, T.; Li, Y. Impacts of Irrigated Agriculture on Food–Energy–Water–CO2 Nexus across Metacoupled Systems. Nat. Commun. 2020, 11, 5837. [Google Scholar] [CrossRef] [PubMed]
- Shen, L.; Zhang, Y.; Ullah, S.; Pepin, N.; Ma, Q. Changes in Snow Depth under Elevation-Dependent Warming over the Tibetan Plateau. Atmos. Sci. Lett. 2021, 22, e1041. [Google Scholar] [CrossRef]
- Xu, Y.; Wu, X.; Kumar, R.; Barth, M.; Diao, C.; Gao, M.; Lin, L.; Jones, B.; Meehl, G.A. Substantial Increase in the Joint Occurrence and Human Exposure of Heatwave and High-PM Hazards Over South Asia in the Mid-21st Century. AGU Adv. 2020, 1, e2019AV000103. [Google Scholar] [CrossRef]
- Zhang, J.; You, Q.; Ren, G.; Ullah, S.; Normatov, I.; Chen, D. Inequality of Global Thermal Comfort Conditions Changes in a Warmer World. Earths Future 2023, 11, e2022EF003109. [Google Scholar] [CrossRef]
- Waseem, M.; Khurshid, T.; Abbas, A.; Ahmad, I.; Javed, Z. Impact of Meteorological Drought on Agriculture Production at Different Scales in Punjab, Pakistan. J. Water Clim. Chang. 2022, 13, 113–124. [Google Scholar] [CrossRef]









| Name | ID | Definition | Units |
| Maximum one-day precipitation | Rx1 day | Maximum one-day precipitation amount | mm |
| Heavy precipitation days | R10 mm | Days count with precipitation ≥ 10 mm | Days |
| Very heavy precipitation days | R20 mm | Days count with precipitation ≥ 20 mm | Days |
| Very wet days | R95p TOT | Days with precipitation ≥ 95 percentile | mm |
Disclaimer/Publisher’s Note: The statements, opinions and data contained in all publications are solely those of the individual author(s) and contributor(s) and not of MDPI and/or the editor(s). MDPI and/or the editor(s) disclaim responsibility for any injury to people or property resulting from any ideas, methods, instructions or products referred to in the content. |
© 2023 by the authors. Licensee MDPI, Basel, Switzerland. This article is an open access article distributed under the terms and conditions of the Creative Commons Attribution (CC BY) license (https://creativecommons.org/licenses/by/4.0/).
Share and Cite
Abbas, A.; Ullah, S.; Ullah, W.; Zhao, C.; Karim, A.; Waseem, M.; Bhatti, A.S.; Ali, G.; Jan, M.A.; Ali, A. Characteristics of Winter Precipitation over Pakistan and Possible Causes during 1981–2018. Water 2023, 15, 2420. https://doi.org/10.3390/w15132420
Abbas A, Ullah S, Ullah W, Zhao C, Karim A, Waseem M, Bhatti AS, Ali G, Jan MA, Ali A. Characteristics of Winter Precipitation over Pakistan and Possible Causes during 1981–2018. Water. 2023; 15(13):2420. https://doi.org/10.3390/w15132420
Chicago/Turabian StyleAbbas, Adnan, Safi Ullah, Waheed Ullah, Chengyi Zhao, Aisha Karim, Muhammad Waseem, Asher Samuel Bhatti, Gohar Ali, Mushtaq Ahmad Jan, and Amjad Ali. 2023. "Characteristics of Winter Precipitation over Pakistan and Possible Causes during 1981–2018" Water 15, no. 13: 2420. https://doi.org/10.3390/w15132420
APA StyleAbbas, A., Ullah, S., Ullah, W., Zhao, C., Karim, A., Waseem, M., Bhatti, A. S., Ali, G., Jan, M. A., & Ali, A. (2023). Characteristics of Winter Precipitation over Pakistan and Possible Causes during 1981–2018. Water, 15(13), 2420. https://doi.org/10.3390/w15132420

