Sign in to use this feature.

Years

Between: -

Subjects

remove_circle_outline
remove_circle_outline
remove_circle_outline
remove_circle_outline
remove_circle_outline
remove_circle_outline
remove_circle_outline
remove_circle_outline
remove_circle_outline

Journals

remove_circle_outline
remove_circle_outline
remove_circle_outline
remove_circle_outline
remove_circle_outline

Article Types

Countries / Regions

remove_circle_outline
remove_circle_outline
remove_circle_outline
remove_circle_outline
remove_circle_outline
remove_circle_outline

Search Results (1,562)

Search Parameters:
Keywords = winter precipitation

Order results
Result details
Results per page
Select all
Export citation of selected articles as:
19 pages, 3366 KB  
Article
Observed Change in Precipitation and Extreme Precipitation Months in the High Mountain Regions of Bulgaria
by Nina Nikolova, Kalina Radeva, Simeon Matev and Martin Gera
Atmosphere 2026, 17(1), 93; https://doi.org/10.3390/atmos17010093 - 16 Jan 2026
Abstract
Precipitation in high mountain areas is of critical importance as these regions are major sources of freshwater, supporting river basins, ecosystems, and downstream communities. Changes in precipitation regimes in these regions can have cascading impacts on water availability, agriculture, hydropower, and biodiversity. The [...] Read more.
Precipitation in high mountain areas is of critical importance as these regions are major sources of freshwater, supporting river basins, ecosystems, and downstream communities. Changes in precipitation regimes in these regions can have cascading impacts on water availability, agriculture, hydropower, and biodiversity. The present study aims to give new information about precipitation variability in high mountain regions of Bulgaria (Musala, Botev Peak, and Cherni Vrah) and to assess the role of large-scale atmospheric circulation patterns for the occurrence of extreme precipitation months. The study period is 1937–2024, and the classification of extreme precipitation months is based on the 10th and 90th percentiles of precipitation distribution. The temporal distribution of extreme precipitation months was analyzed by comparison of two periods (1937–1980 and 1981–2024). The impact of atmospheric circulation was evaluated by correlation between the number of extreme precipitation months and indices for the North Atlantic Oscillation (NAO) and Western Mediterranean Oscillation (WeMO). Results show a statistically significant decrease in winter and spring precipitation at Musala and Cherni Vrah, and a persistent drying tendency at Cherni Vrah across all seasons. The frequency of extremely wet months in winter and autumn has sharply declined since 1981, whereas extremely dry months have become more common, particularly during the cold season. Precipitation erosivity also exhibits station-specific responses, with Musala and Cherni Vrah showing reduced monthly concentration, while Botev Peak retains pronounced warm-season erosive rainfall. Circulation analysis indicates that positive NAOI phases favor dry extremes, while positive WeMOI phases enhance wet extremes. These findings reveal a shift toward drier and more seasonally uneven conditions in Bulgaria’s alpine zone, increasing hydrological risks related to drought, water scarcity, and soil erosion. The identified shifts in precipitation seasonality and intensity offer essential guidance for forecasting hydrological risks and mitigating soil erosion in vulnerable mountain ecosystems. The study underscores the need for adaptive water-resource strategies and enhanced monitoring in high-mountain areas. Full article
Show Figures

Figure 1

17 pages, 7424 KB  
Article
Seasonal Characteristics, Sources, and Regional Transport Patterns of Precipitation Components at High-Elevation Mountain in South China
by Wenkai Lei, Xingyu Li, Xingchuan Yang, Lan Zhang, Xingru Li, Wenji Zhao and Yuepeng Pan
Atmosphere 2026, 17(1), 87; https://doi.org/10.3390/atmos17010087 - 15 Jan 2026
Abstract
To investigate the seasonal characteristics, sources, and regional transport patterns of precipitation components in the high-elevation mountainous regions, field sampling was conducted at Mt. Heng (Hunan, South China) from June 2021 to May 2022. In total, 114 precipitation samples were collected and subjected [...] Read more.
To investigate the seasonal characteristics, sources, and regional transport patterns of precipitation components in the high-elevation mountainous regions, field sampling was conducted at Mt. Heng (Hunan, South China) from June 2021 to May 2022. In total, 114 precipitation samples were collected and subjected to chemical analysis, including pH, major inorganic ions, and heavy metals. During the study period, the precipitation at Mt. Heng was generally weakly acidic. The concentrations of metals and acidic anions (NO3 and SO42−) were higher in the winter and lower in the summer, whereas the concentration of the primary neutralizing cation, NH4+, peaked during the summer. An association was observed between precipitation pH and metal concentrations, whereby acidic precipitation samples exhibited marginally elevated metal concentrations overall. An additional analysis of winter precipitation chemistry at Mt. Heng revealed an increasing trend of ions from 2015 to 2018, followed by a decrease from 2019 to 2021. This trend coincided with the concentrations of NO2 and SO2 in the surrounding cities, reflecting the results of clean air actions. The results of the source analysis revealed five major sources: secondary sources (41.5%), coal combustion (24.7%), a mixed source of biomass burning and aged sea salt (11.6%), dust (10.8%), and industrial emissions (11.4%). Backward trajectory cluster analysis revealed that air masses originating from the northern regions were generally more polluted than those from the southern regions. This study provides fundamental data and scientific support for regional atmospheric pollution control and ecological protection in South China. Full article
Show Figures

Figure 1

17 pages, 4231 KB  
Article
The Impact of Soil Tillage Systems and Fertilization Strategies on Winter Wheat Yield Under the Variable Weather Conditions of the Transylvanian Plain
by Felicia Chețan, Cornel Chețan, Alina Șimon, Ovidiu Adrian Ceclan, Diana Hirișcău, Raluca Rezi, Alin Popa, Marius Bărdaș, Camelia Urdă, Roxana Elena Călugăr, Paula Ioana Moraru and Teodor Rusu
Nitrogen 2026, 7(1), 12; https://doi.org/10.3390/nitrogen7010012 - 15 Jan 2026
Abstract
Agronomic systems that can guarantee consistent and sufficient crop yields must be developed and implemented in order to address the problems presented by climate change, especially the increase in average annual temperatures and the unequal distribution of precipitation. Over the course of five [...] Read more.
Agronomic systems that can guarantee consistent and sufficient crop yields must be developed and implemented in order to address the problems presented by climate change, especially the increase in average annual temperatures and the unequal distribution of precipitation. Over the course of five successive growing seasons (2019–2024), a Poly-Factorial field experiment was carried out at the Agricultural Research and Development Station (ARDS) Turda, Romania, which is situated in the hilly region of the Transylvanian Plain. The study investigated the combined effects of soil tillage system (conventional tillage—CS; no-tillage—NT) and fertilization strategies (N48P48K48 at sowing vs. N48P48K48 at sowing + N40.5CaO10.5MgO7 applied in early spring at the growth resumption) on the quantitative and qualitative performance of winter wheat (Triticum aestivum L.). Results showed a modest yield difference of 206 kg ha−1 between the two tillage systems, favoring conventional tillage. However, the application of additional early-spring fertilization resulted in a significant average yield increase of 338 kg ha−1. Yield variability across the five years ranged from 262 to 1797 kg ha−1, highlighting the strong influence of climatic conditions on crop performance and emphasizing the need for adaptive management practices under changing environmental conditions. Full article
Show Figures

Figure 1

18 pages, 8354 KB  
Article
Assessment of Water Balance and Future Runoff in the Nitra River Basin, Slovakia
by Pavla Pekárová, Igor Leščešen, Ján Pekár, Zbyněk Bajtek, Veronika Bačová Mitková and Dana Halmová
Water 2026, 18(2), 208; https://doi.org/10.3390/w18020208 - 13 Jan 2026
Viewed by 87
Abstract
This study integrates 90 years of hydrometeorological observations (1930/31–2019/20) with end-century projections (2080–2099) to evaluate climate-driven changes in the water balance of the Nitra River basin (2094 km2), Slovakia. Despite a modest 2–3% increase in annual precipitation from 1930/31–1959/60 to 1990/91–2019/20, [...] Read more.
This study integrates 90 years of hydrometeorological observations (1930/31–2019/20) with end-century projections (2080–2099) to evaluate climate-driven changes in the water balance of the Nitra River basin (2094 km2), Slovakia. Despite a modest 2–3% increase in annual precipitation from 1930/31–1959/60 to 1990/91–2019/20, mean annual runoff declined from 229 mm to 201 mm (≈−12%), primarily due to enhanced evapotranspiration stemming from a +1.08 °C basin-wide temperature increase. An empirical regression from 90 hydrological years shows that +100 mm in precipitation boosts runoff by ≈41 mm, while +1 °C in temperature reduces it by ≈13 mm. The BILAN monthly water balance model was calibrated for 1930/31–2019/20 to decompose runoff components. Over the 90-year period, the modeled annual runoff averaged 222 mm, comprising a 112 mm baseflow (50.4%), a 91 mm interflow (41.0%), and a 19 mm direct runoff (8.6%), underscoring the key role of groundwater and subsurface flows in sustaining streamflow. In the second part of our study, the monthly water balance model BILAN was recalibrated for 1995–2014 to simulate future runoff under three CMIP6 Shared Socioeconomic Pathways. Under the sustainability pathway SSP1-1.9 (+0.88 °C; +1.1% precipitation), annual runoff decreases by 8.9%. The middle-of-the-road scenario SSP2-4.5 (+2.6 °C; +3.1% precipitation) projects a 17.5% decline in annual runoff, with particularly severe reductions in autumn months (September −32.3%, October −35.8%, December −40.4%). The high-emission pathway SSP5-8.5 (+5.1 °C; +0.4% precipitation) yields the most dramatic impact with a 35.2% decrease in annual runoff and summer deficits exceeding 45%. These results underline the extreme sensitivity of a mid-sized Central European basin to temperature-driven evapotranspiration and the critical importance of emission mitigation, emphasizing the urgent need for adaptive water management strategies, including new storage infrastructure to address both winter floods and intensifying summer droughts. Full article
Show Figures

Graphical abstract

25 pages, 4210 KB  
Article
Adaptive Capacity of Scots Pine Trees to Meteorological Extremes in Highly Oligotrophic Soil in Hemi-Boreal Forest
by Algirdas Augustaitis and Diana Sidabriene
Forests 2026, 17(1), 98; https://doi.org/10.3390/f17010098 - 11 Jan 2026
Viewed by 83
Abstract
Understanding how climatic variability affects growth and water relations of Scots pine (Pinus sylvestris L.) is essential for assessing stand sustainability in hemi-boreal regions. Linear mixed-effects models were used to quantify the effects of climatic variability and tree characteristics on stem volume [...] Read more.
Understanding how climatic variability affects growth and water relations of Scots pine (Pinus sylvestris L.) is essential for assessing stand sustainability in hemi-boreal regions. Linear mixed-effects models were used to quantify the effects of climatic variability and tree characteristics on stem volume increment (ZV), sap flow (SF), and water-use efficiency (WUE) of Scots pine growing on highly oligotrophic soils in Curonian Spit National Park. Annual ZV was strongly controlled by tree size and seasonal temperature conditions. Higher temperatures in late winter and mid-summer enhanced growth, whereas elevated temperatures in April–May reduced increment. June moisture availability, expressed by the hydrothermal coefficient, had a positive effect, highlighting the sensitivity of growth to early-summer drought and heat waves. Sap-flow density during May–October was primarily driven by climatic factors, with temperature stimulating and relative humidity reducing SF, while tree size played a minor role. Random-effects analysis showed that unexplained variability in ZV was mainly associated with persistent differences among trees and sites, whereas SF variability occurred largely at the within-tree level. In contrast, WUE was dominated by climatic drivers, with no detectable site- or tree-level random effects. Higher June precipitation increased WUE, while warmer growing-season conditions reduced it. Overall, Scots pine growth and WUE are mainly regulated by intra-annual climatic conditions, particularly summer water availability. Despite rapid climatic change, no critical physiological thresholds or growth collapse were detected during the study period, indicating substantial adaptive capacity of Scots pine even under the observed exceptional conditions. Full article
(This article belongs to the Section Forest Meteorology and Climate Change)
Show Figures

Figure 1

16 pages, 4423 KB  
Article
Responses of Dominant Tree Species Phenology to Climate Change in the Ailao Mountains Mid-Subtropical Evergreen Broad-Leaved Forest (2008–2022)
by Ruihua Ma, Yanling Peng, Shiyu Dai and Hede Gong
Forests 2026, 17(1), 92; https://doi.org/10.3390/f17010092 - 9 Jan 2026
Viewed by 173
Abstract
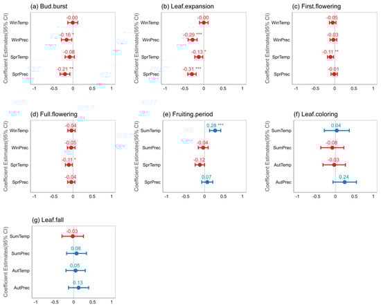
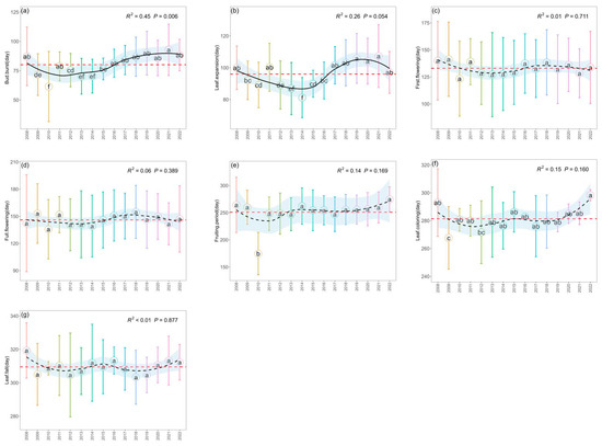
Plant phenology is a sensitive indicator of ecosystem responses to climate change, yet its dynamics and drivers in subtropical montane forests remain poorly understood. Based on the continuous phenological monitoring of 12 dominant tree species from 2008 to 2022 in a mid-subtropical evergreen [...] Read more.
Plant phenology is a sensitive indicator of ecosystem responses to climate change, yet its dynamics and drivers in subtropical montane forests remain poorly understood. Based on the continuous phenological monitoring of 12 dominant tree species from 2008 to 2022 in a mid-subtropical evergreen broad-leaved forest on Ailao Mountains, China, this study analyzed phenological shifts and their climatic drivers. The results show that, (1) unlike the widely reported trends in northern mid-to-high latitudes, spring phenophases (budburst and leaf-out) did not exhibit significant advancing trends, while autumn phenophases (leaf coloration and fall) remained stable; (2) water availability played a dominant role in regulating spring phenology, with both budburst and leaf-out showing significant negative correlations with winter-spring precipitation, and responses varied significantly across hydrological year types; and (3) the life form strongly influenced phenological strategies, with evergreen species exhibiting earlier spring phenology than deciduous species. This study highlights that in seasonally humid subtropical montane forests, water availability exerts a stronger control on phenology than temperature. Our findings underscore the necessity of incorporating precipitation variability and functional trait differences into assessments of forest phenology and ecosystem functioning under future climate change, providing a scientific basis for the conservation and adaptive management of subtropical forests. Full article
(This article belongs to the Special Issue Abiotic and Biotic Stress Responses in Trees Species—2nd Edition)
Show Figures

Figure 1

23 pages, 15684 KB  
Article
XGBoost-Based Susceptibility Model Exhibits High Accuracy and Robustness in Plateau Forest Fire Prediction
by Chuang Yang, Ping Yao, Qiuhua Wang, Shaojun Wang, Dong Xing, Yanxia Wang and Ji Zhang
Forests 2026, 17(1), 74; https://doi.org/10.3390/f17010074 - 6 Jan 2026
Viewed by 126
Abstract
Forest fire susceptibility prediction is essential for effective management, yet considerable uncertainty persists under future climate change, especially in climate-sensitive plateau regions. This study integrated MODIS fire data with climatic, topographic, vegetation, and anthropogenic variables to construct an Extreme Gradient Boosting (XGBoost) model [...] Read more.
Forest fire susceptibility prediction is essential for effective management, yet considerable uncertainty persists under future climate change, especially in climate-sensitive plateau regions. This study integrated MODIS fire data with climatic, topographic, vegetation, and anthropogenic variables to construct an Extreme Gradient Boosting (XGBoost) model for the Yunnan Plateau, a region highly prone to forest fires. Compared with Support Vector Machine and Random Forest models, XGBoost showed superior ability to capture nonlinear relationships and delivered the best performance, achieving an AUC of 0.907 and an overall accuracy of 0.831. The trained model was applied to climate projections under SSP1-2.6, SSP2-4.5, and SSP5-8.5 to assess future fire susceptibility. Results indicated that high-susceptibility periods primarily occur in winter and spring, driven by minimum temperature, average temperature, and precipitation. High-susceptibility areas are concentrated in dry-hot valleys and mountain basins with elevated temperatures and dense human activity. Under future climate scenarios, both the probability and spatial extent of forest fires are projected to increase, with a marked expansion after 2050, especially under SSP5-8.5. Although the XGBoost model demonstrates strong generalizability for plateau regions, uncertainties remain due to static vegetation, coarse anthropogenic data, and differences among climate models. Full article
(This article belongs to the Section Natural Hazards and Risk Management)
Show Figures

Figure 1

21 pages, 10897 KB  
Article
Vertically Resolved Supercooled Liquid Water over the North China Plain Revealed by Ground-Based Synergetic Measurements
by Yuxiang Lu, Qiang Li, Hongrong Shi, Jiwei Xu, Zhipeng Yang, Yongheng Bi, Xiaoqiong Zhen, Yunjie Xia, Jiujiang Sheng, Ping Tian, Disong Fu, Jinqiang Zhang, Shuzhen Hu, Fa Tao, Jiefan Yang, Xuehua Fan, Hongbin Chen and Xiang’ao Xia
Remote Sens. 2026, 18(1), 160; https://doi.org/10.3390/rs18010160 - 4 Jan 2026
Viewed by 273
Abstract
Supercooled liquid water (SLW) in mixed-phase clouds significantly influences precipitation efficiency and aviation safety. However, a comprehensive understanding of its vertical structure has been hampered by a lack of sustained, vertically resolved observations over the North China Plain. This study presents the first [...] Read more.
Supercooled liquid water (SLW) in mixed-phase clouds significantly influences precipitation efficiency and aviation safety. However, a comprehensive understanding of its vertical structure has been hampered by a lack of sustained, vertically resolved observations over the North China Plain. This study presents the first systematic analysis of SLW vertical distribution and microphysics in this region, utilizing a year-long dataset (2022) from synergistic ground-based instruments in Beijing. Our retrieval approach integrates Ka-band cloud radar, microwave radiometer, ceilometer, and radiosonde data, combining fuzzy-logic phase classification with a liquid water content inversion constrained by column liquid water path. Key findings reveal a distinct bimodal seasonality: SLW primarily occurs at mid-to-upper levels (4–7.5 km) during spring and summer, driven by convective lofting, while winter SLW is confined to lower altitudes (1–2 km) under stable atmospheric conditions. The temperature-dependent occurrence probability of SLW clouds has an annual maximum at −12 °C. The diurnal variation in SLW in summer shows peaks in the afternoon and at night, corresponding to convective cloud activity. Spring, autumn, and winter do not exhibit strong diurnal variations. Retrieved microphysical properties, including liquid water content and droplet effective radius, are consistent with in situ aircraft measurements, validating our methodology. This analysis provides a critical observational benchmark and offers actionable insights for improving cloud microphysics parameterizations in models and optimizing weather modification strategies, such as seeding altitude and timing, in this water-stressed region. Full article
Show Figures

Figure 1

21 pages, 10371 KB  
Article
Constrained Estimates of Anthropogenic NOx Emissions in China (2014–2021) from Surface Observations
by Yang Shen, Shuzhuang Feng, Zihan Yang, Chenchen Peng, Guoen Wei and Yuanyuan Yang
Atmosphere 2026, 17(1), 51; https://doi.org/10.3390/atmos17010051 - 31 Dec 2025
Viewed by 386
Abstract
China’s rapid urbanization has precipitated severe atmospheric pollution, drawing sustained scientific and policy attention. Although nationwide implementations of emission control measures have achieved measurable reductions in ambient NO2 concentrations, fundamental uncertainties persist in quantifying anthropogenic NOx emission and their interannual variability. [...] Read more.
China’s rapid urbanization has precipitated severe atmospheric pollution, drawing sustained scientific and policy attention. Although nationwide implementations of emission control measures have achieved measurable reductions in ambient NO2 concentrations, fundamental uncertainties persist in quantifying anthropogenic NOx emission and their interannual variability. In this study, NOx emissions over China are inferred using the Regional Air Pollutant Assimilation System (RAPAS) combined with ground-based hourly NO2 observations, and a detailed analysis of the spatiotemporal variation patterns of NOx emissions is also provided. Nationally, most sites display declining NO2 concentrations during 2014–2021, with steeper reduction trends in winter, particularly in pollution hotspots. The RAPAS-optimized NOx emission estimates demonstrate superior performance relative to prior inventories, with site-averaged biases, root mean square errors, and correlation coefficients improved substantially across all geographic regions in China. The trajectories of changes in NOx emissions exhibit marked regional disparities: South and Northeast China experienced more than 8.0% emission growth during 2014–2017, while NOx emissions in northwest and southwest China increased by 35% and 26%, significantly higher than those in East China. The reductions accelerated significantly post 2018, particularly in central and eastern regions (more than −20%). The interannual variation in NOx emissions in the five national urban agglomerations shows a similar trend of first rising and then decreasing. The NOx emissions of Anhui, Yunnan, Shanxi, Gansu and Xinjiang provinces increased significantly from 2014 to 2017, while the emissions of Shandong and Zhejiang decreased at a relatively high rate (more than 80 Gg per year). These findings are helpful to provide a more comprehensive understanding of current NOx pollution and provide scientific basis for policymakers to propose effective strategies. Full article
(This article belongs to the Special Issue Emission Inventories and Modeling of Air Pollution)
Show Figures

Figure 1

29 pages, 4713 KB  
Article
Benchmarking MSWEP Precipitation Accuracy in Arid Zones Against Traditional and Satellite Measurements
by Abdulrahman Saeed Abdelrazaq, Humaid Abdulla Alnuaimi, Faisal Baig, Mohamed Elkollaly and Mohsen Sherif
Remote Sens. 2026, 18(1), 95; https://doi.org/10.3390/rs18010095 - 26 Dec 2025
Viewed by 318
Abstract
Accurate precipitation data is vital for hydrological modeling, climate research, and water resource management, especially in arid regions like the United Arab Emirates (UAE), where rainfall is sparse and highly variable. This study assesses the performance of the Multi-Source Weighted-Ensemble Precipitation v2.8 (MSWEP) [...] Read more.
Accurate precipitation data is vital for hydrological modeling, climate research, and water resource management, especially in arid regions like the United Arab Emirates (UAE), where rainfall is sparse and highly variable. This study assesses the performance of the Multi-Source Weighted-Ensemble Precipitation v2.8 (MSWEP) dataset against ground-based gauge data and three satellite precipitation products—CMORPH, IMERG, and GSMaP—across the UAE from 2004 to 2020. Evaluation metrics include statistical, categorical, and extreme precipitation indices. MSWEP shows a moderate correlation with gauge data (mean CC = 0.62), performing better than CMORPH (0.54) but below IMERG (0.68). It also yields lower RMSE and MAE than CMORPH and GSMaP, indicating improved error metrics. However, MSWEP overestimates light rainfall and underestimates extreme events, reflected in a lower KGE (0.42) and weak performance in the 95th percentile rainfall, especially in coastal and mountainous areas. Seasonal analysis reveals overestimation in winter and underestimation during summer convective storms. While MSWEP offers strong global coverage and temporal consistency, its application in arid environments like the UAE requires bias correction. These findings highlight the need for integrating multiple datasets and regional adjustments to enhance rainfall estimation accuracy for hydrological and climate-related applications. Full article
(This article belongs to the Section Atmospheric Remote Sensing)
Show Figures

Figure 1

24 pages, 5362 KB  
Article
Tracing Vegetation Responses to Human Pressure and Climatic Stress: A Case Study from the Agri Valley (Southern Italy)
by Emanuela Carli, Martina Perez, Laura Casella, Giuseppe Miraglia, Francesca Pretto, Gaetano Caricato, Rosa Anna Cifarelli, Achille Palma and Pierangela Angelini
Land 2026, 15(1), 48; https://doi.org/10.3390/land15010048 - 26 Dec 2025
Viewed by 244
Abstract
Projected climate changes in the Mediterranean exceed those in most European regions, yet their effects on vegetation remain uncertain. We investigated vegetation changes in the Agri Valley (Basilicata, Italy) using 318 plots, including 40 resurveys. Community-weighted Ellenberg indicator values (EIVs) and plant ecological [...] Read more.
Projected climate changes in the Mediterranean exceed those in most European regions, yet their effects on vegetation remain uncertain. We investigated vegetation changes in the Agri Valley (Basilicata, Italy) using 318 plots, including 40 resurveys. Community-weighted Ellenberg indicator values (EIVs) and plant ecological groups were combined with long-term hydroclimatic anomalies reconstructed via the BIGBANG model (1951–2024), providing a long-term climatic baseline for interpretation. Significant shifts emerged in several EIVs, with clear habitat-specific patterns. Forests showed decreasing light and increasing moisture values, reflecting a higher presence of forest-associated species, though some diagnostic taxa declined. Grasslands exhibited increasing aridity, with a growing contribution of dry-grassland species and a decline in winter therophytes. Climatic analyses revealed pronounced long-term warming, accelerating after the 1980s, while annual precipitation remained highly variable without a monotonic trend. Recent years were marked by intensified drought, evidenced by declining SPEI values (2013–2022) and a higher frequency of dry months (SPEI ≤ −1). The convergence of vegetation responses, species turnover, and climatic anomalies supports climate-driven community trajectories. Despite limited land-use data, this multi-indicator framework effectively detects early ecological responses and identifies vulnerable habitats, providing valuable insights for the conservation and management of Mediterranean mountain ecosystems under ongoing climate change. Full article
Show Figures

Graphical abstract

26 pages, 6607 KB  
Article
Spatiotemporal Evolution and Drivers of Harvest-Disrupting Rainfall Risk for Winter Wheat in the Huang–Huai–Hai Plain
by Zean Wang, Ying Zhou, Tingting Fang, Zhiqing Cheng, Junli Li, Fengwen Wang and Shuyun Yang
Agriculture 2026, 16(1), 46; https://doi.org/10.3390/agriculture16010046 - 24 Dec 2025
Viewed by 308
Abstract
Harvest-disrupting rain events (HDREs) are prolonged cloudy–rainy spells during winter wheat maturity that impede harvesting and drying, induce pre-harvest sprouting and grain mould, and threaten food security in the Huang–Huai–Hai Plain (HHHP), China’s core winter wheat region. Using daily meteorological records (1960–2019), remote [...] Read more.
Harvest-disrupting rain events (HDREs) are prolonged cloudy–rainy spells during winter wheat maturity that impede harvesting and drying, induce pre-harvest sprouting and grain mould, and threaten food security in the Huang–Huai–Hai Plain (HHHP), China’s core winter wheat region. Using daily meteorological records (1960–2019), remote sensing-derived land-use data and topography, we develop a hazard–exposure–vulnerability framework to quantify HDRE risk and its drivers at 1 km resolution. Results show that HDRE risk has increased markedly over the past six decades, with the area of medium-to-high risk rising from 26.9% to 73.1%. The spatial pattern evolved from a “high-south–low-north” structure to a concentrated high-risk belt in the central–northern HHHP, and the risk centroid migrated from Fuyang (Anhui) to Heze (Shandong), with an overall displacement of 124.57 km toward the north–northwest. GeoDetector analysis reveals a shift from a “humidity–temperature dominated” mechanism to a “sunshine–humidity–precipitation co-driven” mechanism; sunshine duration remains the leading factor (q > 0.8), and its interaction with relative humidity shows strong nonlinear enhancement (q = 0.91). High-risk hot spots coincide with low-lying plains and river valleys with dense winter wheat planting, indicating the joint amplification of meteorological conditions and underlying surface features. The results can support regional decision-making for harvest-season early warning, risk zoning, and disaster risk reduction in the HHHP. Full article
Show Figures

Figure 1

24 pages, 9228 KB  
Article
Identification and Analysis of Compound Extreme Climate Events in the Huangshui River Basin, 1960–2022
by Zhihui Niu, Qiong Chen, Fenggui Liu, Ziqian Zhang, Weidong Ma, Qiang Zhou and Yanan Shi
Atmosphere 2025, 16(12), 1412; https://doi.org/10.3390/atmos16121412 - 18 Dec 2025
Viewed by 290
Abstract
With the increasing volatility and extremity of global climate change, the frequency, intensity, and associated impacts of compound extreme climate events have escalated substantially. To investigate the temporal trends and characteristics of such events, we identified compound extreme climate events in the Huangshui [...] Read more.
With the increasing volatility and extremity of global climate change, the frequency, intensity, and associated impacts of compound extreme climate events have escalated substantially. To investigate the temporal trends and characteristics of such events, we identified compound extreme climate events in the Huangshui River Basin, located in the northeastern Qinghai–Tibet Plateau, using daily mean temperature and precipitation records from eight meteorological stations. Compound warm–wet, warm–dry, cold–wet, and cold–dry events from 1960 to 2022 were detected based on cumulative distribution functions, and their long-term trends and intensity structures were examined. The results show that: (1) Warm–dry events dominate the basin, with an average annual frequency of 32.84 days per year, occurring frequently across all seasons; cold–dry events rank second (22.38 days per year) and are particularly frequent in winter. (2) Warm–dry events are highly concentrated in the river valley region (e.g., Minhe station), whereas cold–dry and warm–wet events mainly occur in the low-mountain areas (e.g., Huangyuan and Datong). (3) From 1960 to 2022, warm–dry and warm–wet events exhibit a highly significant increasing trend (p < 0.001), cold–dry events show a significant decreasing trend, and cold–wet events display no statistically significant trend. (4) In terms of intensity, all four types of compound events—warm–wet, warm–dry, cold–wet, and cold–dry—are dominated by weak to moderate grades. Overall, the basin is undergoing a compound-risk transition from historically “cold–dry dominated” conditions toward a regime characterized by “warm–dry predominance with emerging warm–wet events.” By identifying compound extreme climate events and analyzing their spatiotemporal variability and intensity characteristics, this study provides scientific support for disaster prevention, daily management, and risk mitigation in climate-sensitive regions. It also offers a useful reference for developing strategies to address compound extreme events induced by climate change and for implementing regional risk-prevention measures. Full article
(This article belongs to the Section Climatology)
Show Figures

Figure 1

22 pages, 2344 KB  
Article
Climograph-Supported Assessment of Temperature–Precipitation Trends Using Classical and Innovative Statistical Methods in the Yeşilırmak Basin, Türkiye
by Murat Pinarlik
Water 2025, 17(24), 3532; https://doi.org/10.3390/w17243532 - 13 Dec 2025
Viewed by 463
Abstract
Understanding long-term variations in temperature and precipitation is essential for interpreting regional hydroclimatic behavior and detecting potential shifts in water availability. This study analyzes annual and seasonal temperature–precipitation trends in the Yeşilırmak Basin, Türkiye, using data from seven meteorological stations over a 38-year [...] Read more.
Understanding long-term variations in temperature and precipitation is essential for interpreting regional hydroclimatic behavior and detecting potential shifts in water availability. This study analyzes annual and seasonal temperature–precipitation trends in the Yeşilırmak Basin, Türkiye, using data from seven meteorological stations over a 38-year period (1975–2012). The Randomness Test, Mann–Kendall (MK), and Innovative Trend Analysis (ITA) were applied to detect trends. In addition, a climograph was constructed to characterize seasonal climatic patterns. The climograph for Tokat and Dökmetepe stations shows May precipitation to be 40–50% higher than in winter, while August precipitation is nearly 89% lower than in May. Temperatures rise by approximately 20 °C from January to July, reflecting continental climatic characteristics influenced by the semi-arid transition between northern and central Türkiye. Results indicate statistically significant warming trends at confidence levels above 90%, particularly during summer and autumn, with autumn temperatures increasing by approximately 0.03–0.05 °C per year (Z = 2.3–2.5) at most stations. Precipitation exhibited moderate increases at certain stations, while overall patterns remained steady. While MK and ITA yielded largely consistent results, ITA proved advantageous in weak or borderline cases by detecting structural patterns across value zones. Across all seasonal and annual analyses, ITA identified additional trends in approximately 83% of the cases where MK detected no significant change, corresponding to 25 out of 30 seasonal comparisons. Moreover, in over 92% of statistically significant MK results, ITA outcomes were fully consistent, reinforcing its robustness. Full article
Show Figures

Figure 1

17 pages, 3375 KB  
Article
Assessing Climate Change and Reservoir Impacts on Upper Miño River Flow (NW Iberian Peninsula) Using Neural Networks
by Helena Barreiro-Fonta and Diego Fernández-Nóvoa
Water 2025, 17(24), 3514; https://doi.org/10.3390/w17243514 - 12 Dec 2025
Viewed by 475
Abstract
Climate change is altering the global hydrological cycle, which, combined with human interventions, such as reservoir operation, further disrupts river flows. Given the heterogeneity and importance of these impacts, and the particularities of each basin, regional studies are essential to assess local vulnerabilities. [...] Read more.
Climate change is altering the global hydrological cycle, which, combined with human interventions, such as reservoir operation, further disrupts river flows. Given the heterogeneity and importance of these impacts, and the particularities of each basin, regional studies are essential to assess local vulnerabilities. This study focuses on the upper Miño basin (NW Iberian Peninsula), together with the Belesar reservoir, to evaluate projected changes in streamflow between historical (1985–2014) and future (2070–2099) periods under the SSP5-8.5 and the SSP2-4.5 scenarios. Neural networks were applied to model the hydrological cycle, estimating flow from temperature and precipitation data, as well as to simulate reservoir operation, achieving successful validation. Results for SSP5-8.5 reveal a projected intensification of the hydrological cycle, with the 10th percentile (defining low-flow conditions) projected to decrease by approximately −10%, while the 99.997th percentile (defining high-flow conditions) is expected to increase by about +5%. Mean streamflow is projected to decline by more than −15%. Under the more moderate SSP2-4.5 scenario, changes are less pronounced, with the low-flow percentile expected to decrease by roughly −5% and mean streamflow showing a projected decline not reaching −15%. In contrast, the high-flow percentile exhibits an opposite trend, with a projected decrease of about −30% relative to the historical period. The analysis of reservoir operation was conducted under the most extreme emission scenario (SSP5-8.5), to assess its regulatory capacity under the harshest projected hydrological conditions. Results show that reservoir operation helps moderate the projected impact by redistributing water from wetter to drier periods, more than doubling projected summer flows downstream relative to upstream, and lowering winter flows, with the one-year return period value (99.997th percentile) projected to be reduced by approximately −15% by reservoir operation. Although natural future conditions are projected to become more critical, both the adoption of a more moderate emission pathway and an adequate reservoir operation will contribute to alleviating the most adverse hydrological impacts. Full article
(This article belongs to the Special Issue Application of Machine Learning in Hydrologic Sciences)
Show Figures

Figure 1

Back to TopTop