The Mechanism and Regularities of Ion Runoff Formation in the Ob River (Western Siberia) under the Influence of Its Tributaries and Underground Feeding
Abstract
1. Introduction
2. Materials and Methods
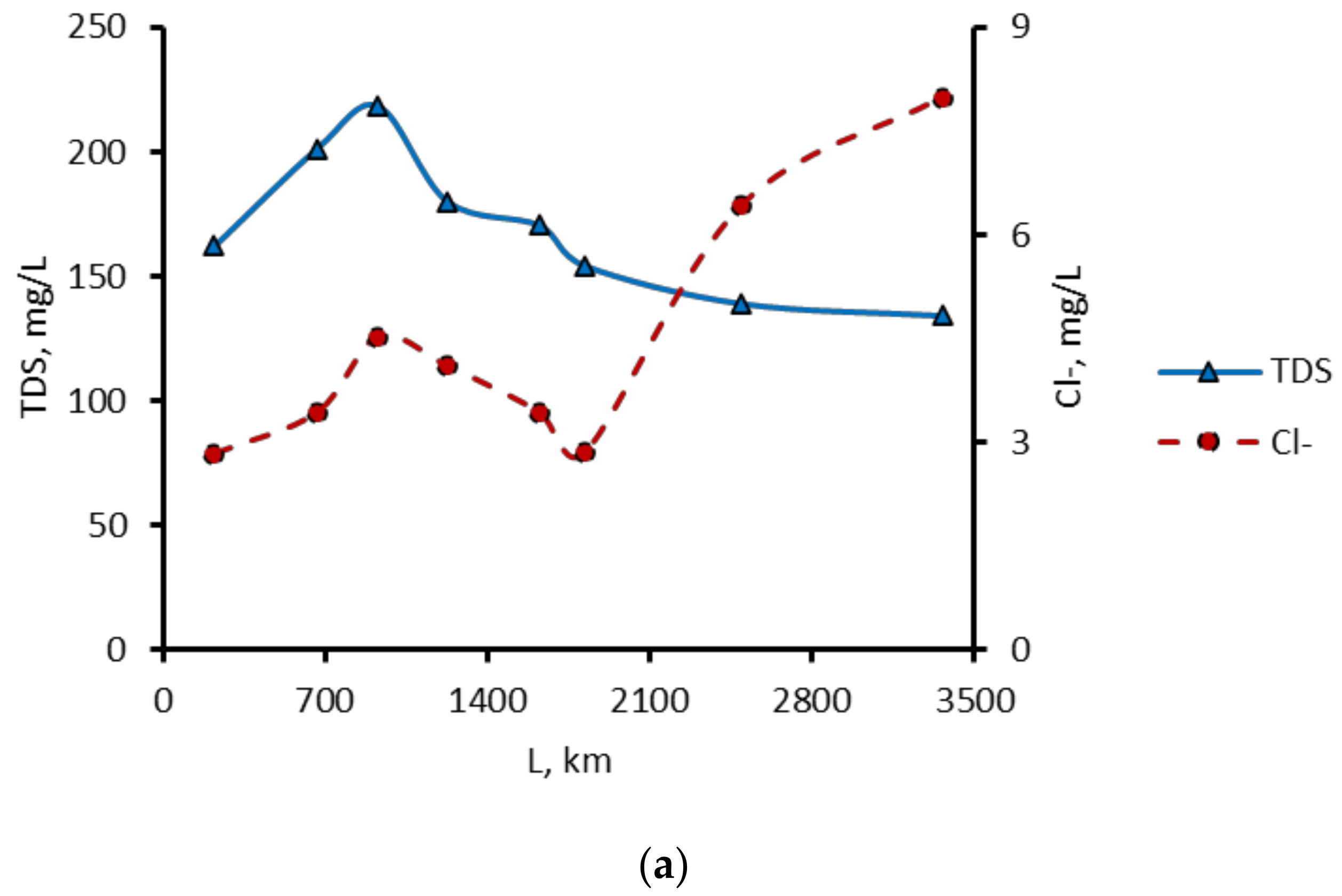
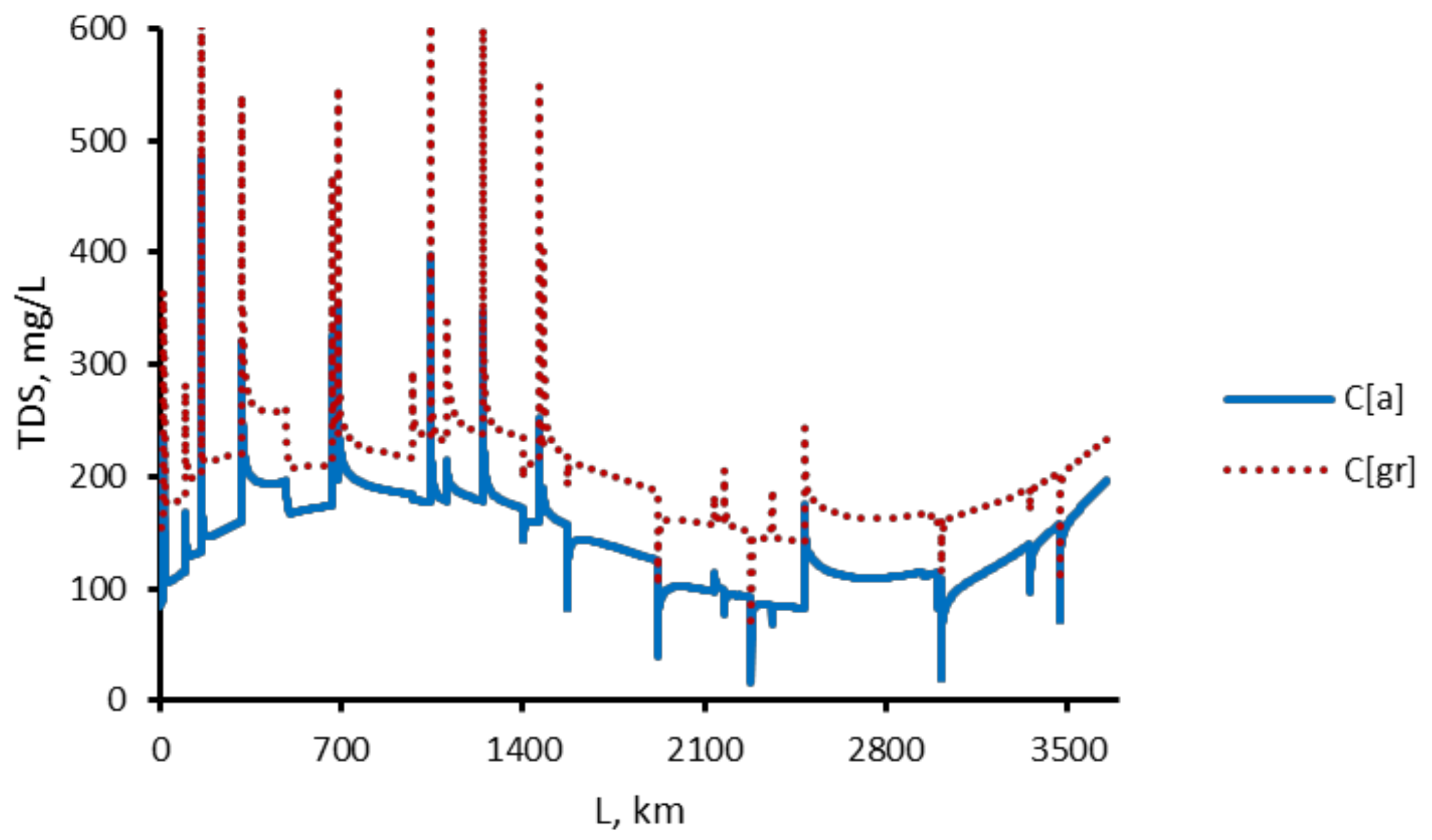
3. Results and Discussion
4. Conclusions
Author Contributions
Funding
Data Availability Statement
Conflicts of Interest
References
- Loucks, D.P.; Van Beek, E. Water Resources Systems Planning and Management. An Introduction to Methods, Models and Applications; UNESCO Publishing: Turin, Italy, 2005; printed by Ages Arti Grafiche; 679p. [Google Scholar]
- Kalbus, E.; Reinstorf, F.; Schirmer, M. Measuring methods for groundwater—surface water interactions: A review. Hydrol. Earth Syst. Sci. 2006, 10, 873–887. Available online: www.hydrol-earth-syst-sci.net/10/873/2006 (accessed on 5 June 2023). [CrossRef]
- Benedini, M.; Tsakiris, G. Water Quality Modelling for Rivers and Streams; Springer: Dordrecht, The Netherlands, 2013; 288p. [Google Scholar]
- Shiklomanov, A.I.; Lammers, R.B.; Lettenmaier, D.P.; Polischuk, Y.M.; Savichev, O.G.; Smith, L.G. Hydrological changes: Historical analysis, contemporary status, and future projections. In Environmental Changes in Siberia: Regional Changes and Their Global Consequences; Groisman, P.Y., Gutman, G., Eds.; Springer: Berlin, Germany, 2013; pp. 111–154. Available online: http://link.springer.com/chapter/10.1007/978-94-007-4569-8_4 (accessed on 5 June 2023).
- Shiklomanov, A.; Déry, S.; Tretiakov, M.; Yang, D.; Magritsky, D.; Georgiadi, A.; Tang, W. River freshwater flux to the Arctic Ocean. In Arctic Hydrology, Permafrost and Ecosystems; Yang, D., Kane, D., Eds.; Springer: Berlin, Germany, 2021; pp. 703–738. [Google Scholar] [CrossRef]
- Hydrogeology of the USSR. In The West Siberian Plain (Tyumen, Omsk, Novosibirsk and Tomsk regions); Nudner, V.A., Ed.; Nedra Publ.: Moscow, USSR, 1970; Volume 16, 368p. (In Russian) [Google Scholar]
- Hydrogeology of the USSR. In Kemerovo Region and Altai Territory; Nedra Publ.: Moscow, USSR, 1972; Volume 17, 398p. (In Russian)
- State of the Geological Environment in the Territory of Siberian Federal District in 2017; Bulletin; Filial «Sibirskiy regional’nyy tsentr GMSN», FGBU «Gidrospetsgeologiya»: Tomsk, Russia, 2018; Volume 14, 178p. (In Russian)
- Adam, A.M. Assessment of the ecological state of the territory of Western Siberia in order to ensure environmental safety in the context of sustainable nature management. In Nature Protection; NTL Publ.: Tomsk, Russia, 2005; pp. 1–12. [Google Scholar]
- Water Resources of the Russian Federation in 2018: State and Uses; Government Report; NIA-Priroda: Moscow, Russia, 2019; 290p. (In Russian)
- Zemtsov, V.A.; Savichev, O.G. Resources, regime and quality of surface waters in the Ob River basin: History, current state and problems of research. Intern. J. Environ. Stud. 2015, 72, 386–396. [Google Scholar] [CrossRef]
- Savichev, O.G. Water Resources of the Tomsk Region; Tomsk Polytechnic University Publ.: Tomsk, Russia, 2010; 248p. (In Russian) [Google Scholar]
- Savichev, O.G. Hydroecological Substantiation of Water Management Decisions; Tomsk Polytechnic University Publ. House: Tomsk, Russia, 2021; 167p. [Google Scholar]
- Georgievsky, M. Water resources of the Russian rivers and their changes. Proc. IAHS 2016, 374, 75–77. [Google Scholar] [CrossRef]
- Groisman, P.; Bulygina, O.; Henebry, G.; Speranskaya, N.; Shiklomanov, A.; Chen, Y.; Tchebakova, N.; Parfenova, E.; Tilinina, N.; Zolina, O.; et al. Dryland belt of Northern Eurasia: Contemporary environmental changes and their consequences. Environ. Res. Lett. 2018, 13, 115008. [Google Scholar] [CrossRef]
- Bui, M.T.; Lu, J.; Nie, L. A Review of Hydrological Models Applied in the Permafrost-Dominated Arctic Region. Geosciences 2020, 10, 401. [Google Scholar] [CrossRef]
- Gelfan, A.N.; Gusev, E.M.; Kalugin, A.S.; Krylenko, I.N.; Motovilov, Y.G.; Nasonova, O.N.; Millionshchikova, T.D.; Frolova, N.L. Runoff of russian rivers under current and projected climate change: A review 2. climate change impact on the water regime of russian rivers in the xxi century. Water Resour. 2022, 49, 351–365. [Google Scholar] [CrossRef]
- Methodology for Developing Standards for Permissible Discharges of Substances and Microorganisms into Water Bodies for Water Users. 17.05.2021; Ministry of Nature Resources of Russia Publ.: Moscow, Russia, 2021; 46p. (In Russian)
- Savichev, O.G.; Matveenko, I.A. Evaluation of chemical composition changes of surface water in Boguchan Reservoir (Siberia, Russia). Hydrol. Sci. J. 2013, 58, 706–715. [Google Scholar] [CrossRef]
- Savichev, O.G.; Zemtsov, V.A.; Pasechnik, E.Y. Hydrologic conditions for chemical composition of the Siberian river waters. Aktru IOP Conf. Ser. Earth Environ. Sci. 2019, 232, 1–6. [Google Scholar] [CrossRef]
- Nash, J.E.; Sutcliffe, J.V. River flow forecasting through conceptual models. P. I. A discussion of principles. J. Hydrol. 1970, 10, 282–290. [Google Scholar] [CrossRef]
- Determination of the Main Calculated Hydrological Characteristics. SP 33-101-2003. Code of Rules for Design and Construction; Gosstroy of Russia Publ.: Moscow, Russia, 2004; 72p. (In Russian)
- Ivanova, I.; Savichev, O.; Trifonov, N.; Kolubaeva, Y.V.; Volkova, N. Major-Ion Chemistry and Quality of Water in Rivers of NorthernWest Siberia. Water 2021, 13, 3107. [Google Scholar] [CrossRef]
- Savichev, O.; Moiseeva, J.; Guseva, N. Changes in the groundwater levels and regimes in the taiga zone of Western Siberia as a result of global warming. Theor. Appl. Climatol. 2022, 147, 1121–1131. [Google Scholar] [CrossRef]
- Weight, W.D. Hydrogeology Field Manual, 2nd ed.; The McGraw-Hill Education: New York, NY, USA, 2008; 751p. [Google Scholar]
- Manual on Stream Gauging. Vol. I. Fieldwork. WMO. No. 1044; World Meteorological Organization: Geneva, Switzerland, 2010; 252p.
- State Standard. Working Document GOST 19179-73 Land Hydrology. Terms and Definitions; Gosstandart USSR: Moscow, Russia, 1988; 47p. (In Russian) [Google Scholar]
- Alekin, O.A. Fundamentals of Hydrochemistry; Gidrometeoizdat: Leningrad, Russia, 1970; 444p. (In Russian) [Google Scholar]
- Liss, O.L.; Abramova, L.I.; Avetov, N.A. Bogs of Western Siberia and Their Conservation Value; Grif & Ko Publ.: Tula, Russia, 2001; 584p. (In Russian) [Google Scholar]
- Pologova, N.N.; Lapshina, E.D. Carbon accumulation in peat bog deposits of the Great Vasyugan. In Big Vasyugan Bog. Current Status and Development; Institute of Atmospheric Optics SB RAS Publ.: Tomsk, Russia, 2002; pp. 174–179. (In Russian) [Google Scholar]
- State Standard. Working Document GOST 27065–86 Water Quality. Terms and Definitions; Publishing House of Standards: Moscow, Russia, 2003; 9p. (In Russian) [Google Scholar]
- Pokrovsky, O.S.; Manasypov, R.M.; Kopysov, S.G.; Krickov, I.V.; Shirokova, L.S.; Loiko, S.V.; Lim, A.G.; Kolesnichenko, L.G.; Vorobyev, S.N.; Kirpotin, S.N. Impact of permafrost thaw and climate warming on riverine export fluxes of carbon, nutrients and metals in Western Siberia. Water 2020, 12, 1817. [Google Scholar] [CrossRef]
- Pokrovsky, O.S.; Manasypov, R.M.; Loiko, S.V.; Shirokova, L.S.; Krickov, I.A.; Pokrovsky, B.G.; Kolesnichenko, L.G.; Kopysov, S.G.; Zemtzov, V.A.; Kulizhsky, S.P.; et al. Permafrost coverage, watershed area and season control of dissolved carbon and major elements in western Siberian rivers. Biogeosciences 2015, 12, 6301–6320. [Google Scholar] [CrossRef]
- Kolesnichenko, I.; Kolesnichenko, L.G.; Vorobyev, S.N.; Shirokova, L.S.; Semiletov, I.P.; Dudarev, O.V.; Vorobev, R.S.; Shavrina, U.; Kirpotin, S.N.; Pokrovsky, O.S. Landscape, Soil, Lithology, Climate and Permafrost Control on Dissolved Carbon, Major and Trace Elements in the Ob River, Western Siberia. Water 2021, 13, 3189. [Google Scholar] [CrossRef]










| Cross-Section on the Ob River (Number) | Lm, km | L, km | F*, km2 | River/Gauge Station | F(s), km2 | Q(gr)/ Q(s),% | M(s), L/ (s⋅km2) | M(gr), L/ (s⋅km2) |
|---|---|---|---|---|---|---|---|---|
| Mouth of the Shchuchya River (24) | 178 | 3472 | 12,300 | Shchuchya at Shchuchye | 10,600 | 19 | 10.30 | 1.98 |
| Salekhard city | 287 | 3363 | 2,950,000 | Ob at Salekhard | – | 38 | 4.38 | 1.66 |
| Mouth of the Poluy River (23) | 291 | 3359 | 21,000 | Poluy at Poluy | 15,100 | 32 | 8.83 | 2.79 |
| Mouth of the Severnaya Sosva River (22) | 638 | 3012 | 98,300 | Severnaya Sosva at Sosva, cultbaza | 65,200 | 13 | 9.37 | 1.23 |
| Mouth of the Kazym River (21) | 648 | 3002 | 35,600 | Kazym at Verkhnekazymsky | 20,400 | 38 | 3.76 | 1.45 |
| Belogorie village | 1152 | 2498 | 2,160,000 | Ob at Belogorie | – | 42 | 4.67 | 1.97 |
| Mouth of the Irtysh River (20) | 1162 | 2488 | 1,650,000 | Irtysh at Khanty-Mansiysk | 1,640,000 | 44 | 1.70 | 0.75 |
| Mouth of the Bolshoy Salym River (19) | 1291 | 2359 | 18,100 | Bolshoy Salym at Lempyny | 12,500 | 27 | 5.56 | 1.50 |
| Mouth of the Lyamin River (18) | 1369 | 2281 | 15,900 | Lyamin at Gorshkovo | 12,800 | 46 | 9.31 | 4.24 |
| Mouth of the Bolshoy Yugan River (17) | 1471 | 2179 | 34,700 | Bolshoy Yugan at Ugut | 22,100 | 24 | 6.75 | 1.61 |
| Mouth of the Trom-Yegan River (16) | 1509 | 2141 | 55,600 | Trom-Yegan at Russkinskaya | 8800 | 50 | 9.54 | 4.74 |
| Mouth of the Vakh River (15) | 1730 | 1920 | 76,700 | Vakh at Lobchinnskoye | 56,400 | 43 | 10.46 | 4.47 |
| Prokhorkino village | 2024 | 1626 | 738,000 | Ob at Prokhorkino | – | 35 | 6.83 | 2.42 |
| Mouth of the Tym River (14) | 2077 | 1573 | 32,300 | Tym at Napas | 24,500 | 37 | 8.34 | 3.08 |
| Mouth of the Vasyugan River (13) | 2169 | 1481 | 61,800 | Vasyugan at Sredniy Vasyugan | 31,700 | 24 | 5.19 | 1.24 |
| Mouth of the Parabel River (12) | 2189 | 1461 | 25,500 | Parabel at Novikivo | 17,900 | 30 | 4.31 | 1.27 |
| Mouth of the Ket River (11) | 2246 | 1404 | 94,200 | Ket at Rodionovo | 71,500 | 72 | 6.48 | 4.64 |
| Mouth of the Chaya River (10) | 2403 | 1247 | 27,200 | Chaya at Podgornoye | 25,000 | 31 | 3.19 | 0.98 |
| Kolpashevo town | 2422 | 1228 | 486,000 | Ob at Kolpashevo | – | 34 | 7.18 | 2.43 |
| Mouth of the Chulym River (9) | 2542 | 1108 | 134,000 | Chulym at Baturino | 131,000 | 30 | 5.96 | 1.78 |
| Mouth of the Shegarka River (8) | 2605 | 1045 | 12,000 | Shegarka at Babarykino | 8190 | 18 | 2.22 | 0.39 |
| Mouth of the Tom River (7) | 2677 | 973 | 62,000 | Tom at Tomsk | 57,000 | 18 | 18.23 | 3.29 |
| Dubrovino village | 2876 | 774 | 258,000 | Ob at Dubrovino | – | 43 | 6.54 | 2.84 |
| Mouth of the Inya River (6) | 2965 | 685 | 17,600 | Inya at Kaily | 15,700 | 23 | 2.19 | 0.51 |
| Novosibirsk city, Hydroelectric station | 2986 | 664 | 232,000 | Ob at Novosibirsk | – | 42 | 6.60 | 2.80 |
| Mouth of the Berd River (5) | 2989 | 661 | 8650 | Berd at Maslyanino | 2480 | 36 | 6.56 | 2.39 |
| Mouth of the Chumysh River (4) | 3333 | 317 | 23,900 | Chumysh at Talmenka | 20,600 | 27 | 5.69 | 1.52 |
| Barnaul city | 3430 | 220 | 169,000 | Ob at Barnaul | – | 23 | 8.70 | 2.03 |
| Mouth of the Aley River (3) | 3490 | 160 | 21,100 | Aley at Aleysk | 18,700 | 28 | 1.53 | 0.43 |
| Mouth of the Charysh River (2) | 3550 | 100 | 22,200 | Charysh at Charyshsly sovkhoz | 20,700 | 23 | 8.82 | 2.06 |
| Mouth of the Peschanaya River (1) | 3634 | 16 | 5660 | Peschanaya at Tochilnoye | 4720 | 31 | 6.28 | 1.92 |
| Mouth of the Katun River | 3650 | – | 60,900 | Katun at Srostki | 58,400 | 18 | 10.36 | 1.84 |
| Mouth of the Biya River | 3650 | – | 37,000 | Biya at Biysk | 36,900 | 20 | 12.89 | 2.54 |
| Natural Area | District (Catchment) | Parameter | pH | TDS | NO3− | NH4+ | PO43− | Si | Fe | PO | COD | Type of Water |
|---|---|---|---|---|---|---|---|---|---|---|---|---|
| River waters (waters of medium and small rivers) | ||||||||||||
| Mountainous areas | Tom | A | 7.46 | 98.6 | 1.37 | 0.19 | 0.43 | 3.43 | 0.11 | 3.14 | 7.52 | CIICa |
| δA | 0.02 | 3.8 | 0.08 | 0.01 | 0.39 | 0.09 | 0.02 | 0.18 | 0.20 | - | ||
| Chulym | A | 7.63 | 153.3 | 0.54 | 0.16 | 0.10 | 3.92 | 0.14 | 4.48 | 11.79 | CICa | |
| δA | 0.04 | 10.0 | 0.08 | 0.09 | 0.07 | 0.15 | 0.02 | 0.57 | 4.57 | - | ||
| Ob area | A | 7.43 | 207.3 | 1.66 | 1.00 | 0.15 | 4.53 | 0.15 | 4.63 | 10.26 | CIICa | |
| δA | 0.03 | 9.9 | 0.32 | 0.38 | 0.02 | 0.53 | 0.04 | 0.41 | 1.14 | - | ||
| Altai | A | 7.60 | 141.7 | 0.67 | 0.06 | 0.06 | 2.92 | 0.51 | 2.33 | 5.24 | CIICa | |
| δA | 0.05 | 5.4 | 0.05 | 0.01 | 0.01 | 0.27 | 0.14 | 0.21 | 0.42 | - | ||
| Total | A | 7.48 | 126.1 | 1.25 | 0.19 | 0.29 | 3.50 | 0.21 | 3.25 | 7.45 | CIICa | |
| δA | 0.02 | 3.3 | 0.06 | 0.01 | 0.23 | 0.11 | 0.03 | 0.14 | 0.19 | - | ||
| Steppe | Total | A | 7.55 | 987.2 | 0.53 | 0.10 | 0.17 | 3.32 | 0.16 | 15.49 | 41.47 | ClIINa |
| δA | 0.06 | 67.6 | 0.12 | - | 0.03 | 0.26 | 0.03 | 1.90 | 5.94 | - | ||
| Forest steppe | Irtysh | A | 7.62 | 629.9 | - | - | - | 4.84 | 0.29 | 13.42 | 44.23 | CIINa |
| δA | 0.06 | 41.2 | - | - | - | 0.64 | 0.11 | 1.01 | 10.96 | - | ||
| Upper Ob area | A | 7.65 | 407.8 | 0.74 | 0.42 | 0.23 | 3.87 | 0.11 | 4.64 | 13.53 | CICa | |
| δA | 0.03 | 14.4 | 0.10 | 0.06 | 0.03 | 0.18 | 0.02 | 0.24 | 0.69 | - | ||
| Tom | A | 7.48 | 515.8 | 1.39 | 0.25 | 0.30 | 3.77 | 0.29 | 7.08 | 22.52 | CICa | |
| δA | 0.14 | 33.0 | 0.57 | 0.11 | 0.11 | 0.40 | 0.08 | 0.82 | 0.98 | - | ||
| Total | A | 7.63 | 481.3 | 0.88 | 0.40 | 0.23 | 4.04 | 0.17 | 7.10 | 19.67 | CIICa | |
| δA | 0.03 | 15.8 | 0.14 | 0.05 | 0.03 | 0.18 | 0.02 | 0.43 | 0.95 | - | ||
| Southern taiga | Right bank | A | 6.91 | 147.0 | 0.73 | 0.60 | 0.13 | 4.43 | 0.65 | 15.29 | 28.82 | CICa |
| δA | 0.05 | 10.2 | 0.30 | 0.11 | 0.01 | 0.18 | 0.07 | 0.96 | 1.54 | - | ||
| Left bank | A | 7.03 | 242.3 | 2.69 | 2.25 | 0.29 | 4.80 | 1.63 | 28.63 | 66.92 | CIICa | |
| δA | 0.03 | 8.2 | 0.46 | 0.17 | 0.03 | 0.15 | 0.18 | 1.26 | 2.85 | - | ||
| Total | A | 7.00 | 220.4 | 2.25 | 2.12 | 0.25 | 4.71 | 1.43 | 24.98 | 58.10 | CIICa | |
| δA | 0.03 | 6.9 | 0.36 | 0.16 | 0.02 | 0.12 | 0.14 | 1.00 | 2.34 | - | ||
| Middle taiga | Right bank | A | 6.62 | 51.0 | 0.51 | 5.54 | 0.11 | 5.46 | 1.47 | 13.38 | 26.71 | CIICa |
| δA | 0.06 | 3.0 | 0.11 | 4.79 | 0.02 | 0.26 | 0.09 | 0.59 | 1.51 | - | ||
| Left bank | A | 6.92 | 101.6 | 0.31 | 1.51 | 0.35 | 5.24 | 2.54 | 22.08 | 57.48 | CIIICa | |
| δA | 0.08 | 8.9 | 0.25 | 0.52 | 0.13 | 0.44 | 0.60 | 1.90 | 7.93 | - | ||
| Total | A | 6.72 | 65.8 | 0.49 | 4.84 | 0.15 | 5.42 | 1.65 | 14.63 | 31.60 | CIICa | |
| δA | 0.05 | 3.7 | 0.10 | 3.95 | 0.03 | 0.23 | 0.13 | 0.63 | 2.14 | - | ||
| Northern taiga, forest tundra, tundra | Right bank | A | 7.31 | 68.8 | - | - | - | 3.30 | 0.43 | 10.59 | 15.41 | CIIICa |
| δA | 0.09 | 6.4 | - | - | - | 0.24 | 0.08 | 2.43 | 1.59 | - | ||
| Left bank | A | 6.19 | 67.0 | 0.27 | 0.30 | 0.19 | 6.12 | 1.28 | 14.70 | 38.41 | CIICa | |
| δA | 0.10 | 7.7 | 0.08 | 0.07 | 0.06 | 0.55 | 0.15 | 1.49 | 3.83 | - | ||
| Total | A | 6.57 | 67.8 | 0.27 | 0.30 | 0.19 | 4.71 | 0.96 | 12.98 | 29.31 | CIIICa | |
| δA | 0.09 | 5.0 | 0.08 | 0.07 | 0.06 | 0.34 | 0.10 | 1.34 | 2.68 | - | ||
| Groundwater (age of aquifers) | ||||||||||||
| Mountainous areas | Altai (Q/N) | A | 7.60 | 410.3 | 3.46 | 0.27 | 0.06 | 5.21 | 1.17 | 0.94 | - | CIIICa |
| δA | 0.13 | 72.8 | 1.31 | 0.17 | 0.04 | 0.78 | 0.94 | 0.52 | - | - | ||
| Altai (Pz) | A | 7.58 | 342.8 | 30.24 | 0.07 | 0.03 | 5.17 | 0.12 | 1.67 | - | CICa | |
| δA | 0.03 | 15.4 | 17.04 | 0.01 | 0.01 | 0.16 | 0.04 | 0.29 | - | - | ||
| Mountainous regions, foothills and adjacent territories of forest steppe and taiga | Tom/Chulym (Q/N) | A | 7.19 | 425.8 | 2.76 | 0.88 | 0.33 | 8.48 | 3.82 | 2.74 | 3.38 | CICa |
| δA | 0.08 | 19.0 | 1.93 | 0.12 | 0.27 | 0.64 | 0.59 | 0.21 | 0.51 | - | ||
| Tom/Chulym (P) | A | 7.30 | 479.5 | 0.37 | 0.53 | 0.10 | 9.64 | 3.71 | 2.53 | 9.44 | CICa | |
| δA | 0.25 | 8.7 | 0.06 | 0.05 | 0.02 | 0.29 | 0.31 | 0.10 | 3.32 | - | ||
| Tom/Chulym (Mz) | A | 7.30 | 452.3 | - | - | - | - | - | - | - | CICa | |
| δA | 0.20 | 37.5 | - | - | - | - | - | - | - | - | ||
| Tom/Chulym (Pz) | A | 7.01 | 870.9 | 1.12 | 0.59 | 1.87 | 7.63 | 3.10 | 2.40 | 8.70 | CINa | |
| δA | 0.09 | 260.3 | 0.48 | 0.07 | 1.18 | 0.26 | 0.35 | 0.14 | 2.23 | - | ||
| Forest steppe | Upper Ob area (Q) | A | 7.49 | 646.8 | - | - | 0.04 | 5.27 | 2.45 | - | - | CIICa |
| δA | 0.32 | 97.6 | - | - | 0.01 | 1.59 | 1.05 | - | - | |||
| Upper Ob area (P) | A | 7.50 | 710.0 | 0.54 | 1.07 | 0.10 | 12.39 | 1.28 | 2.55 | - | CICa | |
| δA | 0.13 | 54.6 | 0.20 | 0.43 | 0.04 | 2.03 | 0.42 | 0.66 | - | - | ||
| Upper Ob area (Pz) | A | 7.25 | 672.9 | 5.09 | 1.24 | 0.17 | 7.02 | 5.43 | 2.00 | - | CICa | |
| δA | 0.25 | 71.8 | 4.66 | 0.86 | 0.14 | 1.08 | 4.97 | 0.98 | - | - | ||
| Southern taiga | Right bank (Q) | A | 6.92 | 223.3 | 0.35 | 1.20 | 0.01 | 5.64 | 8.75 | 4.91 | - | CICa |
| δA | 0.05 | 7.3 | 0.07 | 0.10 | 0.00 | 0.36 | 0.88 | 0.24 | - | - | ||
| Left bank (Q) | A | 7.09 | 342.9 | 3.77 | 0.58 | 0.03 | 3.22 | 2.55 | 3.46 | - | CIIICa | |
| δA | 0.07 | 11.5 | 1.97 | 0.09 | 0.02 | 0.25 | 0.32 | 0.13 | - | - | ||
| Total (Q) | A | 6.97 | 257.6 | 1.32 | 1.03 | 0.02 | 5.06 | 7.07 | 4.50 | - | CICa | |
| δA | 0.04 | 6.6 | 0.57 | 0.08 | 0.01 | 0.29 | 0.66 | 0.18 | - | - | ||
| Right bank (P) | A | 7.19 | 456.7 | 0.60 | 1.89 | 0.05 | 7.91 | 9.37 | 7.53 | - | CICa | |
| δA | 0.09 | 14.0 | 0.19 | 0.16 | 0.02 | 0.62 | 1.61 | 0.50 | - | - | ||
| Left bank (P) | A | 7.23 | 464.9 | 1.41 | 2.99 | 2.33 | 6.92 | 6.18 | 5.68 | - | CICa | |
| δA | 0.06 | 14.1 | 0.41 | 0.25 | 0.20 | 0.44 | 0.58 | 0.26 | - | - | ||
| Total (P) | A | 7.21 | 462.2 | 1.15 | 2.64 | 0.13 | 7.24 | 7.32 | 6.30 | - | CICa | |
| δA | 0.05 | 10.5 | 0.28 | 0.18 | 0.03 | 0.36 | 0.69 | 0.25 | - | - | ||
| Middle taiga | Right bank (Q) | A | 7.06 | 183.2 | 1.10 | 1.96 | - | 9.23 | 4.18 | 3.25 | - | CICa |
| δA | 0.09 | 20.2 | 0.64 | 0.35 | - | 0.87 | 1.64 | 0.30 | - | - | ||
| Left bank (Q) | A | 7.25 | 376.1 | 1.02 | 2.11 | - | 5.78 | 5.63 | 4.75 | - | CICa | |
| δA | 0.19 | 14.0 | 0.39 | 0.29 | - | 0.64 | 0.97 | 0.22 | - | - | ||
| Total (Q) | A | 7.22 | 337.1 | 1.03 | 2.09 | - | 6.70 | 5.41 | 4.58 | - | CICa | |
| δA | 0.16 | 14.7 | 0.34 | 0.25 | - | 0.57 | 0.86 | 0.20 | - | - | ||
| River/Gauge Station | C0 in Equation (12) | −kC/kQ in Equation (12) | R2 |
|---|---|---|---|
| Shchuchya at Shchuchye | 35.3 | −0.148 | 0.90 |
| Ob at Salekhard | 129.0 | −0.379 | 0.57 |
| Poluy at Poluy | 129.0 | −0.379 | 0.57 |
| Severnaya Sosva at Sosva, cultbaza | 41.9 | −0.428 | 0.52 |
| Ob at Belogorie | 127.5 | −0.467 | 0.76 |
| Irtysh at Khanty-Mansiysk | 203.3 | −0.194 | 0.58 |
| Bolshoy Salym at Lempyny | 91.4 | −0.503 | 0.79 |
| Trom-Yegan at Russkinskaya | 21.0 | −0.350 | 0.64 |
| Vah at Lobchinnskoye | 38.9 | −0.781 | 0.87 |
| Ob at Prokhorkino | 149.4 | −0.382 | 0.53 |
| Tym at Napas | 56.4 | −0.899 | 0.86 |
| Vasyugan at Sredniy Vasyugan | 131.1 | −0.546 | 0.87 |
| Parabel at Novikivo | 216.5 | −0.650 | 0.79 |
| Ket at Rodionovo | 108.7 | −0.697 | 0.96 |
| Chaya at Podgornoye | 298.9 | −0.495 | 0.69 |
| Ob at Kolpashevo | 165.5 | −0.344 | 0.46 |
| Chulym at Baturino | 162.0 | −0.389 | 0.57 |
| Shegarka at Babarykino | 340.0 | −0.246 | 0.59 |
| Tom at Tomsk | 111.2 | −0.295 | 0.56 |
| Inya at Kaily | 358.8 | −0.222 | 0.64 |
| Ob at Novosibirsk | 181.4 | −0.182 | 0.40 |
| Berd at Maslyanino | 267.0 | −0.301 | 0.84 |
| Chumysh at Talmenka | 282.7 | −0.337 | 0.91 |
| Ob at Barnaul | 154.0 | −0.233 | 0.63 |
| Aley at Aleysk | 338.5 | −0.156 | 0.70 |
| Charysh at Charyshsly sovkhoz | 160.0 | −0.197 | 0.49 |
| Peschanaya at Tochilnoye village | 243.8 | −0.176 | 0.53 |
| Katun at Srostki | 115.9 | −0.231 | 0.78 |
| Biya at Biysk | 84.6 | −0.261 | 0.72 |
Disclaimer/Publisher’s Note: The statements, opinions and data contained in all publications are solely those of the individual author(s) and contributor(s) and not of MDPI and/or the editor(s). MDPI and/or the editor(s) disclaim responsibility for any injury to people or property resulting from any ideas, methods, instructions or products referred to in the content. |
© 2023 by the authors. Licensee MDPI, Basel, Switzerland. This article is an open access article distributed under the terms and conditions of the Creative Commons Attribution (CC BY) license (https://creativecommons.org/licenses/by/4.0/).
Share and Cite
Zemtsov, V.; Savichev, O.; Petrova, V. The Mechanism and Regularities of Ion Runoff Formation in the Ob River (Western Siberia) under the Influence of Its Tributaries and Underground Feeding. Water 2023, 15, 2413. https://doi.org/10.3390/w15132413
Zemtsov V, Savichev O, Petrova V. The Mechanism and Regularities of Ion Runoff Formation in the Ob River (Western Siberia) under the Influence of Its Tributaries and Underground Feeding. Water. 2023; 15(13):2413. https://doi.org/10.3390/w15132413
Chicago/Turabian StyleZemtsov, Valerii, Oleg Savichev, and Vesta Petrova. 2023. "The Mechanism and Regularities of Ion Runoff Formation in the Ob River (Western Siberia) under the Influence of Its Tributaries and Underground Feeding" Water 15, no. 13: 2413. https://doi.org/10.3390/w15132413
APA StyleZemtsov, V., Savichev, O., & Petrova, V. (2023). The Mechanism and Regularities of Ion Runoff Formation in the Ob River (Western Siberia) under the Influence of Its Tributaries and Underground Feeding. Water, 15(13), 2413. https://doi.org/10.3390/w15132413

