Abstract
In Cameroon, the environmental profile is increasingly marked by anarchic urbanisation, which is strongly illustrated by the discharge of waste into the aquatic environment, leading to pollution. Indeed, the tributaries of the Mfoundi and Mefou river basins have nowadays become dumping grounds and receptacles for all kinds of waste, leading to the degradation of water quality and a reduction in biodiversity. This study aims to evaluate the effect of anthropogenic pressure on the biodiversity of benthic macroinvertebrates in three rivers of the Mfoundi basin (Ebogo, Abiergue, and Ako’o). For this purpose, some physicochemical parameters were measured according to standard methods, and benthic macroinvertebrates were collected according to the multihabitat approach. To this end, the physicochemical analyses revealed that the waters of these different streams are slightly basic and poorly oxygenated, with a saturation rate of 9.725 ± 11.74% and significant organic pollution. Biologically, a total of 5793 benthic macroinvertebrates divided into three phyla, eight orders, and more than thirty families were collected, with a population dominated by the order of insects and a low level of diversity dominated by pollutant organisms such as the Chironomidae, Lumbriculidae, and Physidae, which are saprobionts and saprophilous organisms. A redundancy analysis indicated that the main groups of benthic macroinvertebrates obtained were related to the gradients of the physicochemical parameters measured. The Shannon–Weaver diversity and Piélou equitability indexes showed the low diversity of the organisms within the different courses and their low equipartition, mainly due to the saprobiont and saprophilous groups that dominate the population. The exogenous inputs due to the increase in the population of the city of Yaoundé, which dumps its waste into the waterways, have major repercussions on the quality of the water and the population that abounds in this environment, particularly the benthic macroinvertebrates, which are an important link in the monitoring of water quality.
1. Introduction
The various United Nations summits and conferences on water and the environment, including the one held in Brasilia in 2018 on the sixth Sustainable Development Goal [1], have made the same observation, consistently highlighting the fragility and vulnerability of freshwater ecosystems, hence the need for the regular environmental monitoring of surface waters using reliable indicators. Indeed, the ever-increasing urbanisation, which is accompanied by exponential demographic growth, is the main factor in environmental degradation, particularly of the degradation of hydrosystems. This leads to modifications in the chemical, physical and hydrological properties of watercourses, which affect the communities of algae, fish, and invertebrates [2,3,4,5]. In fact, anthropogenic activities are a threat to the quality of water bodies [6]. However, freshwater (surface and groundwater), which is involved in practically all human activities, represents less than 1% of the quantity of water available on Earth. Thus, the survival of all humanity requires the protection and proper preservation of this vital resource.
In Cameroon, and more particularly in the large metropolises, surface waters that are often used as sources of drinking water and for watering market garden crops have become receptacles for household waste, runoff, black water, and industrial waste that increasingly degrade their quality. Numerous studies have been carried out in the poorly anthropised waterways of the Yaoundé peri-urban area and have shown the very high levels of the diversity and integrity of the benthic macrofauna [7,8] and significant organic pollution, with a high level of dissemination of entomopathogenic amoeba cysts in the urban environment [9,10]. Undeniably, the quality of watercourses is closely linked to the activities carried out along the catchment area. The uncontrolled occupation of watercourses is a source of disturbance to the aquatic environment. Therefore, the preservation of the quality of these resources requires the evaluation of all its components. The examination of this quality should not be limited to physicochemical and ecotoxicological approaches alone but should integrate biological methods that can provide lasting solutions for the general assessment of the quality of hydrosystems [11].
Biological methods involve the assessment of several groups, including benthic macroinvertebrates, which are known to be good indicators of the health of aquatic ecosystems [12,13]. Indeed, they integrate the cumulative and synergistic effects of physical, biological, and chemical disturbances in watercourses [14]. They allow the real impacts of pollution and alterations to the aquatic and riparian habitats on aquatic ecosystems to be assessed. In addition, they are sensitive to chemical pollution, whether this is due to excessive organic inputs or inputs of toxic chemicals that are not biodegradable or only biodegrade with difficulty. All these characteristics make the use of benthic macroinvertebrates in surface water quality assessments favourable. The present study was carried out in three rivers in the Mfoundi catchment area: the Ebogo, the Abiergue, and the Ako’o. The main objective was to determine the effect of anthropogenic pressure on these different rivers. The aim was to measure the physicochemical parameters and report on the quality of the water in direct relation to the activities practised along the catchment areas in an urban environment to identify the different species of benthic macroinvertebrates present in the water and to determine the influences of the physicochemical parameters on the macroinvertebrate population present.
2. Materials and Methods
2.1. Study Area
This study took place in the city of Yaoundé, the political capital of Cameroon. It is located between 3°90′ north latitude and 11°50′ east longitude, at an altitude of 760 m. It had an area of 18,000 hectares and a population of 2.766 million inhabitants in 2015. It comprises 7 arrondissement communes and seven hills dominated by the Mbam Minkom Mountains (1295 m above sea level) and Mount Nkolodom (1221 m above sea level) in the north-western sector of the city and Mount Eloumden (1159 m above sea level) in the south-west. The city of Yaoundé is watered by the Mfoundi and Mefou river systems, whose catchment area extends over 96 km2. Three watercourses were the subject of this study: the Ebogo, the Abiergué, and the Ako’o. Thus, 6 sampling stations were selected, 2 per river, taking into account the main sources of pollution (Figure 1). Table 1 presents the summary characteristics of the sampling stations. Sampling was carried out monthly from April to September 2022.
Figure 1.
The catchment area of study, showing the different rivers and sampling stations.
Table 1.
Summary characteristics of the different sampling stations.
2.2. Analysis of Physicochemical Parameters
Water samples for physicochemical analyses were taken at the various stations, using double-stoppered 1000 mL and 500 mL polyethylene bottles for laboratory analyses, while other samples were measured directly on the water column using standard methods [15,16]. Electrical conductivity, TDS, pH, and temperature were measured in situ using a HANNA HI 98130 multimeter. Dissolved oxygen levels were measured using a HANNA HI 9147 oximeter. In the laboratory, the nitrate (Trace2o Wagtech, United Kingdom), nitrite (Trace2o Wagtech, United Kingdom), ammoniacal nitrogen (Trace2o Wagtech, United Kingdom), and orthophosphate (Trace2o Wagtech, United Kingdom) contents were measured via colorimetry using a Hydro Test HT1000 spectrophotometer, and the oxidizability was measured via volumetry.
2.3. Collection and Identification of Benthic Macroinvertebrates
Benthic macroinvertebrates were collected using a 30 cm square net with a conical net of 400 µm mesh and a depth of 50 cm. The sampling was carried out using the multihabitat approach [17]. Thus, at each station, about 20 dip net hauls were made over an area of about 3 m2 in total. The net load was then transferred to a white cloth, and the organisms were removed with a pair of fine forceps and placed in pillboxes containing 10% formalin. In the laboratory, the organisms were rinsed with tap water to remove the formalin and then preserved in pillboxes containing 70% alcohol; they were then identified and counted under a binocular loupe, brand BRESSER HG878513, with episcopic illumination, using the appropriate keys and books [18,19,20,21,22,23,24,25].
2.4. Data Analyses
The Kruskal–Wallis test, carried out using software (SPSS version 20.0), made it possible to observe whether the results of the averages varied significantly or not between the different months and/or between the different stations. The Shannon–Weaver index was used to show the variation in taxonomic diversity, and the Piélou equitability index was used to verify the distribution of individuals within the stands. In order to assess the organic pollution level at each sampling station, the Organic Pollution Index (OPI) was calculated according to the protocol described in [26].
The Hilsenhoff (FBI) index (1988), taking into account the tolerance ranges assigned to each organism, was used to determine the pollution levels of different sampling stations [27,28].
where number of individuals of the ith taxon, tolerance of the ith taxon, and number of individuals in the sample.
Spearman rank correlations were obtained using SPSS 20.0 software, and a redundancy analysis was performed with CANOCO software in order to determine the associations between the physicochemical variables and benthic macroinvertebrate communities.
3. Results
3.1. Physicochemical Variables
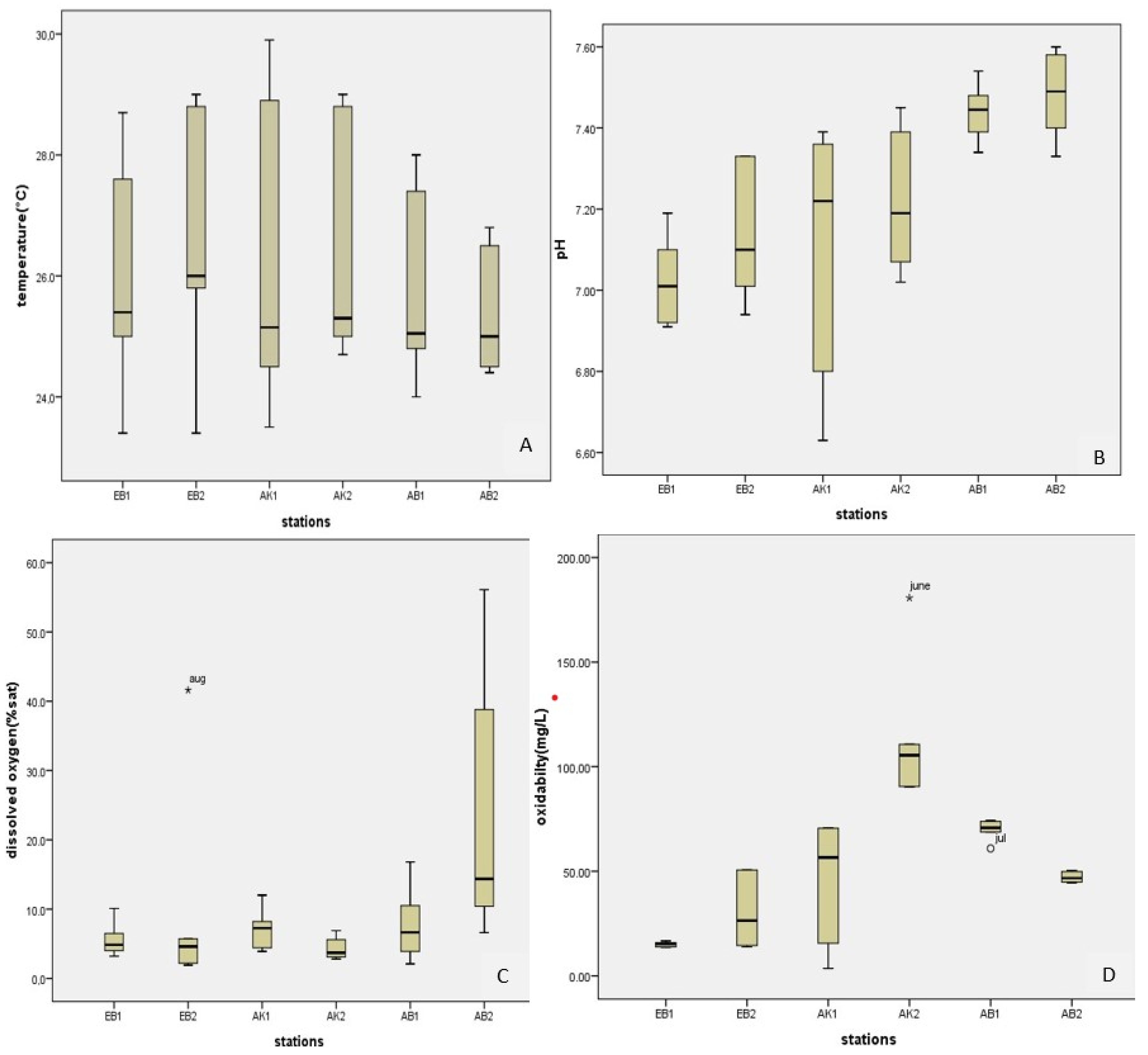
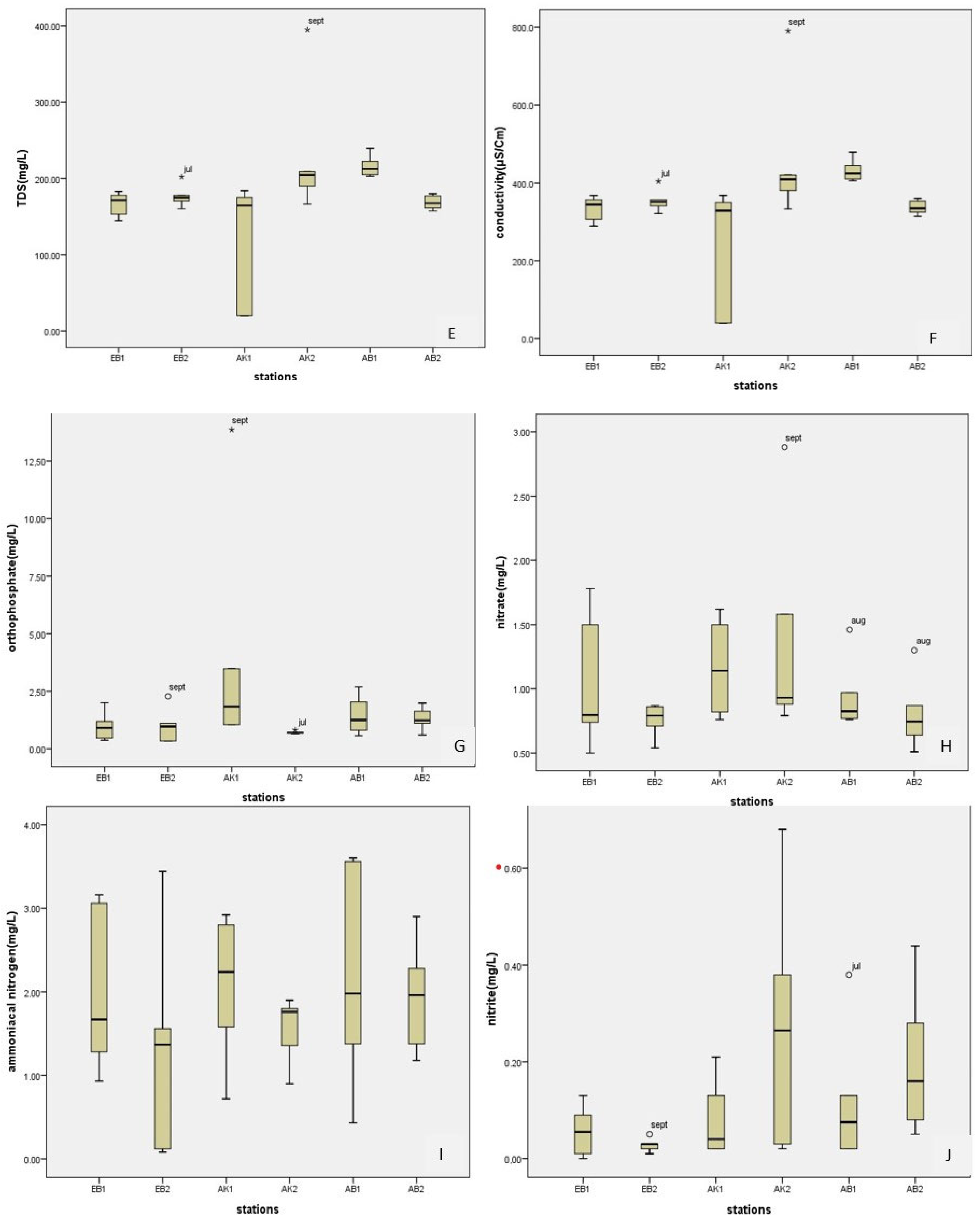
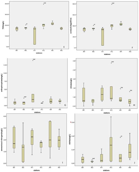
During the study period, the water temperature varied between 23.4 °C (EB2, September) and 29.9 °C (AK1, April), with an average of 26.01 ± 1.83 °C (Figure 2A), and the pH varied between 6.63 (AK1, April) and 7.6 (AB2, July), with an average of 7.23 ± 0.24 (Figure 2B). The dissolved oxygen content ranged from 1.9% (EB2, June) to 56.1% (AB2, June), with an average of 9.72 ± 11.74% (Figure 2C). Oxidability ranged from 3.56 mg/L (AK1, May) to 180.7 mg/L (AK2, June), with an average of 53.65 ± 36.91 mg/L (Figure 2D). TDS varied between 19.5 mg/L (AK1, May) and 395 mg/L (AK2, September), with an average of 179.49 ± 57 mg/L (Figure 2E). The electrical conductivity values ranged from 39 µS/cm (AK1, May) to 790.4 µS/cm (AK2, September), with an average of 359.21 ± 114.1 µS/cm (Figure 2F). Orthophosphate levels ranged from 0.34 mg/L (EB2, April and May) and 13.86 mg/L (AK2, September), with an average of 1.58 ± 2.22 mg/L (Figure 2G). Nitrate levels ranged from 0.5 mg/L (EB1, July) to 1.78 mg/L (EB1, May), with an average of 0.94 ± 0.34 mg/L (Figure 2H). Ammonia nitrogen levels ranged from 0.08 mg/L (EB2, April) to 3.6 mg/L (AB1, April), with an average of 1.88 ± 0.93 mg/L (Figure 2I). Nitrite levels ranged from 0 mg/L (EB1, May) to 0.44 mg/L (AB2, July), with an average of 0.1 ± 0.12 mg/L (Figure 2J). Spatially, significant differences were observed between the values of pH (EB1-AB1 (p = 0.012) and EB1-AB2 (p = 0.005)), oxidability (EB1-AB1 (p = 0.005), AB2-AB1 (p = 0.046), EB2-AB1 (p = 0.012), EB1-AK2 (p = 0.012), and AK2-AB2 (p = 0.027)), TDS, conductivity, and orthophosphates (AK1-AB1 (p = 0.008), AB2-AB1 (p = 0.029), and EB1-AK1 (p = 0.035)), and temporally significant differences were obtained between the temperature levels, September–April (p = 0.048), September–May (p = 0.012), and July–May (p = 0.032).

Figure 2.
Spatial and temporal variations in different physico-chemical parameters.
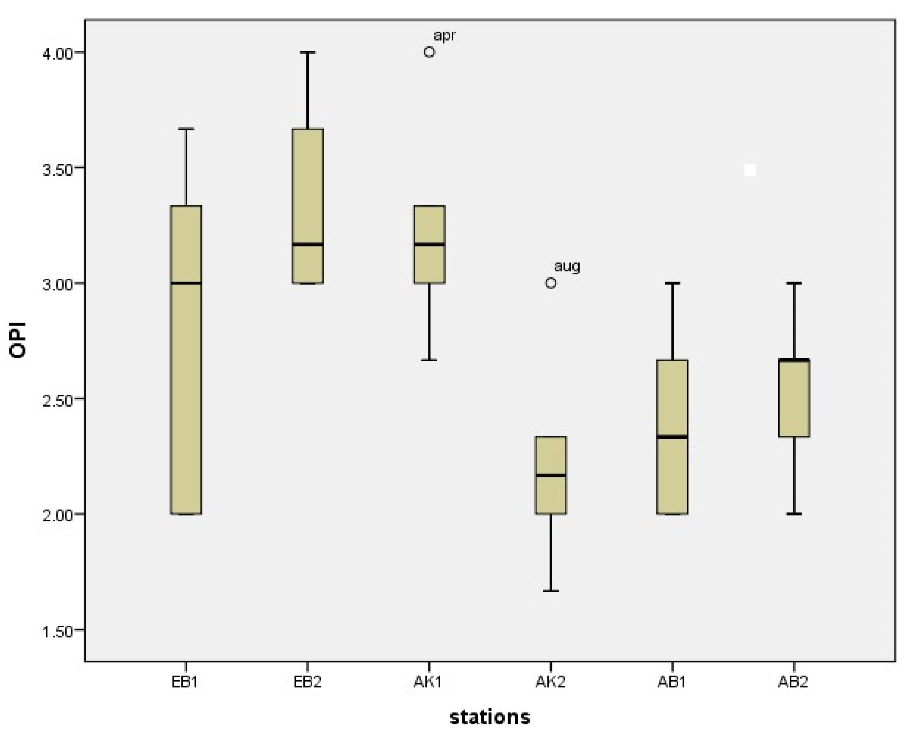
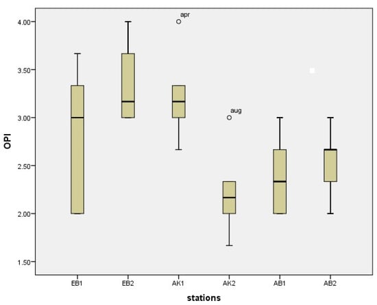
At station EB1, the organic pollution index (Figure 3) varied between 2 (April and May) and 3.67 (June), with an average of 2.83 ± 0.72, indicating heavy organic pollution; at station EB2, it varied between 3 (May, July, and August) and 4 (June), with an average of 3.33 ± 0.42, indicating moderate organic pollution; at station AK1, it fluctuated between 2.67 (August and September) and 4 (May and June), with an average of 3. 22 ± 0.45, indicating moderate pollution; at station AK2, it varied between 1.67 (June and September) and 3 (July), with an average of 2.22 ± 0.45, indicating heavy organic pollution; and at stations AB1 and AB2, it fluctuated between 2 (June (AB2) and August and September (AB1)) and 3 (May), with respective averages of 2.38 ± 0.39 and 2.55 ± 0.34, indicating heavy organic pollution. Temporally, the Kruskal–Wallis test showed no significant differences, whereas spatially, it showed significant differences, mainly between AK2 and EB2 (p = 0.025).
Figure 3.
Variations in OPI per station over the sampling period.
3.2. Benthic Macroinvertebrates
A total of 5793 organisms were collected belonging to 3 phyla, 8 orders, 30 families, and over 42 taxa. The phylum Arthropoda dominates, with a relative abundance of 75.13% in 20 families, followed by the phylum Annelida, with a relative abundance of 14.81%, and molluscs in particular, basommatophora, with a relative abundance of 10.06% (Figure 4A). Therefore, of the total benthic macroinvertebrates, Arthropoda are most present (Figure 4B). The order Diptera was the most represented with 12 families and was present at almost all stations, the most representative of which are the family of Chironomidae (94.008% relative abundance), followed by Culicidae (1.19%), Tabanidae (0.88%), Tipulidae (0.81%), Syrphidae (0.76%), Ceratopogonidae (0.74%), Psychodidae (0.57%), and Ephrydridae (0.33%).
Figure 4.
Relative abundances of different benthic macroinvertebrate phyla (A) and Arthropoda abundance in relation to stations (B) during the survey.
Temporally (Figure 5A), the months of August and July had the highest absolute abundances at 1488 and 1256, respectively, and spatially (Figure 5B), the stations AB1, AK2, and EB1 had the highest absolute abundances, with 1488, 1256, and 961, respectively.
Figure 5.
Variations in absolute abundances of organisms temporally (A) and spatially (B) over the study period.
The total taxon richness (RTT) was higher at stations EB1 and AB2, and the degrees of taxon richness of Diptera (RTD) and insects (RTI) were higher at station AB1. As for %Chironomidae, they were abundant in all stations (Table 2).
Table 2.
Values of metrics to describe the structure of benthic macroinvertebrates during the study period.
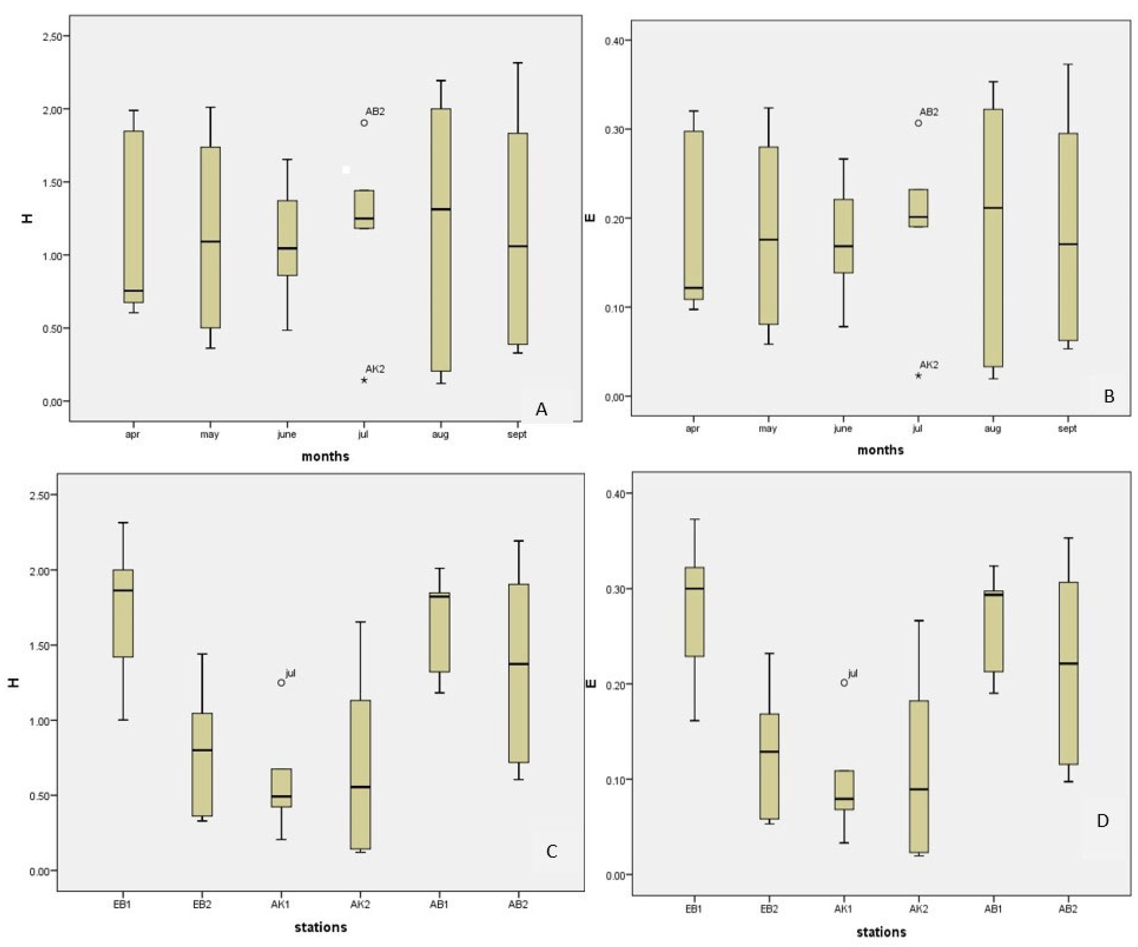
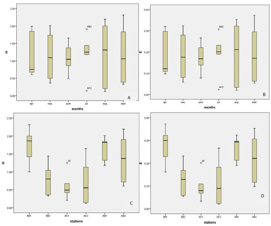
The Shannon–Weaver diversity and Pielou equitability indexes are constant for the studied rivers from upstream to downstream. Spatially (Figure 6B,C), the Shannon–Weaver index varied between 1.002 and 2.001 at station EB1, which appears to be the most diverse, with an average of 1.74 ± 0.47 bits/ind, and the Piélou equitability index ranged from 0.16 to 0.32 at station EB1, with an average of 0.28 ± 0.07. In terms of temporal diversity (Figure 6A,C), the month of July was the most diverse, with Shannon–Weaver and Piélou equitability indexes varying around averages of 1.22 ± 0.58 bits/ind and 0.19 ± 0.09, respectively. Spatio-temporally, they varied from 0.12 bits/ind (August, AK2) to 2.13 bits/ind (September, EB1), respectively, with a mean of 1.14 ± 0.65 bits/ind and 0.02 (August, AK2) to 0.86 (September, EB1), around a mean of 0.18 ± 0.11. Spatially, the Kruskal–Wallis test indicates significant differences between stations AK1-EB1 (p = 0.046).
Figure 6.
Spatial variations in the Shannon–Weaver index and Piélou equitability index.
Spatially and temporally, the Hillsenhoff index varied between 5.02 (AB1, July) and 10 (AK1, August), with an average of 2.75 ± 0.61. The values obtained at the different stations indicate significant to very significant organic pollution.
The Spearman rank (Table 3) correlation was used to relate the affinities between the descriptive metrics of the benthic macroinvertebrate populations collected and the physicochemical parameters. As a result, positive and negative correlations were observed between certain metrics and the physicochemical parameters.
Table 3.
Spearman rank coefficient values between physicochemical parameters and benthic macroinvertebrate metrics.
The relationship between benthic macroinvertebrate population structure and the physicochemical variables.
A canonical redundancy analysis (CRA) (Figure 7) carried out on the basis of the physicochemical variables and the abundances of the benthic macroinvertebrates shows a grouping of the different variables on the negative part of axis 1 (53.7% of the information explained), which includes most of the organisms collected with affinities with very low oxygenation, high mineralisation, high temperatures, and high values of the organic pollution indicators. The organisms frequently found in waters with these characteristics are the Chironomidae, Tubificidae, Culicidae, Tabanidae, Elmidae, Nepidae, Haplotaxidae, Lymnaedae, and Belostomidae. Axis 2 (17.7% of information explained) groups together in its positive part organisms with affinities with high concentrations of oxidability, nitrate, and nitrite. The organisms frequently encountered here are the Hydraenidae, Haplotaxidae, Tabanidae and Sparganophilidae.
Figure 7.
Redundancy analysis (RDA) of the main benthic macroinvertebrate taxa and physicochemical variables. oxy—oxidability; NO3-—nitrate; NH4+—ammonia nitrogen; TDS—total dissolved solid; cond—conductivity; temp—temperature; NO2-—nitrite; haplo—Haplotaxidae; elmi—Elmidae; taba—Tabanidae; syrp—Syrphidae; lumbrici—Lumbricidae; lumbricu—Lumbriculidae; phys—Physidae; sciomi—Sciomizydae; hydro—Hydrophilidae; scato—Scatophagidae; ephry—Ephrydridae; psycho—Psychodidae; empi—Empididae; libel—Libellulidae; thiari—Thiaridae; enchy—Enchytraeidae; cerato—Ceratopogonidae; tubifi—Tubificidae; chaob—Chaobaridae; baet—baetidae; ph—pH; dyt—Dytiscidae; nepi—Nepidae; lymn—Lymnaedae; o2—dissolved oxygen; chiro—Chironomidae; belos—Belostomidae; glossi—Glossiphoniidae; coena—Coenagrionidae; culi—Culicidae; tipul—Tipulidae; hydra—Hydraenidae; PO43-—orthophosphat.
4. Discussion
According to [29], the temperatures of natural water bodies undergo seasonal and diurnal variations, as well as vertical thermal stratifications. The high temperature values obtained in the Ako’o river, such as 29.9 °C, would be due to the discharge of heavy wastewater from the industrial slaughterhouse and the surrounding houses but also to the absence of a canopy that could prevent light rays from reaching the water column and to the climate that prevails in the environment. Thus, according to [30,31], anarchic land use, overpopulation, and industrialisation are factors that interfere to increase the ambient temperature and consequently the temperatures of rivers in urban areas. These results are similar to those obtained by [32] on a urban river in the city of Kara. The average pH values (7.23 ± 0.24) reveal slightly basic environments. However, since the soils of the Central Cameroon region are acidic in nature, this basicity could be linked to exogenous inputs discharged into the watercourses. These results are similar to those obtained by the authors of [33] in the Wé River in Burkina Faso, indicating that the slightly basic character is probably due to the intense activities at the river banks and the temporary discharge of effluents of an alkaline nature. Thus, Ref. [34] has highlighted in such a situation the contribution of urbanisation to the increase in the pH values of the waters. Overall, the pH range (6 to 9) compatible with the expression of the biological potentials of aquatic organisms is maintained. The dissolved oxygen values show a very poorly oxygenated environment tending towards anoxia, which could be due to poor water circulation. In fact, due to the deposition of waste by the surrounding populations in the bed of the watercourse, the water is blocked and circulates slowly. To this effect, Ref. [35] pointed out that the metabolic activity of decomposer bacteria (oxygen consumers) increases with anthropisation and the input of nutrients into the watercourse, which would contribute to a drop in the oxygen level in the aquatic environment. The values of above 40% obtained during the rainy season reflect the turbulence of the water during this period of flooding. These results are similar to those of [36] in some urban waterways of the city of Taza, underlining the fact that the low oxygenation of waters in urban areas is due to the high organic loads generated by liquid discharges and leachates from the Taza landfill in Morocco. In conclusion, the low percentages of oxygen saturation reflect the mineralising activity of the bacteria that consume a high volume of oxygen [37,38]. The high values of the parameters indicating organic pollution, in particular, oxidability, ammoniacal nitrogen, and orthophosphates, indicate that the various watercourses are subject to intense organic pollution under anthropic action. To this effect, Ref. [39] points out that phosphate contamination comes from anthropogenic activities such as the discharge of wastewater contaminated with detergents, the direct washing of clothes in water, and runoff loaded with fertilisers. The high values of electrical conductivity and total dissolved solids, which move in the same direction, are thought to be related to the high mineralization resulting from the continuous input of domestic sewage, the industrial slaughterhouse in Etoudi, and the leaching of pesticides used in lowland agriculture. These results are similar to those reported in [40], which demonstrated that the presence of market gardening activities along rivers is a source of increased water conductivity due to the use of chemicals. The measurements of physicochemical parameters in the different watercourses reflect, on the whole, exogenous inputs due to anthropic activities practised along the different catchment areas, mainly waste, loaded wastewater, and lowland agriculture.
The specific richness and low diversity of the benthic macroinvertebrates encountered in the different stations are slightly similar to those values obtained in [41]. This could be due to the phenomenon of anthropisation, which is manifested by the discharge of all kinds of waste into the watercourses, leading to intense organic pollution, the direct consequence of which is a remarkable reduction in biodiversity. As a result, the predominance of arthropods, in particular, the insect, is linked to fact that they have a genetic plasticity and cosmopolitanism that provides them with a great ability to colonise different ecological niches while adapting to the environment [42]. The preponderance of the dipteran orders of oligochaetes and basommatophora in the different stations is a reflection of the high occupation of the soils. The preponderance of the Diptera, Oligochaeta, and Basommatophora in the different stations is a reflection of the high occupation of the soil. Indeed, the disturbance of the environment, which is illustrated by intense organic pollution, is responsible for the simplification of the diversity of the environment in favour of the pollutant-resistant taxa of Chironomidae, Physidae, and Lumbriculidae. These results are in line with those found in [43] in the Kondi catchment area, which noted a dominance of pollutant-resistant taxa, mainly Chironomidae and Physidae. The abundance of families of the order Diptera, mainly Chironomidae, followed by Culicidae, Psychodidae, Syrphidae, Tabanidae, and Tipulidae, indicates organic pollution of a faecal origin. In fact, the watercourses studied are the final receptacle of toilet water and faeces from the surrounding dwellings, which are loaded with enormous quantities of organic matter which would be favourable to the proliferation of these groups of organisms. These results are similar to those obtained in [44] in the urban waterways of the city of Douala, which are heavily polluted by industrial and domestic effluents, with a predominance of pollutant-resistant taxa. To this end, Ref. [45] states that Diptera, Syrphidae, Psychodidae, Ephydridae, and Stratiomyiidae are generally found in waters heavily loaded with rotting organic matter. Indeed, the larvae of Syrphidae and Ephydridae each have an anal siphon that allows them to use atmospheric oxygen and thus survive in highly charged anoxic environments [46].
The relatively high abundance of organisms harvested in July and August could be due to an excessive input of organic matter in favour of the multiplication of pollutant-resistant organisms. Indeed, the months of July and August are the months of the short dry season and, as a result, there is an accumulation of waste in the waterways. Thus, putrefaction allows for the multiplication of saprobionts and saprophilous organisms such as Chironomidae, Lumbriculidae, and Physidae. For this purpose, [47] states that organisms tolerant of environmental disturbances will dominate communities under stress and, in general, these communities will become less species-rich. Thus, urban development simplifies biotic assemblages, decreases diversity and taxonomic richness, and increases the density of pollution-tolerant taxa [48].
The decrease in the values of the Shannon–Weaver diversity index from upstream to downstream of the various rivers is linked to the increasing presence of discharges downstream, boosting organic pollution and thus allowing for the proliferation of pollutoresistant organisms of the order Diptera, in particular, the Chironomidae family. Similarly, the Piélou equitability index is very low at all these stations, indicating the dominance of one group over the others. To this end, according to [49], the low values of the diversity index reflect communities with little diversity and a low degree of organisation.
The redundancy analysis showed that high temperatures, low levels of oxygenation, high levels of mineralisation, and high levels of organic pollution indicators are favourable for the development of saprobionts and saprophilous organisms such as Chironomidae, Lumbriculidae, and Physidae. Indeed, the positive and significant correlations obtained between the RTT and the RTI with ammonia nitrogen, which is an indicator of organic pollution, allow us to consolidate these results.
5. Conclusions
The waters of the various rivers studied in the Mfoundi catchment area are basic in nature, poorly oxygenated, and have high levels of mineralization, revealing a high level of organic pollution. Insects are the most represented, with the order of Diptera dominating, particularly the Chironomidae family, which is present at all the stations and contains saprobiont organisms, testifying to the anthropisation of the different catchment areas. As a result, urbanisation contributes to the homogenisation of the benthic macroinvertebrate habitats present in the hydrosystems through the activities carried out along the catchment areas. The diversity index and the Spearman rank correlations between the different physicochemical parameters and the macroinvertebrate metrics make it possible to visualise a population essentially dominated by Diptera, Annelids, and Molluscs. The organic pollution and Hillsenhoff indexes confirm a very significant and accentuated organic pollution of the various watercourses. In view of this observation, it is important to note the vulnerability of the watercourses in the face of ever-increasing urbanisation in the city of Yaoundé, with urban sprawl favouring a profound modification of the urban landscape. The malfunctioning or non-existence of wastewater treatment plants in the city of Yaoundé contribute to the increasing pollution of the watercourses that are located there and, as a result, the restoration of these watercourses must imperatively involve better management of liquid and solid waste in the precarious neighbourhoods, as well as the establishment of land use policies that integrate the rational management of watercourses in the urban environment.
Author Contributions
Conceptualization, S.F.M. and B.T.A.; methodology; software, J.D. and C.A.M.; formal analysis, W.C.N.B., M.N., N.L. and M.A.T.Z.; investigation, M.A.T.Z.; data curation, M.A.T.Z.; writing—original draft preparation, M.A.T.Z. and W.C.N.B.; writing—review and editing, S.F.M. and B.T.A.; supervision. All authors have read and agreed to the published version of the manuscript.
Funding
This work was supported by the World Bank through the Regional Center of Sustainable Cities in Africa (CERViDA-DOUNEDON), Funding number IDA 5360 TG.
Data Availability Statement
All data can be used upon request.
Acknowledgments
The author are deeply grateful to the World Bank for funding this research through CERViDA (Regional Center of Sustainable Cities in Africa).
Conflicts of Interest
The authors declare no conflict of interest.
References
- Boidin, B.; Gérardin, H.; Lallau, B. Présentation. Vulnérabilités, résiliences et développement. Mondes Dev. 2017, 7–12. [Google Scholar] [CrossRef]
- Morse, C.C.; Huryn, A.D.; Cronan, C. Impervious surface area as a predictor of the effects of urbanization on stream insect communities in Maine, USA. Environ. Monit. Assess. 2003, 89, 95–127. [Google Scholar] [CrossRef] [PubMed]
- Sonneman, J.A.; Walsh, C.J.; Breen, P.F.; Sharpe, A.K. Effects of urbanization on streams of the Melbourne region, Victoria, Australia. II. Benthic diatom communities. Freshw. Biol. 2001, 46, 553–565. [Google Scholar] [CrossRef]
- Stanfield, L.W.; Kilgour, W.C.N.B. Effects of percent impervious cover on fish and benthos assemblages and instream habitats in Lake Ontario tributaries. Am. Fish. Soc. Symp. 2006, 48, 577–599. [Google Scholar]
- Winter, J.G.; Duthie, H.C. Effects of urbanization on water quality, periphyton and invertebrate communities in a southern Ontario stream. Can. Water Resour. J. 1998, 23, 245–257. [Google Scholar] [CrossRef]
- Iyiola, A.O.; Asiedu, B.; Kolawole, A.S.; Failler, P. Assessment of water quality and bacteriological levels in nile tilapia (oreochromis niloticus) of aiba reservoir, nigeria, west africa. Tropicultura 2019, 37, 3. [Google Scholar]
- Menbohan, F.; Tchakonte, S.; Ajeagah Gideon, A.; Bilong Bilong, C.F.; Njiné, T. Water quality assessment using benthic macroinvertebrates in a periurban stream (Cameroon). Int. J. Biotechnol. 2013, 2, 91–104. [Google Scholar]
- Menbohan, S.F.; Zebare, T.S.H.; Nyamsi, T.N.L.; Njiné, T. Macroinvertébrés Benthiques du cours d’eau Nga: Essai de Caractérisation d’un Référentiel par des Analyses Biologiques. Eur. J. Sci. Res. 2010, 43, 96–106. [Google Scholar]
- Ajeagah, G.; Wouafo, M.; Ezenguele, G.; Nzukam, J. Presence of gastrointestinal parasites in a tropical urban region (Yaoundé, Cameroon). Comp. Parasitol. 2013, 80, 279–283. [Google Scholar] [CrossRef]
- Ajeagah, G.A.; Biyong Mbondo, S.; Tchouankep Kapso, M. Dynamique des formes de résistance des amibes entéropathogènes en milieu aquatique pollué (Yaoundé, Cameroun). Rev. D’écologie 2018, 73, 242–254. [Google Scholar] [CrossRef]
- Colas, F.; Vigneron, A.; Felten, V.; Devin, S. The contribution of a niche-based approach to ecological risk assessment: Using macroinvertebrate species under multiple stressors. Environ. Pollut. 2014, 185, 24–34. [Google Scholar] [CrossRef] [PubMed]
- Bournaud, M.; Keck, G.; Richoux, P. Les prélèvements de macroinvertébrés benthiques en tant que révélateurs de la physionomie d’une rivière. Ann. Limnol. 1980, 16, 55–75. [Google Scholar] [CrossRef]
- Moisan, J.; Gagnon, E. Guide D’identification des Principaux Macroinvertébrés Benthiques d’eau Douce du Québec: Surveillance Volontaire des Cours D’eau Peu Profonds; Ministère du Développement Durable, de L’environnement et Des Parcs: Quebec City, QC, Canada, 2006. [Google Scholar]
- Caquet, T. Evaluation des risques et écotoxicologie: Le cas des pesticides. Innov. Agron. 2012, 23, 29–54. [Google Scholar]
- Rice, E.W.; Bridgewater, L.; Association, A.P.H. Standard Methods for the Examination of Water and Wastewater; American Public Health Association: Washington, DC, USA, 2012; Volume 10. [Google Scholar]
- Rodier, J.; Legube, B.; Merlet, N. L’analyse de L’eau, 10th ed.; Dunod: Malakoff, France, 2016. [Google Scholar]
- Stark, J.D.; Boothroyd, I.K.G.; Harding, J.S.; Maxted, J.R.; Scarsbrook, M.R. Protocols for Sampling Macroinvertebrates in Wadeable Streams. In New Zealand Macroinvertebrate Working Group Report No. 1; Ministry for the Environment: Singapore, 2001. [Google Scholar]
- Day, J.A.; De Moor, I.J. Guides to the Freshwater Invertebrates of Southern Africa. In Volume 6: Arachnida and Mollusca (Araneae, Water Mites and Mollusca); WRC Report No. TT 182/02; Water Research Commission: Pretoria, South Africa, 2002. [Google Scholar]
- de Moor, I.; de Moor, F. Guides to the Freshwater Invertebrates of Southern Africa. In Volume 8: Insecta II. Hemiptera, Megaloptera, Neuroptera, Trichoptera & Lepidoptera; Water Research Commission: Pretoria, South Africa, 2003. [Google Scholar]
- Durand, J.-R.; Lévêque, C. Flore et Faune Aquatiques de l’Afrique Sahelo-Soudanienne (Tome 1); ORSTOM: Paris, France, 1980; pp. 1–390. [Google Scholar]
- Heidemann, H.; Seidenbusch, R. Larves et Exuvies des Libellules de France et d’Allemagne (sauf de Corse); Société Française D’odonatologie: Bois d’Arcy, France, 2002. [Google Scholar]
- Moisan, J.; Pelletier, L.; Gagnon, E.; Piedboeuf, N.; La Violette, N. Guide de Surveillance Biologique Basée Sur Les Macroinvertébrés Benthiques d’eau Douce du Québec: Cours D’eau Peu Profonds À Substr Grossier; Dir Suivi L’état L’environnement Ministère Dév Durable L’Environnement Parcs: Quebec City, QC, Canada, 2013. [Google Scholar]
- Moisan, J.; Pelletier, L. Guide de Surveillance Biologique Basée sur les Macroinvertébrés Benthiques d’eau Douce du Québec–Cours D’eau peu Profonds à Substrat Grossier; Dir Suivi L’Etat L’Environnement Ministère Dév Durable L’Environnement Parcs: Quebec City, QC, Canada, 2008. [Google Scholar]
- Stals, R. Guides to Freshwater Invertebrates of Southern Africa: Coleoptera; Water Research Commission: Pretoria, South Africa, 2007. [Google Scholar]
- Tachet, H. (Ed.) Invertébrés D’eau Douce: Systématique, Biologie, Écologie; CNRS Editions: Paris, France, 2006. [Google Scholar]
- Leclercq, L. Intérêt et limites des méthodes d’estimation de la qualité de l’eau. Stn. Sci. Hautes-Fagnes Belg. 2001, 75. [Google Scholar]
- Bode, R.W.; Novak, M.A.; Abele, L.E. Quality Assurance Work Plan for Biological Stream Monitoring in New York State; Stream Biomonitoring Unit, Bureau of Water Assessment and Management, Division of Water, NYS Department of Environmental Conservation: Albany, NY, USA, 1991. [Google Scholar]
- Hilsenhoff, W.L. Rapid field assessment of organic pollution with a family-level biotic index. J. N. Am. Benthol. Soc. 1988, 7, 65–68. [Google Scholar] [CrossRef]
- Leunda, P.M.; Oscoz, J.; Miranda, R.; Arino, A.H. Longitudinal and seasonal variation of the benthic macroinvertebrate community and biotic indices in an undisturbed Pyrenean river. Ecol. Indic. 2009, 9, 52–63. [Google Scholar] [CrossRef]
- Jain, S. Assessment of water quality at the three Stations of Chambal River. Int. J. Environ. Sci. 2012, 3, 881–884. [Google Scholar]
- Porse, E. Stormwater governance and future cities. Water 2013, 5, 29–52. [Google Scholar] [CrossRef]
- Alaki-Issi Massimapatom, S.; Segbeaya, K.N.; Gnon, B. Impact du rejet des eaux usées industrielles sur la qualité physico-chimique des eaux urbaines: Cas du ruisseau Kpiyimboua de la ville Kara. Afr. Sci. 2019, 15, 116–129. [Google Scholar]
- Souleymane, S.; Inoussa, C.; Issaka, S.; Bienvenu, S.M.; Blaise, O.R.; Bassory, O.; Tinkoudgou André, K. Etude Comparée de la Structuration des Macroinvertébrés Benthiques de Cours D’eau Urbain et Péri-Urbain à L’ouest du BurkinA Faso. Int. J. Dev. Res. 2021, 11, 43173–43184. [Google Scholar]
- Sitaram, N. Impact of urbanisation on water quality parameters—A case study of Ashtamudi Lake, Kollam. Int. J. Res. Eng. Technol. 2014, 3, 140–147. [Google Scholar]
- Williams, C.J.; Scott, A.B.; Wilson, H.F.; Xenopoulos, M.A. Effects of land use on water column bacterial activity and enzyme stoichiometry in stream ecosystems. Aquat. Sci. 2012, 74, 483–494. [Google Scholar] [CrossRef]
- Abbou, F.; Fahde, A. Structure et diversité taxonomique des peuplements de macroinvertébrés benthiques du réseau hydrographique du bassin du Sebou (Maroc). Int. J. Biol. Chem. Sci. 2017, 11, 1785–1806. [Google Scholar] [CrossRef]
- Baldy, V.; Gessner, M.O.; Chauvet, E. Bacteria, fungi and the breakdown of leaf litter in a large river. Oikos 1995, 74, 93–102. [Google Scholar] [CrossRef]
- Yang, H.; Shen, Z.; Zhang, J.; Wang, W. Water quality characteristics along the course of the Huangpu River (China). J. Environ. Sci. 2007, 19, 1193–1198. [Google Scholar] [CrossRef]
- Mandal, H.S.; Das, A.; Nanda, A.K. Study of some physicochemical water quality parameters of Karola River, West Bengal-an attempt to estimate pollution status. Int. J. Environ. Prot. 2012, 2, 16–22. [Google Scholar]
- Berrahou, A.; Cellot, B.; Richoux, P. Distribution longitudinale des macroinvertébrés benthiques de la Moulouya et de ses principaux affluents (Maroc). Ann. Limnol. Int. J. Limnol. 2001, 37, 223–235. [Google Scholar] [CrossRef]
- Mamert, O.F. Impact de l’Effluent du Complexe Chimique Camerounais (CCC) sur la Structure du Peuplement de Macroinvertébrés Benthiques d’un Cours d’Eau Tropical Urbain (Douala, Cameroun). Eur. J. Sci. Res. 2014, 121, 298–309. [Google Scholar]
- Tachet, H.; Richoux, P.; Bournaud, M.; Usseglio-Polatera, P. Invertébrés D’eau Douce: Systématique, Biologie, Écologie; CNRS Editions: Paris, France, 2010; Volume 15. [Google Scholar]
- Mamert, O.F.; Hubert, Z.T.S.; Ernest, K.; Tchatcho, N. Influence of municipal and industrial pollution on the diversity and the structure of benthic macro-invertebrates community of an urban river in Douala, Cameroon. J. Biodivers. Environ. Sci. 2016, 8, 120–133. [Google Scholar]
- Tchakonté, S.; Ajeagah, G.A.; Camara, A.I.; Diomandé, D.; Nyamsi Tchatcho, N.L.; Ngassam, P. Impact of urbanization on aquatic insect assemblages in the coastal zone of Cameroon: The use of biotraits and indicator taxa to assess environmental pollution. Hydrobiologia 2015, 755, 123–144. [Google Scholar] [CrossRef]
- Rueda, J.; Camacho, A.; Mezquita, F.; Hernández, R.; Roca, J.R. Effect of episodic and regular sewage discharges on the water chemistry and macroinvertebrate fauna of a Mediterranean stream. Water Air Soil Pollut. 2002, 140, 425–444. [Google Scholar] [CrossRef]
- Tachet, P.; Richoux, H.; Bournaud, P.; Usseglio-Polatera, M. Invertébrés D’eau Douce: Systématique, Biologie, Écologie; CNRS Editions: Paris, France, 2003; 588p. [Google Scholar]
- Bazinet, N.L.; Gilbert, B.M.; Wallace, A.M. A comparison of urbanization effects on stream benthic macroinvertebrates and water chemistry in an urban and an urbanizing basin in Southern Ontario, Canada. Water Qual. Res. J. 2010, 45, 327–341. [Google Scholar] [CrossRef]
- Meyer, J.L.; Paul, M.J.; Taulbee, W.K. Stream ecosystem function in urbanizing landscapes. J. N. Am. Benthol. Soc. 2005, 24, 602–612. [Google Scholar] [CrossRef]
- Dajoz, R. Précis D’écologie, 7th ed; Dunod: Paris, France, 2000; p. 615. [Google Scholar]
Disclaimer/Publisher’s Note: The statements, opinions and data contained in all publications are solely those of the individual author(s) and contributor(s) and not of MDPI and/or the editor(s). MDPI and/or the editor(s) disclaim responsibility for any injury to people or property resulting from any ideas, methods, instructions or products referred to in the content. |
© 2023 by the authors. Licensee MDPI, Basel, Switzerland. This article is an open access article distributed under the terms and conditions of the Creative Commons Attribution (CC BY) license (https://creativecommons.org/licenses/by/4.0/).







