Smoothed Particle Hydrodynamics Simulations of Porous Medium Flow Using Ergun’s Fixed-Bed Equation
Abstract
1. Introduction
2. Governing Equations and SPH Formulation
2.1. Basic Equations
2.2. Ergun Equation
2.3. Large-Eddy Simulation (LES) Filtering
2.4. SPH Solver
3. Model Problem and Boundary Conditions
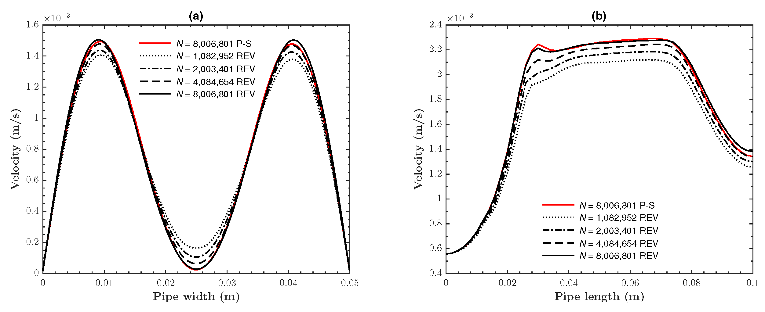
4. Validation and Convergence Testing
5. Results
5.1. Flow Structure and Velocity Profiles
5.2. Pressure Losses
6. Conclusions
- The results show that the minimum differences in the flow structure and mainstream velocity profiles at the outlet of the rectangular channel between the REV- and the pore-scale simulations always occur at intermediate values of the porosity between 0.44 and 0.55.
- The distance between the REV- and the pore-scale velocity profiles at intermediate porosity as measured in terms of the root-mean-square error (RMSE) is almost independent of the geometry of the porous layer. At higher porosity, the RMSEs grow and depend more strongly on the geometry of the porous medium. However, they always remain at a very low level (i.e., %).
- The pressure losses at the REV scale reproduce those predicted at the pore scale when the grains are uniformly distributed in a non-staggered array with sufficiently good accuracy at intermediate values of the porosity (i.e., and 0.55). At higher porosity, the trends of the pressure losses at the REV and pore scale are similar. In general, the distance between the profiles at the REV and pore scale increases with the porosity. However, this distance as measured in terms of the RMSE remains sufficiently small.
- The trends of the pressure losses at the REV and pore scale are affected by the geometry of the porous layer (i.e., by the grain distribution in the packed bed). The discrepancy grows for higher porosity values when the grains are randomly distributed.
- The magnitude of the pressure variations is also affected by the porosity and geometry of the porous medium. In general, the REV-scale simulations predict larger pressure losses compared to any of the pore-scale calculations.
Author Contributions
Funding
Data Availability Statement
Acknowledgments
Conflicts of Interest
References
- Hemond, H.F.; Fechner, E.J. Chemical Fate and Transport in the Environment; Elsevier/Academic Press: Amsterdam, The Netherlands, 2015. [Google Scholar]
- Katopodes, N.D. Free-Surface Flow. Environmental Fluid Mechanics; Elsevier: Amsterdam, The Netherlands, 2019. [Google Scholar]
- Xue, L.; Guo, X.; Chen, H. Fluid Flow in Porous Media. Fundamentals and Applications; World Scientific Publishing: Singapore, 2020. [Google Scholar]
- Liu, M.; Suo, S.; Wu, J.; Gan, Y.; Hanaor, D.A.H.; Chen, C.Q. Tailoring porous media for controllable capillary flow. J. Colloid Interface Sci. 2019, 539, 379–387. [Google Scholar] [CrossRef] [PubMed]
- Brinkman, H.C. A calculation of the viscous force exerted by a flowing fluid on a dense swarm of particles. Appl. Sci. Res. 1949, 1, 27–34. [Google Scholar] [CrossRef]
- Liu, H.; Patil, P.R.; Narusawa, U. On Darcy-Brinkman equation: Viscous flow between two parallel plates packed with regular square arrays of cylinders. Entropy 2007, 9, 118–131. [Google Scholar] [CrossRef]
- Rao, P.R.; Venkataraman, P. Validation of Forchheimer’s law for flow through porous media with converging boundaries. J. Hydraul. Eng. 2000, 126, 63–71. [Google Scholar] [CrossRef]
- Montillet, A. Flow through a finite packed bed of spheres: A note on the limit of applicability of the Forchheimer-type equation. J. Fluids Eng. 2004, 126, 139–143. [Google Scholar] [CrossRef]
- Krishnan, S.; Murthy, J.Y.; Garimella, S.V. Direct simulation of transport in open-cell metal foam. J. Heat Transf. 2006, 128, 793–799. [Google Scholar] [CrossRef]
- Gerbaux, O.; Buyens, F.; Mourzenko, V.V.; Memponteil, A.; Vabre, A.; Thovert, J.F.; Adler, P.M. Transport properties of real metallic foams. J. Colloid Interface Sci. 2010, 342, 155–165. [Google Scholar] [CrossRef]
- Bai, M.; Chung, J.N. Analytical and numerical prediction of heat transfer and pressure drop in open-cell metal foams. Int. J. Therm. Sci. 2011, 50, 869–880. [Google Scholar] [CrossRef]
- Mostaghimi, P.; Bijeljic, B.; Blunt, M.J. Simulation of flow and dispersion on pore-space images. SPE J. 2012, 17, 1131–1141. [Google Scholar] [CrossRef]
- Mostaghimi, P.; Blunt, M.J.; Bijeljic, B. Computations of absolute permeability on micro-CT images. Math. Geosci. 2013, 45, 103–125. [Google Scholar] [CrossRef]
- Piller, M.; Casagrande, D.; Schena, G.; Santini, M. Pore-scale simulation of laminar flow through porous media. J. Phys. Conf. Ser. 2014, 501, 012010. [Google Scholar] [CrossRef]
- Mohammadmoradi, P.; Kantzas, A. Pore-scale permeability calculation using CFD and DSMC techniques. J. Pet. Sci. Eng. 2016, 146, 515–525. [Google Scholar] [CrossRef]
- Niu, Q.; Zhang, C.; Prasad, M. A framework for pore-scale simulation of effective electrical conductivity and permittivity of porous media in the frequency range from 1 mHz to 1GHz. J. Geophys. Res. Solid Earth 2020, 125, e2020JB020515. [Google Scholar] [CrossRef]
- Bear, J. Dynamics of Fluids in Porous Media; American Elsevier: New York, NY, USA, 1972. [Google Scholar]
- Succi, S.; Foti, E.; Higuera, F. Three-dimensional floes in complex geometries with the Lattice Boltzmann method. Europhys. Lett. 1989, 10, 433–438. [Google Scholar] [CrossRef]
- Guo, Z.; Zhao, T.S. Lattice Boltzmann model for incompressible flows through porous media. Phys. Rev. E 2002, 66, 036304. [Google Scholar] [CrossRef]
- Seta, T.; Takegoshi, E.; Kitano, K.; Okui, K. Thermal Lattice Boltzmann model for incompressible flows through porous media. J. Therm. Sci. Technol. 2006, 1, 90–100. [Google Scholar] [CrossRef]
- Sukop, M.C.; Huang, H.; Lin, C.L.; Deo, M.D.; Oh, K.; Miller, J.D. Distribution of multiphase fluids in porous media: Comparison between lattice Boltzmann modeling and micro-X-ray tomography. Phys. Rev. E 2008, 77, 026710. [Google Scholar] [CrossRef]
- Zarghami, A.; di Francesco, S.; Biscarini, C. Porous substrate effects on thermal flows through a REV-scale finite volume lattice Boltzmann model. Int. J. Mod. Phys. C 2014, 25, 1350086. [Google Scholar] [CrossRef]
- Koekemoer, A.; Luckos, A. Effect of material type and particle size distribution on pressure drop in packed beds of large particles: Extending the Ergun equation. Fuel 2015, 158, 232–238. [Google Scholar] [CrossRef]
- He, Y.L.; Liu, Q.; Li, Q.; Tao, W.Q. Lattice Boltzmann methods for single-phase and solid-liquid phase-change heat transfer in porous media: A review. Int. J. Heat Mass Transf. 2019, 129, 160–197. [Google Scholar] [CrossRef]
- Ashorynejad, H.R.; Zarghami, A. Magnetohydrodynamics flow and heat transfer of Cu-water nanofluid through a partially porous wavy channel. Int. J. Heat Mass Transf. 2018, 119, 247–258. [Google Scholar] [CrossRef]
- Vijaybabu, T.R.; Dhinakaran, S. MHD natural convection around a permeable triangular cylinder inside a square enclosure filled with Al2O3–H2O nanofluid: An LBM study. Int. J. Mech. Sci. 2019, 153-154, 500–516. [Google Scholar] [CrossRef]
- Ergun, S. Fluid flow through packed columns. Chem. Eng. Prog. 1952, 48, 89–94. [Google Scholar]
- Zhao, C.Y. Review on thermal transport in high porosity cellular metal foams with open cells. Int. J. Heat Mass Transf. 2012, 55, 3618–3632. [Google Scholar] [CrossRef]
- du Plessis, J.P.; Woudberg, S. Pore-scale derivation of the Ergun equation to enhance its adaptability and generalization. Chem. Eng. Prog. 2008, 63, 2576–2586. [Google Scholar] [CrossRef]
- Bazmi, M.; Hashemabadi, S.H.; Bayat, M. Modification of Ergun equation for application in trickle bed reactors randomly packed with trilobe particles using computational fluid dynamics technique. Korean J. Chem. Eng. 2011, 28, 1340–1346. [Google Scholar] [CrossRef]
- Lai, T.; Liu, X.; Xue, S.; Xu, J. Extension of Ergun equation for the calculation of the flow resistance in porous media with higher porosity and open-celled structure. Appl. Therm. Eng. 2020, 173, 115262. [Google Scholar] [CrossRef]
- Pang, M.; Zhang, T.; Meng, Y.; Ling, Z. Experimental study on the permeability of crushed coal medium based on the Ergun equation. Sci. Rep. 2021, 11, 23030. [Google Scholar] [CrossRef]
- Li, Q.; Tang, R.; Wang, S.; Zou, Z. A coupled LES-LBM-IMB-DEM modeling for evaluating pressure drop of a heterogeneous alternating-layer packed bed. Chem. Eng. J. 2022, 433, 133529. [Google Scholar] [CrossRef]
- Li, Q.; Guo, S.; Wang, S.; Zou, Z. CFD-DEM investigation on pressure drops of heterogeneous alternative-layer particle beds for low-carbon operating blast furnaces. Metals 2022, 12, 1507. [Google Scholar] [CrossRef]
- Lucy, L.B. A numerical approach to the testing of the fission hypothesis. Astron. J. 1977, 82, 1013–1024. [Google Scholar] [CrossRef]
- Gingold, R.A.; Monaghan, J.J. Smoothed particle hydrodynamics: Theory and application to non-spherical stars. Mon. Not. R. Astron. Soc. 1977, 181, 375–389. [Google Scholar] [CrossRef]
- Monaghan, J.J. Smoothed particle hydrodynamics. Rep. Prog. Phys. 2005, 68, 1703–1759. [Google Scholar] [CrossRef]
- Liu, M.B.; Liu, G.R. Smoothed particle hydrodynamics (SPH): An overview and recent developments. Arch. Comput. Methods Eng. 2010, 17, 25–76. [Google Scholar] [CrossRef]
- Liu, G.R.; Liu, M.B. Smoothed Particle Hydrodynamics: A Meshfree Particle Method; World Scientific: Singapore, 2003. [Google Scholar]
- Morris, J.P.; Zhu, Y.; Fox, P.J. Parallel simulations of pore-scale flow through porous media. Comput. Geotech. 1999, 25, 227–246. [Google Scholar] [CrossRef]
- Zhu, Y.; Fox, P.J. Smoothed particle hydrodynamics model for diffusion through porous media. Transp. Porous Media 2001, 43, 441–471. [Google Scholar] [CrossRef]
- Jiang, F.; Oliveira, M.S.A.; Sousa, A.C.M. Mesoscale SPH modeling of fluid flow in isotropic porous media. Comput. Phys. Commun. 2007, 176, 471–480. [Google Scholar] [CrossRef]
- Tartakovsky, A.M.; Ward, A.L.; Meakin, P. Pore-scale simulations of drainage of heterogeneous and anisotropic porous media. Phys. Fluids 2007, 19, 103301. [Google Scholar] [CrossRef]
- Tartakovsky, A.M.; Trask, N.; Pan, K.; Jones, B.; Pan, W.; Williams, J.R. Smoothed particle hydrodynamics and its applications for multiphase flow and reactive transport in porous media. Comput. Geosci. 2016, 20, 807–834. [Google Scholar] [CrossRef]
- Kunz, P.; Zarikos, I.M.; Karadimitriou, N.K.; Huber, M.; Nieken, U.; Hassanizadeh, S.M. Study of multi-phase flow in porous media: Comparison of SPH simulations with micro-model experiments. Transp. Porous Media 2016, 114, 581–600. [Google Scholar] [CrossRef]
- Kashani, M.N.; Elekaei, H.; Zivkovic, V.; Zhang, H.; Biggs, M.J. Explicit numerical simulation-based study of the hydrodynamics of micro-packed beds. Chem. Eng. Sci. 2016, 145, 71–79. [Google Scholar] [CrossRef]
- Peng, C.; Xu, G.; Wu, W.; Yu, H.; Wang, C. Multiphase SPH modeling of free surface flow in porous media with variable porosity. Comput. Geotech. 2017, 81, 239–248. [Google Scholar] [CrossRef]
- Lenaerts, T.; Adams, B.; Dutré, P. Porous Flow in Particle-Based Fluid Simulations. ACM Trans. Graph. 2008, 27, 1–8. [Google Scholar] [CrossRef]
- Bui, H.H.; Nguyen, G.D. A coupled fluid-solid SPH approach to modelling flow through deformable porous media. Int. J. Solids Struct. 2017, 125, 244–264. [Google Scholar] [CrossRef]
- Shigorina, E.; Rüdiger, F.; Tartakovsky, A.M.; Sauter, M.; Kordilla, J. Multiscale Smoothed Particle Hydrodynamics Model Development for Simulating Preferential Flow Dynamics in Fractured Porous Media. Water Resour. Res. 2021, 57, e2020WR027323. [Google Scholar] [CrossRef]
- Bui, H.H.; Nguyen, G.D. Smoothed particle hydrodynamics (SPH) and its applications in geomechanics: From solid fracture to granular behaviour and multiphase flows in porous media. Comput. Geotech. 2021, 138, 104315. [Google Scholar] [CrossRef]
- Nithiarasu, P.; Seetharamu, K.N.; Sundararajan, T. Natural convective heat transfer in a fluid saturated variable porosity medium. Int. J. Heat Mass Transf. 1997, 40, 3955–3967. [Google Scholar] [CrossRef]
- Nithiarasu, P.; Seetharamu, K.N.; Sundararajan, T. Effect of porosity on natural convective heat transfer in a fluid saturated porous medium. Int. J. Heat Fluid Flow 1998, 19, 56–58. [Google Scholar] [CrossRef]
- Becker, M.; Teschner, M. Weakly compressible SPH for free surfaces. In Proceedings of the 2007 ACM SIGGRAPH/Europhysics Symposium on Computer Animation, San Diego, CA, USA, 2–4 August 2007; Metaxas, D., Popovic, J., Eds.; pp. 32–58. [Google Scholar]
- McCabe, W.L. Unit Operations of Chemical Engineering. Chemical Engineering Series, 7th ed.; McGraw-Hill: New York, NY, USA, 2005. [Google Scholar]
- Rabbani, A.; Jamshidi, S.; Salehi, S. Determination of specific surface of rock grains by 2D imaging. J. Geophys. Res. 2014, 2014, 945387. [Google Scholar] [CrossRef]
- Domínguez, J.M.; Fourtakas, G.; Altomare, C.; Canelas, R.B.; Tafuni, A.; García-Feal, O.; Martínez-Estévez, I.; Mokos, A.; Vacondio, R.; Crespo, A.J.C.; et al. DualSPHysics: From fluid dynamics to multiphysics problems. Comput. Part. Mech. 2022, 9, 867–895. [Google Scholar] [CrossRef]
- Colagrossi, A.; Landrini, M. Numerical simulation of interfacial flows by smoothed particle hydrodynamics. J. Comput. Phys. 2003, 191, 448–475. [Google Scholar] [CrossRef]
- Bonet, J.; Lok, T.S.L. Variational and momentum preservation aspects of smoothed particle hydrodynamics formulations. Comput. Methods Appl. Mech. Eng. 1999, 180, 97–115. [Google Scholar] [CrossRef]
- Lo, E.Y.M.; Shao, S. Simulation of near-shore solitary wave mechanics by an incompressible SPH method. Appl. Ocean. Res. 2002, 24, 275–286. [Google Scholar] [CrossRef]
- Dehnen, W.; Aly, H. Improving convergence in smoothed particle hydrodynamics simulations without pairing instability. Mon. Not. R. Astron. Soc. 2012, 425, 1068–1082. [Google Scholar] [CrossRef]
- Alvarado-Rodríguez, C.E.; Sigalotti, L.D.G.; Klapp, J.; Fierro-Santillán, C.R.; Aragón, F.; Uribe-Ramírez, A.R. Smoothed particle hydrodynamics simulations of turbulent flow in curved pipes with different geometries: A comparison with experiments. J. Fluids Eng. 2021, 143, 091503. [Google Scholar] [CrossRef]
- Alvarado-Rodríguez, C.E.; Klapp, J.; Sigalotti, L.D.G.; Domínguez, J.M.; de la Cruz Sánchez, E. Nonreflecting outlet boundary conditions for incompressible flows using SPH. Comput. Fluids 2017, 159, 177–188. [Google Scholar] [CrossRef]
- Sigalotti, L.D.G.; Alvarado-Rodríguez, C.E.; Klapp, J.; Cela, J.M. Smoothed particle hydrodynamics simulations of water flow in a 90° pipe bend. Water 2021, 13, 1081. [Google Scholar] [CrossRef]
- Morris, J.P.; Fox, P.J.; Zhu, Y. Modeling low Reynolds number incompressible flows using SPH. J. Comput. Phys. 1997, 136, 214–226. [Google Scholar] [CrossRef]
- Sigalotti, L.D.G.; Klapp, J.; Sira, E.; Meleán, Y.; Hasmy, A. SPH simulations of time-dependent Poiseuille flow at low Reynolds numbers. J. Comput. Phys. 2003, 191, 622–638. [Google Scholar] [CrossRef]










Disclaimer/Publisher’s Note: The statements, opinions and data contained in all publications are solely those of the individual author(s) and contributor(s) and not of MDPI and/or the editor(s). MDPI and/or the editor(s) disclaim responsibility for any injury to people or property resulting from any ideas, methods, instructions or products referred to in the content. |
© 2023 by the authors. Licensee MDPI, Basel, Switzerland. This article is an open access article distributed under the terms and conditions of the Creative Commons Attribution (CC BY) license (https://creativecommons.org/licenses/by/4.0/).
Share and Cite
Alvarado-Rodríguez, C.E.; Díaz-Damacillo, L.; Plaza, E.; Sigalotti, L.D.G. Smoothed Particle Hydrodynamics Simulations of Porous Medium Flow Using Ergun’s Fixed-Bed Equation. Water 2023, 15, 2358. https://doi.org/10.3390/w15132358
Alvarado-Rodríguez CE, Díaz-Damacillo L, Plaza E, Sigalotti LDG. Smoothed Particle Hydrodynamics Simulations of Porous Medium Flow Using Ergun’s Fixed-Bed Equation. Water. 2023; 15(13):2358. https://doi.org/10.3390/w15132358
Chicago/Turabian StyleAlvarado-Rodríguez, Carlos E., Lamberto Díaz-Damacillo, Eric Plaza, and Leonardo Di G. Sigalotti. 2023. "Smoothed Particle Hydrodynamics Simulations of Porous Medium Flow Using Ergun’s Fixed-Bed Equation" Water 15, no. 13: 2358. https://doi.org/10.3390/w15132358
APA StyleAlvarado-Rodríguez, C. E., Díaz-Damacillo, L., Plaza, E., & Sigalotti, L. D. G. (2023). Smoothed Particle Hydrodynamics Simulations of Porous Medium Flow Using Ergun’s Fixed-Bed Equation. Water, 15(13), 2358. https://doi.org/10.3390/w15132358

