Distribution Pattern and Influencing Factors for the Temperature Field of a Topographic Bias Tunnel in Seasonally Frozen Regions
Abstract
:1. Introduction
- For the temperature distribution on the tunnel cross section, the influence of terrain change is seldom considered;
- For shallow buried unsymmetrical pressure tunnels, the overburden thickness is an important factor affecting the temperature field of the tunnel surrounding rock, and current understanding is still insufficient.
2. Engineering Background and Methods
2.1. Engineering Background
2.2. Numerical Analysis Method
2.2.1. Mass Conservation Equation
2.2.2. Momentum Conservation Equation
2.2.3. Energy Conservation Equation
2.2.4. Turbulence Model
2.2.5. Heat Conduction
2.2.6. Thermal Convection
2.2.7. Model Parameters and Boundary Conditions
3. Results and Discussions
3.1. Monitoring Analysis
3.2. Numerical Simulation
3.2.1. Real Working Condition Simulation of HTG Tunnel
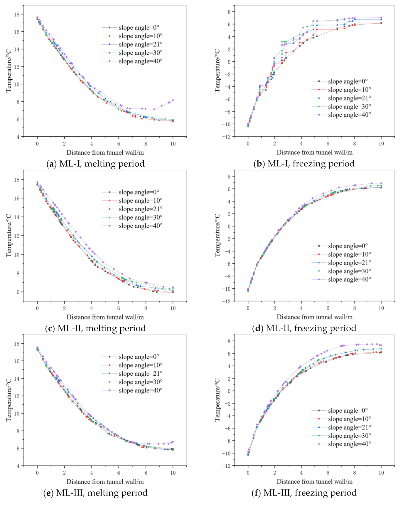
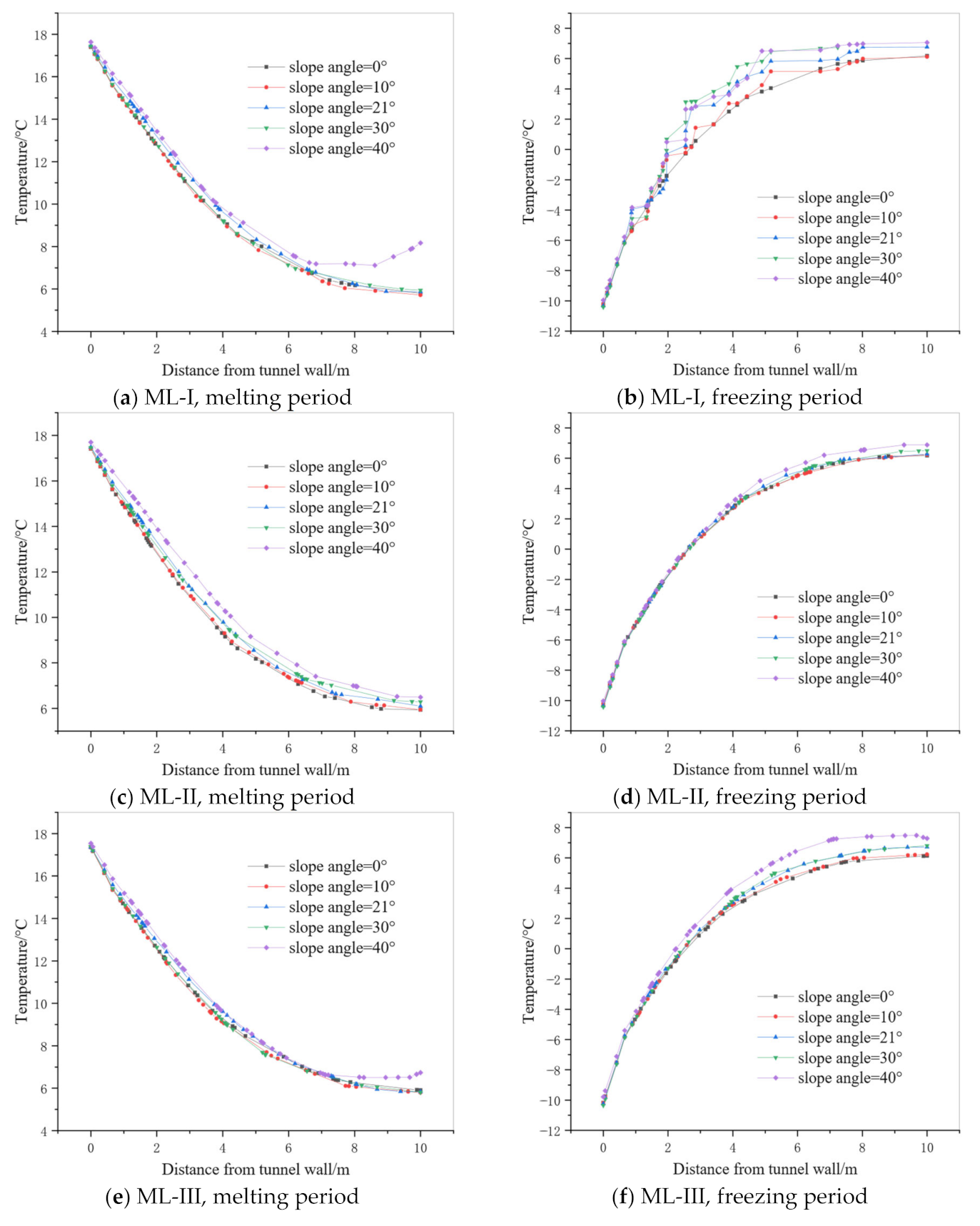
3.2.2. Influence of Slope Angle on Temperature Field
3.2.3. Influence of Overburden Thickness on Temperature Field
4. Conclusions
- Based on the section RK315+710 of the HTG tunnel, a three-dimensional numerical model was established. After comparison, the numerical simulation results were in good agreement with the monitoring results, verifying the feasibility of the turbulence theory, convective heat transfer, and wall function method.
- The increase in terrain slope angle can lead to a transformation of the connection area between the tunnel surrounding rock temperature and the surface temperature, and the connection area will deflect toward the shallow buried side (arch shoulder). However, an increase in the terrain slope angle does not lead to an increase in the freezing depth, which could be the result of a combination of the surface air temperature and the internal air temperature of the tunnel.
- As the overburden thickness gradually increases from 5 m to 20 m, the surface temperature and the tunnel surrounding rock temperature gradually change from interconnected to separate. When the overburden thickness exceeds 15 m, the temperature field of the tunnel surrounding rock is basically not affected by the surface air temperature, and there is an “isolated temperature zone” between the temperature field of the surrounding rock and the surface, with a temperature of about 6~7 °C. The freezing depth of the surrounding rock remains essentially constant under the influence of different covering thicknesses, increasing only slightly at a thickness of 5 m.
Supplementary Materials
Author Contributions
Funding
Data Availability Statement
Acknowledgments
Conflicts of Interest
References
- Jiang, Y.F.; Yu, J.Y.; Zhou, P.; Zhou, F.C.; Lin, J.Y.; Li, J.Y.; Lin, M.; Lei, F.Y.; Wang, Z.J. Influence of traffic on the temperature field of tunnel in cold region: A case study on the world’s longest highway spiral tunnel. Undergr. Space 2023, 8, 196–209. [Google Scholar] [CrossRef]
- Liang, X.M.; Ye, F.; Feng, H.L.; Han, X.B.; Wang, S.Y.; Zhang, B.T.; Gu, B.Y. Temperature field spatio-temporal law and frozen-depth calculation of a tunnel in a seasonally frozen region. Cold Reg. Sci. Technol. 2022, 198, 103539. [Google Scholar] [CrossRef]
- Cui, G.Y.; Ma, J.F.; Wang, X.L.; Hou, Z.A.; Wang, D.Y. Calculation method for frost heave force of tunnel with broken surrounding rock in seasonal frozen area and its engineering application. J. Southeast. Univ. 2021, 51, 294–299. [Google Scholar]
- Cui, G.J.; Li, W.; Wei, F.Q.; Ye, F.; Liang, X.M. Analysis and Countermeasure Research on Freezing Damage of Highway Tunnels in Seasonal Frozen Areas. Highway 2021, 66, 324–329. [Google Scholar]
- Lai, Y.M.; Yu, W.B.; Wu, Z.W.; He, P.; Zhang, M.X. Approximate Analytical Solution for the temperature Fields of a Circular Tunnel in Cold Regions. J. Glaciol. Geocryol. 2001, 23, 126–130. [Google Scholar]
- Huang, T.; Yang, L.Z. A study of mathematical model on coupling between temperature-seepage in fractured rock mass surrounding tunnel. Chin. J. Geotech. Eng. 1995, 05, 554–558. [Google Scholar]
- Zhang, X.F.; Lai, Y.M.; Yang, F.C.; Yu, W.B. Numerical analysis on freezing-thawing situation of tunnel’s surrounding rock in cold regions. J. Chin. Railw. Soc. 2002, 24, 92–96. [Google Scholar]
- Wang, T.; Zhou, G.; Wang, J.; Zhao, X.D. Stochastic analysis for the uncertain temperature field of tunnel in cold regions. Tunn. Undergr. Space Technol. 2016, 59, 7–15. [Google Scholar] [CrossRef]
- Xu, P.; Wu, Y.M.; Wang, Z.J.; Huang, L. Distribution laws of freeze-thaw cycles and unsaturated concrete experiments in cold-region tunnels. Cold. Reg. Sci. Technol. 2020, 172, 102985. [Google Scholar]
- Liu, D.J.; Zhong, F.; Huang, H.W.; Zuo, J.P.; Xue, Y.D.; Zhang, D.M. Present status and development trend treatment of tunnel lining disease. China. J. Highw. Transp. 2021, 34, 178–199. [Google Scholar]
- Yang, P.; Ke, J.; Wang, J.G.; Chow, Y.K.; Zhu, F.-B. Numerical simulation of frost heave with coupled water freezing, temperature and stress fields in tunnel excavation. Comput. Geotech. 2006, 33, 330–340. [Google Scholar] [CrossRef]
- Geng, K. Impacts of freeze-thaw cycle tunnel structures in cold region. J. Glaciol. Geocryol. 2013, 35, 913–919. [Google Scholar]
- Dai, S.L.; Hou, J.S.; Li, Y.M. Study on excavation method of shallow buried bias section in Huitougou Tunnel portal. Subgr. Eng. 2018, 200, 171–174. [Google Scholar]
- Wei, Y.; Sun, K.G.; Zhong, X.Y.; Jia, J.L.; Huang, Q.; Qin, J.H.; Xiong, Z. Study on effects of the train-induced airflow on the temperature field of high-speed railway tunnels in cold regions. Therm. Sci. Eng. Prog. 2023, 41, 101837. [Google Scholar] [CrossRef]
- Zhao, Y.H.; Zhang, J.; Li, L.J.; Hu, T.T.; Zhao, Y.W. Analytical solution for the temperature field of an elliptical tunnel in cold regions. Cold Reg. Sci. Technol. 2023, 208, 103793. [Google Scholar] [CrossRef]
- Lin, Z.L.; Xia, C.C.; Du, S.G.; Zhou, S.W. Numerical investigation of the temperature field and frost damages of a frost-penetration tunnel considering turbulent convection heat transfer. Tunn. Undergr. Space Technol. 2023, 131, 104777. [Google Scholar] [CrossRef]
- Sun, S.B.; Yan, S.H.; Cao, X.P.; Zhang, W. Distribution law of the initial temperature field in a railway tunnel with high rock temperature: A model test and numerical analysis. Appl. Sci. 2023, 13, 1638. [Google Scholar] [CrossRef]
- Kang, F.C.; Li, Y.C.; Tang, C.A. Numerical study on airflow temperature field in a high-temperature tunnel with insulation layer. Appl. Therm. Eng. 2020, 179, 115654. [Google Scholar] [CrossRef]
- Zhang, X.F.; Lai, Y.M.; Yu, W.B.; Zhang, S.J. Nonlinear analysis for the three-dimensional temperature fields in cold region tunnels. Cold Reg. Sci. Technol. 2002, 35, 207–219. [Google Scholar]
- Zhou, Y.; Qian, W.Q.; Deng, Y.Q.; Ma, M.S. Introductory analysis of the influence of menter’s k-ω SST turbulence models parameters. Acta Aerodyn. Sin. 2012, 28, 213–217. [Google Scholar]
- Qian, W.Q.; Cai, J.S. Numerical simulation of backward-facing step flow with nonlinear k − ε two-equation turbulence model. Acta Aerodyn. Sin. 1998, 16, 427–432. [Google Scholar]
- Zhang, Z.; Sun, F.; Chen, B. Thermo-mechanical coupled analysis for tunnel lining with circular openings. Tunn. Undergr. Space Technol. 2020, 102, 103409. [Google Scholar] [CrossRef]
- Lacasse, D.; Turgeon, É.; Pelletier, D. On the judicious use of the k-ε model, wall functions and adaptivity. Int. J. Therm. Sci. 2004, 43, 925–938. [Google Scholar] [CrossRef]
- Tan, X.J.; Chen, W.Z.; Yang, D.; Dai, Y.; Wu, G.; Yang, J.; Yu, H.; Tian, H.; Zhao, W. Study on the influence of airflow on the temperature of the surrounding rock in a cold region tunnel and its application to insulation layer design. Appl. Therm. Eng. 2014, 67, 320–334. [Google Scholar] [CrossRef]
- Tan, X.J.; Chen, W.Z.; Wu, G.J.; Yang, J.P. Study of airflow in a cold-region tunnel using a standard k-ε turbulence model and air-rock heat transfer characteristics: Validation of the CFD results. Heat Mass Transf. 2013, 49, 327e–336e. [Google Scholar] [CrossRef]
- Zhang, T. Study on the Determination Method and the Distribution Law of Temperature Field of Unsymmetrical Loaded Tunnel in Seasonal Frozen Area. Ph.D. Thesis, Jilin University, Changchun, China, 2022. [Google Scholar]
- Xu, P.; Han, S.; Xing, Y. Analysis of influencing factors of temperature field in freezing construction of metro connecting passage. Geotech. Geol. Eng. 2022, 40, 1331–1343. [Google Scholar] [CrossRef]
- Zhang, T.; Nie, L.; Zhang, M.; Dai, S.; Xu, Y.; Du, C.; Rui, X.; He, Y.; Wang, Y. Study of Temperature Field Distribution in Topographic Bias Tunnel Based on Monitoring Data. Symmetry 2021, 13, 1492. [Google Scholar] [CrossRef]
- Zhang, T.; Nie, L.; Zhang, M.; Dai, S.; Xu, Y.; Du, C.; Rui, X.; He, Y. The Unsymmetrical Coefficient of Unsymmetrical-Loaded Tunnel Based on Field Monitoring and Numerical Simulation. Symmetry 2020, 12, 1793. [Google Scholar] [CrossRef]


















| Materials | Density/kg∙m−3 | Thermal Conductivity W/(m∙K) | Heat Capacity J(m∙K) |
|---|---|---|---|
| Surrounding rock | 1900 | 2.9 | 850 |
| Air | 1.29 | 0.025 | 230 |
| Lining | 2500 | 1.8 | 950 |
| Number of Monitoring Line | Annual Maximum Freezing Depth/m | |
|---|---|---|
| Field Monitoring Data | Simulation Results | |
| ML-I | 2.13 | 2.44 |
| ML-II | 1.90 | 2.20 |
| ML-III | 2.46 | 2.37 |
| ML-IV | 2.16 | 2.34 |
Disclaimer/Publisher’s Note: The statements, opinions and data contained in all publications are solely those of the individual author(s) and contributor(s) and not of MDPI and/or the editor(s). MDPI and/or the editor(s) disclaim responsibility for any injury to people or property resulting from any ideas, methods, instructions or products referred to in the content. |
© 2023 by the authors. Licensee MDPI, Basel, Switzerland. This article is an open access article distributed under the terms and conditions of the Creative Commons Attribution (CC BY) license (https://creativecommons.org/licenses/by/4.0/).
Share and Cite
Tang, W.; Xu, X.; Zhang, T.; Wang, H.; Liao, J. Distribution Pattern and Influencing Factors for the Temperature Field of a Topographic Bias Tunnel in Seasonally Frozen Regions. Water 2023, 15, 2060. https://doi.org/10.3390/w15112060
Tang W, Xu X, Zhang T, Wang H, Liao J. Distribution Pattern and Influencing Factors for the Temperature Field of a Topographic Bias Tunnel in Seasonally Frozen Regions. Water. 2023; 15(11):2060. https://doi.org/10.3390/w15112060
Chicago/Turabian StyleTang, Wenbin, Xiangdong Xu, Tao Zhang, Hong Wang, and Jianxing Liao. 2023. "Distribution Pattern and Influencing Factors for the Temperature Field of a Topographic Bias Tunnel in Seasonally Frozen Regions" Water 15, no. 11: 2060. https://doi.org/10.3390/w15112060
APA StyleTang, W., Xu, X., Zhang, T., Wang, H., & Liao, J. (2023). Distribution Pattern and Influencing Factors for the Temperature Field of a Topographic Bias Tunnel in Seasonally Frozen Regions. Water, 15(11), 2060. https://doi.org/10.3390/w15112060

