The Global Importance of Increasing Design Rainstorms under Specific Return Periods in China
Abstract
1. Introduction
2. Materials and Methods
2.1. Study Area
2.2. Data Sources
2.3. Design Rainstorm Calculation Method
2.4. Extreme Rainstorm Index Calculation Method
2.5. Mann–Kendall Trend Test Method
2.6. Response Relationship Test Method
3. Results
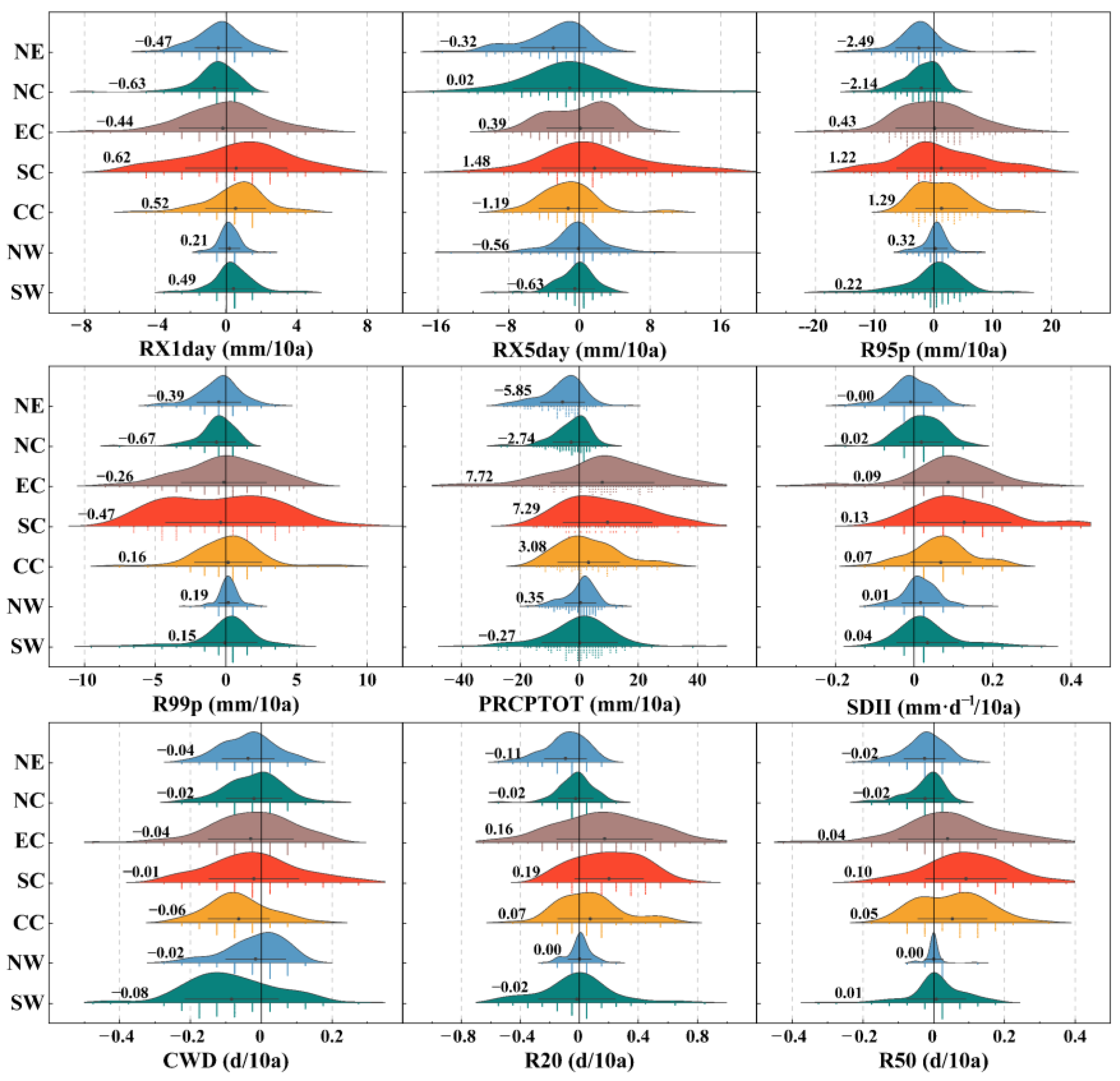
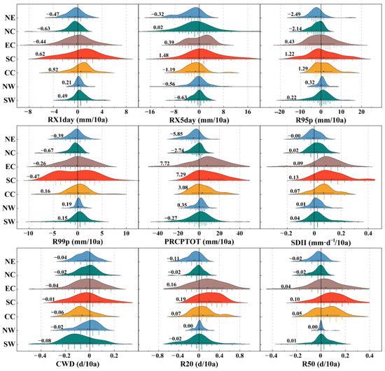
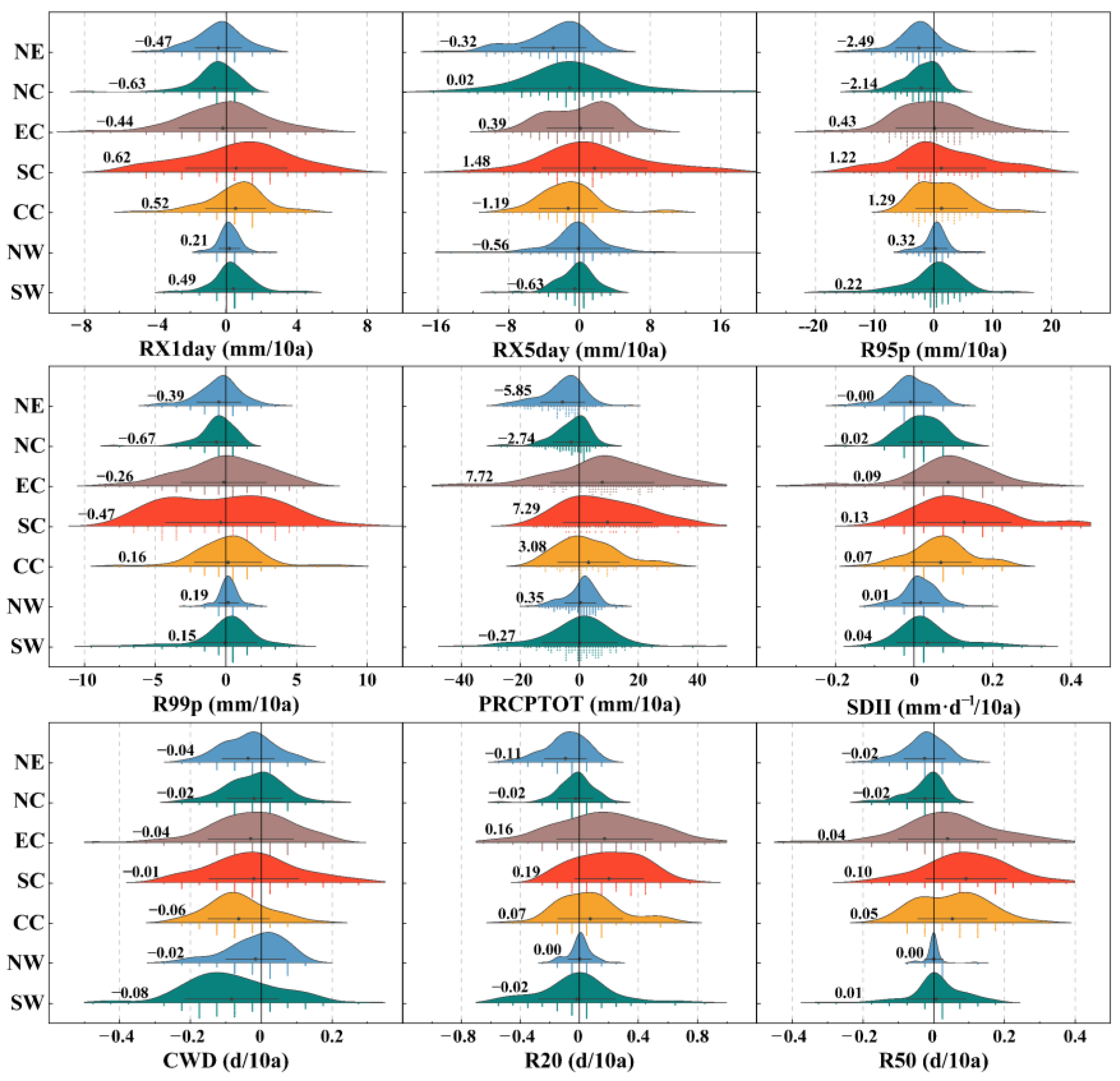
3.1. Changes in Extreme Rainstorm Events
3.1.1. Temporal Change Characteristics
3.1.2. Spatial Variation Characteristics
3.2. Changes in Design Rainstorms
3.3. Response of Design Rainstorms to Extreme Rainstorm Events
4. Discussion
4.1. Comparison of Existing Research Results
4.2. Causes of the Changes in Extreme Precipitation
4.3. Impact on Flood Control Capability and Engineering Safety
5. Conclusions
- (1)
- Extreme rainstorm events in China generally indicate an increasing trend with regional differences, showing an upward trend in EC, SC, CC, NW, and SW, and a downward trend in NE and NC. Among the nine indices, most of the amount and days indexes showed increase trends. Rx1day, SDII, and R50 increased significantly, and the rates are 0.52 mm/10a, 0.13 (mm·d−1)/10a, and 0.06 d/10a, respectively (p < 0.05).
- (2)
- The design rainstorm with different return periods showed a significant increase in China, increasing in EC, SC, NW, and SW and decreasing in NE, NC, and CC. In the 20-year return period, the design rainstorm had an increase at the rate of 1.3 mm/10a, which was mainly distributed in EC, SC, and SW, while NC showed a significant decrease (p < 0.05).
- (3)
- The design rainstorm had a significant positive response to the changes in the extreme rainstorm events. In the specific return periods, the design rainstorm will change with the extreme rainstorm events, such as the increase in the design rainstorm in EC, SC, NW, and SW and the decrease in NE and NC.
- (4)
- Against the backdrop of climate warming, design rainstorms will increase, resulting in the aggravation of the project accident probability and flood risk severity increasing in the future. The research is intends to minimize the damage caused by floods at a global level.
Author Contributions
Funding
Data Availability Statement
Conflicts of Interest
References
- Jongman, B.; Winsemius, H.C.; Aerts, J.C.; Coughlan de Perez, E.; van Aalst, M.K.; Kron, W.; Ward, P.J. Declining vulnerability to river floods and the global benefits of adaptation. Proc. Natl. Acad. Sci. USA 2015, 112, E2271–E2280. [Google Scholar] [CrossRef]
- Kvočka, D.; Falconer, R.A.; Bray, M. Flood hazard assessment for extreme flood events. Nat. Hazards 2016, 84, 1569–1599. [Google Scholar] [CrossRef]
- Kousky, C. Informing climate adaptation: A review of the economic costs of natural disasters. Energy Econ. 2014, 46, 576–592. [Google Scholar] [CrossRef]
- Willner, S.N.; Otto, C.; Levermann, A. Global economic response to river floods. Nat. Clim. Change 2018, 8, 594–598. [Google Scholar] [CrossRef]
- Borga, M.; Stoffel, M.; Marchi, L.; Marra, F.; Jakob, M. Hydrogeomorphic response to extreme rainfall in headwater systems: Flash floods and debris flows. J. Hydrol. 2014, 518, 194–205. [Google Scholar] [CrossRef]
- Wing, O.E.J.; Bates, P.D.; Smith, A.M.; Sampson, C.C.; Johnson, K.A.; Fargione, J.; Morefield, P. Estimates of present and future flood risk in the conterminous United States. Environ. Res. Lett. 2018, 13, 034023. [Google Scholar] [CrossRef]
- Ionita, M.; Nagavciuc, V. Extreme floods in the eastern part of Europe: Large-scale drivers and associated impacts. Water 2021, 13, 1122. [Google Scholar] [CrossRef]
- Madsen, H.; Lawrence, D.; Lang, M.; Martinkova, M.; Kjeldsen, T.R. Review of trend analysis and climate change projections of extreme precipitation and floods in Europe. J. Hydrol. 2014, 519, 3634–3650. [Google Scholar] [CrossRef]
- Kundzewicz, Z.W.; Su, B.D.; Wang, Y.J.; Xia, J.; Huang, J.L.; Jiang, T. Flood risk and its reduction in China. Adv. Water Resour. 2019, 130, 37–45. [Google Scholar] [CrossRef]
- Liu, C.; Guo, L.; Ye, L.; Zhang, S.; Zhao, Y.; Song, T. A review of advances in China’s flash flood early-warning system. Nat. Hazards 2018, 92, 619–634. [Google Scholar] [CrossRef]
- Li, W.; Zhao, S.; Chen, Y.; Wang, L.; Hou, W.; Jiang, Y.; Zou, X.; Shi, S. State of China’s climate in 2021. Atmos. Ocean. Sci. Lett. 2022, 15, 100211. [Google Scholar] [CrossRef]
- Yang, M.; Song, X.; Wang, W.; Yang, K.; Wang, H.; Wang, P. Analysis on the genesis and the omission of a torrential rain over Linqu on 9 July 2012. Agric. Sci. Technol. 2015, 16, 336–341. [Google Scholar] [CrossRef]
- Li, H.Q.; Wan, Q.L.; Peng, D.D.; Liu, X.T.; Xiao, H. Multiscale analysis of a record-breaking heavy rainfall event in Guangdong, China. Atmos. Res. 2020, 232, 104703. [Google Scholar] [CrossRef]
- Shi, C.; Zhou, L.; Fan, L.; Zhang, W.; Cao, Y.; Wang, C.; Xiao, F.; Lu, G.; Liang, H. Analysis of "21·7" extreme rainstorm process in Henan Province using BeiDou/GNSS observation. Chin. J. Geophys. 2022, 65, 186–196. [Google Scholar] [CrossRef]
- Huang, H.; Cui, H.; Ge, Q. Will a nonstationary change in extreme precipitation affect dam security in China? J. Hydrol. 2021, 603, 126859. [Google Scholar] [CrossRef]
- Nashwan, M.S.; Shahid, S.; Abd Rahim, N. Unidirectional trends in annual and seasonal climate and extremes in Egypt. Theor. Appl. Climatol. 2019, 136, 457–473. [Google Scholar] [CrossRef]
- Wright, D.B.; Bosma, C.D.; Lopez-Cantu, T. U.S. hydrologic design standards insufficient due to large increases in frequency of rainfall extremes. Geophys. Res. Lett. 2019, 46, 8144–8153. [Google Scholar] [CrossRef]
- Liu, D.; Xie, B.; Li, H. Design flood volume of the three gorges dam project. J. Hydrol. Eng. 2011, 16, 71–80. [Google Scholar] [CrossRef]
- Huang, H.; Fischella, M.R.; Liu, Y.; Ban, Z.; Fayne, J.V.; Li, D.; Cavanaugh, K.C.; Lettenmaier, D.P. Changes in mechanisms and characteristics of western U.S. floods over the last sixty years. Geophys. Res. Lett. 2022, 49, e2021GL097022. [Google Scholar] [CrossRef]
- Fofana, M.; Adounkpe, J.; Larbi, I.; Hounkpe, J.; Djan’na Koubodana, H.; Toure, A.; Bokar, H.; Dotse, S.-Q.; Limantol, A.M. Urban flash flood and extreme rainfall events trend analysis in Bamako, Mali. Environ. Chall. 2022, 6, 100449. [Google Scholar] [CrossRef]
- Pfahl, S.; O’Gorman, P.A.; Fischer, E.M. Understanding the regional pattern of projected future changes in extreme precipitation. Nat. Clim. Change 2017, 7, 423–427. [Google Scholar] [CrossRef]
- Zhang, W.; Zhou, T.; Zou, L.; Zhang, L.; Chen, X. Reduced exposure to extreme precipitation from 0.5 °C less warming in global land monsoon regions. Nat. Commun. 2018, 9, 3153. [Google Scholar] [CrossRef]
- Zhou, X.; Bai, Z.; Yang, Y. Linking trends in urban extreme rainfall to urban flooding in China. Int. J. Climatol. 2017, 37, 4586–4593. [Google Scholar] [CrossRef]
- Deng, Y.; Jiang, W.; He, B.; Chen, Z.; Jia, K. Change in intensity and frequency of extreme precipitation and its possible teleconnection with large-scale climate index over the China from 1960 to 2015. J. Geophys. Res. Atmos. 2018, 123, 2068–2081. [Google Scholar] [CrossRef]
- Wang, Y.; Xu, Y.; Lei, C.; Li, G.; Han, L.; Song, S.; Yang, L.; Deng, X. Spatio-temporal characteristics of precipitation and dryness/wetness in Yangtze River Delta, eastern China, during 1960–2012. Atmos. Res. 2016, 172-173, 196–205. [Google Scholar] [CrossRef]
- Guo, E.; Zhang, J.; Wang, Y.; Quan, L.; Zhang, R.; Zhang, F.; Zhou, M. Spatiotemporal variations of extreme climate events in Northeast China during 1960–2014. Ecol. Indic. 2019, 96, 669–683. [Google Scholar] [CrossRef]
- Mei, C.; Liu, J.; Chen, M.-T.; Wang, H.; Li, M.; Yu, Y. Multi-decadal spatial and temporal changes of extreme precipitation patterns in northern China (Jing-Jin-Ji district, 1960–2013). Quat. Int. 2018, 476, 1–13. [Google Scholar] [CrossRef]
- Li, Y.; Zhang, Z.; Gong, S.; Liu, M.; Zhao, Y. Risk assessment of rainstorm disasters under different return periods: A case study of Bohai Rim, China. Ocean Coast. Manag. 2020, 187, 105107. [Google Scholar] [CrossRef]
- Mallakpour, I.; Aghakouchak, A.; Sadegh, M. Climate-induced changes in the risk of hydrological failure of major dams in California. Geophys. Res. Lett. 2019, 46, 2130–2139. [Google Scholar] [CrossRef]
- Chen, A.; Liu, Y.; Liu, C.; Hong, L.; Fan, Z.; Yang, Y.; Yang, F. Analysis on the risk of rainstorm waterlogging in the main urban area of Changzhou City. South--North Water Transf. Water Sci. Technol. 2022, 20, 160–170. [Google Scholar] [CrossRef]
- Sharma, I.; Mishra, S.K.; Pandey, A. A simple procedure for design flood estimation incorporating duration and return period of design rainfall. Arab. J. Geosci. 2021, 14, 1286. [Google Scholar] [CrossRef]
- Zeng, Z.Y.; Lai, C.G.; Wang, Z.L.; Chen, X.H.; Zhang, Z.X.; Cheng, X.J. Intensity and spatial heterogeneity of design rainstorm under nonstationarity and stationarity hypothesis across mainland China. Theor. Appl. Climatol. 2019, 138, 1795–1808. [Google Scholar] [CrossRef]
- Zhang, X.; Xu, Y.; Gao, X.; Ma, c. Estimation of design storm in Han River basin with CCSM3 model. J. Hydroelectr. Eng. 2012, 31, 49–53. [Google Scholar]
- Du, H.H.; Wang, Y.M.; Wang, Z.Z.; Liu, K.L.; Cheng, L. Spatial and temporal characteristics of the daily precipitation concentration index over China from 1979 to 2015. Hydrol. Res. 2020, 51, 562–582. [Google Scholar] [CrossRef]
- Song, X.; Zhuang, Y.; Wang, X.; Li, E.; Zhang, Y.; Lu, X.; Yang, J.; Liu, X. Analysis of Hydrologic Regime Changes Caused by Dams in China. J. Hydrol. Eng. 2020, 25, 05020003. [Google Scholar] [CrossRef]
- Seneviratne, S.; Abid, M.; Badi, W.; Dereczynski, C.; Di Luca, A.; Ghosh, S.; Iskandar, I.; Kossin, J.; Lewis, S.; Otto, F.; et al. IPCC AR6 WGI Chapter11: Weather and Climate Extreme Events in a Changing Climate. In Climate Change 2021: The Physical Science Basis; Masson-Delmotte, V., Zhai, P., Pirani, A., Connors, S.L., Péan, C., Berger, S., Caud, N., Chen, Y., Goldfarb, L., Gomis, M.I., et al., Eds.; Contribution of Working Group I to the Sixth Assessment Report of the Intergovernmental Panel on Climate Change; Cambridge University Press: Cambridge, UK; New York, NY, USA, 2021; pp. 1513–1766. [Google Scholar]
- Almasi, P.; Soltani, S. Assessment of the climate change impacts on flood frequency (case study: Bazoft Basin, Iran). Stoch. Environ. Res. Risk Assess. 2017, 31, 1171–1182. [Google Scholar] [CrossRef]
- Gu, X.; Zhang, Q.; Singh, V.P.; Chen, X.; Liu, L. Nonstationarity in the occurrence rate of floods in the Tarim River basin, China, and related impacts of climate indices. Glob. Planet. Change 2016, 142, 1–13. [Google Scholar] [CrossRef]
- Hao, Z.; Sang, G.; Li, T. Inundation analysis of Xiuzhen River based on one-dimensional hydrodynamic model. J. Phys. Conf. Ser. 2022, 2271, 012003. [Google Scholar] [CrossRef]
- Dunn, R.J.H.; Alexander, L.V.; Donat, M.G.; Zhang, X.; Bador, M.; Herold, N.; Lippmann, T.; Allan, R.; Aguilar, E.; Barry, A.A.; et al. Development of an updated global land in situ-based data set of temperature and precipitation extremes: HadEX3. J. Geophys. Res. Atmos. 2020, 125, e2019JD032263. [Google Scholar] [CrossRef]
- Guo, J.L.; Guo, S.L.; Li, Y.; Chen, H.; Li, T.Y. Spatial and temporal variation of extreme precipitation indices in the Yangtze River basin, China. Stoch. Environ. Res. Risk Assess. 2013, 27, 459–475. [Google Scholar] [CrossRef]
- Xiao, M.Z.; Zhang, Q.; Singh, V.P. Spatiotemporal variations of extreme precipitation regimes during 1961-2010 and possible teleconnections with climate indices across China. Int. J. Climatol. 2017, 37, 468–479. [Google Scholar] [CrossRef]
- So, B.J.; Kim, J.Y.; Kwon, H.H.; Lima, C.H.R. Stochastic extreme downscaling model for an assessment of changes in rainfall intensity-duration-frequency curves over South Korea using multiple regional climate models. J. Hydrol. 2017, 553, 321–337. [Google Scholar] [CrossRef]
- Salih Hasan, B.M.; Abdulazeez, A.M. A review of principal component analysis algorithm for dimensionality reduction. J. Soft Comput. Data Min. 2021, 2, 20–30. [Google Scholar] [CrossRef]
- Subba, B.; Biswas, S.; Karmakar, S. Enhancing performance of anomaly based intrusion detection systems through dimensionality reduction using principal component analysis. In Proceedings of the 2016 IEEE International Conference on Advanced Networks and Telecommunications Systems (ANTS), Bangalore, India, 6–9 November 2016; pp. 1–6. [Google Scholar] [CrossRef]
- Wang, Y.J.; Zhou, B.T.; Qin, D.H.; Wu, J.; Gao, R.; Song, L.C. Changes in mean and extreme temperature and precipitation over the arid region of northwestern China: Observation and projection. Adv. Atmos. Sci. 2017, 34, 289–305. [Google Scholar] [CrossRef]
- Yin, H.; Sun, Y. Characteristics of extreme temperature and precipitation in China in 2017 based on ETCCDI indices. Adv. Clim. Change Res. 2018, 9, 218–226. [Google Scholar] [CrossRef]
- Zhao, Y.; Zou, X.; Cao, L.; Xu, X. Changes in precipitation extremes over the Pearl River Basin, southern China, during 1960–2012. Quat. Int. 2014, 333, 26–39. [Google Scholar] [CrossRef]
- Guan, Y.; Zheng, F.; Zhang, X.; Wang, B. Trends and variability of daily precipitation and extremes during 1960–2012 in the Yangtze River Basin, China. Int. J. Climatol. 2017, 37, 1282–1298. [Google Scholar] [CrossRef]
- Sun, W.; Mu, X.; Song, X.; Wu, D.; Cheng, A.; Qiu, B. Changes in extreme temperature and precipitation events in the Loess Plateau (China) during 1960–2013 under global warming. Atmos. Res. 2016, 168, 33–48. [Google Scholar] [CrossRef]
- Li, L.C.; Zou, Y.F.; Li, Y.; Lin, H.X.; Liu, D.; Wang, B.; Yao, N.; Song, S.B. Trends, change points and spatial variability in extreme precipitation events from 1961 to 2017 in China. Hydrol. Res. 2020, 51, 484–504. [Google Scholar] [CrossRef]
- Zhang, K.; Kimball, J.S.; Nemani, R.R.; Running, S.W.; Hong, Y.; Gourley, J.J.; Yu, Z. Vegetation greening and climate change promote multidecadal rises of global land evapotranspiration. Sci. Rep. 2015, 5, 15956. [Google Scholar] [CrossRef]
- Kwon, H.-H.; Sivakumar, B.; Moon, Y.-I.; Kim, B.-S. Assessment of change in design flood frequency under climate change using a multivariate downscaling model and a precipitation-runoff model. Stoch. Environ. Res. Risk Assess. 2011, 25, 567–581. [Google Scholar] [CrossRef]
- Burn, D.H.; Taleghani, A. Estimates of changes in design rainfall values for Canada. Hydrol. Process. 2013, 27, 1590–1599. [Google Scholar] [CrossRef]
- Zhang, H.; Yang, Z.; Cai, Y.; Qiu, J.; Huang, B. Impacts of climate change on urban drainage systems by future short-duration design rainstorms. Water 2021, 13, 2718. [Google Scholar] [CrossRef]
- Marelle, L.; Myhre, G.; Hodnebrog, Ø.; Sillmann, J.; Samset, B.H. The Changing Seasonality of Extreme Daily Precipitation. Geophys. Res. Lett. 2018, 45, 11,352–311,360. [Google Scholar] [CrossRef]
- Zhang, D.-D.; Yan, D.-H.; Wang, Y.-C.; Lu, F.; Wu, D. Changes in extreme precipitation in the Huang-Huai-Hai River basin of China during 1960–2010. Theor. Appl. Climatol. 2015, 120, 195–209. [Google Scholar] [CrossRef]
- Kunkel, K.E.; Karl, T.R.; Easterling, D.R.; Redmond, K.; Young, J.; Yin, X.G.; Hennon, P. Probable maximum precipitation and climate change. Geophys. Res. Lett. 2013, 40, 1402–1408. [Google Scholar] [CrossRef]
- Zhang, X.; Jin, L.; Chen, J.; Lu, H.; Chen, F. Lagged response of summer precipitation to insolation forcing on the northeastern Tibetan Plateau during the Holocene. Clim. Dyn. 2018, 50, 3117–3129. [Google Scholar] [CrossRef]
- Kundzewicz, Z.W.; Huang, J.; Pinskwar, I.; Su, B.; Szwed, M.; Jiang, T. Climate variability and floods in China - A review. Earth-Sci. Rev. 2020, 211, 103434. [Google Scholar] [CrossRef]
- Zhang, W.; Zhou, T. Increasing impacts from extreme precipitation on population over China with global warming. Sci. Bull. 2020, 65, 243–252. [Google Scholar] [CrossRef] [PubMed]
- Gao, T.; Wang, H.J.; Zhou, T. Changes of extreme precipitation and nonlinear influence of climate variables over monsoon region in China. Atmos. Res. 2017, 197, 379–389. [Google Scholar] [CrossRef]
- Wu, J.; Han, Z.; Xu, Y.; Zhou, B.; Gao, X. Changes in extreme climate events in China under 1.5 °C–4 °C global warming targets: Projections using an ensemble of regional climate model simulations. J. Geophys. Res. Atmos. 2020, 125, 1–22. [Google Scholar] [CrossRef]
- Chen, F.H.; Chen, J.; Huang, W. Weakened East Asian summer monsoon triggers increased precipitation in Northwest China. Sci. China Earth Sci 2021, 64, 835–837. [Google Scholar] [CrossRef]
- Wang, Q.; Xu, Y.P.; Wang, J.; Lin, Z.X.; Dai, X.Y.; Hu, Z.L. Assessing sub-daily rainstorm variability and its effects on flood processes in the Yangtze River Delta region. Hydrol. Sci J 2019, 64, 1972–1981. [Google Scholar] [CrossRef]
- Hosseini-Moghari, S.-M.; Sun, S.; Tang, Q.; Groisman, P.Y. Scaling of precipitation extremes with temperature in China’s mainland: Evaluation of satellite precipitation data. J. Hydrol. 2022, 606, 127391. [Google Scholar] [CrossRef]
- Jiang, T.; Buda, S.; Huang, J.; Zhai, J.; Xia, J.; Tao, H.; Wang, Y.; Sun, H.; Luo, Y.; Zhang, L.; et al. Each 0.5°C of Warming Increases Annual Flood Losses in China by More than US$60 Billion. Bull. Am. Meteorol. Soc. 2020, 1464–1474. [Google Scholar] [CrossRef]
- Arnell, N.W.; Gosling, S.N. The impacts of climate change on river flood risk at the global scale. Clim. Change 2016, 134, 387–401. [Google Scholar] [CrossRef]
- Xu, H.; Chen, H.; Wang, H. Future changes in precipitation extremes across China based on CMIP6 models. Int. J. Climatol. 2022, 42, 635–651. [Google Scholar] [CrossRef]













| Category | Index | Indicator Name | Description | Unit |
|---|---|---|---|---|
| Amount Index | RX1day | Max 1-day precipitation amount | Monthly maximum 1-day precipitation | mm |
| RX5day | Max 5-day precipitation amount | Monthly maximum consecutive 5-day precipitation | mm | |
| R95p | Very-wet-day precipitation | Annual total PRCP when RR > 95th percentile | mm | |
| R99p | Extreme-wet-day precipitation | Annual total PRCP when RR > 99th percentile | mm | |
| PRCPTOT | Annual total wet-day precipitation | Annual total PRCP in wet days (RR ≥ 1 mm) | mm | |
| Intensity Index | SDII | Simple daily intensity index | Annual total precipitation divided by the number of wet days | mm·d−1 |
| Days Index | CWD | Consecutive wet days | Maximum number of consecutive days with RR ≥ 1 mm | d |
| R20 | Number of heavy precipitation days | Annual count of days when PRCP ≥ 20 mm | d | |
| R50 | Number of heavy precipitation days | Annual count of days when PRCP ≥ 50 mm | d |
Disclaimer/Publisher’s Note: The statements, opinions and data contained in all publications are solely those of the individual author(s) and contributor(s) and not of MDPI and/or the editor(s). MDPI and/or the editor(s) disclaim responsibility for any injury to people or property resulting from any ideas, methods, instructions or products referred to in the content. |
© 2023 by the authors. Licensee MDPI, Basel, Switzerland. This article is an open access article distributed under the terms and conditions of the Creative Commons Attribution (CC BY) license (https://creativecommons.org/licenses/by/4.0/).
Share and Cite
Jidai, J.; Yu, H.; Zhang, L.; Liu, Y.; Han, J. The Global Importance of Increasing Design Rainstorms under Specific Return Periods in China. Water 2023, 15, 2049. https://doi.org/10.3390/w15112049
Jidai J, Yu H, Zhang L, Liu Y, Han J. The Global Importance of Increasing Design Rainstorms under Specific Return Periods in China. Water. 2023; 15(11):2049. https://doi.org/10.3390/w15112049
Chicago/Turabian StyleJidai, Jingqi, Han Yu, Liang Zhang, Yihang Liu, and Jianqiao Han. 2023. "The Global Importance of Increasing Design Rainstorms under Specific Return Periods in China" Water 15, no. 11: 2049. https://doi.org/10.3390/w15112049
APA StyleJidai, J., Yu, H., Zhang, L., Liu, Y., & Han, J. (2023). The Global Importance of Increasing Design Rainstorms under Specific Return Periods in China. Water, 15(11), 2049. https://doi.org/10.3390/w15112049

