Effects of Closing Times and Laws on Water Hammer in a Ball Valve Pipeline
Abstract
1. Introduction
2. Geometric Model and Numerical Method
2.1. Geometric Model
2.2. Computing Domain and Grid Generation
2.3. Boundary Conditions
3. Results and Discussion
3.1. Verification of Simulation
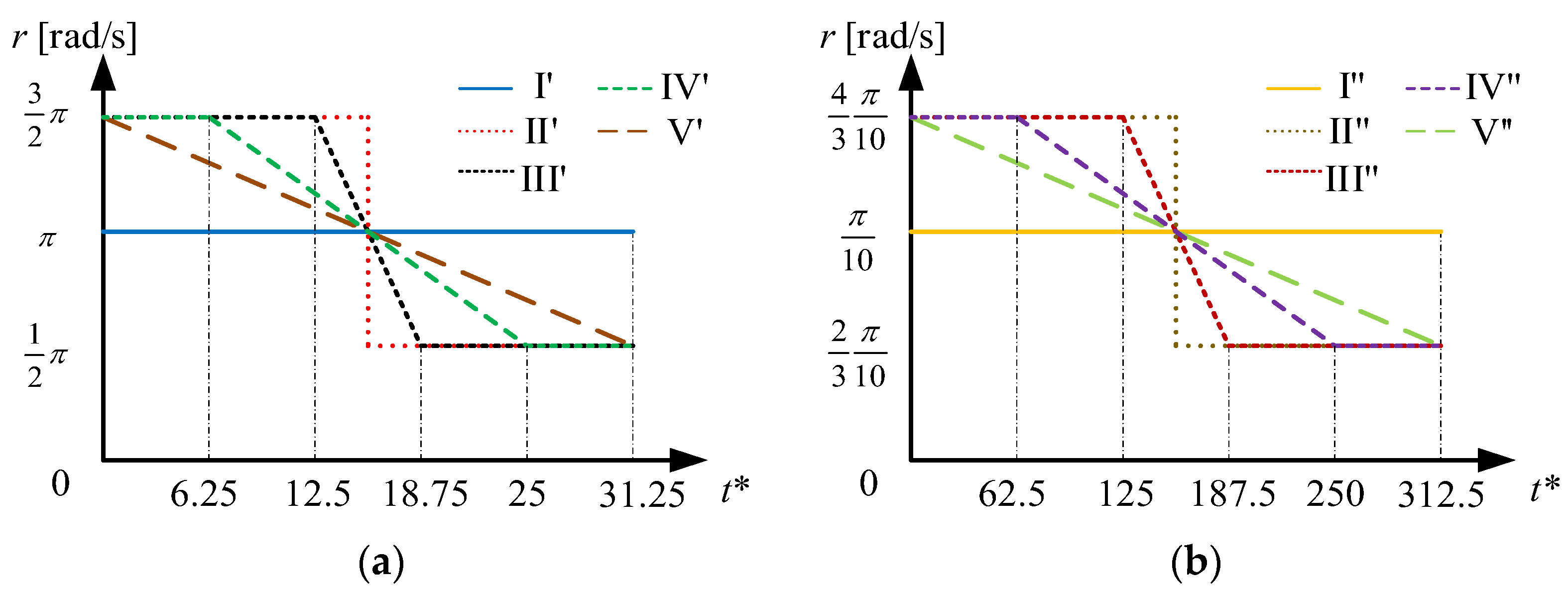
3.2. Effect of Valve Closing Times
3.3. Effect of Valve Closing Laws
3.4. Vortex Core Distribution in Inlet Channel
4. Conclusions
- (1)
- Properly extending the closing time of the ball valve can effectively reduce the maximum water hammer pressure. In the process of prolonging the closing time, the difference of the pressure between different monitoring planes gradually disappeared.
- (2)
- Under the closing time t* = 31.25 and t* = 312.5, the use of a long-time high-speed closing law in the early stage of valve closing will cause greater water hammer pressure, which will have a serious impact on the stability of the pipeline system. When the piping system has high destructive resistance, the use of a linear uniform deceleration closing valve can play a role in promoting water hammer protection. This slightly increases the maximum water hammer pressure while shortening the time of water hammer wave fluctuations. On the contrary, when the piping system is generally destructive, the maximum water hammer pressure caused by the law of closing the valve at a constant speed is relatively small, which is beneficial in reducing the damage of the water hammer.
- (3)
- After the valve is completely closed in the theoretical sense, the water hammer wave gradually stabilizes, and the shape of the vortex core in the inlet channel changes with time and presents a propagation state. The vortex core motion and pressure vibration were affected by the closing law. The velocity in the early stage of valve closing is fast, and the stability time node of the water hammer wave in the scheme is moved up.
Author Contributions
Funding
Conflicts of Interest
References
- Sun, J.; Deng, J.; Ran, X.; Cao, X.; Fan, G.; Ding, M. Experimental research on the mechanisms of condensation induced water hammers in a natural circulation system. Nucl. Eng. Technol. 2021, 53, 3635–3642. [Google Scholar] [CrossRef]
- Cao, Y.; Dou, Y.; Huang, Y.; Cheng, J. Study on Vibration Characteristics of Fracturing Piping in Pump-Starting and Pump-Stopping Water Hammer. J. Fail. Anal. Prev. 2019, 19, 1093–1104. [Google Scholar] [CrossRef]
- Li, Y.; Hu, X.; Zhou, F.; Qiu, Y.; Li, Z.; Luo, Y. A new comprehensive filtering model for pump shut-in water hammer pressure wave signals during hydraulic fracturing. J. Petrol. Sci. Eng. 2022, 208, 109796. [Google Scholar] [CrossRef]
- Mo, X.; Zheng, Y.; Kan, K.; Zhang, H. Influence of different valve closing rules and outlet form on pipeline water hammer. J. Drain. Irrig. Mach. Eng. 2021, 39, 392–396. [Google Scholar] [CrossRef]
- El-Emam, M.; Zhou, L.; Shi, W.; Han, C.; Bai, L.; Agarwal, R. Theories and applications of CFD–DEM coupling approach for granular flow: A review. Arch. Comput. Methods Eng. 2021, 28, 4979–5020. [Google Scholar] [CrossRef]
- Menabrea, L.F. Note sur les effets du choc de l’eau dans les conduites. Mallet-Bachelie. 1858, 47, 221–224. [Google Scholar]
- Michaud, J. Coups de bélier dans les conduites. Étude des moyens employés pour en atténeur les effects. Bull. Société Vaud. Ingénieurs Archit. 1878, 4, 4. [Google Scholar]
- Allievi, L. General theory of the variable motion of water in pressure conduits (French translation). Annali della Societa’degli Ingegneri ed Architetti Italiani 1902, 17, 285–325. [Google Scholar]
- Jaeger, C. Théorie générale du coup de bélier: Application au calcul des conduites à caractéristiques multiples et des chambres d’équilibre. ETH Zur. 1933. Available online: https://www.research-collection.ethz.ch/bitstream/handle/20.500.11850/134975/eth-21384-01.pdf (accessed on 30 March 2022).
- Joukowsky, N. On the hydraulic hammer in water supply pipe. Proc. Am. Water Work. Assoc. 1904, 24, 341–424. [Google Scholar]
- Streeter, V. Water Hammer Analysis. J. Hydraul. Div. 1969, 95, 1959–1972. [Google Scholar] [CrossRef]
- Streeter, V. Transient cavitating pipe flow. J. Hydraul. Eng. 1983, 109, 1407–1423. [Google Scholar] [CrossRef]
- Ferreira, J.P.B.C.C.; Martins, N.M.C.; Covas, D.I.C. Ball valve behavior under steady and unsteady conditions. Hydraul. Eng. 2018, 144, 04018005. [Google Scholar] [CrossRef]
- Martins, N.; Soares, A.K.; Ramos, H.M.; Covas, D. CFD modeling of transient flow in pressurized pipes. Comput. Fluids 2016, 126, 129–140. [Google Scholar] [CrossRef]
- Martins, N.M.C.; Carriço, N.J.G.; Ramos, H.M.; Covas, D.I.C. Velocity-Distribution in Pressurized Pipe Flow Using CFD: Accuracy and Mesh Analysis. Comput. Fluids 2014, 105, 218–230. [Google Scholar] [CrossRef]
- Jiang, J.; Huang, G.; Nie, L.; Dong, S.; Chen, X. A multi-valve protection from water hammer in long-distance pipelines. In Proceedings of the 2011 International Conference on Materials for Renewable Energy & Environment, Shanghai, China, 20–22 May 2011; Volume 2, pp. 1835–1838. [Google Scholar] [CrossRef]
- Choon, T.W.; Aik, L.K.; Aik, L.E.; Hin, T.T. Investigation of water hammer effect through pipeline system. Int. J. Adv. Sci. Eng. Inf. Technol. 2012, 2, 246–251. [Google Scholar] [CrossRef]
- Miao, D.; Zhang, J.; Chen, S.; Yu, X.D. Water hammer suppression for long distance water supply systems by combining the air vessel and valve. J. Water Supply Res. T. 2017, 66, 319–326. [Google Scholar] [CrossRef]
- Guo, L.L.; Geng, J.; Shi, S.; Du, G.S. Study of the Phenomenon of Water Hammer Based on Sliding Mesh Method. Appl. Mech. Mater. 2014, 525, 236–239. [Google Scholar] [CrossRef]
- Saeml, S.; Raisee, M.; Cervantes, M.J.; Nourbakhsh, A. Computation of two-and three-dimensional water hammer flows. J. Hydraul. Res. 2018, 57, 386–404. [Google Scholar] [CrossRef]
- Wan, W.; Zhang, B.; Chen, X. Investigation on water hammer control of centrifugal pumps in water supply pipeline systems. Energies 2019, 12, 108. [Google Scholar] [CrossRef]
- Meniconi, S.; Duan, H.; Brunone, B.; Ghidaoui Lee, P.; Ferrante, M. Further developments in rapidly decelerating turbulent pipe flow modeling. J. Hydraul. Eng. 2014, 140, 04014028. [Google Scholar] [CrossRef]
- Meniconi, S.; Brunone, B.; Frisinghelli, M. On the role of minor branches, energy dissipation, and small defects in the transient response of transmission mains. Water 2018, 10, 187. [Google Scholar] [CrossRef]
- Zhang, W.; Yang, S.; Wu, D.; Xu, Z. Dynamic interaction between valve-closure water hammer wave and centrifugal pump. Proc. Inst. Mech. Eng. Part C J. Mech. Eng. Sci. 2021, 235, 6767–6781. [Google Scholar] [CrossRef]
- Brunone, B.; Morelli, L. Automatic control valve–induced transients in operative pipe system. J. Hydraul. Eng. 1999, 125, 534–542. [Google Scholar] [CrossRef]
- Azoury, P.H.; Baasiri, M.; Najm, H. Effect of valve-closure schedule on water hammer. J. Hydraul. Eng. 1986, 112, 890–903. [Google Scholar] [CrossRef]
- Wood, D.J.; Jones, S.E. Water-hammer charts for various types of valves. J. Hydraul. Div. 1973, 99, 167–178. [Google Scholar] [CrossRef]
- Streeter, V.L. Valve stroking to control water hammer. J. Hydraul. Div. 1963, 89, 39–66. [Google Scholar] [CrossRef]
- Han, Y.; Zhou, L.; Bai, L.; Xue, P.; Lv, W.; Shi, W.; Huang, G. Transient simulation and experiment validation on the opening and closing process of a ball valve. Nucl. Eng. Technol. 2021, 54, 1674–1685. [Google Scholar] [CrossRef]
- Han, Y.; Zhou, L.; Bai, L.; Shi, W.; Agarwal, R. Comparison and validation of various turbulence models for U-bend flow with a magnetic resonance velocimetry experiment. Phys. Fluids 2021, 33, 125117. [Google Scholar] [CrossRef]
- El-Emam, M.; Zhou, L.; Yasser, E.; Bai, L.; Shi, W. Computational methods of erosion wear in centrifugal pump: A state-of-the-art review. Arch. Comput. Methods Eng. 2022, 1–26. [Google Scholar] [CrossRef]
- Shi, G.; Liu, Z.; Wang, B. Effect of tip clearance on flow behaviors in a multiphase pump. J. Drain. Irrig. Mach. Eng. 2022, 40, 332–337. [Google Scholar] [CrossRef]
- Wang, J.; Xu, H. Numerical simulation of flow around baffles based on different turbulence models. J. Jiangsu Univ. 2020, 41, 27–33. [Google Scholar] [CrossRef]
- Zhao, Z.; Zhou, L.; Liu, B.; Cao, W. Computational fluid dynamics and experimental investigation of inlet flow rate effects on separation performance of desanding hydrocyclone. Powder Technol. 2022, 402, 117363. [Google Scholar] [CrossRef]
- Ji, L.; Li, W.; Shi, W.; Tian, F.; Agarwal, R. Diagnosis of internal energy characteristics of mixed-flow pump within stall region based on entropy production analysis model. Int. Commun. Heat Mass Transf. 2020, 117, 104784. [Google Scholar] [CrossRef]
- Lescovich, J.E. The control of water hammer by automatic valves. Am. Water Works Ass. 1967, 59, 632–644. [Google Scholar] [CrossRef]
- Ghidaoui, M.S. On the fundamental equations of water hammer. Urban Water J. 2004, 1, 71–83. [Google Scholar] [CrossRef]
- Balacco, G.; Apollonio, C.; Piccinni, A.F. Experimental analysis of air valve behavior during hydraulic transients. Appl. Water Eng. Res. 2015, 3, 3–11. [Google Scholar] [CrossRef]
- Kou, Y.; Yang, J.; Kou, Z. A water hammer protection method for mine drainage system based on velocity adjustment of hydraulic control valve. Shock Vib. 2016, 2016, 2346025. [Google Scholar] [CrossRef][Green Version]
- Zhao, B.; Han, L.; Liu, Y.; Liao, W.; Fu, Y.; Huang, Z. Effects of blade angle on mixed-flow pump on internal vortex structure and impeller-guide vane adaptability. J. Drain. Irrig. Mach. Eng. 2022, 40, 109–114. [Google Scholar] [CrossRef]














| Name | Parameters |
|---|---|
| Nominal size | DN350 |
| Design pressure | 2.5 MPa |
| Opening angle/θ | 60° |
| Design temperature | 100 ℃ |
| Shell experimental pressure (holding pressure time ≥ 15 min) | 4.40 MPa |
| Seal experimental pressure (holding pressure time ≥ 15 min) | 3.2 MPa |
| Packing sealing experimental pressure (holding pressure time ≥ 15 min) | 2.75 MPa |
| Tube size | Φ355.6 × 9.53 |
| Flow regulation characteristics | Equal percentage adjustment |
Publisher’s Note: MDPI stays neutral with regard to jurisdictional claims in published maps and institutional affiliations. |
© 2022 by the authors. Licensee MDPI, Basel, Switzerland. This article is an open access article distributed under the terms and conditions of the Creative Commons Attribution (CC BY) license (https://creativecommons.org/licenses/by/4.0/).
Share and Cite
Han, Y.; Shi, W.; Xu, H.; Wang, J.; Zhou, L. Effects of Closing Times and Laws on Water Hammer in a Ball Valve Pipeline. Water 2022, 14, 1497. https://doi.org/10.3390/w14091497
Han Y, Shi W, Xu H, Wang J, Zhou L. Effects of Closing Times and Laws on Water Hammer in a Ball Valve Pipeline. Water. 2022; 14(9):1497. https://doi.org/10.3390/w14091497
Chicago/Turabian StyleHan, Yong, Weidong Shi, Hong Xu, Jiabin Wang, and Ling Zhou. 2022. "Effects of Closing Times and Laws on Water Hammer in a Ball Valve Pipeline" Water 14, no. 9: 1497. https://doi.org/10.3390/w14091497
APA StyleHan, Y., Shi, W., Xu, H., Wang, J., & Zhou, L. (2022). Effects of Closing Times and Laws on Water Hammer in a Ball Valve Pipeline. Water, 14(9), 1497. https://doi.org/10.3390/w14091497

