Abstract
A long start-up period is one of the main factors limiting the practical application of aerobic granular sludge (AGS). Bioaugmentation could be a good strategy to accelerate aerobic granulation. In this research, four denitrifying strains were isolated from mature AGS. Mycobacterium senegalense X3-1 exhibited the strongest self-aggregation ability and good denitrification ability. Ensifer adhaerens X1 showed the strongest denitrification ability but poor self-aggregation ability. Additionally, strain X3-1 demonstrated the highest extracellular polymeric substances (EPS) contents accompanied by relatively high N-acyl-homoserine lactones (AHLs) concentrations, which could illustrate its predominant aggregation ability—AHLs produced by bacteria regulate EPS secretion to accelerate cell aggregation. Strain X3-1 and X1 were chosen as inoculated bacterium to verify the effects of bioaugmentation on AGS granulation and denitrification. Granulation was achieved in the sequential batch reactors (SBRs) added strain X3-1 10 days earlier than the control group. The particle morphology and TIN removal rate of X3-1 were both superior to the latter. The introduction of strains reduced the richness and diversity of the microbial community, but the key functional bacteria, Candidatus_Competibacter, proliferates in the SBR inoculated with X3-1. Conclusively, it is suggested Mycobacterium senegalense X3-1 could be a prospective strain for enhancing AGS formation and denitrification.
1. Introduction
Aerobic granular sludge (AGS) is a wastewater biological treatment process with good application prospects in recent years, with an edge on good settlement performance, high sludge activity, large biological density, strong impact resistance, and efficient nitrogen and phosphorus removal [1,2]. Nevertheless, it is restricted in practical application since the formation mechanism of AGS is not clear yet. Moreover, the start cycle was too long and the granulation process was easily affected by many factors [3], which contributed to the increase in capital expenditures [4]. Therefore, accelerating the granulation process can popularize AGS applications and create economic value.
At present, most of the research on AGS focuses on the rapid cultivation of AGS and the problem of instability during AGS operation. In the research on strengthening AGS start and operation, it was a common practice to add metal ions (Ca2+, Mg2+, Fe3+, etc.) and inert carriers to accelerate the formation of granular sludge [5]. Moreover, optimizing the operating conditions and choosing optimized seeding sludge also had been attempted to reduce start-up time and facilitate the formation of granules [6]. However, research on bioaugmentation for the rapid formation of AGS is still relatively limited.
AGS could form biological aggregates through self-flocculation without the help of external materials [7], profiting from the significant role of microorganisms during the formation of AGS. Different bacteria had specific metabolism and functions, and their capability of aggregation was different [8]. Some species were reported to be devoted to the early aggregation and the later granulation process. Jiang et al. isolated Propioniferax-like PG-02 with strong phenol degradation and Comamonas sp. PG-08 with strong aggregation ability [9]. SBR-seeded PG-08 achieved granulation on day 21 which was 14 days later than SBR seeded both PG-02 and PG-08 on day 7, and the latter SBR exhibited better phenol degradation capability. Liang et al. screened out Rhizobium sp. NJUST18 and Shinella granuli NJUST29 (both with strong aggregation ability but relatively poor pyridine degradation ability). The highest EPS contents and the second highest messenger cyclic diguanylate (c-di-GMP) contents were detected in the combination of NJUST18 and NJUST29 and it only takes 42 days to form the AGS in the SBR inoculated with NJUST18 and NJUST29 [10]. However, it has not been reported that inoculating SBRs with strains capable of aggregation and denitrification ability enhanced aerobic sludge granulation and denitrification. In addition, the mechanisms and the succession changes of the microbial community involved in the accelerated aerobic granulation through bioaugmentation have not been fully understood.
On the other hand, adding metal ions is a good way to accelerate the granulation. There have been many kinds of research concerning the promoting effect of multivalent cations during the granulation process [5]. These cations formed nucleation with negatively charged cells in terms of neutralizing, absorbing, and bridging. Granulation was achieved faster within 16–21 days by adding 100 mg/L Ca2+ than no Ca2+ addition, in addition, the Ca2+ granules added were of better settling properties and had a more compact structure [11]. It was reported that feeding 40 mg/L of Ca2+ was more propitious to faster granulation than the addition of 40 mg/L of Mg2+ [12]. However, there is more research focused on changing the cation concentration or the kinds of cation to achieve rapid granulation. Reports of calcium precipitation induced by calcium-precipitating bacteria to accelerate AGS formation are still rare.
Therefore, the present study aimed at figuring out the mechanism of cell aggregation and exploring the effects of bioaugmentation on enhancing aerobic granules formation and denitrification of X3-1.
2. Materials and Methods
2.1. Isolation of Calcium-Precipitating Strain
Four strains capable of calcium precipitation and denitrification were isolated from mature and stable aerobic granule sludges (AGS) by the manner of enrichment culture, plate coating, and streaking. The mature AGS was cultivated by other members of our research group and the seed sludge was from Longwangzui Wastewater Treatment Plant in Wuhan, Hubei, China. 16S rRNA gene sequencing was used for identifying the four strains, the results of which were deposited in the GenBank database for phylogenetic analysis.
In this research, calcium precipitation, aggregation activity, and denitrification capability were the most important three aspects to select strains for the further batch reactor characterization. The inocula were prepared in an enrichment medium (EM) on a rotary shaker at 150 rpm and 30 °C. The mixed liquid was centrifuged at 8000 rpm for 10 min when the bacterium grew into the exponential phase (approximately 24 h after inoculation). Then the sediment was washed three times with basal medium (BM). At last, the bacterial sediment was re-suspended by vortex and diluted with basal medium (BM) to an optical density at 600 nm (OD600) of approximately 1.0. The sediment, prepared as above, was inoculated into 300 mL basal medium (BM) at inoculum size of 10%. Batch experiments were conducted in basal medium (BM) on a rotary shaker at 150 rpm and 30 °C, while the medium was kept under aerobic conditions. The bacteria were cultured for about 5 days.
Each liter of enrichment medium (EM) consists of 3 g peptone, 0.12 g NaNO3, 0.1 g KH2PO4, 0.05 g MgSO4·7H2O, 0.5 g NaCl, 0.5 g CaCl2, and 2 mL L−1 trace elements solution [13]. Each liter of basal medium (BM) consists of 1.3 g C4H4Na2O4·6H2O, 0.2 g glucose, 0.12 g NaNO3, 0.1 g KH2PO4, 0.05 g MgSO4·7H2O, 0.5 g NaCl, 0.5 g CaCl2, and 2 mL L−1 trace elements solution [13]. The composition of the trace element solution is as follows (per Liter): 1.0 g EDTA, 1.0 g ZnSO4, 0.8 g MgSO4·7H2O, 0.8 g FeSO4·7H2O, 0.8 g CuSO4·5H2O, and 0.2 g CoCl2·6H2O and 1.0 mol·L−1 NaOH or HCl solution was used to adjust the pH of the basal medium (BM) to 7.5. The chemicals used were analytical-grade reagents. Before use, the BM and HM were put into the autoclave and sterilized at 121 °C for 30 min. Drugs mentioned above were purchased from Sinopharm in China.
2.2. Auto-Aggregation and Coaggregation Indices
Aiming at cultivating aerobic granules quickly, good aggregation performance is an important index to screen out proper strains. The obtained calcium-precipitating strains detected aggregation activity to evaluate the precipitation capability. Considering settling performance, calcium precipitation, and denitrification, the best strains in these three aspects, respectively, are screened out and combined.
Absorption spectrophotometry was employed for auto-aggregation and coaggregation assay [14], which were carried out on a rotary shaker at 150 rpm and 30 °C, and the batch reactors were 500 mL Erlenmeyer flasks. The four strains were inoculated into basal medium (BM) at an OD600 of approximately 1.0 and an inoculum size of 10% after enrichment culture and washed three times with basal medium (BM). A total of 5 mL of mixture samples were collected and transferred to 10 mL centrifuge tubes every 12 h. Meanwhile, their initial optical density (OD0) was tested at 600 nm. Then the mixture samples were left to be still for 30 min. After that, 3 mL supernatant at 1 cm below liquid level was collected and tested for optical density at 600 nm (OD30). The auto-aggregation index of the mixture samples was calculated as follows:
The index above could be defined as the coaggregation index when it was employed in the combined bacterial batch reactor.
2.3. Aerobic Granules Cultivation in SBRs
Three column-type sequencing batch reactors were used to explore the aggregation performance of calcium-precipitating strains for the acceleration of AGS.
The height of the SBRs was 300 mm, and the inner diameter was 110 mm. The actual working volume was 2.2 L with an exchange volume rate of 50%. The hydraulic retention time (HRT) was 12 h and the operation cycle was 6 h, consisting of 2 min of feeding, 120 min of anaerobic, 90 min of oxic, 130 min of anoxic, and 15 min of sedimentation, and 5 min of discharging [15]. By reducing settling time, rapid formation of granular sludge was achieved [16]. The fast-settling sludge can be screened to realize granulation accounting for the hydrodynamic shear force [17]. During the experiments, the temperature ranged from 20 to 25 °C, which was relatively stable.
The seed sludge was collected from the Longwangzui WWTP in Wuhan, China. Per liter of the synthetic wastewater consists of NaAc 323.7 mg, NH4Cl 76.5 mg, KH2PO4 14.6 mg, CaCl2 10.6 mg, and MgSO4·7H2O 10 mg and 1 mL of trace solution [18]. Bacterial inoculation was carried out at 10% of the reactor volume and the OD600 of bacterial mixture was approximately 1.0, which corresponded to a biomass concentration of 1300 ± 100 mg L−1 dry biomass before mixing. For the combination of two strains, each strain was seeded with 650 ± 100 mg L−1 dry biomass.
2.4. Analytical Methods
The concentration of NH4+-N, NO2–N, and NO3−-N were analyzed using standard methods [19]. The concentration of TIN consisted of the concentration of NH4+ -N, NO2 –N, and NO3 –N. A laser particle analyzer was used to measure the sludge particle sizes (Mastersizer 2000, Malvern, UK). An optical microscope was used to observe the morphology of the AGS.
2.5. EPS Extraction and Analysis
EPS was extracted from AGS by a modified heat method [20]. EPS included loosely bound EPS (LB-EPS) and tightly bound EPS (TB-EPS). Briefly, 9 mL of bacterial liquid or sludge suspension was collected in a 10 mL tube and the liquid level was marked on the tube. After the sludge was fully settled, the supernatant was poured. Then the bacterium or sludge left in the tube was suspended again with 0.9% NaCl solution which was similar to the salinity in the SBR until the liquid level reached the marked line before. After that, the bacterial liquid or sludge suspension was sheared by a vortex mixer for 1 min, which was later centrifuged at 4000 rpm for 10 min. The supernatant was recovered and was regarded as the LB-EPS. To extract TB-EPS, the sludge pellet left in the tube after extraction of LB-EPS was washed with 0.9% NaCl solution and centrifuged at 4000 rpm for 10 min three times. The residual pellet was resuspended and heated at 80 °C for 30 min. After centrifugation at 10,000 rpm for 20 min, the supernatant was filtrated with a 0.45 μm water filter membrane, which was regarded as the TB-EPS of the sample. The protein (PN) was measured by a modified Lowry method with bovine serum albumin as the standard and the polysaccharides (PS) were detected by a sulfuric acid–anthrone colorimetric method [21,22]. LB-EPS was regarded as the sum of LB-PN and LB-PS, so as TB-EPS and EPS.
2.6. AHLs Extraction and Analysis
After centrifugation at 8000 rpm for 10 min, AHLs in the water phase were extracted and analyzed [23]. A total of 35 mL of supernatant was filtrated with a 0.45 μm water filter membrane and extracted twice with an equal volume of ethyl acetate. A rotary evaporator and nitrogen blow equipment was used for solvent removal. After re-dissolution with 1 mL acetonitrile and filtration with a 0.22 μm water filter membrane, the sample was analyzed by ultra-performance liquid chromatography (UPLC Exion-LC, Shimadzu, Japan) coupled with a triple quadrupole mass spectrometry (QTRAP READY 5500+, ABSxiex, Shanghai, China). The column was InertSustain C18 (100 × 2.1 mm, 2 μm) at 40 °C. The mobile phase consisted of 0.1% formic acid in pure water (A) and methanol (B) with a flow rate of 300 μL/min.
2.7. Microorganism Community Analysis
The community for AGS was determined on the 65th day. The general primer set 338F (5′-ACTCCTACGGGAGGCAGCA-3′) and 806R (5′-GGACTACHVGGGTWTCTAAT-3′) were used for amplification as the procedures [24]. The DNA extraction, PCR amplification, and pyrosequencing were conducted sequentially on the Illumina MiSeq platform (PE300, San Diego, CA, USA). The detailed bioinformatics analysis was conducted referred to a previous report by He et al. [25].
3. Results and Discussion
3.1. Characterization of Isolates
Through a specific medium, four strains capable of calcium precipitating and denitrification were isolated from mature aerobic granules. Based on their 16S rRNA gene sequencing, the four strains were identified as Ensifer adhaerens X1, Photorhabdus luminescens X2, Mycobacterium senegalense X3-1, Achromobacter sp. X4 and 16S rRNA sequences of these four isolates were deposited in the GenBank database under accession NO. OL639676, OL639677, ON197551, OL639679, respectively. After analyzing their bacterial properties including aggregation and denitrification ability, two strains, Ensifer adhaerens X1 and Mycobacterium senegalense X3-1, were chosen as the inocula for SBRs. The secretion of extracellular polymeric substances (EPS) and the concentration of N-acyl-homoserine lactones (AHLs) were detected to demonstrate the mechanism involved in aggregation. Lastly, the selected strains were added to SBRs to verify their effect on granulation, denitrification, and microbial communities. This research helps reveal the mechanism of aggregation and provides the experimental basis for the application of bioaugmentation in AGS. As depicted in Figure 1a, NO3−-N concentration, Ca2+ concentration, TIN removal, and aggregation index were evaluated under aerobic conditions. Nitrogen and calcium sources were served by NaNO3 and CaCl2, respectively. The initial concentration of Ca2+ was set at 200 mg·L−1.
Figure 1.
(a) Performance of strain X1, X2, X3-1, and X4; (b) NO3−-N convert efficiency, TIN removal efficiency, Ca2+ removal efficiency, and aggregation index of X1, X2, X3-1, X1 + X2, and X1 + X3-1.
NO3−-N conversion and TIN removal efficiency are vital indices for strains inoculated into SBRs. The denitrification of aerobic granular sludge mainly comes from denitrifying bacteria. From Figure 1a, NO3−-N concentration and TIN removal efficiency had similar varying trends, which meant most TIN were from NO3−-N, and NO3−-N was rarely converted to NO2−-N. The TIN removal efficiencies of X1, X2, X3-1, and X4 were 100%, 85.08%, 64.91%, 38.98% within 36 h, respectively. The final concentrations of NO3−-N in the system inoculated with X1, X2, X3-1, and X4 were 0 mg·L−1, 3.22 mg·L−1, 5.99 mg·L−1, and 12.75 mg·L−1, respectively. The system inoculated with X1 had the highest NO3−-N conversion rate and TIN removal rate compared to other strains, which were both 99.21% within 12 h. While X4 showed a relatively terrible capability of nitrogen removal.
It was known that calcium removal efficiency and aggregation index were vital indices based on the crystal nuclei hypothesis and self-agglomerative principle. Calcium removal efficiency suggested the biomineralization capability of the four strains. As illustrated in Figure 1a, the four strains all had the excellent capability of calcium precipitation, which suggested basal medium showed a significant effect on the bacterial screening process. The calcium removal efficiencies of the system inoculated with X1, X2, X3-1, and X4 were as high as 91.45%, 100%, 91.85%, and 89.71% within 120 h, respectively. The final concentrations of calcium in the system inoculated with X1, X2, X3-1, and X4 were 17.38 mg·L−1, 0 mg·L−1, 17.16 mg·L−1, and 20.67 mg·L−1, respectively. Strain X4 decreased calcium concentration within 36 h from 200.87 mg·L−1 to 55.53 mg·L−1 with a removal rate of 4.04 mg·L−1·h−1. Strain X3-1 was the fastest strain to reduce calcium concentration to 20.17 mg·L−1 at 3.5 d with a removal efficiency of 90.40%. Nevertheless, strain X2 removed calcium almost completely, which suggested it had more excellent mineralization performance among the four strains. Otherwise, the peak spectrum of precipitation analyzed by XRD illustrated the precipitation produced during the batch experiments as CaCO3 and MgCO3.
Auto-aggregation index exhibits microbial auto-aggregation ability and single-species nuclei produced during microbial growth can enhance the formation of microbial aggregates in the SBRs. As demonstrated in the last part of Figure 1a, the auto-aggregation capability of the nine strains was compared by spectrophotometry. Based on the aggregation index at the beginning, the indices of X2, X3-1, and X4 increased except for strain X1. It could be proposed that X2, X3-1, and X4 had auto-aggregation capability with aggregation indices as high as 36.23%, 69.34%, and 41.23%, respectively. There was no doubt that strain X3-1 showed the strongest auto-aggregation property. Nevertheless, strain X1, which possessed the most excellent denitrification capability, was hardly auto-aggregated. Apparently, the calcium-precipitation ability of strains was not positively correlated with self-aggregation ability, so there was something else that regulated cell aggregation and the mechanisms should be further explored.
From what had been analyzed above, among the four strains, strain X1 exhibited the most illustrious denitrification ability, on the contrary, strain X4 could hardly convert NO3−-N. As for calcium removal, the four strains all had excellent calcium removal efficiency. When it came to the auto-aggregation index, strain X3-1 showed incomparable auto-aggregation ability, while strain X1 was the opposite extreme. Although strain X1 showed poor auto-aggregation capability, its denitrification capability was quite strong. Hence, X1, X2, and X3-1 were chosen as the inoculation strains for further combined batch experiments. X1 was aimed at denitrification, and X2 and X3-1 were aimed at rapid granulation. According to the different properties of the three strains, they were combined as X1 + X2 and X1 + X3-1.
3.2. Characterization of Combined Strains
3.2.1. Removal and Aggregation Index of Combined Strains
The performance of single strains, X1, X2, X3-1, and their combined strains, X1 + X2, X1 + X3-1, were depicted in Figure 1b. In general, compared to the single strains, their combined strains had a downtrend in denitrification and an average level in calcium removal efficiency and aggregation capability. When the system was inoculated with the combinations of X1 + X2 and X1 + X3-1, the NO3−-N convert efficiencies were 51.42% and 46.19%, respectively, whose TIN removal efficiencies were 51.38% and 44.96%, respectively. However, the NO3−-N convert efficiencies and the TIN removal efficiencies of X1, X2, and X3-1 all exceeded 70%, which probably suggested the antagonist effect of X1 and X2, X1, and X3-1. The denitrification capability of the combination of X1 and X2 was slightly superior to that of the combination of X1 and X3-1, probably because of the better denitrification ability of X2 compared with X3-1. The antagonist effect was probably owing to the competition on carbon sources between strains. These isolated strains were denitrifying bacteria. During denitrification, denitrifying bacteria require organic carbon sources as electron donors and use oxygen from NO3− for anoxic respiration. When two or more denitrifying strains were in the same environment and carbon source was scarce, nitrogen would not be fully removed.
Nevertheless, the antagonist effect of the combinations had a tiny impact on calcium removal efficiency. The calcium removal efficiencies of X1, X2, X3-1, X1 + X2, and X1 + X3-1 were 91.45%, 100%, 91.85%, 88.15%, and 90.53%, respectively. The capabilities of calcium precipitation of the combined strains were still excellent.
As for the aggregation index, the combination was almost the average level of the corresponding single strains. Compared to the combination of X1 and X2, the combination of X1 and X3-1 showed stronger co-aggregation capability, with the aggregation index of 27.79%, which probably accounted for more excellent auto-aggregation performance of X3-1. The aggregation index of X1 + X2 and X1 + X3-1 was higher than that of X1 but lower than that of X2 and X3-1, which could be probably interpreted by the rather poor aggregation activity of X1.
Therefore, we could draw the inference that the combination of X1 + X3-1 exhibited higher aggregation ability but poorer denitrification ability than the combination of X1 + X2. Nevertheless, overall, the single strain X3-1 showed the most excellent aggregation ability and acceptable denitrification ability, which was favorable for the rapid cultivation of granular sludge capable of denitrification.
3.2.2. EPS Secretion of Combined Strains
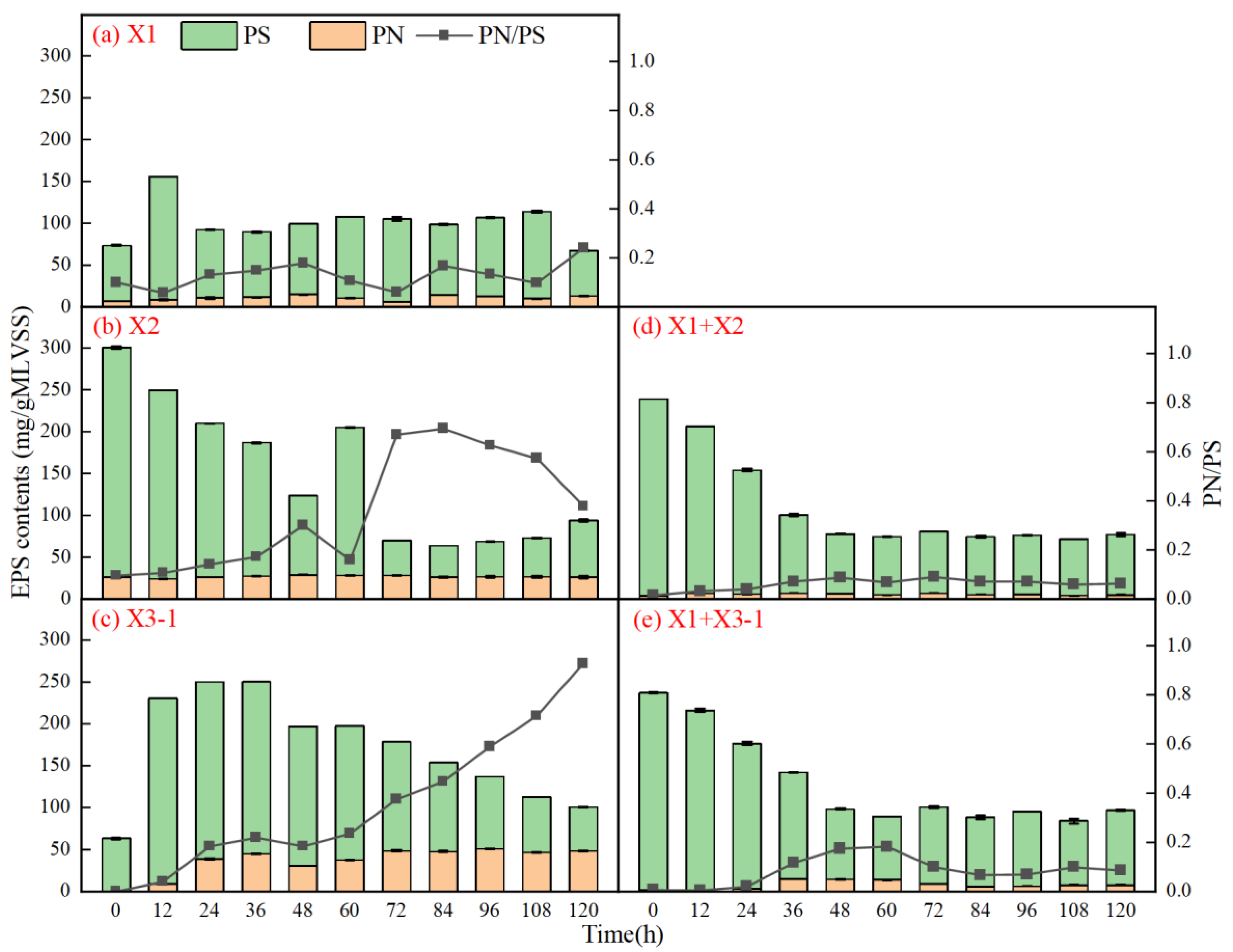
To figure out the mechanism involved in aggregation, it is necessary to detect the concentration of the EPS and N-acyl-homoserine lactones (AHLs) in the systems mentioned above. The concentrations of protein (PN), polysaccharide (PS), and the ratio of PN to PS of the five systems are exhibited in Figure 2. EPS plays an important role during the cell adhesion and the formation of aggregates and EPS is attached to the carrier surface or other bacteria [26]. EPS was typically reported to maintain the stability of the microbial community [27]. In Figure 2, the PN and PS content in EPS varied in systems inoculated with different stains but the common point was that the concentrations of PN in EPS were much lower than those of PS in EPS. Some studies have found that the PS content in EPS forms the cross-network structure with cells and it is propitious to the change of cell surface property and cell aggregates [27]. The concentrations of average EPS content of systems inoculated with X1, X2, X3-1, X1 + X2, and X1 + X3-1 were 100.82, 149.38, 169.95, 111.82, and 129.30 mg/g MLVSS, respectively. The average PS contents in EPS of systems inoculated with X1, X2, X3-1, X1 + X2, and X1 + X3-1 were 90.05, 122.78, 133.35, 106.53, and 121.60 mg/g MLVSS, respectively. The orders of the EPS and PS contents of the systems mentioned above both were X3-1 > X2 > X1 + X3-1 > X1 + X2 > X1, which were consistent with the order of the aggregation indices. It could be confirmed that EPS could promote cell adhesion and accelerated the aggregation of the bacterium. Therefore, the high PS and EPS contents of X1 + X3-1 could probably promote microbial aggregating to facilitate the formation of granular sludge in the early stage of SBRs and maintain sludge particle stability [28,29].
Figure 2.
PS, PN and PN/PS of X1(a), X2(b), X3-1 (c), X1 + X2 (d) and X1 + X3-1 (e).
Besides the high EPS and PS secretion capability of X1 + X3-1, the combination also showed better PN secretion capability compared to other strains. It was proposed that the PN is the core component of EPS in AGS and it is of significance for the internal structure establishment of granules and facilitates the formation of microbial aggregates and the sludge granulation [30]. According to Higgins, the PN in EPS played a more compact role in granulation than PS, it was found that adding protein degrading enzymes significantly reduced the sludge flocculation performance while adding polysaccharide degrading enzymes had little effect on the flocculation performance [31]. The average PN contents in EPS of systems inoculated with X1, X2, X3-1, X1 + X2, and X1 + X3-1 were 10.77, 26.60, 36.60, 5.29, and 7.71 mg/g MLVSS, respectively. The higher PN contents of X1 + X3-1 might suggest the combination was more favorable for AGS formation than X1 + X2.
The increase in PN/PS can reduce the repulsive force between the particles, thus accelerating the formation of granular sludges. The overall EPS showed negative surface charge values and the surface charge was correlated with the ratios of PN to PS, which was specifically manifested that the higher the PN/PS was, the lower the absolute value of the sludge surface charge was, and the better the effect of sludge granulation was [32]. The phenomenon mentioned above was also consistent with Liu’s research [30]. Therefore, it was suggested that the ratio of PN to PS could be regarded as an indicator of granulation [30]. It can be explained that PN is positively charged accounting for the hydrolysis of amino groups, while the PS has negative charges due to the hydrolysis of hydroxyl groups [33]. The higher the PN/PS ratio was, there were more charges for PN to neutralize, and the absolute value of the overall surface charge was lower, which was more conducive to granulation [30]. In Figure 2, the PN/PS ratios of the systems inoculated with X1, X1 + X2, and X1 + X3-1 were within the range of 0–0.3, exhibiting mild variation during the batch reactor experiments. In the system inoculated with X2, the PN/PS ratio increased from 0.09 to 0.67 within 72 h, which climbed the top of the curse with the PN/PS ratio of 0.69 at the 84th h. The PN/PS ratio of the system inoculated with X3-1 had been growing throughout the whole incubation period and the maximal ratio was 0.93 after 120 h, which was also the highest value among the five systems. It could be inferred that strain X3-1 could probably promote the process of granulation.
3.2.3. N-acyl-homoserine Lactones (AHLs) of Combined Strains
AHL-mediated QS (Quorum sensing) can induce the bacterial attached growth, promote the EPS production and accelerate the sludge granulation process [34,35], thus it is necessary to detect the concentrations of the N-acyl-homoserine lactones (AHLs) in the five batch reactors. There were two kinds of N-acyl-homoserine lactones (AHLs) detected, 3OC6-HSL and 3OC12-HSL, respectively, the concentration changes of which during the whole incubation period are depicted in Figure 3. In Figure 3a, 3OC6-HSL was only detected in the system inoculated in X1 + X3-1 of 1.39–1.59 ng/L. From Figure 3b, 3OC12-HSL was not detected in X1, and the order of the concentrations was X1 + X3-1 > X1 + X2 > X3-1 > X2 > X1. The part of the order of single strains was identical to the order of EPS production, which illustrated that 3OC12-HSL probably regulated the EPS secretion. According to the research of Zhang et al., 3OC12-HSL had a significant positive correlation with ATP and EPS content, and the increase in the content of ATP could promote the EPS synthesis, thus conducive to maintaining particle stability [36]. In general, the concentrations of N-acyl-homoserine lactones (AHLs) of the combined strains were both higher than those of the single strains, respectively. It is inferred that N-acyl-homoserine lactones (AHLs) in systems inoculated with combined strains might regulate other microbial activities and Quorum sensing (QS) between different strains might be more active.
Figure 3.
Profiles of 3OC6-HSL(a) and 3OC12-HSL(b) with X1, X2, X3-1, X1 + X2 and X1 + X3-1.
3.3. Performance of Granular Sludge in Sequencing Batch Reactors (SBRs)
3.3.1. Particle Size Distributions
To confirm the performance of X1 and X3-1 in terms of accelerating granulation, a blank control group (R1) and two SBRs inoculated with X3-1 (R2), X1 + X3-1 (R3) were operated in parallel. As shown in Figure 4, until day 62, sludge flocs were still dominant in R1, while signs of granulation had begun to show in R2 and R3 and a large cluster of small particles was observed in R2 and R3. On day 71, small particles begun to appear in R1 and particles in R2 and R3 obviously became larger (d1(0.5) = 93.31 mm, d2(0.5) = 178.37 mm, d3(0.5) = 160.73 mm). When it came to day 109, the particle sizes of the three SBRs were not different obviously from the naked eye, but the particles in R1 were much looser and lots of flocs were observed under an optical microscope, which suggested that the particles were cracked and the particle size was heterogeneous. Nevertheless, there was no doubt that the particles in R2 had the most compact structure with smooth edges. Moreover, flocculent sludge almost vanished and the particle size was well-proportioned in R2.
Figure 4.
The morphology of the aerobic granular sludge particles under optical microscopy (a), the particle size distribution of the aerobic granular sludge (b).
3.3.2. EPS Secretion
When it came to EPS secretion, it could be inferred from Figure 5A that the total TB-EPS concentrations in R2 and R3 during the whole operation period were higher than those in R1, especially on day 92. Moreover, the average PN/PS value in R2 was higher than that in R1 and R3 but close to R3 (the average PN/PS values were 0.22, 0.29, and 0.27, respectively). As was illustrated in Section 3.2.2, the total EPS content was significant to bacterial aggregation ability and higher EPS contents facilitate the cell aggregates in the early stage of granulation and the PN/PS value was an indicator to quantify the process of granulation because the hydrophobicity of protein was propitious to the capability of aggregating [37,38].
Figure 5.
(A) PN, PS, and PN/PS contents of R1, R2, and R3; the concentrations of NH4+-N, NO3−-N, NO2−-N, and TIN removal of R1 (B), R2 (C), and R3 (D).
3.3.3. Denitrification Performance
Inoculating the isolated strains had little impact on the nitrogen removal of the SBRs. The concentrations of NH4+-N, NO3−-N, NO2−-N, and TIN removal of SBRs after relatively stable granulation (day 61–day 89) are illustrated in Figure 5B–D. During the whole operation period, good removal of NH4+-N and TIN was achieved in three SBRs. The concentrations of NH4+-N and NO2−-N hovered around 0 mg/L demonstrating the complete nitrification. A difference appeared in NO3−-N that the concentration of R2 was relatively low (2.11 ± 0.72 mg/L) compared to that of R1 (4.15 ± 0.26 mg/L) and R3 (4.74 ± 0.46 mg/L), which revealed the better denitrification ability of R2 (TIN removal rate of R1, R2, and R3 were 80.61 ± 1.13%, 86.79 ± 2.08%, and 77.60 ± 1.76%, respectively). In general, nitrogen removal performance was improved in R2 but the converse in R3 inferred that denitrification was influenced by not only a single strain but also the diverse microbial community.
3.3.4. Richness and Diversity of Bacteria Phylotype
To investigate the diversity and structure of the microbial communities in the aerobic granules, Illumina pyrosequencing was employed. A comprehensive evaluation of the richness and diversity of the microorganism community of the four sludge samples was revealed in Table 1. The coverage indices of the four samples were all higher than 0.99, indicating that sequences extracted from samples could represent microbial communities well. Through the comparison of OTU, Ace, and Chao indices, it was suggested that casting calcium-precipitating strains obtained scarcer microbial communities in SBRs. The Ace index was in line with the Chao index and also verified the reduction of bacterial richness. The order of Shannon estimators was Seed > R1 > R2 > R3, and it was contrary to the order of the Simpson estimator, which illustrated that inoculating with the calcium-precipitating strains also lowered the microbial diversity [39]. Compared with the indices of the seeding sludges, the microbial richness and diversity were both largely decreased on account of the introduction of strains. In addition to the fact that diversity decreased during AGS formation [40,41], it was probably because the introduction of inoculated bacteria increased the competition for nutrients between inoculated and indigenous bacteria, which was also found between inoculated algae and bacteria in seed sludge [42]. In a word, it was concluded that the granular sludges accelerated by calcium-precipitating strains had lower richness and diversity than the seeding aerobic flocculent sludges and the granular sludges formed by hydraulic shear.
Table 1.
Similarity-based OTUs, richness, and diversity estimators of microbial communities of the granular consortia sampled in seed sludge, R1, R2, and R3, respectively.
3.3.5. Microorganisms Community
The taxonomic affiliation of the dominant bacterium at phylum, class, and genus levels were shown in Figure 6. It was distinct from Figure 6a that the dominant phyla and classes from the four SBRs were similar, notwithstanding some shifts in the relative abundances. Proteobacteria was the first predominant phylum in all the sludge samples, accounting for 39.6%, 59.8%, 51.5%, and 65.8% in seeding sludges, R1, R2, and R3, respectively. Proteobacteria (including Alphaproteobacteria and Gammaproteobacteria at class level detected in Figure 6b) comprise most microorganisms relevant to biological nitrogen removals, such as ammonium-oxidizing bacteria (AOB), nitrite-oxidizing bacteria (NOB) and denitrifying bacteria (DNB) [43]. The following dominant bacteria phyla were Bacteroidota (15.2%, 8.7%, 15.2%, and 10.8%), Chloroflexi (13.6%, 12.1%, 9.4%, and 5.2%), and Patescibacteria (13.8%, 3.3%, 7.7%, and 6.2%), and Chloroflexi were the second dominant phyla in R1, yet other samples were Bateroidota. Briefly, Proteobacteria, Bacteroidota, Chloroflexi, and Patescibacteria were ubiquitous in the activated and granular sludges [44,45]. Bateroidota could degrade high molecular weight compounds [46] and utilized the second substrate from hydrolytic fermentation for proliferation under the anaerobic oligotrophic condition. A variety of metabolic functions were possessed by Chloroflexi, and they were able to degrade macromolecules and cell materials in hypoxia and aerobic environments [47]. Other phyla with relatively high abundance were Acidobacteriota, Myxococcota, and Actinobacteria. Acidobacteriota and Actinobacteriota, were mainly in relation to the degradation of organisms and the formation of humus [48]. According to many studies, many filamentous bacteria leading to sludge expansion belong to Actinobacteria [49]. Compared with the relative abundance of Actinobacteria in R2 and R3 (1.0% and 1.9%, respectively), the abundance in R1 of that was higher and closer to that of seeding sludge, illustrating the risk of sludge expansion.

Figure 6.
(a) The percent of community abundance on phylum level. (b) The percent of community abundance on class level. (c) The heatmap of microbes at the genus level.
Figure 6b shows the relative abundance on the class level in the four systems. The first dominant class in all systems was Gammaproteobacteria (27.2%, 42.8%, 42.8%, and 54.2% relative abundance of seeding sludge, R1, R2, and R3, respectively), which was recognized as EPS secreting bacterium propitious to the granulation of aerobic sludge [45]. The relative abundance of R3 was observably higher than that of the other three samples, which corresponded with the results of the higher EPS content for R3. In addition, Gammaproteobacteria was also capable of denitrification, demonstrating the potential for nitrogen removal [50]. The following predominant classes were Alphaproteobacteria (12.4%, 17.1%, 8.7%, and 11.6%), Bacteroides (12.2%, 6.3%, 13.4%, and 9.5%), Anaerolineae (10.8%, 9.2%, 7.9%, and 3.8%), and Parcubacteria (1.4%, 1.4%, 4.9%, and 4.3%), yet the relative abundance of Gracilibacteria in seeding sludge was comparatively higher than other three samples. Compared to the other three systems, Bacteroidia was enriched in R2, which was in favor of hydrolysis and fermentation of organisms [51]. Anaerolineae was also capable of hydrolysis and fermentation of organisms [52].
The top 50 dominant genera analyzed from the four systems were revealed in the heatmap (Figure 6c). The two genera with the highest relative abundance were Candidatus_Competibacter and Defluviicoccus, which both had the capability of denitrification, thus named denitrifying glycogen accumulating organisms (DGAOs). Candidatus_Competibacter showed the highest relative abundance in R3 (43.0%), followed by R2 (32.9%), and the lowest in R1 (26.0%). Moreover, they were higher than that of seeding sludge, suggesting the significance of Candidatus_Competibacter during the formation of the granular sludge. Candidatus_Competibacter could produce a kind of special PS that was in a colloidal state and this increased the adhesion of EPS and promoted cell aggregation and formation of compact granules in AGS [53]. The relative abundance of DGAOs was 20.2%, 35.0%, 35.0%, and 47.8% in seeding sludge, R1, R2, and R3, respectively. Moreover, the nitrogen removal was bound up with the abundance of DGAOs [54]. Filaments were closely linked to the granulation and the stability of particles, and there were two frequently detected genera in the top 50 predominant genera, Thiothrix, and norank_f_Caldilineaceae. Compared to the relative abundance of filaments in seeding sludge (1.2%), there was an increase in both R1 (1.8%) and R2 (2.7%), and a decrease in R3 (0.5%). Generally speaking, filaments were regarded as a vital element that contributed to sludge bulking, nevertheless, filamentous bacteria without excessive reproduction could be served as the particle skeleton in the process of granular sludge formation and it might explain why the particles of R2 were larger and more complete than those of R3, and the surface of the particles was smoother in the case of more DGAOs in R3.
4. Conclusions
Four denitrifying bacterial strains were isolated from mature AGS. Mycobacterium senegalense X3-1 had excellent aggregation and good denitrification ability. Strain X3-1 exhibited the highest EPS production and relatively higher AHLs secretion, demonstrating its superiority in promoting granulation. By more than 10 days earlier than R1 (blank control group), aerobic granules were successfully achieved in SBR inoculated with X3-1 and the particles were much more compact. The introduction of strains reduced the richness and diversity of the bacterial community. The relative abundance of Candidatus_Competibacter increased in the systems inoculated with X3-1, thus leading to faster granulation and better denitrification capability. In summary, it is suggested that strain X3-1 had the prospective potential for the rapid formation and the stability of granules.
Author Contributions
Conceptualization, Methodology, Formal analysis, Investigation, Writing—Original Draft, Data Curation, S.Z.; Funding acquisition, Validation, Y.X.; R.C.; Writing—Review and Editing, R.C.; Formal analysis, X.H.; Data Curation, B.W.; Resources, W.G.; Investigation, H.H., R.W., M.H.; Supervision, D.Z.; Writing—Review and Editing, Supervision, Project administration, Funding acquisition: H.W., C.W. All authors have read and agreed to the published version of the manuscript.
Funding
This work was financially supported by the National Natural Science Foundation of China (NSFC, China) (No. 51878517) and the Henan Key Laboratory of Industrial Microbial Resources and Fermentation Technology (HIMFT20190101).
Data Availability Statement
Not applicable.
Acknowledgments
The authors are grateful to the National Natural Science Foundation of China (NSFC, China) and the Henan Key Laboratory of Industrial Microbial Resources and Fermentation Technology for sponsoring the project. The authors would also like to thank Wanlin Lyu who provided helpful comments and suggestions that improved the paper. Finally, the authors would like to thank the journal reviewers, whose constructive and relevant comments significantly improved the paper.
Conflicts of Interest
The authors declare no conflict of interest. The funders had no role in the design of the study; in the collection, analyses, or interpretation of data; in the writing of the manuscript, or in the decision to publish the results.
References
- Nancharaiah, Y.V.; Kiran Kumar Reddy, G. Aerobic granular sludge technology: Mechanisms of granulation and biotechnological applications. Bioresour. Technol. 2018, 247, 1128–1143. [Google Scholar] [CrossRef] [PubMed]
- Cai, W.; Jin, M.; Zhao, Z.; Lei, Z.; Zhang, Z.; Adachi, Y.; Lee, D.-J. Influence of ferrous iron dosing strategy on aerobic granulation of activated sludge and bioavailability of phosphorus accumulated in granules. Bioresour. Technol. Rep. 2018, 2, 7–14. [Google Scholar] [CrossRef]
- Hailei, W.; Li, L.; Ping, L.; Hui, L.; Guosheng, L.; Jianming, Y. The acceleration of sludge granulation using the chlamydospores of Phanerochaete sp. HSD. J. Hazard. Mater. 2011, 192, 963–969. [Google Scholar] [CrossRef] [PubMed]
- Jiang, Y.; Shang, Y.; Wang, H.; Yang, K. Rapid formation and pollutant removal ability of aerobic granules in a sequencing batch airlift reactor at low temperature. Environ. Technol. 2016, 37, 3078–3085. [Google Scholar] [CrossRef]
- Zhang, Y.; Dong, X.; Nuramkhaan, M.; Lei, Z.; Shimizu, K.; Zhang, Z.; Adachi, Y.; Lee, D.-J.; Tay, J.H. Rapid granulation of aerobic granular sludge: A mini review on operation strategies and comparative analysis. Bioresour. Technol. Rep. 2019, 7, 100206. [Google Scholar] [CrossRef]
- Li, A.-J.; Li, X.-Y.; Yu, H. Aerobic sludge granulation facilitated by activated carbon for partial nitrification treatment of ammonia-rich wastewater. Chem. Eng. J. 2013, 218, 253–259. [Google Scholar] [CrossRef] [Green Version]
- Wilderer, P.A.; McSwain, B.S. The SBR and its biofilm application potentials. Water Sci. Technol. 2004, 50, 1–10. [Google Scholar] [CrossRef]
- Ivanov, V.; Wang, X.-H.; Stabnikova, O. Starter culture of Pseudomonas veronii strain B for aerobic granulation. World J. Microbiol. Biotechnol. 2007, 24, 533–539. [Google Scholar] [CrossRef]
- Jiang, H.L.; Tay, J.H.; Maszenan, A.M.; Tay, S.T.L. Enhanced phenol biodegradation and aerobic granulation by two coaggregating bacterial strains. Environ. Sci. Technol. 2006, 40, 6137–6142. [Google Scholar] [CrossRef]
- Liang, J.; Li, W.; Zhang, H.; Jiang, X.; Wang, L.; Liu, X.; Shen, J. Coaggregation mechanism of pyridine-degrading strains for the acceleration of the aerobic granulation process. Chem. Eng. J. 2018, 338, 176–183. [Google Scholar] [CrossRef]
- Jiang, H.L.; Tay, J.H.; Liu, Y.; Tay, S.T.L. Ca2+ augmentation for enhancement of aerobically grown microbial granules in sludge blanket reactors. Biotechnol. Lett. 2003, 25, 95–99. [Google Scholar] [CrossRef] [PubMed]
- Liu, L.; Gao, D.W.; Zhang, M.; Fu, Y. Comparison of Ca2+ and Mg2+ enhancing aerobic granulation in SBR. J. Hazard. Mater. 2010, 181, 382–387. [Google Scholar] [CrossRef] [PubMed]
- Su, J.F.; Shi, J.X.; Ma, F. Aerobic denitrification and biomineralization by a novel heterotrophic bacterium, Acinetobacter sp. H36. Mar. Pollut Bull. 2017, 116, 209–215. [Google Scholar] [CrossRef] [PubMed]
- Buswell, C.M.; Herlihy, Y.M.; Marsh, P.D.; Keevil, C.W.; Leach, S.A. Coaggregation amongst aquatic biofilm bacteria. J. Appl. Microbiol. 1997, 83, 477–484. [Google Scholar] [CrossRef]
- Shuai, J.; Hu, X.; Wang, B.; Lyu, W.; Chen, R.; Guo, W.; Wang, H.; Zhou, D. Response of aerobic sludge to AHL-mediated QS: Granulation, simultaneous nitrogen and phosphorus removal performance. Chin. Chem. Lett. 2021, 32, 3402–3409. [Google Scholar] [CrossRef]
- Maddela, N.R.; Sheng, B.; Yuan, S.; Zhou, Z.; Villamar-Torres, R.; Meng, F. Roles of quorum sensing in biological wastewater treatment: A critical review. Chemosphere 2019, 221, 616–629. [Google Scholar] [CrossRef] [PubMed]
- Szabó, E.; Hermansson, M.; Modin, O.; Persson, F.; Wilén, B.-M. Effects of Wash-Out Dynamics on Nitrifying Bacteria in Aerobic Granular Sludge During Start-Up at Gradually Decreased Settling Time. Water 2016, 8, 172. [Google Scholar] [CrossRef]
- He, Q.; Zhang, S.; Zou, Z.; Zheng, L.A.; Wang, H. Unraveling characteristics of simultaneous nitrification, denitrification and phosphorus removal (SNDPR) in an aerobic granular sequencing batch reactor. Bioresour. Technol. 2016, 220, 651–655. [Google Scholar] [CrossRef]
- APHA. Standard Methods for the Examination of Water and Wastewater; APHA: Washington, DC, USA, 2005. [Google Scholar]
- Li, X.Y.; Yang, S.F. Influence of loosely bound extracellular polymeric substances (EPS) on the flocculation, sedimentation and dewaterability of activated sludge. Water Res. 2007, 41, 1022–1030. [Google Scholar] [CrossRef]
- He, Q.; Song, Q.; Zhang, S.; Zhang, W.; Wang, H. Simultaneous nitrification, denitrification and phosphorus removal in an aerobic granular sequencing batch reactor with mixed carbon sources: Reactor performance, extracellular polymeric substances and microbial successions. Chem. Eng. J. 2018, 331, 841–849. [Google Scholar] [CrossRef]
- He, Q.; Yuan, Z.; Zhang, J.; Zhang, S.; Zhang, W.; Zou, Z.; Wang, H. Insight into the impact of ZnO nanoparticles on aerobic granular sludge under shock loading. Chemosphere 2017, 173, 411–416. [Google Scholar] [CrossRef] [PubMed]
- Chen, H.; Li, A.; Cui, C.; Ma, F.; Cui, D.; Zhao, H.; Wang, Q.; Ni, B.; Yang, J. AHL-mediated quorum sensing regulates the variations of microbial community and sludge properties of aerobic granular sludge under low organic loading. Environ. Int. 2019, 130, 104946. [Google Scholar] [CrossRef] [PubMed]
- Wang, H.; He, Q.; Chen, D.; Wei, L.; Zou, Z.; Zhou, J.; Yang, K.; Zhang, H. Microbial community in a hydrogenotrophic denitrification reactor based on pyrosequencing. Appl. Microbiol. Biotechnol. 2015, 99, 10829–10837. [Google Scholar] [CrossRef] [PubMed]
- He, Q.; Zhang, J.; Gao, S.; Chen, L.; Lyu, W.; Zhang, W.; Song, J.; Hu, X.; Chen, R.; Wang, H.; et al. A comprehensive comparison between non-bulking and bulking aerobic granular sludge in microbial communities. Bioresour. Technol. 2019, 294, 122151. [Google Scholar] [CrossRef]
- Zhang, D.; Li, W.; Hou, C.; Shen, J.; Jiang, X.; Sun, X.; Li, J.; Han, W.; Wang, L.; Liu, X. Aerobic granulation accelerated by biochar for the treatment of refractory wastewater. Chem. Eng. J. 2017, 314, 88–97. [Google Scholar] [CrossRef]
- Tay, J.H.; Liu, Q.S.; Liu, Y. The role of cellular polysaccharides in the formation and stability of aerobic granules. Lett. Appl. Microbiol. 2001, 33, 222–226. [Google Scholar] [CrossRef] [Green Version]
- Chen, M.Y.; Lee, D.J.; Tay, J.H. Distribution of extracellular polymeric substances in aerobic granules. Appl. Microbiol. Biotechnol. 2007, 73, 1463–1469. [Google Scholar] [CrossRef]
- Adav, S.S.; Lee, D.J.; Tay, J.H. Extracellular polymeric substances and structural stability of aerobic granule. Water Res. 2008, 42, 1644–1650. [Google Scholar] [CrossRef]
- Liu, X.; Liu, J.; Deng, D.; Li, R.; Guo, C.; Ma, J.; Chen, M. Investigation of extracellular polymeric substances (EPS) in four types of sludge: Factors influencing EPS properties and sludge granulation. J. Water Process. Eng. 2021, 40, 101924. [Google Scholar] [CrossRef]
- Higgins, M.J.; Novak, J.T. Characterization of exocellular protein and its role in bioflocculation. J. Environ. Eng.-Asce 1997, 123, 479–485. [Google Scholar] [CrossRef]
- Morgan, J.W.; Forster, C.F.; Evison, L. A comparative study of the nature of biopolymers extracted from anaerobic and activated sludges. Water Res. 1990, 24, 743–750. [Google Scholar] [CrossRef]
- Yan, L.; Liu, Y.; Wen, Y.; Ren, Y.; Hao, G.; Zhang, Y. Role and significance of extracellular polymeric substances from granular sludge for simultaneous removal of organic matter and ammonia nitrogen. Bioresour. Technol. 2015, 179, 460–466. [Google Scholar] [CrossRef] [PubMed]
- Ren, T.T.; Yu, H.Q.; Li, X.Y. The quorum-sensing effect of aerobic granules on bacterial adhesion, biofilm formation, and sludge granulation. Appl. Microbiol. Biotechnol. 2010, 88, 789–797. [Google Scholar] [CrossRef] [PubMed] [Green Version]
- Ji, Y.; Yu, H.; Cao, R.; Xu, X.; Zhu, L. Promoting the granulation process of aerobic sludge via a sustainable strategy of effluent reflux in view of AHLs-mediated quorum sensing. J. Environ. Manag. 2021, 303, 114091. [Google Scholar] [CrossRef] [PubMed]
- Zhang, Z.; Cao, R.; Jin, L.; Zhu, W.; Ji, Y.; Xu, X.; Zhu, L. The regulation of N-acyl-homoserine lactones (AHLs)-based quorum sensing on EPS secretion via ATP synthetic for the stability of aerobic granular sludge. Sci. Total Environ. 2019, 673, 83–91. [Google Scholar] [CrossRef]
- Liu, X.; Wu, S.; Zhang, D.; Shen, J.; Han, W.; Sun, X.; Li, J.; Wang, L. Simultaneous pyridine biodegradation and nitrogen removal in an aerobic granular system. J. Environ. Sci. (China) 2018, 67, 318–329. [Google Scholar] [CrossRef]
- Dong, J.; Zhang, Z.; Yu, Z.; Dai, X.; Xu, X.; Alvarez, P.J.J.; Zhu, L. Evolution and functional analysis of extracellular polymeric substances during the granulation of aerobic sludge used to treat p-chloroaniline wastewater. Chem. Eng. J. 2017, 330, 596–604. [Google Scholar] [CrossRef]
- Xiong, H.; Dong, S.; Zhang, J.; Zhou, D.; Rittmann, B.E. Roles of an easily biodegradable co-substrate in enhancing tetracycline treatment in an intimately coupled photocatalytic-biological reactor. Water Res. 2018, 136, 75–83. [Google Scholar] [CrossRef]
- Tang, P.; Yu, D.; Chen, G.; Zhang, P.; Wang, X.; Liu, C.; Huang, S. Novel aerobic granular sludge culture strategy: Using granular sludge Anammox process effluent as a biocatalyst. Bioresour. Technol. 2019, 294, 122156. [Google Scholar] [CrossRef]
- Cai, F.; Lei, L.; Li, Y.; Chen, Y. A review of aerobic granular sludge (AGS) treating recalcitrant wastewater: Refractory organics removal mechanism, application and prospect. Sci. Total Environ. 2021, 782, 146852. [Google Scholar] [CrossRef]
- He, Q.; Chen, L.; Zhang, S.; Chen, R.; Wang, H.; Zhang, W.; Song, J. Natural sunlight induced rapid formation of water-born algal-bacterial granules in an aerobic bacterial granular photo-sequencing batch reactor. J. Hazard. Mater. 2018, 359, 222–230. [Google Scholar] [CrossRef] [PubMed]
- Wang, Y.; Chen, J.; Zhou, S.; Wang, X.; Chen, Y.; Lin, X.; Yan, Y.; Ma, X.; Wu, M.; Han, H. 16S rRNA gene high-throughput sequencing reveals shift in nitrogen conversion related microorganisms in a CANON system in response to salt stress. Chem. Eng. J. 2017, 317, 512–521. [Google Scholar] [CrossRef]
- Ding, H.H.H.; Chang, S.; Liu, Y. Biological hydrolysis pretreatment on secondary sludge: Enhancement of anaerobic digestion and mechanism study. Bioresour. Technol. 2017, 244, 989–995. [Google Scholar] [CrossRef] [PubMed]
- He, Q.; Zhou, J.; Wang, H.; Zhang, J.; Wei, L. Microbial population dynamics during sludge granulation in an A/O/A sequencing batch reactor. Bioresour. Technol. 2016, 214, 1–8. [Google Scholar] [CrossRef] [PubMed]
- Wang, J.; Gong, B.; Huang, W.; Wang, Y.; Zhou, J. Bacterial community structure in simultaneous nitrification, denitrification and organic matter removal process treating saline mustard tuber wastewater as revealed by 16S rRNA sequencing. Bioresour. Technol. 2017, 228, 31–38. [Google Scholar] [CrossRef] [PubMed]
- Miura, Y.; Watanabe, Y.; Okabe, S. Significance of Chloroflexi in performance of submerged membrane Bioreactors (MBR) treating municipal wastewater. Environ. Sci. Technol. 2007, 41, 7787–7794. [Google Scholar] [CrossRef]
- Cheng, C.; Zhou, Z.; Niu, T.; An, Y.; Shen, X.; Pan, W.; Chen, Z.; Liu, J. Effects of side-stream ratio on sludge reduction and microbial structures of anaerobic side-stream reactor coupled membrane bioreactors. Bioresour. Technol. 2017, 234, 380–388. [Google Scholar] [CrossRef]
- Kindaichi, T.; Yamaoka, S.; Uehara, R.; Ozaki, N.; Ohashi, A.; Albertsen, M.; Nielsen, P.H.; Nielsen, J.L. Phylogenetic diversity and ecophysiology of Candidate phylum Saccharibacteria in activated sludge. Fems Microbiol. Ecol. 2016, 92, fiw078. [Google Scholar] [CrossRef] [Green Version]
- Lu, H.; Chandran, K.; Stensel, D. Microbial ecology of denitrification in biological wastewater treatment. Water Res. 2014, 64, 237–254. [Google Scholar] [CrossRef]
- Baldwin, S.A.; Khoshnoodi, M.; Rezadehbashi, M.; Taupp, M.; Hallam, S.; Mattes, A.; Sanei, H. The microbial community of a passive biochemical reactor treating arsenic, zinc, and sulfate-rich seepage. Front. Bioeng. Biotechnol. 2015, 3, 27. [Google Scholar] [CrossRef]
- Hou, Y.-N.; Yang, C.; Zhou, A.; Liu, W.; Liu, C.; Cai, W.-W.; Zhou, J.; Wang, A.-J. Microbial community response and SDS-PAGE reveal possible mechanism of waste activated sludge acidification enhanced by microaeration coupled thermophilic pretreatment. Process. Biochem. 2018, 64, 1–8. [Google Scholar] [CrossRef] [Green Version]
- Seviour, T.W.; Lambert, L.K.; Pijuan, M.; Yuan, Z.G. Selectively inducing the synthesis of a key structural exopolysaccharide in aerobic granules by enriching for Candidatus “Competibacter phosphatis”. Appl. Microbiol. Biotechnol. 2011, 92, 1297–1305. [Google Scholar] [CrossRef] [PubMed]
- Du, S.; Yu, D.; Zhao, J.; Wang, X.; Bi, C.; Zhen, J.; Yuan, M. Achieving deep-level nutrient removal via combined denitrifying phosphorus removal and simultaneous partial nitrification-endogenous denitrification process in a single-sludge sequencing batch reactor. Bioresour. Technol. 2019, 289, 121690. [Google Scholar] [CrossRef] [PubMed]
Publisher’s Note: MDPI stays neutral with regard to jurisdictional claims in published maps and institutional affiliations. |
© 2022 by the authors. Licensee MDPI, Basel, Switzerland. This article is an open access article distributed under the terms and conditions of the Creative Commons Attribution (CC BY) license (https://creativecommons.org/licenses/by/4.0/).






