Biogeochemical Behavior of Lead and Nickel as Influenced by Phosphatic Fertilizer Applied to Rice (Oryza sativa L.) Cultivars Grown under City Effluent Irrigation
Abstract
:1. Introduction
2. Materials and Methods
2.1. Soil Sampling and Its Characterization
2.2. Characteristics of Faisalabad City Effluent
2.3. Rice Nursery and Its Transplantation
2.4. Experimental Setup and Design
2.5. Plant Sampling and Analysis
2.6. Statistical Analysis
3. Results and Discussion
3.1. Rice Growth and Yield Responses
3.1.1. Number of Tillers per Hill and Plant Height
3.1.2. Rice Root and Shoot Dry Weight
3.1.3. Paddy Yield and 1000 Grain Weight
3.2. Rice Physiological Responses
3.3. Concentration of Ni and Pb
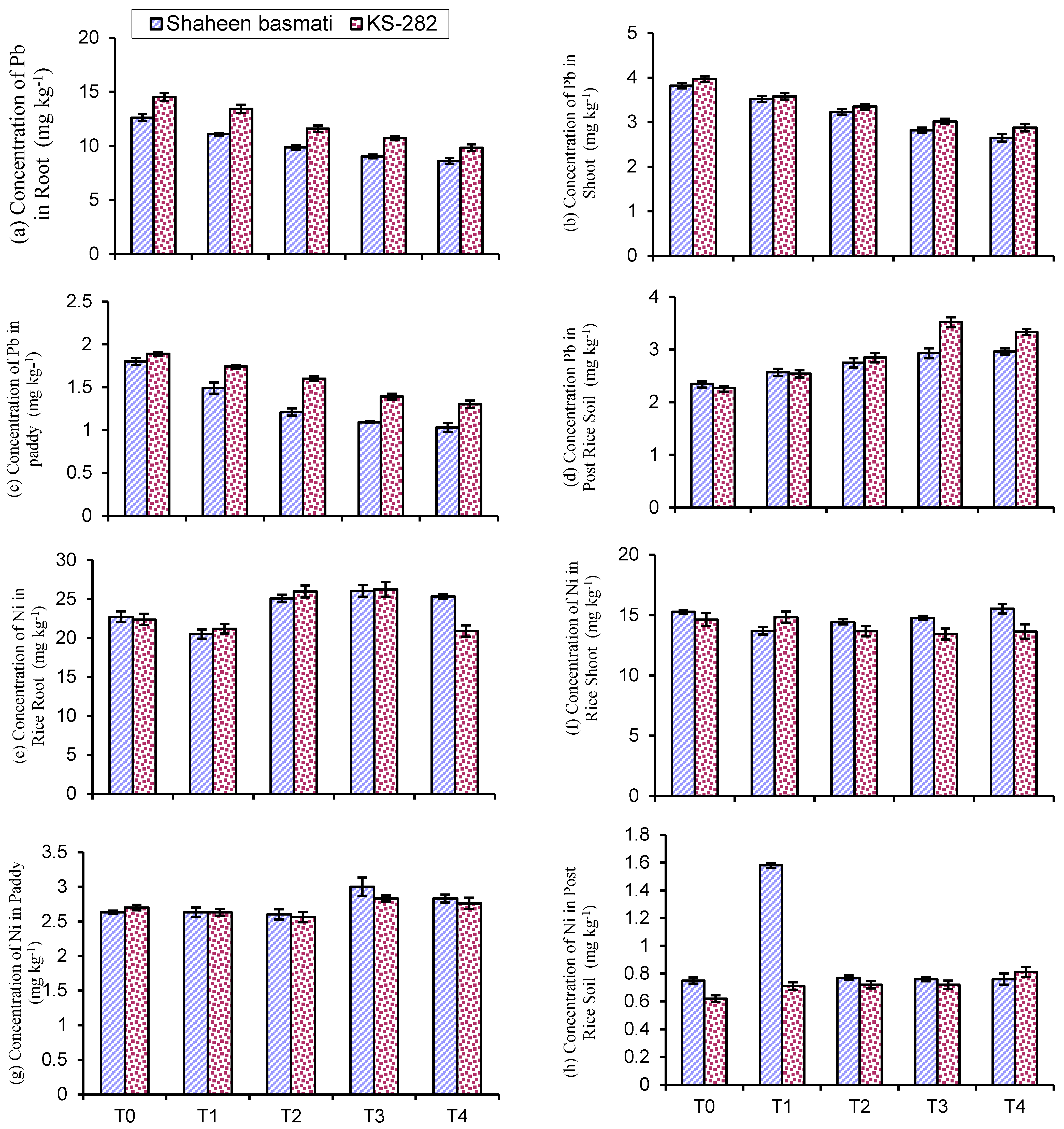
3.3.1. Concentration of Pb in Root, Shoot and Paddy
3.3.2. Concentration of Ni in Root, Shoot and Paddy
3.3.3. Post Harvest Soil Pb and Ni Concentration
3.4. Accumulation Pattern of Pb and Ni in Root, Shoot and Paddy
4. Conclusions
Author Contributions
Funding
Institutional Review Board Statement
Informed Consent Statement
Data Availability Statement
Acknowledgments
Conflicts of Interest
References
- GOP. Economic Survey of Pakistan 2020–2021; Ministry of Finance, Government of Pakistan: Islamabad, Pakistan, 2021.
- Hashmi, A.; Bhatti, A.I.; Ahmed, S.; Ur Rehman Tariq, M.A.; Savitsky, A. Revisiting the Indus Basin Model for an energy sustainable Pakistan. Water 2022, 14, 702. [Google Scholar] [CrossRef]
- Murtaza, G.; Shehzad, M.T.; Kanwal, S.; Farooqi, Z.; Ownes, G. Biomagnification of potentially toxic elements in animals consuming fodder irrigated with sewage water. Environ. Geochem. Health 2022. [Google Scholar] [CrossRef] [PubMed]
- Zeeshan, N.; Nasir, A.A.; Haider, F.U.; Naveed, K.; Naseer, S.; Murtaza, G. Risk assessment of trace metals deposition and growth of Abelmochus esculentus L. on industrially polluted soils of Faisalabad, Pakistan. Pak. J. Agric. Sci. 2021, 58, 881–889. [Google Scholar] [CrossRef]
- Iqbal, M.M.; Naz, T.; Rehman, H.; Nawaz, S.; Qayyum, M.A.; Zafar, M.I.; Farooq, O.; Rehman, R.; Imtiaz, M.; Murtaza, G.; et al. Impact of farm manure application on maize growth and tissue Pb concentration grown on different textured saline-sodic Pb-toxic soils. Asian J. Agric. Biol. 2020, 8, 52–60. [Google Scholar] [CrossRef]
- Iqbal, S.; Naz, T.; Sattar, M.A. Challenges and opportunities linked with waste management under global perspective: A mini review. J. Qual. Assur. Agric. Sci. 2021, 1, 9–13. [Google Scholar] [CrossRef]
- Iqbal, M.M.; Murtaza, G.; Naz, T.; Niaz, A.; Mehdi, S.M.; Rehman, A. Genotypic differences in rice cultivars for lead (Pb) tolerance in salt affected soil. J. Agric. Res. 2017, 55, 627–637. [Google Scholar]
- Iqbal, M.M.; Murtaza, G.; Naz, T.; Hussain, A.; Button, M.; Laing, G.D. Pb fractionation and redistribution as affected by applied inorganic amendments under different soil moisture regimes and incubation time in saline–sodic Pb-polluted paddy soil. Paddy Water Environ. 2018, 16, 875–885. [Google Scholar] [CrossRef]
- Shahid, M. Biogeochemical Behavior of Heavy Metals in Soil-Plant System; Higher Education Commission: Islamabad, Pakistan, 2017; p. 577.14-dc23. ISBN 978-969-417-195-1. Available online: https://prr.hec.gov.pk/jspui/handle/123456789//49 (accessed on 8 February 2022).
- Amjad, M.; Raza, H.; Murtaza, B.; Abbas, G.; Imran, M.; Shahid, M.; Naeem, M.A.; Zakir, A.; Iqbal, M.M. Nickel toxicity induced changes in nutrient dynamics and antioxidant profiling in two maize (Zea mays L.) hybrids. Plants 2020, 9, 5. [Google Scholar] [CrossRef] [Green Version]
- Alloway, B.J. Heavy Metals in Soils: Trace Metals and Metalloids in Soils and Their Bioavailability, 3rd ed.; Springer: Dordrecht, The Netherlands, 2012; 614p, ISBN 978-94-007-4469-1. [Google Scholar] [CrossRef]
- Marschner, H. Mineral Nutrition of Higher Plants, 3rd ed.; Academic Press: San Diego, CA, USA, 2012; ISBN 978-0-12-384905-2. [Google Scholar] [CrossRef]
- Ensink, J.H.J.; Mahmood, T.; Van der Hoek, W.; Raschid-Sally, L.; Amerasinghe, F.P. A nation-wide assessment of wastewater use in Pakistan: An obscure activity or a vitally important one. Water Policy 2004, 6, 197–206. [Google Scholar] [CrossRef]
- Baig, I.A.; Ashfaq, M.; Hassan, I.; Javed, M.I.; Khurshid, W.; Ali, A. Economic impacts of wastewater irrigation in Punjab, Pakistan. J. Agric. Res. 2011, 49, 5–14. [Google Scholar]
- Murtaza, G.; Ghafoor, A.; Rehman, M.Z.; Sabir, M.; Naeem, A. Phytodiversity for metals in plants grown in urban agricultural lands irrigated with untreated city effluent. Commun. Soil Sci. Plant Anal. 2012, 43, 1181–1201. [Google Scholar] [CrossRef]
- Iqbal, M.M.; Naz, T.; Zafar, M.I.; Imtiaz, M.; Farooq, O.; Rehman, A.; Ali, S.; Rizwan, M.; Hussain, S.; Javed, W.; et al. Green remediation of saline–sodic Pb-factored soil by growing salt-tolerant rice cultivar along with soil applied inorganic amendments. Paddy Water Environ. 2020, 18, 637–649. [Google Scholar] [CrossRef]
- Mehdi, S.M.; Abbas, G.; Sarfraz, M.; Abbas, S.T.; Hussain, G. Effect of industrial effluents on mineral nutrition of rice and soil health. Pak. J. Appl. Sci. 2003, 3, 462–473. [Google Scholar] [CrossRef] [Green Version]
- Iqbal, M.M.; Murtaza, G.; Mehdi, S.M.; Naz, T.; Rehman, A.; Farooq, O.; Ali, M.; Sabir, M.; Ashraf, M.; Sarwar, G.; et al. Evaluation of phosphorus and zinc interaction effects on wheat grown in saline-sodic soil. Pak. J. Agric. Sci. 2017, 54, 531–537. [Google Scholar] [CrossRef]
- Rahimi, T.; Ronaghi, A. Influence of phosphorus on the reduction of cadmium phytotoxicity in spinach grown on a calcareous soil. JWSS Isfahan Univ. Technol. 2012, 16, 75–85. [Google Scholar]
- Ma, Q.; Logan, T.J.; Traina, S.J. Lead immobilization from aqueous solutions and contaminated soils using phosphate rocks. J. Environ. Sci. Technol. 1995, 29, 1118–1126. [Google Scholar] [CrossRef]
- Ryan, J.A.; Zhang, P.; Hesterberg, D.; Chou, J.; Saters, D.E. Formation of chloromorphite in a lead-contaminated soil amended with hydroxy-apatite. J. Environ. Sci. Technol. 2001, 35, 3798–3803. [Google Scholar] [CrossRef] [Green Version]
- Zwonitzer, J.C.; Pierzynski, G.M.; Hettiarachi, G.M. Effect of phosphorus addition on lead, cadmium and zinc bioavailability in a metal contaminated soil. Water Air Soil Pollut. 2001, 143, 193–209. [Google Scholar] [CrossRef]
- Kalavrouziotis, I.K.; Koukoulakis, P.H.; Manouris, G.; Papadopulo, A.H. Interactions between cadmium, lead, cobalt, and nickel in Broccoli, irrigated with treated municipal wastewater. Eur. Water 2009, 25–26, 13–19. [Google Scholar]
- Murtaza, G.; Javed, W.; Hussain, A.; Wahid, A.; Murtaza, B.; Owens, G. Metal uptake via phosphate fertilizer and city sewage in cereal and legume crops in Pakistan. Environ. Sci. Pollut. Res. 2015, 22, 9136–9147. [Google Scholar] [CrossRef]
- Ullah, A.; Ali, M.; Shahzad, K.; Ahmad, F.; Iqbal, S.; Rahman, M.H.; Ahmad, S.; Iqbal, M.M.; Danish, S.; Fahad, S.; et al. Impact of seed dressing and soil application of potassium humate on cotton plants productivity and fiber quality. Plants 2020, 9, 1444. [Google Scholar] [CrossRef] [PubMed]
- Bouyoucos, G.J. Hydrometer method improved for making particle size analysis of soils. Agron. J. 1962, 54, 464–465. [Google Scholar] [CrossRef]
- Amacher, M.C. Nickel, cadmium, and lead. In Methods of Soil Analysis, Part 3. Chemical Methods, 3rd ed.; Sparks, D.L., Ed.; SSSA/ASA: Madison, WI, USA, 1996; pp. 739–768. [Google Scholar]
- U.S. Salinity Lab. Staff. Diagnosis and Improvement of Saline and Alkali Soils. USDA Handbook No. 60; U.S. Salinity Lab. Staff: Washington, DC, USA, 1954. [Google Scholar]
- Jackson, M.L. Soil Chemical Analysis, 1st ed.; Constable and Co. Ltd.: London, UK, 1962. [Google Scholar]
- Moodie, C.D.; Smith, H.W.; McCreery, R.A. Laboratory Manual for Soil Fertility, (Mimeographed); Washington State College: Washington, DC, USA, 1959. [Google Scholar]
- Soltanpour, P.N. Use of Ammonium bicarbonate-DTPA soil test to evaluate availability and toxicity. Commun. Soil Sci. Plant Anal. 1985, 16, 323–338. [Google Scholar] [CrossRef]
- AOAC. Official Methods of Analysis; Association of Official Analytical Chemists. AOAC Inc.: Arlington, VA, USA, 1990. [Google Scholar]
- Steel, R.G.D.; Torrie, J.H.; Dickey, D.A. Principles and Procedures of Statistics; McGraw Hill Book Co. Inc.: New York, NY, USA, 1997. [Google Scholar]
- Iqbal, S.; Akhtar, J.; Naz, T.; Riaz, U.; Hussain, S.; Mazhar, Z.; Iqbal, M.M. Root morphological adjustments of crops to improve nutrient use efficiency in limited environments. Commun. Soil Sci. Plant Anal. 2020, 51, 2452–2465. [Google Scholar] [CrossRef]
- Wei, B.; Yu, J.; Cao, Z.; Meng, M.; Yang, L.; Chen, Q. The availability and accumulation of heavy metals in greenhouse soils associated with intensive fertilizer application. Int. J. Environ. Res. Public Health 2020, 17, 55359. [Google Scholar] [CrossRef] [PubMed]
- Kashem, M.A.; Singh, B.R. The effect of fertilizer additions on the solubility and plant–availability of Cd, Ni and Zn in soil. Nutr. Cycl. Agroecosys. 2002, 62, 287–296. [Google Scholar] [CrossRef]
- Brennan, R.F.; Bolland, M.D.A. Wheat and canola response to concentrations of phosphorus and cadmium in a sandy soil. Aust. J. Exp. Agric. 2004, 44, 1025–1029. [Google Scholar] [CrossRef]
- Chen, S.; Xu, M.; Ma, Y.; Yang, J. Evaluation of different phosphate amendments on availability of metals in contaminated soil. Ecotoxicol. Environ. Saf. 2007, 67, 278–285. [Google Scholar] [CrossRef]
- Khan, M.J.; Jones, D.L. Effect of composts, lime and diammonium phosphate on the phytoavailability of heavy metals in a copper mine tailing soil. Pedosphere 2009, 19, 631–641. [Google Scholar] [CrossRef]
- Jamali, M.K.; Kazi, T.G.; Arain, M.B.; Afridi, H.I.; Jalbani, N.; Kandhru, G.A.; Shah, A.Q.; Baig, J.A. Heavy metal accumulation in different varieties of wheat (Triticum aestivum L.) grown in soil amended with domestic sewage sludge. J. Hazard. Mater. 2009, 164, 1386–1391. [Google Scholar] [CrossRef]
- Iqbal, M.M.; Murtaza, G.; Naz, T.; Akhtar, J.; Afzal, M.; Meers, E.; Du Laing, G. Amendments affect Pb mobility and modulated Chemo-Speciation under different moisture regimes in normal and salt-affected Pb-contaminated soils. Int. J. Environ. Sci. Technol. 2017, 14, 113–122. [Google Scholar] [CrossRef]
- Khan, M.J.; Jones, D.L. Chemical and organic immobilizing treatments for reducing phytoavailability of heavy metals in copper mine tailings. J. Plant Nutr. Soil Sci. 2008, 171, 908–916. [Google Scholar] [CrossRef]
- Havlin, J.L.; Beaton, J.D.; Tisdale, S.L.; Nelson, W.L. Soil Fertility and Fertilizers, 7th ed.; Prentice Hall (Pvt.) Limited: Upper Saddle River, NJ, USA, 2005. [Google Scholar]
- Niaz, A.; Ghafoor, A.; Murtaza, G. Tissue concentration and translocation responses of rice cultivars to applied Cd in hydroponic studies. ARPN J. Agric. Biol. Sci. 2010, 5, 14–19. [Google Scholar]
- Iqbal, M.M.; Murtaza, G.; Naz, T.; Niazi, N.K.; Shakar, M.; Wattoo, F.M.; Farooq, O.; Ali, M.; Rehman, H.U.; Afzal, I.; et al. Effects of lead salts on growth, chlorophyll contents and tissue concentration of rice genotypes. Int. J. Agric. Biol. 2017, 19, 69–76. [Google Scholar] [CrossRef]
- Iqbal, M.M.; Murtaza, G.; Saqib, Z.A.; Ahmad, R. Growth and physiological responses of two rice varieties to applied lead in salt-affected soils. Int. J. Agric. Biol. 2015, 17, 901–910. [Google Scholar] [CrossRef]
- Narwal, R.P.; Singh, M.; Singh, J.P.; Dahiya, D.J. Cadmium-zinc interaction in maize grown on sewer water irrigated soil. Arid Land Res. Manag. 1993, 7, 125–131. [Google Scholar] [CrossRef]
- Patra, M.; Bhowmik, N.; Bandopadhyay, B.; Sharma, A. Comparison of mercury, lead and arsenic with respect to genotoxic effects on plant systems and the development of genetic tolerance. Environ. Exp. Bot. 2004, 52, 199–223. [Google Scholar] [CrossRef]
- Huang, D.; Xi, L.; Yang, L.; Wang, Z.; Yang, J. Comparison of agronomic and physiological traits of rice genotypes differing in cadmium-tolerance. Acta. Agron. Sin. 2008, 34, 808–817. [Google Scholar]
- Purnama, P.R.; Soedarti, T.; Purnobasuki, H. The effects of lead [Pb(NO3)2] on the growth and chlorophyll content of sea grass [Thalassia hemprichii (ehrenb.) Aschers.] ex situ. Vegetos 2015, 28, 9–15. [Google Scholar] [CrossRef]
- Wang, B.; Xie, Z.; Chen, J.; Jiang, J.; Su, Q. Effects of field application of phosphate fertilizers on the availability and uptake of lead, zinc and cadmium by cabbage (Brassica chinensis L.) in a mining tailing contaminated soil. J. Environ. Sci. 2008, 20, 1109–1117. [Google Scholar] [CrossRef]
- Bolan, N.S.; Duraisamy, P.; Mani, S. Role of inorganic and organic soil amendments on immobilization and phytoavailability of heavy metals: A review involving specific case studies. Aust. J. Soil Res. 2003, 41, 1–23. [Google Scholar]
- Zaragüeta, A.; Enrique, A.; Virto, I.; Antón, R.; Urmeneta, H.; Orcaray, L. Effect of the long-term application of sewage sludge to a calcareous soil on its total and bioavailable content in trace elements, and their transfer to the crop. Minerals 2021, 11, 356. [Google Scholar] [CrossRef]
- Kartas, M.; Dursun, S.; Guler, E.; Ozdemir, C.; Argun, M.E. Heavy metal accumulation in wheat plants irrigated by wastewater. J. Cellul. Chem. Technol. 2006, 40, 575–579. [Google Scholar]
- Abbas, S.T.; Sarfraz, M.; Mehdi, S.M.; Hassan, G.; Rehman, U. Trace elements accumulation in soil and rice plants irrigated with the contaminated water. Soil Tillage Res. 2007, 94, 503–509. [Google Scholar] [CrossRef]
- Nan, Z.; Zhao, C.; Li, J.; Chen, F.; Sun, W. Relations between soil properties and selected heavy metal concentrations in spring wheat (Triticum aestivum L.) grown in contaminated soils. Water Air Soil Pollut. 2002, 133, 205–213. [Google Scholar] [CrossRef]
- Stanforth, R.; Qiu, J. Effect of phosphate treatment on the solubility of lead in contaminated soil. Environ. Geol. 2001, 41, 1–10. [Google Scholar] [CrossRef]
- Meharg, A.A. Mechanisms of plant resistance to metal and metalloid ions and potential biotechnological applications. Plant Soil 2005, 274, 163–174. [Google Scholar] [CrossRef]
- Iqbal, M.M.; Murtaza, A.; Naz, T.; Javed, W.; Hussain, S.; Ilyas, M.; Anjum, M.A.; Mehdi, S.M.; Ashraf, M.; Iqbal, Z. Uptake, translocation of Pb and chlorophyll contents of Oryza sativa as influenced by soil-applied amendments under normal and salt-affected Pb-spiked soil conditions. Asian J. Agric. Biol. 2017, 5, 15–25. [Google Scholar]
- Basta, N.T.; McGowen, S.L. Evaluation of chemical immobilization treatments for reducing heavy metal transport in a smelter-contaminated soil. J. Environ. Pollut. 2004, 127, 73–82. [Google Scholar] [CrossRef]
- Cao, R.X.; Ma, L.Q.; Chen, M.; Singh, S.P.; Harris, W.G. Phosphate-induced metal immobilization in a contaminated site. Environ. Pollut. 2003, 122, 19–28. [Google Scholar] [CrossRef]
- Chandra, R.; Kumar, V.; Tripathi, S.; Sharma, P. Heavy metal phytoextraction potential of native weeds and grasses from endocrine disrupting chemicals rich complex distillery sludge and their histological observations during in-situ phytoremediation. Ecol. Eng. 2018, 111, 143–156. [Google Scholar] [CrossRef]
- Wang, Y.; Shi, C.; Lv, K.; Li, Y.; Cheng, J.; Chen, X.; Fang, X.; Yu, X. Genotypic variation in nickel accumulation and translocation and its relationships with silicon, phosphorus, iron, and manganese among 72 major rice cultivars from Jiangsu Province, China. Int. J. Environ. Res. Public Health 2019, 16, 83281. [Google Scholar] [CrossRef] [PubMed] [Green Version]
- Andreeva, I.V.; Govorina, V.V.; Yagodin, B.A.; Dosimova, O.T. Dynamics of nickel accumulation and distribution in oat plants. Agrokhimiya 2001, 4, 68–71. [Google Scholar]
- Tiryakioglu, M.; Yildirim, M.; Karanlik, S. Macronutrient concentration and remobilization in spring wheat organs during grain filling. Turk. J. Agric. For. 2014, 38, 488–494. [Google Scholar] [CrossRef]
- WHO. Joint FAO/WHO Expert Standards Program Codex Alimentation Commission; World Health Organization: Geneva, Switzerland, 2007. [Google Scholar]
- Cao, X.; Ma, L.Q.; Singh, S.P.; Chen, M.; Harris, W.G.; Kizza, P. Field Demonstration of Metal Immobilization in Contaminated Soils Using Phosphate Amendments; Final Report 32611-0290; Soil and Water Science Department, University of Florida: Gainesville, FL, USA, 2003. [Google Scholar]
- Khoshgoftarmanesh, A.H.; Kalbasi, M. Effect of municipal waste leachate on soil properties and growth and yield of rice. Commun. Soil Sci. Plant Anal. 2002, 33, 2011–2020. [Google Scholar] [CrossRef]
- Datta, S.P.; Biswas, D.R.; Saharan, N.; Ghosh, S.K.; Rattan, R.K. Effect of long–term application of sewage effluents on organic carbon, bioavailable phosphorus, potassium and heavy metals status of soils and uptake of heavy metals by crops. J. Indian Soc. Soil Sci. 2000, 48, 836–839. [Google Scholar]
- Mcgowen, S.L.; Basta, N.T.; Brown, G.O. Use of diammonium phosphate to reduce heavy metal solubility and transport in smelter-contaminated soil. J. Environ. Qual. 2001, 30, 493–500. [Google Scholar] [CrossRef]
- Ahmad, H.R.; Ghafoor, A.; Corwin, D.L.; Aziz, M.A.; Ullah, S.; Sabir, M. Organic and inorganic amendments affect soil concentration and accumulation of cadmium and lead in wheat in calcareous alkaline soils. Commun. Soil Sci. Plant Anal. 2011, 42, 111–122. [Google Scholar] [CrossRef]
- Aslam, M.; Aslam, A.; Sheraz, M.; Ali, B.; Ulhassan, Z.; Najeeb, U.; Zhou, W.; Gill, R.A. Lead toxicity in cereals: Mechanistic insight into toxicity, mode of action, and management. Front. Plant Sci. 2021, 11, 587785. [Google Scholar] [CrossRef]
- Sabir, M.; Hakeem, K.R.; Aziz, T.; Rehman, M.Z.; Rashid, I.; Ozturk, M. High Ni levels in soil can modify growth performance and mineral status of wheat cultivars. Clean-Soil Air Water 2014, 42, 1263–1271. [Google Scholar] [CrossRef]
- Ouzounidou, G.; Moustakas, M.; Symeonidis, L.; Karataglis, S. Response of wheat seedlings to Ni stress: Effects of supplemental calcium. Arch. Environ. Contam. Toxicol. 2006, 50, 346–352. [Google Scholar] [CrossRef] [PubMed]
- Wu, Y.; Hendershot, W.H. The effect of calcium and pH on nickel accumulation in and rhizotoxicity to pea (Pisum sativum L.) root–empirical relationships and modeling. Environ. Pollut. 2010, 158, 1850–1856. [Google Scholar] [CrossRef]
- Aziz, H.; Sabir, M.; Ahmad, H.R.; Aziz, T.; Zia-ur-Rehman, M.; Hakeem, K.R.; Ozturk, M. Alleviating effect of calcium on nickel toxicity in rice. Clean-Soil Air Water 2015, 43, 901–909. [Google Scholar] [CrossRef]





| Characteristic | Value |
|---|---|
| Textural Class | Sandy clay loam |
| Sand | 45.14% |
| Silt | 24.30% |
| Clay | 30.56% |
| pHs | 7.71 |
| ECe | 1.71 dS m−1 |
| CO3−2 | Nil |
| HCO3− | 1.70 mmolc L−1 |
| Cl− | 5.70 mmolc L−1 |
| SO4−2 | 9.70 mmolc L−1 |
| Ca2+ + Mg2+ | 14.70 mmolc L−1 |
| Na+ | 2.30 mmolc L−1 |
| SAR | 0.85 (mmolc L−1)1/2 |
| CEC | 4.63 cmolc kg−1 |
| CaCO3 | 1.63% |
| OM | 0.66% |
| AB-DTPA extractable Pb | 1.26 mg kg−1 |
| AB-DTPA extractable Ni | 0.18 mg kg−1 |
| Sample No. | Ni (mg L−1) | Pb (mg L−1) | Sample No. | Ni (mg L−1) | Pb (mg L−1) |
|---|---|---|---|---|---|
| 1 | 0.047 | 0.015 | 16 | 0.049 | 0.054 |
| 2 | 0.050 | 0.019 | 17 | 0.037 | 0.038 |
| 3 | 0.027 | 0.023 | 18 | 0.043 | 0.049 |
| 4 | 0.052 | 0.032 | 19 | 0.054 | 0.061 |
| 5 | 0.034 | 0.022 | 20 | 0.051 | 0.079 |
| 6 | 0.046 | 0.031 | 21 | 0.032 | 0.073 |
| 7 | 0.030 | 0.028 | 22 | 0.038 | 0.055 |
| 8 | 0.043 | 0.065 | 23 | 0.046 | 0.051 |
| 9 | 0.073 | 0.071 | 24 | 0.029 | 0.044 |
| 10 | 0.025 | 0.034 | 25 | 0.022 | 0.049 |
| 11 | 0.042 | 1.137 | 26 | 0.039 | 0.039 |
| 12 | 0.041 | 0.033 | 27 | 0.051 | 0.054 |
| 13 | 0.053 | 0.034 | 28 | 0.041 | 0.056 |
| 14 | 0.061 | 0.045 | 29 | 0.046 | 0.046 |
| 15 | 0.071 | 0.029 | 30 | 0.039 | 0.035 |
| Treatment | N (kg ha−1) | P (kg ha−1) | K (kg ha−1) |
|---|---|---|---|
| T0 | 0 | 0 | 0 |
| T1 | 170 | 62 | 62 |
| T2 | 170 | 124 | 62 |
| T3 | 170 | 186 | 62 |
| T4 | 170 | 248 | 62 |
| Parameter | Treatment (d.f. = 3) | Cultivar (d.f. = 1) | Treatment × Cultivar (d.f. = 3) |
|---|---|---|---|
| Number of tillers per hill | 22.11 * | 2.78 ns | 2.67 * |
| Plant height | 341.55 * | 10.51 * | 1.39 ns |
| Root dry weight | 196.42 * | 89.62 * | 1.47 ns |
| Shoot dry weight | 167.84 * | 22.45 * | 4.97 * |
| Paddy yield | 98.51 * | 12.61 * | 2.61 ns |
| 1000 grain weight | 89.79 * | 3.98 ns | 2.75 * |
| Total chlorophyll contents | 64.40 * | 5.12 * | 2.13 ns |
| Photosynthesis rate | 79.68 * | 49.75 * | 5.16 * |
| Transpiration rate | 25.36 * | 0.01 ns | 0.41 ns |
| Concentration of Pb in root | 100.12 * | 125.29 * | 1.3 ns |
| Concentration of Pb in shoot | 64.30 * | 9.19 * | 0.33 ns |
| Concentration of Pb in paddy | 49.66 * | 54.82 * | 2.00 ns |
| Concentration of Ni in root | 15.21 * | 1.44 ns | 3.87 * |
| Concentration of Ni in shoot | 1.74 ns | 7.52 * | 4.00 * |
| Concentration of Ni in paddy | 2.63 ns | 0.28 ns | 0.26 ns |
| Concentration of Pb in post rice soil | 8.35 * | 2.48 ns | 1.15 ns |
| Concentration of Ni in post rice soil | 1.19 ns | 1.87 ns | 1.21 ns |
Publisher’s Note: MDPI stays neutral with regard to jurisdictional claims in published maps and institutional affiliations. |
© 2022 by the authors. Licensee MDPI, Basel, Switzerland. This article is an open access article distributed under the terms and conditions of the Creative Commons Attribution (CC BY) license (https://creativecommons.org/licenses/by/4.0/).
Share and Cite
Murtaza, G.; Maan, M.A.A.; Alhodaib, A.; Iqbal, M.M.; Naz, T.; Zafar, M.I.; Fatima, H.; Parveen, R.; Naz, I. Biogeochemical Behavior of Lead and Nickel as Influenced by Phosphatic Fertilizer Applied to Rice (Oryza sativa L.) Cultivars Grown under City Effluent Irrigation. Water 2022, 14, 1319. https://doi.org/10.3390/w14091319
Murtaza G, Maan MAA, Alhodaib A, Iqbal MM, Naz T, Zafar MI, Fatima H, Parveen R, Naz I. Biogeochemical Behavior of Lead and Nickel as Influenced by Phosphatic Fertilizer Applied to Rice (Oryza sativa L.) Cultivars Grown under City Effluent Irrigation. Water. 2022; 14(9):1319. https://doi.org/10.3390/w14091319
Chicago/Turabian StyleMurtaza, Ghulam, Muhammad Awais Akram Maan, Aiyeshah Alhodaib, Muhammad Mazhar Iqbal, Tayyaba Naz, Mazhar Iqbal Zafar, Humaria Fatima, Rashida Parveen, and Iffat Naz. 2022. "Biogeochemical Behavior of Lead and Nickel as Influenced by Phosphatic Fertilizer Applied to Rice (Oryza sativa L.) Cultivars Grown under City Effluent Irrigation" Water 14, no. 9: 1319. https://doi.org/10.3390/w14091319
APA StyleMurtaza, G., Maan, M. A. A., Alhodaib, A., Iqbal, M. M., Naz, T., Zafar, M. I., Fatima, H., Parveen, R., & Naz, I. (2022). Biogeochemical Behavior of Lead and Nickel as Influenced by Phosphatic Fertilizer Applied to Rice (Oryza sativa L.) Cultivars Grown under City Effluent Irrigation. Water, 14(9), 1319. https://doi.org/10.3390/w14091319

