Elimination of Chromium (VI) and Nickel (II) Ions in a Packed Column Using Oil Palm Bagasse and Yam Peels
Abstract
1. Introduction
2. Materials and Methods
2.1. Preparation of the Biomass
2.2. Characterization of the Bioadsorbent
2.3. Column Adsorption Tests
2.4. Breaktrhough Curve
2.4.1. Thomas Model
2.4.2. Yoon–Nelson Model
2.4.3. Dose–Response (DR) Model
2.4.4. Adams–Bohart Model
2.4.5. Adsorption Capacity of the Column
2.5. Thermodynamic Parameters
3. Results
3.1. Characterization of Bioadsorbents
3.2. Adsorption Tests
3.3. Application of the Surface Response Method (SRM)
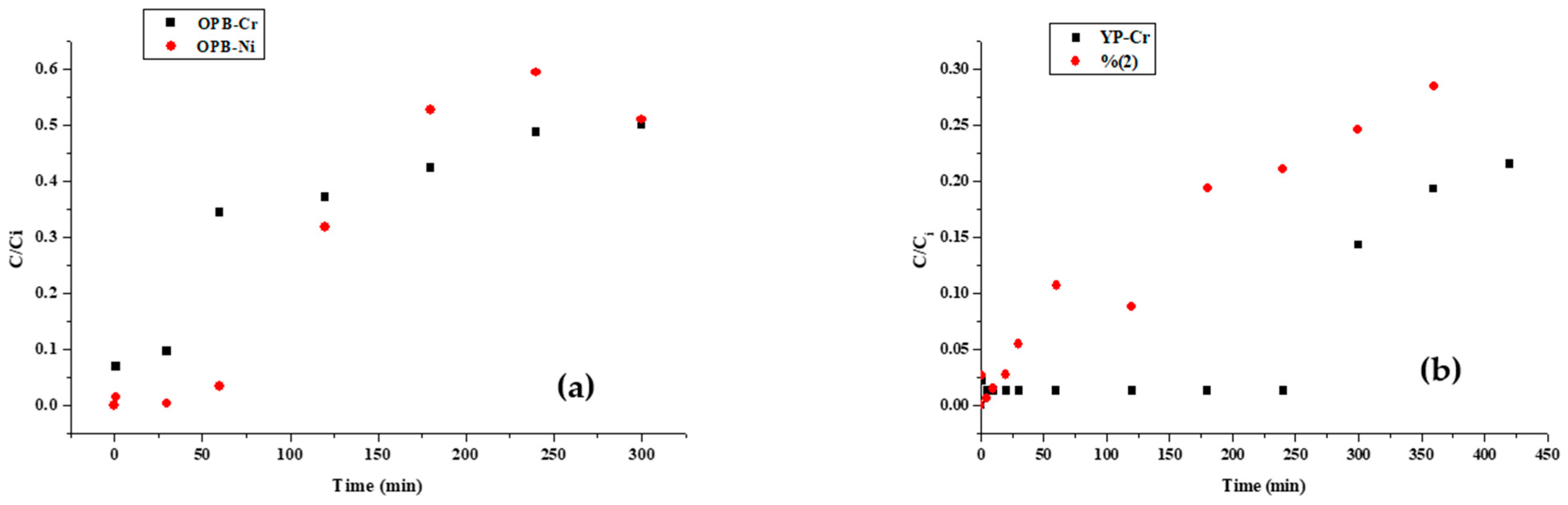
3.4. Breakthrough Curve
3.5. Thermodynamic Parameters
4. Conclusions
Author Contributions
Funding
Data Availability Statement
Acknowledgments
Conflicts of Interest
References
- Kulbir, S.; Abdullahi, W.S.; Chhotu, R. Removal of Heavy Metals by Adsorption using Agricultural based Residue: A Review. Res. J. Chem. Environ. 2018, 22, 65–74. [Google Scholar]
- De Gisi, S.; Lofrano, G.; Grassi, M.; Notarnicola, M. Characteristics and adsorption capacities of low-cost sorbents for wastewater treatment: A review. Sustain. Mater. Technol. 2016, 9, 10–40. [Google Scholar] [CrossRef]
- Villabona-Ortíz, A.; De Cartagena, U.; Tejada-Tovar, C.N.; Ortega-Toro, R. Modelling of the Adsorption Kinetics Of Chromium (VI) Using Waste Biomaterials. Rev. Mex. Ing. Química 2020, 19, 401–408. [Google Scholar] [CrossRef]
- Corral-Escárcega, M.C.; Ruiz-Gutiérrez, M.G.; Quintero-Ramos, A.; Meléndez-Pizarro, C.O.; Lardizabal-Gutiérrez, D.; Campos-Venegas, K. Use of biomass-derived from pecan nut husks (Carya illinoinensis) for chromium removal from aqueous solutions. column modeling and adsorption kinetics studies. Rev. Mex. Ing. Quim. 2017, 16, 939–953. [Google Scholar]
- Manjuladevi, M.; Anitha, R.; Manonmani, S. Kinetic study on adsorption of Cr(VI), Ni(II), Cd(II) and Pb(II) ions from aqueous solutions using activated carbon prepared from Cucumis melo peel. Appl. Water Sci. 2018, 8, 36. [Google Scholar] [CrossRef]
- Chowdhury, Z.; Zain, S.M.; Rashid, A.; Rafique, R.F.; Khalid, K. Breakthrough Curve Analysis for Column Dynamics Sorption of Mn(II) Ions from Wastewater by UsingMangostana garciniaPeel-Based Granular-Activated Carbon. J. Chem. 2013, 2013, 1–8. [Google Scholar] [CrossRef]
- Bhanvase, B.A.; Ugwekar, R.P.; Mankar, R.B. Novel Water Treatment and Separation Methods: Simulation of Chemical Processes; CRC Press: Boca Raton, FL, USA, 2017. [Google Scholar]
- Sahu, O.; Singh, N. Significance of bioadsorption process on textile industry wastewater. In The Impact and Prospects of Green Chemistry for Textile Technology; Woodhead Publishing: Sawston, UK, 2019; pp. 367–416. [Google Scholar]
- Hu, Q.; Xu, L.; Fu, K.; Zhu, F.; Yang, T.; Yang, T.; Luo, J.; Wu, M.; Yu, D. Ultrastable MOF-based foams for versatile applications. Nano Res. 2021, 1–10. [Google Scholar] [CrossRef]
- Qian, J.; Gao, X.; Pan, B. Nanoconfinement-Mediated Water Treatment: From Fundamental to Application. Environ. Sci. Technol. 2020, 54, 8509–8526. [Google Scholar] [CrossRef]
- Elabbas, S.; Ouazzani, N.; Mandi, L.; Berrekhis, F.; Perdicakis, M.; Pontvianne, S.; Pons, M.-N.; Lapicque, F.; Leclerc, J.-P. Treatment of highly concentrated tannery wastewater using electrocoagulation: Influence of the quality of aluminium used for the electrode. J. Hazard. Mater. 2016, 319, 69–77. [Google Scholar] [CrossRef]
- Cherdchoo, W.; Nithettham, S.; Charoenpanich, J. Removal of Cr(VI) from synthetic wastewater by adsorption onto coffee ground and mixed waste tea. Chemosphere 2019, 221, 758–767. [Google Scholar] [CrossRef]
- Bharathi, K.S.; Ramesh, S.P.T. Fixed-bed column studies on biosorption of crystal violet from aqueous solution by Citrullus lanatus rind and Cyperus rotundus. Appl. Water Sci. 2013, 3, 673–687. [Google Scholar] [CrossRef]
- Jafari, S.A.; Jamali, A. Continuous cadmium removal from aqueous solutions by seaweed in a packed-bed column under consecutive sorption-desorption cycles. Korean J. Chem. Eng. 2016, 33, 1296–1304. [Google Scholar] [CrossRef]
- Haroon, H.; Ashfaq, T.; Gardazi, S.M.H.; Sherazi, T.A.; Ali, M.; Rashid, N.; Bilal, M. Equilibrium kinetic and thermodynamic studies of Cr(VI) adsorption onto a novel adsorbent of Eucalyptus camaldulensis waste: Batch and column reactors. Korean J. Chem. Eng. 2016, 33, 2898–2907. [Google Scholar] [CrossRef]
- Nordin, N.; Asmadi, N.A.A.; Manikam, M.K.; Halim, A.A.; Hanafiah, M.M.; Hurairah, S.N. Removal of Hexavalent Chromium from Aqueous Solution by Adsorption on Palm Oil Fuel Ash (POFA). J. Geosci. Environ. Prot. 2020, 08, 112–127. [Google Scholar] [CrossRef]
- Villabona-Ortíz, A.; Tejada-Tovar, C.; Ruiz-Paternina, E.; Frías-González, J.D.; Blanco-García, G.D. Optimization of the Effect of Temperature and Bed Height on Cr (VI) Bioadsorption in Continuous System. Rev. Fac. Ing. 2020, 29, e10477. [Google Scholar] [CrossRef]
- Haq, A.U.; Saeed, M.; Anjum, S.; Bokhari, T.H.; Usman, M.; Tubbsum, S. Evaluation of Sorption Mechanism of Pb (II) and Ni (II) onto Pea (Pisum sativum) Peels. J. Oleo Sci. 2017, 66, 735–743. [Google Scholar] [CrossRef]
- Mohammadpour, E.; Yaftian, M.R.; Zamani, A.; Gharbani, P. Optimization of Continuous Flow Adsorption of Heavy Metal Ions on Continuous System Column by Peganum Harmala Seeds. Arch. Hyg. Sci. 2017, 6, 32–38. [Google Scholar] [CrossRef]
- Borna, M.O.; Pirsaheb, M.; Niri, M.V.; Mashizie, R.K.; Kakavandi, B.; Zare, M.R.; Asadi, A. Batch and column studies for the adsorption of chromium(VI) on low-cost Hibiscus Cannabinus kenaf, a green adsorbent. J. Taiwan Inst. Chem. Eng. 2016, 68, 80–89. [Google Scholar] [CrossRef]
- Abdolali, A.; Ngo, H.H.; Guo, W.; Zhou, J.L.; Zhang, J.; Liang, S.; Chang, S.W.; Nguyen, D.D.; Liu, Y. Application of a breakthrough biosorbent for removing heavy metals from synthetic and real wastewaters in a lab-scale continuous fixed-bed column. Bioresour. Technol. 2017, 229, 78–87. [Google Scholar] [CrossRef]
- Ruiz-Paternina, E.B.; Villabona-Ortiz, Á.; Tejada-Tovar, C.; Ortega-Toro, R. Thermodynamic Study of the Removal of Nickel and Chromium in Aqueous Solution using Adsorbents of Agro-Industrial Origin. Inf. Tecnol. 2019, 30, 3–10. [Google Scholar] [CrossRef]
- Naik, R.M.; Ratan, S.; Singh, I. Use of orange peel as an adsorbent for the removal of Cr (VI) from its aqueous solution. Indian J. Chem. Technol. 2018, 25, 300–305. [Google Scholar]
- Abiaziem, C.V.; Williams, A.B.; Inegbenebor, A.I.; Onwordi, C.T.; Ehi-Eromosele, C.O.; Petrik, L.F. Adsorption of lead ion from aqueous solution unto cellulose nanocrystal from cassava peel. J. Phys. Conf. Ser. 2019, 1299, 012122. [Google Scholar] [CrossRef]
- Tejada-Tovar, C.; Ruiz-Paternina, E.; Gallo-Mercado, J.; Moscote-Bohorquez, J. Evaluation of the biosorption with african palm bagasse for the removal of Pb (II) in solution. Rev. Prospect. 2015, 13, 59–67. [Google Scholar]
- Tejada-Tovar, C.; Gonzalez-Delgado, A.D.; Villabona-Ortiz, A. Characterization of Residual Biomasses and Its Application for the Removal of Lead Ions from Aqueous Solution. Appl. Sci. 2019, 9, 4486. [Google Scholar] [CrossRef]
- Asuquo, E.D.; Martin, A.D. Sorption of cadmium (II) ion from aqueous solution onto sweet potato (Ipomoea batatas L.) peel adsorbent: Characterisation, kinetic and isotherm studies. J. Environ. Chem. Eng. 2016, 4, 4207–4228. [Google Scholar] [CrossRef]
- Manirethan, V.; Gupta, N.; Balakrishnan, R.M.; Raval, K. Batch and continuous studies on the removal of heavy metals from aqueous solution using biosynthesised melanin-coated PVDF membranes. Environ. Sci. Pollut. Res. 2019, 27, 24723–24737. [Google Scholar] [CrossRef]
- Rinaldi, R.; Yasdi, Y.; Hutagalung, W.L.C. Removal of Ni (II) and Cu (II) ions from aqueous solution using rambutan fruit peels (Nephelium lappaceum L.) as adsorbent. AIP Conf. Proc. 2018, 2026, 020098. [Google Scholar] [CrossRef]
- Cai, J.; He, Y.; Yu, X.; Banks, S.; Yang, Y.; Zhang, X.; Yu, Y.; Liu, R.; Bridgwater, T. Review of physicochemical properties and analytical characterization of lignocellulosic biomass. Renew. Sustain. Energy Rev. 2017, 76, 309–322. [Google Scholar] [CrossRef]
- Mahdi, Z.; Yu, Q.J.; El Hanandeh, A. Investigation of the kinetics and mechanisms of nickel and copper ions adsorption from aqueous solutions by date seed derived biochar. J. Environ. Chem. Eng. 2018, 6, 1171–1181. [Google Scholar] [CrossRef]
- Wu, Y.; Fan, Y.; Zhang, M.; Ming, Z.; Yang, S.; Arkin, A.; Fang, P. Functionalized agricultural biomass as a low-cost adsorbent: Utilization of rice straw incorporated with amine groups for the adsorption of Cr(VI) and Ni(II) from single and binary systems. Biochem. Eng. J. 2016, 105, 27–35. [Google Scholar] [CrossRef]
- Dai, Y.; Sun, Q.; Wang, W.; Lu, L.; Liu, M.; Li, J.; Yang, S.; Sun, Y.; Zhang, K.; Xu, J.; et al. Utilizations of agricultural waste as adsorbent for the removal of contaminants: A review. Chemosphere 2018, 211, 235–253. [Google Scholar] [CrossRef]
- Tejada-Tovar, C.; Villabona, A.; Cabarcas, A.; Benitez, C.; Acevedo, D. Optimization of variables in fixed-bed column using the response surface methodology. Contemp. Eng. Sci. 2018, 11, 1121–1133. [Google Scholar] [CrossRef][Green Version]
- Labied, R.; Benturki, O.; Hamitouche, A.-E.; Donnot, A. Adsorption of hexavalent chromium by activated carbon obtained from a waste lignocellulosic material (Ziziphus jujuba cores): Kinetic, equilibrium, and thermodynamic study. Adsorpt. Sci. Technol. 2018, 36, 1066–1099. [Google Scholar] [CrossRef]
- Srivastava, S.; Agrawal, S.B.; Mondal, M.K. Fixed bed column adsorption of Cr(VI) from aqueous solution using nanosorbents derived from magnetite impregnated Phaseolus vulgaris husk. Environ. Prog. Sustain. Energy 2019, 38, S68–S76. [Google Scholar] [CrossRef]
- Deng, Y.; Huang, S.; Laird, D.A.; Wang, X.; Dong, C. Quantitative mechanisms of cadmium adsorption on rice straw- and swine manure-derived biochars. Environ. Sci. Pollut. Res. 2018, 25, 32418–32432. [Google Scholar] [CrossRef] [PubMed]
- Deng, Y.; Huang, S.; Dong, C.; Meng, Z.; Wang, X. Competitive adsorption behaviour and mechanisms of cadmium, nickel and ammonium from aqueous solution by fresh and ageing rice straw biochars. Bioresour. Technol. 2020, 303, 122853. [Google Scholar] [CrossRef] [PubMed]
- Kuppusamy, S.; Thavamani, P.; Megharaj, M.; Venkateswarlu, K.; Lee, Y.B.; Naidu, R. Oak (Quercus robur) Acorn Peel as a Low-Cost Adsorbent for Hexavalent Chromium Removal from Aquatic Ecosystems and Industrial Effluents. Water Air Soil Pollut. 2016, 227, 62. [Google Scholar] [CrossRef]
- Medellin-Castillo, N. Biosorption of lead (II) in aqueous solution onto residues of natural fibers from the ixtle industry (Agave lechuguilla torr. and Yucca carnerosana (trel.) Mckelvey). Rev. Int. Contam. Ambient. 2017, 33, 269–280. [Google Scholar] [CrossRef]
- Rodriguez Narvaez, O.M.; Peralta-Hernandez, J.M.; Goonetilleke, A.; Bandala, E.R. Treatment technologies for emerging contaminants in water: A review. Chem. Eng. J. 2017, 323, 361–380. [Google Scholar] [CrossRef]
- Chen, Y.; An, D.; Sun, S.; Gao, J.; Qian, L. Reduction and Removal of Chromium VI in Water by Powdered Activated Carbon. Materials 2018, 11, 269. [Google Scholar] [CrossRef]
- Basu, H.; Saha, S.; Mahadevan, I.A.; Pimple, M.V.; Singhal, R.K. Humic acid coated cellulose derived from rice husk: A novel biosorbent for the removal of Ni and Cr. J. Water Process Eng. 2019, 32, 100892. [Google Scholar] [CrossRef]
- Ranasinghe, S.; Navaratne, A.; Priyantha, N. Enhancement of adsorption characteristics of Cr(III) and Ni(II) by surface modification of jackfruit peel biosorbent. J. Environ. Chem. Eng. 2018, 6, 5670–5682. [Google Scholar] [CrossRef]
- Akpomie, K.G.; Eluke, L.O.; Ajiwe, V.I.E.; Alisa, C.O. Attenuation kinetics and desorption performance of artocarpus altilis seed husk for Co (II), Pb (II) And Zn (II) Ions. Iran. J. Chem. Chem. Eng. 2018, 37, 171–186. [Google Scholar]
- Tejada-Tovar, C.; Herrera-Barros, A.; Ruiz-Paternina, E. Utilization of Biosorbents for Nickel and Lead Removal in Binary Systems. Cienc. Desarro. 2016, 7, 31–36. [Google Scholar] [CrossRef]
- Oguz, E.; Ersoy, M. Biosorption of cobalt(II) with sunflower biomass from aqueous solutions in a fixed bed column and neural networks modelling. Ecotoxicol. Environ. Saf. 2014, 99, 54–60. [Google Scholar] [CrossRef]
- Mishra, A.; Tripathi, B.D.; Rai, A.K. Packed-bed column biosorption of chromium(VI) and nickel(II) onto Fenton modified Hydrilla verticillata dried biomass. Ecotoxicol. Environ. Saf. 2016, 132, 420–428. [Google Scholar] [CrossRef]
- Xavier, A.L.P.; Adarme, O.F.H.; Furtado, L.M.; Ferreira, G.M.D.; da Silva, L.H.M.; Gil, L.F.; Gurgel, L.V.A. Modeling adsorption of copper(II), cobalt(II) and nickel(II) metal ions from aqueous solution onto a new carboxylated sugarcane bagasse. Part II: Optimization of monocomponent fixed-bed column adsorption. J. Colloid Interface Sci. 2018, 516, 431–445. [Google Scholar] [CrossRef]
- Banerjee, M.; Bar, N.; Basu, R.K.; Das, S.K. Removal of Cr(VI) from Its Aqueous Solution Using Green Adsorbent Pistachio Shell: A Fixed Bed Column Study and GA-ANN Modeling. Water Conserv. Sci. Eng. 2018, 3, 19–31. [Google Scholar] [CrossRef]
- Tejada-Tovar, C.; Gallo-Mercado, J.; Moscote, J.; Villabona-Ortíz, A.; Acevedo-Correra, D. Competitive adsorption of lead and nickel ont yam husk and palm bagasse in continuous system. Rev. Biotecnol. Sect. Agropecu. Agroind. 2018, 16, 52–61. [Google Scholar] [CrossRef]
- Pradhan, P.; Arora, A.; Mahajani, S.M. Pilot scale evaluation of fuel pellets production from garden waste biomass. Energy Sustain. Dev. 2018, 43, 1–14. [Google Scholar] [CrossRef]
- Amro, A.N.; Abhary, M.K.; Shaikh, M.M.; Ali, S. Removal of Lead and Cadmium Ions from Aqueous Solution by Adsorption on a Low-Cost Phragmites Biomass. Processes 2019, 7, 406. [Google Scholar] [CrossRef]
- Blanes, P.S.; Bordoni, M.E.; González, J.C.; García, S.I.; Atria, A.M.; Sala, L.F.; Bellú, S.E. Application of soy hull biomass in removal of Cr(VI) from contaminated waters. Kinetic, thermodynamic and continuous sorption studies. J. Environ. Chem. Eng. 2016, 4, 516–526. [Google Scholar] [CrossRef]
- Shahnaz, T.; Padmanaban, V.C..; Narayanasamy, S. Surface modification of nanocellulose using polypyrrole for the adsorptive removal of Congo red dye and chromium in binary mixture. Int. J. Biol. Macromol. 2020, 151, 322–332. [Google Scholar] [CrossRef] [PubMed]
- Muhammad, A.; Shah, A.U.H.A.; Bilal, S. Effective Adsorption of Hexavalent Chromium and Divalent Nickel Ions from Water through Polyaniline, Iron Oxide, and Their Composites. Appl. Sci. 2020, 10, 2882. [Google Scholar] [CrossRef]







| Element | OPB | OPB—Cr(VI) | YP | YP—Cr(VI) | ||||
|---|---|---|---|---|---|---|---|---|
| Weight % | Atomic % | Weight % | Atomic % | Weight % | Atomic % | Weight % | Atomic % | |
| C | 50.90 | 59.07 | 48.65 | 56.49 | 47.40 | 57.07 | 54.50 | 63.25 |
| O | 44.60 | 38.85 | 48.82 | 42.56 | 43.20 | 39.05 | 39.67 | 34.56 |
| Al | 0.75 | 0.40 | 0.82 | 0.42 | ||||
| Si | 3.87 | 1.92 | 1.12 | 0.56 | 2.16 | 1.11 | 1.21 | 0.60 |
| P | 0.66 | 0.31 | ||||||
| S | 0.17 | 0.08 | ||||||
| K | 0.20 | 0.07 | 4.46 | 1.65 | 0.44 | 0.16 | ||
| Ca | 0.19 | 0.07 | 0.25 | 0.09 | 0.34 | 0.12 | 0.99 | 0.34 |
| Fe | 0.60 | 0.16 | 0.59 | 0.15 | ||||
| Cu | 0.45 | 0.10 | 0.49 | 0.11 | 0.27 | 0.06 | 0.45 | 0.10 |
| Cl | 0.45 | 0.18 | ||||||
| Cr | 0.48 | 0.13 | 0.88 | 0.24 | ||||
| Totals | 100.00 | 100.00 | 100.00 | 100.00 | 100.00 | 100.00 | 100.00 | 100.00 |
| Temperature (°C) | Particle Size (mm) | Bed Height (mm) | OPB | |
|---|---|---|---|---|
| Cr(VI) | Ni(II) | |||
| 70 | 0.355 | 30.0 | 100.00 | 99.86 |
| 40 | 0.355 | 100.0 | 99.97 | 99.53 |
| 55 | 0.500 | 6.13 | 99.98 | 89.85 |
| 70 | 1.000 | 30.0 | 99.99 | 87.24 |
| 40 | 1.000 | 30.0 | 100.00 | 90.37 |
| 40 | 0.355 | 30.0 | 100.00 | 98.93 |
| 70 | 0.355 | 100.0 | 99.98 | 99.57 |
| 30 | 0.500 | 65.0 | 100.00 | 98.33 |
| 40 | 1.000 | 100.0 | 99.97 | 97.16 |
| 70 | 1.000 | 100.0 | 99.99 | 96.77 |
| 55 | 0.500 | 123.9 | 99.99 | 99.76 |
| 55 | 0.500 | 65.0 | 99.99 | 96.80 |
| 80 | 0.500 | 65.0 | 100.00 | 96.95 |
| 55 | 0.500 | 65.0 | 99.99 | 96.80 |
| 55 | 0.135 | 65.0 | 99.98 | 99.76 |
| 55 | 1.219 | 65.0 | 99.99 | 91.18 |
| 55 | 0.500 | 65.0 | 99.99 | 96.80 |
| Temperature (°C) | Particle Size (mm) | Bed Height (mm) | YP | |
|---|---|---|---|---|
| Cr(VI) | Ni(II) | |||
| 70 | 0.355 | 30.0 | 96.26 | 96.65 |
| 40 | 0.355 | 100.0 | 87.30 | 87.4 |
| 55 | 0.500 | 6.13 | 65.30 | 91.40 |
| 70 | 1.000 | 30.0 | 97.43 | 90.20 |
| 40 | 1.000 | 30.0 | 98.30 | 96.72 |
| 40 | 0.355 | 30.0 | 96.95 | 95.22 |
| 70 | 0.355 | 100.0 | 87.01 | 87.0 |
| 30 | 0.500 | 65.0 | 87.70 | 94.46 |
| 40 | 1.000 | 100.0 | 88.24 | 94.07 |
| 70 | 1.000 | 100.0 | 91.10 | 95.91 |
| 55 | 0.500 | 123.9 | 92.30 | 98.74 |
| 55 | 0.500 | 65.0 | 94.50 | 98.17 |
| 80 | 0.500 | 65.0 | 94.88 | 98.82 |
| 55 | 0.500 | 65.0 | 97.32 | 97.25 |
| 55 | 0.135 | 65.0 | 87.1 | 87.2 |
| 55 | 1.219 | 65.0 | 98.01 | 91.66 |
| 55 | 0.500 | 65.0 | 94.50 | 98.15 |
| Metal | Adsorbent | Conditions | qmax (mg/g) | Reference |
|---|---|---|---|---|
| Cr(VI) | Pecan nut husk | 0.85 mm particle size, pH = 6.2 | 180.75 | [4] |
| Eucalyptus | pH = 2, 15 cm bed height, 50 mg/L initial concentration | 381.82 | [15] | |
| Palm Oil Fuel Ash | 100 mg/L initial concentration, 36.4 g adsorbent, pH = 2. | 0.41 | [16] | |
| Biosynthesized melanin-coated PVDF membranes | 0.5 mL/min, 3 mg/L, 10 mg adsorbent | 9.29 | [28] | |
| Plantain starch residues | 0.75 mL/s, 100 mg/L initial concentration, pH = 2, 68 °C, 81.49 mm bed height | 29.85 | [17] | |
| OPB | 0.75 mL/s, 100 mg/L initial concentration, pH = 2 | 115.45 | This work | |
| YP | 50.12 | |||
| Ni (II) | Plantain starch residues | 0.75 mL/s, 100 mg/L initial concentration, pH = 6 | 28.01 | [22] |
| Yam starch residues | 22.08 | |||
| Fenton modified with Hydrilla verticillate | Bed height = 25 cm, 10 mL/min, initial concentration 5 mg/L | 87.18 | [48] | |
| Carboxylated sugarcane bagasse | 25 °C, pH = 5.5, 0.5 g adsorbent | 1020 | [49] | |
| OPB | 0.75 mL/s, 100 mg/L initial concentration, pH = 6, 55 °C | 103.49 | This work | |
| YP | 30.04 |
| Factor | OPB | YP | ||
|---|---|---|---|---|
| Cr(VI) | Ni(II) | Cr(VI) | Ni(II) | |
| Temperature (°C) | 30 | 80 | 55 | 70 |
| Particle size (mm) | 0.5 | 0.212 | 0.355 | 1 |
| Bed height (mm) | 65 | 50.3 | 89 | 123 |
| Model | Parameter | OPB-Cr | OPB-Ni | YP-Cr | YP-Ni |
|---|---|---|---|---|---|
| Thomas | KTh (mL min−1 mg −1) | 0.06 | 0.077 | 0.09 | 0.06 |
| qTh (mg g−1) | 58.85 | 27.69 | 47.58 | 23.94 | |
| R2 | 0.66 | 0.55 | 0.87 | 0.84 | |
| Dose-Response | qD-R (mg g−1) | 62.18 | 24.74 | 54.21 | 54.93 |
| a | 0.67 | 1.29 | 2.85 | 0.84 | |
| R2 | 0.91 | 0.86 | 0.92 | 0.95 | |
| Yoon–Nelson | KY-N (min−1) | 0.00616 | 0.01 | 0.008615 | 0.00609 |
| τ (min) | 255.9752 | 269.36 | 533.67 | 486.79 | |
| R2 | 0.66 | 0.55 | 0.87 | 0.8391 | |
| Adams–Bohart | KA-B (L min−1 mg−1) | 3.622 × 10−5 | 4.09 × 10−5 | 7.43 × 10−5 | 4.98 × 10−5 |
| No (mg L−1) | 39388.88 | 15013.42 | 13281.04 | 9302.27 | |
| R2 | 0.53 | 0.21 | 0.85 | 0.81 |
| Biomass | Cr (VI) | Ni (II) | |||||||
|---|---|---|---|---|---|---|---|---|---|
| T (K) | qe (mg/g) | ΔG° (kJ/mol) | ΔH° (kJ/mol) | ΔS° (kJ/mol × K) | ΔG° (kJ/mol) | ΔH° (kJ/mol) | ΔS° (kJ/mol × K) | ||
| OPB | 303.15 | 0.79 | 30.19 | 3.46 | 28.81 | 0.79 | −84.29 | −107.32 | −25.91 |
| 328.15 | 0.78 | 32.68 | 0.78 | −91.25 | |||||
| 353.15 | 0.78 | 35.17 | 0.78 | −98.20 | |||||
| YP | 303.15 | 2.70 | 20.16 | 18.65 | 6.59 | −75.54 | −19.65 | −24.98 | |
| 328.15 | 2.91 | 21.80 | −81.79 | ||||||
| 353.15 | 2.92 | 23.45 | −88.03 | ||||||
Publisher’s Note: MDPI stays neutral with regard to jurisdictional claims in published maps and institutional affiliations. |
© 2022 by the authors. Licensee MDPI, Basel, Switzerland. This article is an open access article distributed under the terms and conditions of the Creative Commons Attribution (CC BY) license (https://creativecommons.org/licenses/by/4.0/).
Share and Cite
Villabona-Ortíz, A.; Tejada-Tovar, C.; González-Delgado, Á.D. Elimination of Chromium (VI) and Nickel (II) Ions in a Packed Column Using Oil Palm Bagasse and Yam Peels. Water 2022, 14, 1240. https://doi.org/10.3390/w14081240
Villabona-Ortíz A, Tejada-Tovar C, González-Delgado ÁD. Elimination of Chromium (VI) and Nickel (II) Ions in a Packed Column Using Oil Palm Bagasse and Yam Peels. Water. 2022; 14(8):1240. https://doi.org/10.3390/w14081240
Chicago/Turabian StyleVillabona-Ortíz, Angel, Candelaria Tejada-Tovar, and Ángel Darío González-Delgado. 2022. "Elimination of Chromium (VI) and Nickel (II) Ions in a Packed Column Using Oil Palm Bagasse and Yam Peels" Water 14, no. 8: 1240. https://doi.org/10.3390/w14081240
APA StyleVillabona-Ortíz, A., Tejada-Tovar, C., & González-Delgado, Á. D. (2022). Elimination of Chromium (VI) and Nickel (II) Ions in a Packed Column Using Oil Palm Bagasse and Yam Peels. Water, 14(8), 1240. https://doi.org/10.3390/w14081240
