Distribution and Release of Volatile Organic Sulfur Compounds in Yangcheng Lake
Abstract
:1. Introduction
2. Materials and Methods
2.1. Site Description
2.2. Sampling and Measurement
2.3. VOSC Analytical Procedures
2.4. Estimation of Efflux of DMS
3. Results
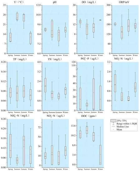
3.1. Water Physicochemical Properties
3.2. Temporal and Spatial Distribution of VOSCs
3.3. Phytoplankton Community
3.4. Efflux of DMS
4. Discussion
4.1. Compared with Other Freshwater Lakes
4.2. Analysis of the Influencing Factors and Sources of VOSCs in Yangcheng Lake
4.3. Effluxes of DMS
5. Conclusions
Author Contributions
Funding
Data Availability Statement
Acknowledgments
Conflicts of Interest
References
- Andreae, M.O.; Raemdonck, H. Dimethyl sulfide in the surface ocean and the marine atmosphere: A global view. Science 1983, 221, 744–747. [Google Scholar] [CrossRef] [PubMed] [Green Version]
- Lovelock, J.E.; Maggs, R.J.; Rasmussen, R.A. Atmospheric dimethyl sulphide and the natural sulphur cycle. Nature 1972, 237, 452–453. [Google Scholar] [CrossRef]
- Kettle, A.; Andreae, M.; Amouroux, D.; Andreae, T.; Bates, T.; Berresheim, H.; Bingemer, H.; Boniforti, R.; Curran, M.; DiTullio, G. A global database of sea surface dimethylsulfide (DMS) measurements and a procedure to predict sea surface DMS as a function of latitude, longitude, and month. Glob. Biogeochem. Cycles 1999, 13, 399–444. [Google Scholar] [CrossRef]
- Rodhe, H. Human impact on the atmospheric sulfur balance. Tellus B 1999, 51, 110–122. [Google Scholar] [CrossRef] [Green Version]
- Andreae, M.O.; Crutzen, P.J. Atmospheric aerosols: Biogeochemical sources and role in atmospheric chemistry. Science 1997, 276, 1052–1058. [Google Scholar] [CrossRef] [Green Version]
- Charlson, R.J.; Lovelock, J.E.; Andreae, M.O.; Warren, S.G. Oceanic phytoplankton, atmospheric sulfur, cloud albedo and climate. Nature 1987, 326, 655–661. [Google Scholar] [CrossRef]
- Ayers, G.P.; Gillett, R.W. DMS and its oxidation products in the remote marine atmosphere: Implications for climate and atmospheric chemistry. J. Sea Res. 2000, 43, 275–286. [Google Scholar] [CrossRef]
- Kim, I.; Zhang, M.; Kim, K.; Park, K. First High-Frequency Underway Observation of DMS Distribution in the Southern Ocean during Austral Autumn. Atmosphere 2021, 12, 122. [Google Scholar] [CrossRef]
- Han, L.; Yang, G.-P.; Liu, C.-Y.; Jin, Y.-M.; Liu, T. Emissions of biogenic sulfur compounds and their regulation by nutrients during an Ulva prolifera bloom in the Yellow Sea. Mar. Pollut. Bull. 2021, 162, 111885. [Google Scholar] [CrossRef]
- Dawson, H.M.; Heal, K.R.; Torstensson, A.; Carlson, L.T.; Ingalls, A.E.; Young, J.N. Large Diversity in Nitrogen- and Sulfur-Containing Compatible Solute Profiles in Polar and Temperate Diatoms. Integr. Comp. Biol. 2020, 60, 1401–1413. [Google Scholar] [CrossRef]
- Li, C.; Yang, G.; Pan, J.; Zhang, H. Experimental studies on dimethylsulfide (DMS) and dimethylsulfoniopropionate (DMSP) production by four marine microalgae. Acta Oceanol. Sin. 2010, 29, 78–87. [Google Scholar] [CrossRef]
- Van Alstyne, K.L.; Houser, L.T. Dimethylsulfide release during macroinvertebrate grazing and its role as an activated chemical defense. Mar. Ecol.-Prog. Ser. 2003, 250, 175–181. [Google Scholar] [CrossRef]
- Wolfe, G.V.; Levasseur, M.; Cantin, G.; Michaud, S. Microbial consumption and production of dimethyl sulfide (DMS) in the Labrador Sea. Aquat. Microb. Ecol. 1999, 18, 197–205. [Google Scholar] [CrossRef]
- Horinouchi, M.; Yoshida, T.; Nojiri, H.; Yamane, H.; Omori, T. Oxidation of dimethyl sulfide by various aromatic compound oxygenases from bacteria. Biotechnol. Lett. 1999, 21, 929–933. [Google Scholar] [CrossRef]
- Kiene, R.P.; Visscher, P.T. Production and fate of methylated sulfur compounds from methionine and dimethylsulfoniopropionate in anoxic salt marsh sediments. Appl. Environ. Microbiol. 1987, 53, 2426–2434. [Google Scholar] [CrossRef] [Green Version]
- Kadota, H.; Ishida, Y. Production of volatile sulfur compounds by microorganisms. Annu. Rev. Microbiol. 1972, 26, 127–138. [Google Scholar] [CrossRef]
- Bak, F.; Finster, K.; Rothfuß, F. Formation of dimethylsulfide and methanethiol from methoxylated aromatic compounds and inorganic sulfide by newly isolated anaerobic bacteria. Arch. Microbiol. 1992, 157, 529–534. [Google Scholar]
- Wu, A.; Wang, Y.; Friese, K.; Zhang, L.; Han, C.; Kang, D.; Shen, Q. Spatial and seasonal distribution of 2-methylisoborneol in a large eutrophic shallow lake, China. Water Air Soil Pollut. 2021, 232, 387. [Google Scholar] [CrossRef]
- Gui, Z.; Xue, B.; Yao, S.; Wei, W. Water quality status and causes of Yangcheng Lake. Sci. Geogr. Sin. 2011, 31, 1487–1492. [Google Scholar]
- American Public Health Association; American Water Works Association; Water Environmental Federation. Standard Methods for the Examination of Water and Wastewater; American Public Health Association: Washington, DC, USA, 2005. [Google Scholar]
- Utermöhl, H. Zur vervollkommnung der quantitativen phytoplankton-methodik: Mit 1 Tabelle und 15 abbildungen im Text und auf 1 Tafel. Int. Ver. Theor. Angew. Limnol. Mitt. 1958, 9, 1–38. [Google Scholar] [CrossRef]
- Hu, H. The Freshwater Algae of China: Systematics, Taxonomy and Ecology; Science Press: Beijing, China, 2006. [Google Scholar]
- Marandino, C.A.; De Bruyn, W.J.; Miller, S.D.; Saltzman, E.S. Eddy correlation measurements of the air/sea flux of dimethylsulfide over the North Pacific Ocean. J. Geophys. Res. Atmos. 2007, 112, D3. [Google Scholar] [CrossRef] [Green Version]
- Landwehr, S.; Miller, S.D.; Smith, M.J.; Bell, T.G.; Saltzman, E.S.; Ward, B.; Physics. Using eddy covariance to measure the dependence of air–sea CO2 exchange rate on friction velocity. Atmos. Chem. Phys. 2018, 18, 4297–4315. [Google Scholar] [CrossRef] [Green Version]
- Liss, P.S.; Slater, P.G. Flux of gases across the air-sea interface. Nature 1974, 247, 181–184. [Google Scholar] [CrossRef]
- Liss, P.S.; Merlivat, L. Air-sea gas exchange rates: Introduction and synthesis. In The Role of Air-Sea Ecxchange in Geochemical Cycling; Springer: Berlin/Heidelberg, Germany, 1986; pp. 113–127. [Google Scholar]
- Wanninkhof, R. Relationship between wind speed and gas exchange over the ocean. J. Geophys. Res. Ocean. 1992, 97, 7373–7382. [Google Scholar] [CrossRef]
- Nightingale, P.; Malin, G.; Law, C.; Watson, A.; Liss, P.; Liddicoat, M.; Boutin, J.; Upstill-Goddard, R. In situ evaluation of ai’ sea gas exchange parameterizations using novel conservative and volatile tracers. Glob. Biogeochem. Cycles 2000, 14, 373–387. [Google Scholar] [CrossRef]
- Saltzman, E.; King, D.; Holmen, K.; Leck, C. Experimental determination of the diffusion coefficient of dimethylsulfide in water. J. Geophys. Res. Ocean. 1993, 98, 16481–16486. [Google Scholar] [CrossRef] [Green Version]
- Hu, H.; Mylon, S.E.; Benoit, G. Volatile organic sulfur compounds in a stratified lake. Chemosphere 2007, 67, 911–919. [Google Scholar] [CrossRef]
- Oduro, H.; Kamyshny, A.; Zerkle, A.L.; Li, Y.; Farquhar, J. Quadruple sulfur isotope constraints on the origin and cycling of volatile organic sulfur compounds in a stratified sulfidic lake. Geochim. Cosmochim. Acta 2013, 120, 251–262. [Google Scholar] [CrossRef]
- Fritz, M.; Bachofen, R. Volatile organic sulfur compounds in a meromictic alpine Lake. Acta Hydrochim. Hydrobiol. 2000, 28, 185–192. [Google Scholar] [CrossRef]
- Deng, X.; Tao, M.; Zhang, L.; Xie, P.; Chen, J.; Zhang, J. Relationships between odors and algae and water quality in dongting lake. Res. Environ. Sci. 2013, 26, 16–21. [Google Scholar]
- Sela-Adler, M.; Said-Ahmad, W.; Sivan, O.; Eckert, W.; Kiene, R.P.; Amrani, A. Isotopic evidence for the origin of dimethylsulfide and dimethylsulfoniopropionate-like compounds in a warm, monomictic freshwater lake. Environ. Chem. 2016, 13, 340–351. [Google Scholar] [CrossRef] [Green Version]
- Steinke, M.; Hodapp, B.; Subhan, R.; Bell, T.G.; Martincreuzburg, D. Flux of the biogenic volatiles isoprene and dimethyl sulfide from an oligotrophic lake. Sci. Rep. 2018, 8, 630. [Google Scholar] [CrossRef] [PubMed]
- Ginzburg, B.; Chalifa, I.; Gun, J.; Dor, I.; Hadas, O.; Lev, O. DMS Formation by Dimethylsulfoniopropionate Route in Freshwater. Environ. Sci. Technol. 1998, 32, 2130–2136. [Google Scholar] [CrossRef]
- Deng, X.; Chen, J.; Hansson, L.-A.; Zhao, X.; Xie, P. Eco-chemical mechanisms govern phytoplankton emissions of dimethylsulfide in global surface waters. Natl. Sci. Rev. 2021, 8, nwaa140. [Google Scholar] [CrossRef]
- Zhai, X.; Li, J.L.; Zhang, H.H.; Tan, D.D.; Yang, G.P. Spatial distribution and biogeochemical cycling of dimethylated sulfur compounds and methane in the East China Sea during spring. J. Geophys. Res. Ocean. 2019, 124, 1074–1090. [Google Scholar] [CrossRef]
- Wang, W.-L.; Song, G.; Primeau, F.; Saltzman, E.S.; Bell, T.G.; Moore, J.K. Global ocean dimethyl sulfide climatology estimated from observations and an artificial neural network. Biogeosciences 2020, 17, 5335–5354. [Google Scholar] [CrossRef]
- Galí, M.; Levasseur, M.; Devred, E.; Simó, R.; Babin, M. Sea-surface dimethylsulfide (DMS) concentration from satellite data at global and regional scales. Biogeosciences 2018, 15, 3497–3519. [Google Scholar] [CrossRef] [Green Version]
- Lana, A.; Bell, T.; Simó, R.; Vallina, S.; Ballabrera-Poy, J.; Kettle, A.; Dachs, J.; Bopp, L.; Saltzman, E.; Stefels, J.; et al. An updated climatology of surface dimethlysulfide concentrations and emission fluxes in the global ocean. Glob. Biogeochem. Cycles 2011, 25, 1004. [Google Scholar] [CrossRef]
- Olsen, B.K.; Chislock, M.F.; Wilson, A.E. Eutrophication mediates a common off-flavor compound, 2-methylisoborneol, in a drinking water reservoir. Water Res. 2016, 92, 228–234. [Google Scholar] [CrossRef]
- Dzialowski, A.R.; Smith, V.H.; Huggins, D.G.; Denoyelles, F.; Lim, N.C.; Baker, D.S.; Beury, J.H. Development of predictive models for geosmin-related taste and odor in Kansas, USA, drinking water reservoirs. Water Res. 2009, 43, 2829–2840. [Google Scholar] [CrossRef]
- Whelton, A.J.; Dietrich, A.M. Relationship between intensity, concentration, and temperature for drinking water odorants. Water Res. 2004, 38, 1604–1614. [Google Scholar] [CrossRef] [PubMed]
- Liu, X.; Shi, C.; Xu, X.; Li, X.; Xu, Y.; Huang, H.; Zhao, Y.; Zhou, Y.; Shen, H.; Chen, C.; et al. Spatial distributions of β-cyclocitral and β-ionone in the sediment and overlying water of the west shore of Taihu Lake. Sci. Total Environ. 2017, 579, 430–438. [Google Scholar] [CrossRef] [PubMed]
- Ma, Z.; Niu, Y.; Xie, P.; Chen, J.; Tao, M.; Deng, X. Off-flavor compounds from decaying cyanobacterial blooms of Lake Taihu. J. Environ. Sci. 2013, 25, 495–501. [Google Scholar] [CrossRef]
- Yang, M.; Yu, J.; Li, Z.; Guo, Z.; Burch, M.; Lin, T.-F. Taihu Lake not to blame for Wuxi’s woes. Science 2008, 319, 158. [Google Scholar] [CrossRef]
- Yu, C.C.; Shi, C.F.; Tang, J.; Ji, Q.Y.; Wang, X.; Xu, X.G.; Wang, G.X. Release of taste and odour compounds during Zizania latifolia decay: A microcosm system study. Environ. Pollut. 2019, 254, 8. [Google Scholar] [CrossRef]
- Yu, C.; Shi, C.; Ji, M.; Xu, X.; Zhang, Z.; Ma, J.; Wang, G.J. Taste and odor compounds associated with aquatic plants in Taihu Lake: Distribution and producing potential. Environ. Sci. Pollut. Res. 2019, 26, 34510–34520. [Google Scholar] [CrossRef]
- Huang, H.; Xu, X.; Liu, X.; Han, R.-m.; Liu, J.E.; Wang, G.J.S.R. Distributions of four taste and odor compounds in the sediment and overlying water at different ecology environment in Taihu Lake. Sci. Rep. 2018, 8, 6179. [Google Scholar] [CrossRef]
- Deng, X.; Qi, M.; Ren, R.; Liu, J.; Sun, X.; Xie, P.; Chen, J. The relationships between odors and environmental factors at bloom and non-bloom area in Lake Taihu, China. Chemosphere 2019, 218, 569–576. [Google Scholar]
- Ma, Z.; Xie, P.; Chen, J.; Niu, Y.; Tao, M.; Qi, M.; Zhang, W.; Deng, X. Microcystis blooms influencing volatile organic compounds concentrations in Lake Taihu. Fresenius Environ. Bull. 2013, 22, 95–102. [Google Scholar]
- Zhang, X.-J.; Chen, C.; Ding, J.-Q.; Hou, A.; Li, Y.; Niu, Z.-B.; Su, X.-Y.; Xu, Y.-J. The 2007 water crisis in Wuxi, China: Analysis of the origin. J. Hazard. Mater. 2010, 182, 130–135. [Google Scholar] [CrossRef]
- Yang, J.; Yang, S.; Jin, W.; Liu, L.; Yan, Y.; Mao, Q. EOM characteristics and release of extracellular amino acids in three typical freshwater algaes. China Environ. Sci. 2017, 37, 1879–1888. [Google Scholar]
- Cao, J.; Li, D. Nutritional Composition of 10 Common Phytoplankton Species in Freshwater. Acta Sci. Nat. Univ. Sunyatseni 1997, 36, 6. [Google Scholar]
- Lu, X.; Fan, C.; He, W.; Deng, J.; Yin, H. Sulfur-containing amino acid methionine as the precursor of volatile organic sulfur compounds in algea-induced black bloom. J. Environ. Sci. 2013, 25, 33–43. [Google Scholar] [CrossRef]
- Higgins, M.J.; Chen, Y.C.; Yarosz, D.P. Cycling of volatile organic sulfur compounds in anaerobically digested biosolids and its implications for odors. Water Environ. Res. 2006, 78, 243–252. [Google Scholar] [CrossRef]
- Lomans, B.P.; Luderer, R.; Steenbakkers, P.; Pol, A.; van der Drift, C.; Vogels, G.D.; Op den Camp, H.J. Microbial Populations Involved in Cycling of Dimethyl Sulfide and Methanethiol in Freshwater Sediments. Appl. Environ. Microbiol. 2001, 67, 1044–1051. [Google Scholar] [CrossRef] [Green Version]
- Bechard, M.; Rayburn, W.R. Volatile organic sulfides from freshwater algae. J. Phycol. 1979, 15, 379–383. [Google Scholar] [CrossRef]
- Yu, Y.J.; Li, C.Y.; Shen, W.; Wang, Z.; Xu, P.Q.; Yu, H.X. Volatile compounds released by microalgae-water phase from Taihu Lake in China. Harmful Algae 2019, 84, 56–63. [Google Scholar] [CrossRef]
- Richards, S.R.; Kelly, C.; Rudd, J. Organic volatile sulfur in lakes of the Canadian shield and its loss to the atmosphere. Limnol. Oceanogr. 1991, 36, 468–482. [Google Scholar] [CrossRef]
- Sharma, S.; Barrie, L.; Hastie, D.; Kelly, C. Dimethyl sulfide emissions to the atmosphere from lakes of the Canadian boreal region. J. Geophys. Res. Atmos. 1999, 104, 11585–11592. [Google Scholar] [CrossRef] [Green Version]
- Reese, B.K.; Anderson, M.A. Dimethyl sulfide production in a saline eutrophic lake, Salton Sea, California. Limnol. Oceanogr. 2009, 54, 250–261. [Google Scholar] [CrossRef]
- Yang, J.; Yang, G.-P.; Zhang, H.-h.; Zhang, S. Temporal variations of dimethylsulfide and dimethylsulfoniopropionate in the southern Yellow Sea in spring and autumn. Acta Oceanol. Sin. 2016, 35, 76–87. [Google Scholar] [CrossRef] [Green Version]
- Marandino, C.A.; Bruyn, W.J.; Miller, S.D.; Saltzman, E. DMS air/sea flux and gas transfer coefficients from the North Atlantic summertime coccolithophore bloom. Geophys. Res. Lett. 2008, 35, L23812. [Google Scholar] [CrossRef] [Green Version]
- Huebert, B.; Blomquist, B.; Yang, M.; Archer, S.; Nightingale, P.; Yelland, M.; Stephens, J.; Pascal, R.; Moat, B. Linearity of DMS transfer coefficient with both friction velocity and wind speed in the moderate wind speed range. Geophys. Res. Lett. 2010, 37, L01605. [Google Scholar] [CrossRef]
- Webb, A.L.; Leeuwe, M.V.v.; Os, D.d.; Meredith, M.; Venables, H.J.; Stefels, J. Extreme spikes in DMS flux double estimates of biogenic sulfur export from the Antarctic coastal zone to the atmosphere. Sci. Rep. 2019, 9, 2233. [Google Scholar] [CrossRef] [PubMed] [Green Version]
- Kiene, R.; Kieber, D.J.; Slezak, D.; Toole, D.A.; Valle, D.A.d.; Bisgrove, J.; Brinkley, J.; Rellinger, A.N. Distribution and cycling of dimethylsulfide, dimethylsulfoniopropionate, and dimethylsulfoxide during spring and early summer in the Southern Ocean south of New Zealand. Aquat. Sci. 2007, 69, 305–319. [Google Scholar] [CrossRef]







| Regions | Time | VOSCs Concentration | Types of Lake | References |
|---|---|---|---|---|
| Fayetteville Green Lake | Fall of 2008 | MT: 37.99–136.6 μg/L; DMS: 2.28–3.55 μg/L; DMDS: 2.72–6.92 μg/L (Mixing layer) | Deep lake 1 | [31] |
| Linsley Pond | April–July 2004 | DMS: c0–0.85 μg/L; DMDS: 0–0.81 μg/L (Mixing layer) | Eutrophication deep lake | [30] |
| Cadagno Lake | July 1996 | MT: 0.086–0.63 μg/L; DMS: 0.18–2.24 μg/L; DMDS: 0.009–2.54 ng/L (Mixing layer) | Eutrophication deep lake | [32] |
| Kinneret Lake | December 2014 | DMS: 0.028–0.14 μg/L (surface layer of water) | Eutrophication deep lake | [34] |
| Constance Lake | 9–23 July 2013 | DMS: 0.01–0.02 μg/L (surface layer of water) | Oligotrophic deep lake | [35] |
| Dongting Lake | July 2008 | DMS: 0.074–0.168 μg/L | Eutrophication shallow lake | [33] |
| 100 lakes in the middle and lower reaches of the Yangtze River | DMS: 0.008–1.28 μg/L, Mean: 0.17 μg/L, Median: 0.11 μg/L | Eutrophication shallow lake | [37] | |
| This study | 2018–2019 | MT: 0.04–47.98 μg/L; DMS: 0.01–10.232 μg/L, mean: 0.55 μg/L; DMDS: 0.002–0.62 μg/L | Eutrophication shallow lake |
| Regions | Date | DMS Efflux (μmol·m2·d−1) | DMS Efflux Estimating Method | References |
|---|---|---|---|---|
| Constance Lake | July 2013 | 0.295 | Stagnant film model | [35] |
| Trout Lake | May–October 1988 | 4 | Stagnant film model | [61] |
| Lakes (southeast of Kenora in northwestern Ontario) | 1995;1996 | 0.058–15 | Stagnant film model | [62] |
| Salton sea | May–September 2006; October–June 2007 | 300 | Stagnant film model | [63] |
| Yellow sea and Bohai sea | June 2011 | 4.87 | Stagnant film model | [64] |
| North Pacific | May–June 2004 | 5.1 | Eddy covariance | [23] |
| North Atlantic | July 2007 | 5.9 | Eddy covariance | [65] |
| Northeast Atlantic | June–July 2007 | 5.2 | Eddy covariance | [66] |
| Ryder Bay | 2013–2017 | 0.01–968 | Stagnant film model | [67] |
| Ross sea | November 2003; December 2004; November 2005 | 0.2–24.3 | Stagnant film model | [68] |
| This study | Spring | 1.74 ± 0.29 | Stagnant film model | |
| Summer | 6.93 ± 1.11 | |||
| Autumn | 8.33 ± 2.99 | |||
| Winter | 1.18 ± 0.25 |
Publisher’s Note: MDPI stays neutral with regard to jurisdictional claims in published maps and institutional affiliations. |
© 2022 by the authors. Licensee MDPI, Basel, Switzerland. This article is an open access article distributed under the terms and conditions of the Creative Commons Attribution (CC BY) license (https://creativecommons.org/licenses/by/4.0/).
Share and Cite
Li, Y.; Gong, X.; Zhao, Z.; Shen, Q.; Zhang, L. Distribution and Release of Volatile Organic Sulfur Compounds in Yangcheng Lake. Water 2022, 14, 1199. https://doi.org/10.3390/w14081199
Li Y, Gong X, Zhao Z, Shen Q, Zhang L. Distribution and Release of Volatile Organic Sulfur Compounds in Yangcheng Lake. Water. 2022; 14(8):1199. https://doi.org/10.3390/w14081199
Chicago/Turabian StyleLi, Yang, Xionghu Gong, Zhonghua Zhao, Qiushi Shen, and Lu Zhang. 2022. "Distribution and Release of Volatile Organic Sulfur Compounds in Yangcheng Lake" Water 14, no. 8: 1199. https://doi.org/10.3390/w14081199
APA StyleLi, Y., Gong, X., Zhao, Z., Shen, Q., & Zhang, L. (2022). Distribution and Release of Volatile Organic Sulfur Compounds in Yangcheng Lake. Water, 14(8), 1199. https://doi.org/10.3390/w14081199

