The Effect of Vegetative Coverage and Altitude on the Vegetation Water Consumption in the Alpine Inland River Basin of the Northeastern Qinghai–Tibet Plateau
Abstract
:1. Introduction
2. Materials and Methods
2.1. The Study Area
2.2. Data Sources and Processing
2.3. Methods
2.3.1. Calculation of Vegetation Water Consumption
2.3.2. Trend Analysis
2.3.3. Correlation Analysis
3. Results
3.1. Change of Vegetation Water Consumption
3.2. Spatial Characteristics and Changing Trends of the Vegetation Water Consumption
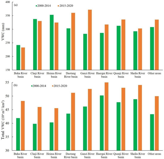
3.3. Analysis of Vegetation Water Consumption in Sub-Catchment
4. Discussion
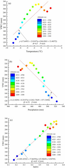
4.1. Research Results of VWC and Analysis of Meteorological Influence Factors
4.2. Influence of Vegetation Coverage on Vegetation Water Consumption
4.3. The Effect of Altitude on Vegetation Water Consumption
5. Conclusions
Author Contributions
Funding
Institutional Review Board Statement
Informed Consent Statement
Data Availability Statement
Conflicts of Interest
References
- Han, Z.Q.; Liu, T.; Wang, T.; Liu, H.F.; Hao, X.R.; Ouyang, Y.N.; Zheng, B.; Li, B.L. Quantification of water resource utilization efficiency as the main driver of plant diversity in the water-limited ecosystems. Ecol. Model. 2020, 429, 108974. [Google Scholar] [CrossRef]
- Chen, T.F.; Wang, X.S. A correlation model on plant water consumption and vegetation index in Mu Us Desert, in China. Procedia Environ. Sci. 2012, 13, 1517–1526. [Google Scholar] [CrossRef] [Green Version]
- Shan, N.; Ju, W.; Migliavacca, M.; Martini, D.; Guanter, L.; Chen, J.; Goulas, Y.; Zhang, Y. Modeling canopy conductance and transpiration from solar-induced chlorophyll fluorescence. Agric. For. Meteorol. 2019, 268, 189–201. [Google Scholar]
- Thevs, N.; Peng, H.; Rozi, A.; Zerbe, S.; Abdusalih, N. Water allocation and water consumption of irrigated agriculture and natural vegetation in the Aksu-Tarim river basin, Xinjiang, China. J. Arid. Environ. 2015, 112, 87–97. [Google Scholar] [CrossRef]
- Yang, P.; Xia, J.; Zhan, C.; Mo, X.; Chen, X.; Hu, S.; Chen, J. Estimation of water consumption for ecosystems based on Vegetation Interfaces Processes Model: A case study of the Aksu River Basin, Northwest China. Sci. Total Environ. 2018, 613–614, 186–195. [Google Scholar] [CrossRef] [PubMed]
- Niu, Z.; He, H.; Zhu, G.; Ren, X.; Zhang, L.; Zhang, K.; Yu, G.; Ge, R.; PanLi, P.; NaZeng, N.; et al. An increasing trend in the ratio of transpiration to total terrestrial evapotranspiration in China from 1982 to 2015 caused by greening and warming. Agric. For. Meteorol. 2019, 279, 107701. [Google Scholar]
- Alton, P.; Fisher, R.; Los, S.; Williams, M. Simulations of global evapotranspiration using semi-empirical and mechanistic schemes of plant hydrology. Glob. Biogeochem. Cycles 2009, 23, 6149–6150. [Google Scholar]
- Matin, M.; Bourque, C. Assessing spatiotemporal variation in actual evapotranspiration for semi-arid watersheds in northwest China: Evaluation of two complementary-based methods. J. Hydrol. 2013, 486, 455–465. [Google Scholar] [CrossRef]
- Li, B.; Chen, Y.; Shi, X. Why does the temperature rise faster in the arid region of northwest China? J. Geophys. Res. Atmos. 2012, 117, D16115. [Google Scholar] [CrossRef] [Green Version]
- Li, B.F.; Chen, Y.N.; Shi, X.; Chen, Z.S. Temperature and precipitation changes in different environments in the arid region of northwest China. Theor. Appl. Climatol. 2013, 112, 589–596. [Google Scholar] [CrossRef]
- Xu, J.; Chen, Y.; Lu, F.; Li, W.; Zhang, L.; Hong, Y. The nonlinear trend of runoff and its response to climate change in the Aksu River, western China. Int. J. Climatol. 2011, 31, 687–695. [Google Scholar] [CrossRef]
- Chimtengo, M.; Ngongondo, C.; Tumbare, M.; Monjerezi, M. Analysing changes in water availability to assess environmental water requirements in the Rivirivi River basin, Southern Malawi. Phys. Chem. Earth 2014, 67–69, 202–213. [Google Scholar] [CrossRef]
- Groeneveld, D.P.; Baugh, W.M.; Sanderson, J.S.; Cooper, D.J. Annual Groundwater Evapotranspiration Mapped from Single Satellite Scenes. J. Hydrol. 2007, 344, 146–156. [Google Scholar] [CrossRef]
- Scott, R.L.; Shuttleworth, W.J.; Goodrich, D.C.; Maddock, T. The water use of two dominant vegetation communities in a semiarid riparian ecosystem. Agric. For. Meteorol. 2000, 105, 241–256. [Google Scholar] [CrossRef]
- Qiu, J. China: The third pole. Nature 2008, 454, 393–396. [Google Scholar] [CrossRef] [PubMed] [Green Version]
- Cui, B.; Li, X. Stable isotopes reveal sources of precipitation in the Qinghai Lake Basin of the northeastern Tibetan Plateau. Sci. Total Environ. 2015, 527–528, 26–37. [Google Scholar] [CrossRef]
- Wilson, M.C.; Smith, A.T. The pika and the watershed: The impact of small mammal poisoning on the ecohydrology of the Qinghai-Tibetan Plateau. Ambio 2015, 44, 16–22. [Google Scholar] [CrossRef] [Green Version]
- Wang, Z.; Cao, S.; Cao, G.; Lan, Y. Effects of vegetation phenology on vegetation productivity in the Qinghai Lake Basin of the Northeastern Qinghai–Tibet Plateau. Arab. J. Geosci. 2021, 14, 1030. [Google Scholar] [CrossRef]
- Badeck, F.; Bondeau, A.; Doktor, D.; Lucht, W.; Schaber, J. Responses of spring phenology to climate change. New Phytol. 2004, 162, 295–309. [Google Scholar] [CrossRef]
- Li, X.Y.; Xu, H.Y.; Sun, Y.L.; Zhang, D.S.; Yang, Z.P. Lake-Level Change and Water Balance Analysis at Lake Qinghai, West China during Recent Decades. Water Resour. Manag. 2007, 21, 1505–1516. [Google Scholar] [CrossRef]
- Cui, B.; Li, X. Characteristics of stable isotopes and hydrochemistry of river water in the Qinghai Lake Basin, northeast Qinghai-Tibet Plateau, China. Environ. Earth Sci. 2015, 73, 4251–4263. [Google Scholar] [CrossRef]
- Wang, Z.; Cao, S.; Cao, G.; Hou, Y.; Wang, Y.; Kang, L. The Partitioning of Catchment Evapotranspiration Fluxes as Revealed by Stable Isotope Signals in the Alpine Inland River Basin. Water 2022, 14, 790. [Google Scholar] [CrossRef]
- Wang, Z.; Cao, S.; Cao, G.; Hou, Y.; Wang, Y.; Kang, L. Tracing the process of precipitation cycle in the headwater area of Qinghai-Tibet Plateau. Arab. J. Geosci. 2022, 15, 367. [Google Scholar] [CrossRef]
- Allen, R.G.; Pereira, L.S.; Smith, M.; Raes, D.; Wright, J.L. Dual crop coefficient method for estimating evaporation from soil and application extensions. J. Irrig. Drain. Eng. 2005, 131, 2–13. [Google Scholar] [CrossRef] [Green Version]
- Allen, R.G.; Pereira, L.S.; Raes, D.; Smith, M. Crop Evapotranspiration (Guidelines for Computing Crop Requirements); Irrigation and Drainage Paper; FAO: Rome, Italy, 1998; pp. 102–300. [Google Scholar]
- Choudhury, B.J.; Ahmed, N.U.; Idso, S.B.; Reginato, R.J.; Daughtry, C.S. Relations between evaporation coefficients and vegetation indices studied by model simulations. Remote Sens. Environ. 1994, 50, 1–17. [Google Scholar] [CrossRef]
- Hargreaves, G.H.; Samani, Z.A. Estimating potential evapotranspiration. J. Irrig. Drain. Div. 1982, 108, 225–230. [Google Scholar] [CrossRef]
- Hargreaves, G.H.; Samani, Z.A. Reference crop evapotranspiration from temperature. Appl. Eng. Agric. 1985, 1, 96–99. [Google Scholar] [CrossRef]
- George, H.; Allen, R. History and Evaluation of Hargreaves Evapotranspiration Equation. J. Irrig. Drain. Eng. 2003, 129, 53–63. [Google Scholar]
- Peng, S.; Ding, Y.; Wen, Z.; Chen, Y.; Cao, Y.; Ren, J. Spatiotemporal change and trend analysis of potential evapotranspiration over the Loess Plateau of China during 2011–2100. Agric. For. Meteorol. 2017, 233, 183–194. [Google Scholar] [CrossRef] [Green Version]
- Zhao, C.; Nan, Z.; Feng, Z. GIS-assisted spatially distributed modeling of the potential evapotranspiration in semi-arid climate of the Chinese Loess Plateau. J. Arid. Environ. 2004, 58, 387–403. [Google Scholar]
- Gang, C.; Zhang, Y.; Guo, L.; Gao, X.; Peng, S.; Chen, M.; Wen, Z. Drought-Induced Carbon and Water Use Efficiency Responses in Dryland Vegetation of Northern China. Front. Plant Sci. 2019, 10, 224. [Google Scholar] [CrossRef] [PubMed]
- Han, H.; Bai, J.; Ma, G.; Yan, J. Vegetation Phenological Changes in Multiple Landforms and Responses to Climate Change. ISPRS Int. J. Geo-Inf. 2020, 9, 111. [Google Scholar] [CrossRef] [Green Version]
- Su, B.; Jian, D.; Li, X.; Wang, Y.; Wang, A.; Wen, S.; Tao, H.; Hartmann, H. Projection of actual evapotranspiration using the COSMO-CLM regional climate model under global warming scenarios of 1.5 °C and 2.0 °C in the Tarim River basin, China. Atmos. Res. 2017, 196, 119–128. [Google Scholar] [CrossRef]
- Ma, X.; Su, X.; Zhang, G. Estimation of vegetation ecological water consumption in the middle reaches of Heihe River basin based on NDVI. J. Northwest A F Univ. (Nat. Sci. Ed.) 2018, 46, 55–62. [Google Scholar]
- Song, Z.; Feng, Q.; Gao, Z.; Cao, S.; Cao, G.; Wang, Z. Temporal and Spatial Differences and Driving Factors of Evapotranspiration from Terrestrial Ecosystems of the Qinghai Province in the Past 20 Years. Water 2022, 14, 536. [Google Scholar] [CrossRef]
- Lin, P.; He, Z.; Du, J.; Chen, L.; Zhu, X.; Li, J. Impacts of climate change on reference evapotranspiration in the Qilian Mountains of China: Historical trends and projected changes. Int. J. Climatol. 2018, 38, 2980–2993. [Google Scholar] [CrossRef]
- Yuan, X.; Bai, J. Future projected changes in local evapotranspiration coupled with temperature and precipitation variation. Sustainability 2018, 10, 3281. [Google Scholar] [CrossRef] [Green Version]














| Year | Factor | Fitting Equation | Fitting Coefficient | Significant Test |
|---|---|---|---|---|
| Vegetation water consumption | y = −13.472x + 361.86 | 0.8 | p < 0.01 | |
| 2000–2014 | Average annual temperature | y = −0.7197x + 2.9045 | 0.99 | p < 0.01 |
| Average annual precipitation | y = 6.1094x + 421.14 | 0.99 | p < 0.01 | |
| NDVI | y = −0.0345x + 0.7948 | 0.81 | p < 0.01 | |
| Vegetation water consumption | y = −22.798x + 425.58 | 0.96 | p < 0.01 | |
| 2015–2020 | Average annual temperature | y = −0.7264x + 0.1405 | 0.98 | p < 0.01 |
| Average annual precipitation | y = 0.2422x + 433.86 | 0.03 | p > 0.05 | |
| NDVI | y = −0.0389x + 0.8653 | 0.83 | p < 0.01 |
Publisher’s Note: MDPI stays neutral with regard to jurisdictional claims in published maps and institutional affiliations. |
© 2022 by the authors. Licensee MDPI, Basel, Switzerland. This article is an open access article distributed under the terms and conditions of the Creative Commons Attribution (CC BY) license (https://creativecommons.org/licenses/by/4.0/).
Share and Cite
Wang, Z.; Cao, S.; Cao, G. The Effect of Vegetative Coverage and Altitude on the Vegetation Water Consumption in the Alpine Inland River Basin of the Northeastern Qinghai–Tibet Plateau. Water 2022, 14, 1113. https://doi.org/10.3390/w14071113
Wang Z, Cao S, Cao G. The Effect of Vegetative Coverage and Altitude on the Vegetation Water Consumption in the Alpine Inland River Basin of the Northeastern Qinghai–Tibet Plateau. Water. 2022; 14(7):1113. https://doi.org/10.3390/w14071113
Chicago/Turabian StyleWang, Zhigang, Shengkui Cao, and Guangchao Cao. 2022. "The Effect of Vegetative Coverage and Altitude on the Vegetation Water Consumption in the Alpine Inland River Basin of the Northeastern Qinghai–Tibet Plateau" Water 14, no. 7: 1113. https://doi.org/10.3390/w14071113
APA StyleWang, Z., Cao, S., & Cao, G. (2022). The Effect of Vegetative Coverage and Altitude on the Vegetation Water Consumption in the Alpine Inland River Basin of the Northeastern Qinghai–Tibet Plateau. Water, 14(7), 1113. https://doi.org/10.3390/w14071113
