Optimal Control Strategy of a Sewer Network
Abstract
:1. Introduction
- The wastewater collection from various domestic or industrial activities and/or stormwater. It should be noted that in case of large rainfall events and significant amounts of stormwater, it is possible to overload water collection systems, leading to discharges of the excess water into the environment—discharges that can cause flooding or lead to soil and natural water pollution;
- The wastewater treatment in treatment plants, after which it can be discharged into natural receptors.
2. Materials and Methods
2.1. Structure and Characteristics of the Sewer Network
- di, , is the inflow of tank from the corresponding collection area;
- ui, , is the outflow of tank ;
- qover,i, , represents the overflow of each tank.
- For the tanks that use pumps to drain the wastewater, a constant value is considered representing the maximum flow of the pump;
- For the gravitational tanks, the maximum flow is considered to be 3 times higher than the average wastewater production of the population served by tank , or by the tanks whose outflow is part of tank ’s inflow—the average domestic water .
- A 15 min delay until the wastewater travels from one person to the tank corresponding to the collection area;
- Twenty-five percent of TSS can accumulate in the piping, but no more than . The accumulated particulates will be flushed away when the flow increases over 8 times compared to the average domestic flow of the corresponding collection area (e.g., during pluviometric events).
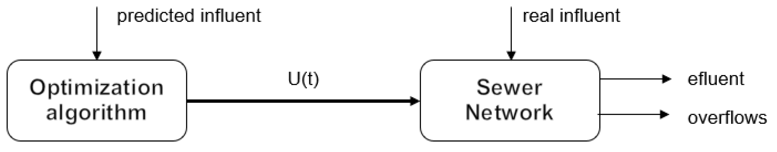
2.2. The Influent of the Sewer Network
2.3. Performance Criteria of a Sewer Network
2.4. Genetic Algorithm
- The chromosome number and structure of genes is chosen according to each control strategy approach, as can be seen in the following sections;
- The population size is chosen to consist of 20 individuals;
- The initial population is randomly generated with a uniform distribution;
- The crossover function that generates the offspring chromosome (C) from two parent chromosomes (P1 and P2) generates a binary vector (S) with random values that have the same length as the chromosome. Considering this randomly generated binary vector, if S(k) = 0, then the gene k of the offspring chromosome inherits the value of gene k of the first parent, or if S(k) = 1, the gene k of the offspring chromosome inherits the gene k value of the second parent (Figure 4).
- The parent chromosomes are randomly chosen from the population, using for each candidate a probability directly proportional to its fitness function;
- To each gene of the parents, he mutation function adds a random value chosen from a Gaussian distribution with zero mean and standard deviation calculated for each gene as follows:where
- ○
- k—the current generation number;
- ○
- Gen—the maximum number of generations;
- ○
- —standard deviation of the Gaussian distribution at the generation k (at the first generation, is the size of the gene range);
- The genetic algorithm stops when the maximum number of generations is reached (100 generations), or when the best fitness does not improve in the last 30 generations.
3. Simulation Results
3.1. Operation of the Sewer Network with Constant Controls at Maximum Values (100%)
3.2. Control Strategy #1—Constant Controls
3.2.1. Volume of Overflow Minimization (Strategy #1)
3.2.2. Overflow Quality Index Minimization (Strategy #1)
3.3. Control Strategy #2
3.3.1. Volume of Overflow Minimization (Strategy #2)
3.3.2. Overflow Quality Index Minimization (Strategy #2)
3.4. Control Strategy #3
3.4.1. Volume of Overflow Minimization (Strategy #3)
3.4.2. Overflow Quality Index Minimization
3.5. Control Strategy #4
3.5.1. Volume of Overflow Minimization
3.5.2. Overflow Quality Index Minimization
3.6. Control Strategy #5
3.6.1. Volume of Overflow Minimization
3.6.2. Overflow Quality Index Minimization
4. Discussion
5. Conclusions
Author Contributions
Funding
Data Availability Statement
Conflicts of Interest
References
- Barbu, M.D. Contribuții Privind Conducerea Automată a Sistemelor de Colectare și Tratare a Apelor Uzate. Ph.D. Thesis, Dunărea de Jos University, Galați, Romania, 2014. [Google Scholar]
- Marinaki, M. A non-linear optimal control approach to central sewer network flow control. Int. J. Control 1999, 72, 418–429. [Google Scholar] [CrossRef]
- Schütze, M.R.; Butler, D.; Beck, M.B. Modelling, Simulation and Control of Urban Wastewater Systems; Springer: London, UK, 2002. [Google Scholar]
- Ocampo-Martinez, C. Model Predictive Control of Wastewater Systems; Springer: London, UK, 2010. [Google Scholar]
- Pai, T.-Y.; Lo, H.-M.; Wan, T.-J.; Wang, Y.-H.; Cheng, Y.-H.; Tsai, M.-H.; Tang, H.; Sun, Y.-X.; Chen, W.-C.; Lin, Y.-P. A Sewer Dynamic Model for Simulating Reaction Rates of Different Compounds in Urban Sewer Pipe. Water 2021, 13, 1580. [Google Scholar] [CrossRef]
- García, J.T.; Espín-Leal, P.; Vigueras-Rodriguez, A.; Castillo, L.G.; Carrillo, J.M.; Martínez-Solano, P.D.; Nevado-Santos, S. Urban Runoff Characteristics in Combined Sewer Overflows (CSOs): Analysis of Storm Events in Southeastern Spain. Water 2017, 9, 303. [Google Scholar] [CrossRef]
- Torres-Matallana, J.A.; Leopold, U.; Klepiszewski, K.; Heuvelink, G.B.M. EmiStatR: A Simplified and Scalable Urban Water Quality Model for Simulation of Combined Sewer Overflows. Water 2018, 10, 782. [Google Scholar] [CrossRef] [Green Version]
- Jiang, Y.; Li, C.; Sun, L.; Guo, D.; Zhang, Y.; Wang, W. A deep learning algorithm for multi-source data fusion to predict water quality of urban sewer networks. J. Clean. Prod. 2021, 318, 128533. [Google Scholar] [CrossRef]
- Li, Y.; Hou, X.; Zhang, W.; Xiong, W.; Wang, L.; Zhang, S.; Wang, P.; Wang, C. Integration of life cycle assessment and statistical analysis to understand the influence of rainfall on WWTPs with combined sewer systems. J. Clean. Prod. 2018, 172, 2521–2530. [Google Scholar] [CrossRef]
- Saagi, R.; Flores-Alsina, X.; Fu, G.; Butler, D.; Gernaey, K.V.; Jeppsson, U. Catchment & sewer network simulation model to benchmark control strategies within urban wastewater systems. Environ. Model. Softw. 2016, 78, 16–30. [Google Scholar] [CrossRef] [Green Version]
- Vezzaro, L.; Benedetti, L.; Gevaert, V.; De Keyser, W.; Verdonck, F.; De Baets, B.; Nopens, I.; Cloutier, F.; Vanrolleghem, P.A.; Mikkelsen, P.S. A model library for dynamic transport and fate of micropollutants in integrated urban wastewater and stormwater systems. Environ. Model. Softw. 2014, 53, 98–111. [Google Scholar] [CrossRef]
- Rauch, W.; Bertrand-Krajewski, J.-L.; Krebs, P.; Mark, O.; Schilling, W.; Schütze, M.; Vanrolleghem, P. Deterministic modelling of integrated urban drainage systems. Water Sci. Technol. 2002, 45, 81–94. [Google Scholar] [CrossRef]
- Brepols, C.; Dahmen, H.; Lange, M.; Sohr, A.; Kiesewski, R.; Rohlfing, R. Model-Based Sewer Network Control-Practical Experiences; Springer: Cham, Switzerland, 2018; pp. 20–24. [Google Scholar]
- Kroll, S.; Weemaes, M.; Van Impe, J.; Willems, P. A Methodology for the Design of RTC Strategies for Combined Sewer Networks. Water 2018, 10, 1675. [Google Scholar] [CrossRef] [Green Version]
- Wei, Z.; Shangguan, H.; Zhan, J.; Lin, R.; Huang, X.; Lu, L.; Li, H.; Du, B.; Fan, G. Water Quality-Based Double-Gates Control Strategy for Combined Sewer Overflows Pollution Control. Water 2021, 13, 529. [Google Scholar] [CrossRef]
- Van Nguyen, L.; Tornyeviadzi, H.M.; Bui, D.T.; Seidu, R. Predicting Discharges in Sewer Pipes Using an Integrated Long Short-Term Memory and Entropy A-TOPSIS Modeling Framework. Water 2022, 14, 300. [Google Scholar] [CrossRef]
- Harremoës, P.; Hvitved-Jacobsen, T.; Lynggaard-Jensen, A.; Nielsen, B. Municipal Wastewater Systems, Integrated Approach to Design, Monitoring and Control. Water Sci. Technol. 1994, 29, 419–426. [Google Scholar] [CrossRef]
- Marinaki, M.; Papageorgiou, M. Optimal Real-Time Control of Sewer Networks; Springer: London, UK, 2005. [Google Scholar]
- Minzu, V.; Serbencu, A. Systematic Procedure for Optimal Controller Implementation Using Metaheuristic Algorithms. Intell. Autom. Soft Comput. 2020, 26, 663–677. [Google Scholar] [CrossRef]
- Liao, H.-Y.; Pan, T.-Y.; Chang, H.-K.; Hsieh, C.-T.; Lai, J.-S.; Tan, Y.-C.; Su, M.-D. Using Tabu Search Adjusted with Urban Sewer Flood Simulation to Improve Pluvial Flood Warning via Rainfall Thresholds. Water 2019, 11, 348. [Google Scholar] [CrossRef] [Green Version]
- Bradford, B.H. Optimal Storage Control in a Combined Sewer System. J. Water Resour. Plan. Manag. Div. 1977, 103, 1–15. [Google Scholar] [CrossRef]
- Walters, G.A. The Design of the Optimal Layout for a Sewer Network. Eng. Optim. 1985, 9, 37–50. [Google Scholar] [CrossRef]
- Labadie, J.W.; Chen, Y.H.; Morrow, D.M. Optimal Control of Unsteady Combined Sewer Flow. J. Water Resour. Plan. Manag. Div. 1980, 106, 205–223. [Google Scholar] [CrossRef]
- Marinaki, M.; Papageorgiou, M.; Messmer, A. Multivariable Regulator Approach to Sewer Network Flow Control. J. Environ. Eng. 1999, 125, 267–276. [Google Scholar] [CrossRef]
- Marinaki, M.; Papageorgiu, M. Linear-Quadratic Regulators Applied to Sewer Network Flow Control. In Proceedings of the 2003 European Control Conference (ECC), Cambridge, UK, 1–4 September 2003. [Google Scholar]
- Zhang, D. Sewer System Control using Artificial Intelligence, Hydraulic Model, and Internet of Things. Ph.D. Thesis, Norwegian University of Life Sciences, As, Norway, 2019. [Google Scholar]
- Liang, L.Y.; Thompson, R.G.; Young, D.M. Optimising the design of sewer networks using genetic algorithms and tabu search. Eng. Constr. Arch. Manag. 2004, 11, 101–112. [Google Scholar] [CrossRef]
- Murillo, J.; Busquets, D.; Dalmau, J.; López, B.; Muñoz, V.; Rodríguez-Roda, I. Improving urban wastewater management through an auction-based management of discharges. Environ. Model. Softw. 2011, 26, 689–696. [Google Scholar] [CrossRef]
- Vasiliev, I.; Luca, L.; Barbu, M.; Vilanova, R.; Caraman, S. Sewer Network Model of a City with a Medium-Sized Population. In Proceedings of the 23rd International Carpathian Control Conference, Sinaia, Romania, 29 May–1 June 2022. [Google Scholar]
- Jern, H.W. Industrial Wastewater Treatment; Imperial College Press: London, UK, 2006; p. 17. [Google Scholar] [CrossRef] [Green Version]
- Mitchell, M. An Introduction to Genetic Algorithms; MIT Press: Cambridge, MA, USA, 1998. [Google Scholar]
- Barbu, M.; Vilanova, R.; Santín, I. Fuzzy control applied on a benchmark simulation model for sewer networks. In Proceedings of the 2016 20th International Conference on System Theory, Control and Computing (ICSTCC), Sinaia, Romania, 13–15 October 2016; pp. 180–185. [Google Scholar] [CrossRef]


























| Collection Area Number | Collection Area Surface (ha) | The Population Served (Number of Inhabitants) |
|---|---|---|
| 1 | 2500 | 75,000 |
| 2 | 5000 | 50,000 |
| 3 | 6000 | 40,000 |
| 4 | 7500 | 60,000 |
| 5 | 3500 | 25,000 |
| Tank Number | The Tank Volume | Maximum Flow at the Tank Output |
|---|---|---|
| 1 | 3750 | 33,750 |
| 2 | 2500 | 22,500 |
| 3 | 2000 | 18,000 |
| 4 | 3000 | 15,000 |
| 5 | 3750 | 18,750 |
| 6 | 2083 | 25,000 |
| 7 | 2500 | 112,500 |
| Area Number | CODsol (kg/day) | CODpart (kg/day) | (kg/day) | (kg/day) | Flow (m3/day) |
|---|---|---|---|---|---|
| 1 | 720.71 | 4607.6 | 220.84 | 57.05 | 7786.2 |
| 2 | 487.97 | 3104.7 | 143.80 | 38.26 | 5283.0 |
| 3 | 421.18 | 2693.0 | 121.91 | 30.95 | 4400.5 |
| 4 | 589.17 | 3789.9 | 182.30 | 44.36 | 6369.4 |
| 5 | 2742.60 | 2051.3 | 132.67 | 61.22 | 4771.9 |
| Area Number | CODsol (g/m3) | CODpart (g/m3) | (g/m3) | (g/m3) |
|---|---|---|---|---|
| 1 | 92.57 | 591.78 | 28.67 | 7.33 |
| 2 | 92.37 | 587.68 | 27.22 | 7.25 |
| 3 | 93.67 | 611.97 | 27.71 | 7.04 |
| 4 | 92.50 | 595.03 | 28.62 | 6.97 |
| 5 | 574.74 | 429.87 | 27.81 | 12.83 |
| Criteria | Unit | Description |
|---|---|---|
| 1/year | Frequency of overflow | |
| Days/year | Duration of overflow | |
| m3/year | Volume of overflow | |
| kg of polluting units/day | Overflow quality index | |
| gCOD/m3 | Maximum concentration of TSS/hour | |
| gN/m3 | Maximum concentration of TKN/hour | |
| gP/m3 | Maximum concentration of PO4/hour | |
| Days/year | Annual duration of exceedances for TSS | |
| Days/year | Annual duration of exceedances for TKN | |
| Days/year | Annual duration of exceedances for PO4 |
| Tank Number | ||
|---|---|---|
| 1 | 0 | 0 |
| 2 | 22,729 | 192 |
| 3 | 50,202 | 743 |
| 4 | 55,134 | 1365 |
| 5 | 0 | 0 |
| 6 | 241,600 | 3830 |
| 7 | 0 | 0 |
| Global | 369,665 | 6131 |
| Tank Number | ||
|---|---|---|
| 1 | 0 | 0 |
| 2 | 22,750 | 192 |
| 3 | 63,727 | 886 |
| 4 | 61,099 | 1376 |
| 5 | 12,924 | 451 |
| 6 | 130,855 | 2223 |
| 7 | 0 | 0 |
| Global | 291,355 | 5128 |
| Tank Number | ||
|---|---|---|
| 1 | 0 | 0 |
| 2 | 22,740 | 193 |
| 3 | 63,189 | 852 |
| 4 | 106,189 | 1789 |
| 5 | 11,876 | 422 |
| 6 | 103,051 | 1811 |
| 7 | 0 | 0 |
| Global | 307,044 | 5066 |
| Tank Number | ||
|---|---|---|
| 1 | 0 | 0 |
| 2 | 22,730 | 192 |
| 3 | 57,059 | 784 |
| 4 | 55,156 | 1365 |
| 5 | 15,512 | 508 |
| 6 | 141,430 | 2307 |
| 7 | 0 | 0 |
| Global | 291,887 | 5157 |
| Tank Number | ||
|---|---|---|
| 1 | 0 | 0 |
| 2 | 22,728 | 192 |
| 3 | 66,739 | 878 |
| 4 | 76,156 | 1488 |
| 5 | 535 | 15 |
| 6 | 156,137 | 2607 |
| 7 | 0 | 0 |
| Global | 322,295 | 5180 |
| Tank Number | ||
|---|---|---|
| 1 | 0 | 0 |
| 2 | 22,759 | 193 |
| 3 | 90,614 | 1197 |
| 4 | 85,118 | 1819 |
| 5 | 21,207 | 727 |
| 6 | 24,667 | 318 |
| 7 | 0 | 0 |
| Global | 244,365 | 4254 |
| Tank Number | ||
|---|---|---|
| 1 | 0 | 0 |
| 2 | 22,772 | 193 |
| 3 | 156,472 | 1982 |
| 4 | 69,088 | 1526 |
| 5 | 9111 | 299 |
| 6 | 17,609 | 280 |
| 7 | 0 | 0 |
| Global | 275,052 | 4280 |
| Tank Number | ||
|---|---|---|
| 1 | 0 | 0 |
| 2 | 22,743 | 193 |
| 3 | 87,101 | 1168 |
| 4 | 86,162 | 1882 |
| 5 | 26,715 | 883 |
| 6 | 40,314 | 503 |
| 7 | 0 | 0 |
| Global | 263,034 | 4629 |
| Tank Number | ||
|---|---|---|
| 1 | 0 | 0 |
| 2 | 22,759 | 193 |
| 3 | 126,250 | 1609 |
| 4 | 69,097 | 1547 |
| 5 | 15,677 | 539 |
| 6 | 18,166 | 258 |
| 7 | 0 | 0 |
| Global | 251,949 | 4173 |
| Tank Number | ||
|---|---|---|
| 1 | 0 | 0 |
| 2 | 22,759 | 193 |
| 3 | 113,086 | 1489 |
| 4 | 72,589 | 1610 |
| 5 | 27,726 | 924 |
| 6 | 10,983 | 157 |
| 7 | 0 | 0 |
| Global | 247,143 | 4373 |
| Tank Number | (m3/year) | |
|---|---|---|
| 1 | 0 | 0 |
| 2 | 22,741 | 193 |
| 3 | 96,103 | 1275 |
| 4 | 105,689 | 2218 |
| 5 | 2844 | 89 |
| 6 | 45,448 | 574 |
| 7 | 0 | 0 |
| Global | 272,826 | 4349 |
(m3/year) | Percentage of “No Control” | Percentage of “No Control” | ||
|---|---|---|---|---|
| No control | 369,655 | 6131 | ||
| ) | 291,355 | −21.18% | 5128 | −16.36% |
| ) | 307,044 | −16.94% | 5066 | −17.37% |
| ) | 291,877 | −21.04% | 5157 | −15.89% |
| ) | 322,295 | −12.81% | 5180 | −15.51% |
| ) | 244,365 | −33.89% | 4245 | −30.61% |
| ) | 275,052 | −25.59% | 4280 | −30.19% |
| ) | 263,034 | −28.84% | 4629 | −24.50% |
| ) | 251,949 | −31.84% | 4173 | −31.94% |
| ) | 247,143 | −33.14% | 4373 | −28.67% |
| ) | 272,826 | −26.19% | 4349 | −29.06% |
| Run Number | (m3/year) | Percentage of “No Control” | Percentage of “No Control” | |
|---|---|---|---|---|
| 1 | 244,365 | −33.89% | 4245 | −30.61% |
| 2 | 261,818 | −29.17% | 4628 | −24.51% |
| 3 | 291,646 | −21.10% | 5003 | −18.39% |
| 4 | 245,079 | −33.70% | 4322 | −29.50% |
| 5 | 279,821 | −24.30% | 4932 | −19.55% |
| 6 | 269,879 | −26.99% | 4824 | −21.31% |
| 7 | 277,738 | −24.86% | 4858 | −20.76% |
| 8 | 245,616 | −33.55% | 4265 | −30.43% |
| 9 | 256,327 | −30.65% | 4476 | −26.99% |
| 10 | 241,795 | −34.58% | 4339 | −29.22% |
| 11 | 254,391 | −31.18% | 4554 | −25.72% |
| 12 | 265,862 | −28.07% | 4621 | −24.62% |
| 13 | 265,846 | −28.08% | 4756 | −22.28% |
| 14 | 253,098 | −31.53% | 4375 | −28.93% |
| 15 | 258,943 | −29.95% | 4429 | −27.76% |
| 16 | 254,574 | −31.13% | 4465 | −27.17% |
| 17 | 251,778 | −31.88% | 4405 | −28.15% |
| 18 | 248,581 | −32.75% | 4375 | −28.64% |
| Maximum Value | Minimum Value | Mean Value | Standard Deviation | |
|---|---|---|---|---|
| (m3/year) | 291,646 (−21.10%) | 241,795 (−34.58%) | 259,286.5 (−29.85%) | 13,710.8951 |
| 5003 (−18.39%) | 4245 (−30.61%) | 4548.4444 (−25.81%) | 237.0131 |
Publisher’s Note: MDPI stays neutral with regard to jurisdictional claims in published maps and institutional affiliations. |
© 2022 by the authors. Licensee MDPI, Basel, Switzerland. This article is an open access article distributed under the terms and conditions of the Creative Commons Attribution (CC BY) license (https://creativecommons.org/licenses/by/4.0/).
Share and Cite
Vasiliev, I.; Luca, L.; Barbu, M.; Vilanova, R.; Caraman, S. Optimal Control Strategy of a Sewer Network. Water 2022, 14, 1062. https://doi.org/10.3390/w14071062
Vasiliev I, Luca L, Barbu M, Vilanova R, Caraman S. Optimal Control Strategy of a Sewer Network. Water. 2022; 14(7):1062. https://doi.org/10.3390/w14071062
Chicago/Turabian StyleVasiliev, Iulian, Laurentiu Luca, Marian Barbu, Ramon Vilanova, and Sergiu Caraman. 2022. "Optimal Control Strategy of a Sewer Network" Water 14, no. 7: 1062. https://doi.org/10.3390/w14071062
APA StyleVasiliev, I., Luca, L., Barbu, M., Vilanova, R., & Caraman, S. (2022). Optimal Control Strategy of a Sewer Network. Water, 14(7), 1062. https://doi.org/10.3390/w14071062

