Driving Factors of Total Organic Carbon in Danjiangkou Reservoir Using Generalized Additive Model
Abstract
:1. Introduction
2. Materials and Methods
2.1. Study Area
2.2. Sample Collection and Determination
2.3. Data Processing and Analysis
2.3.1. Data Processing
2.3.2. Comprehensive Nutrient Status Evaluation of Water Quality
2.3.3. Generalized Additive Model (GAM)
3. Results
3.1. Spatio-Temporal Characteristics of TOC Concentration
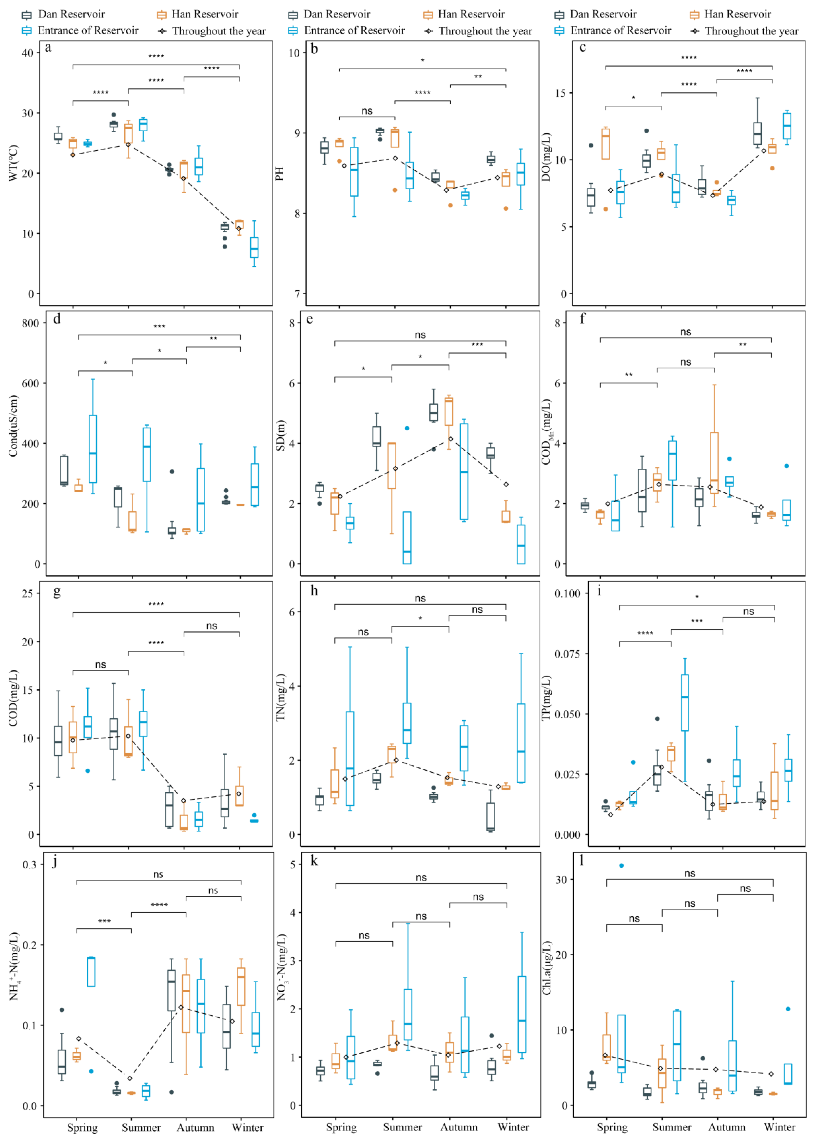
3.2. Spatio-Temporal Analysis of Environmental Factors
3.3. GAM Model Analysis of TOC Concentration and Environmental Factors
3.3.1. Single-Factor GAM Model Analysis
3.3.2. Multi-Factor GAM Model Analysis of TOC Concentration and Environmental Factors
4. Discussion
4.1. Spatio-Temporal Distribution of TOC Concentration
4.2. Driving Factors Affecting TOC Concentration
4.3. Evaluation of Water Quality in Large Drinking Water Reservoirs and the Relationship with TOC Concentration
5. Conclusions
- (1)
- Strong spatio-temporal patterns of TOC concentration were found in the surface waters of the Danjiangkou Reservoir. Concentrations tended to decrease from spring to summer, autumn, and winter. The highest concentrations of TOC were found in Han reservoir, then the entrance of the reservoir and Dan Reservoir.
- (2)
- Through the analysis of the single factor GAM model, the driving factors of TOC concentration varied with time and location. The main environmental factors affecting TOC concentration were temporally WT, CODMn, and NH4+-N in autumn, but TN and SD in winter. In the Dan Reservoir, the main environmental factors affecting TOC concentration were WT, COD, NH4+-N, TN, and Cond, while WT, COD, NH4+-N, TP, and Chl.a explained the most variability of TOC in the Han reservoir.
- (3)
- By the multi-factor GAM model, the environmental factors affecting TOC concentration were mainly WT, Cond, TN, CODMn, and TP, among which WT showed a significant linear relationship with both Cond value and TN, CODMn, and TP had a significant nonlinear relationship.
- (4)
- The water quality of the Danjiangkou Reservoir was under the mesotrophic state, and the average value of TOC concentration met the demand for drinking water. TOC parameter could be regarded as a key factor in the management of water quality.
- (5)
- This study was limited to the evaluation of surface waters of the Danjiangkou Reservoir. Future studies should investigate differences in water quality parameters throughout the water column.
Author Contributions
Funding
Informed Consent Statement
Data Availability Statement
Acknowledgments
Conflicts of Interest
References
- Dong, G.; Hu, Z.; Liu, X.; Fu, Y.; Zhang, W. Spatio-temporal variation of total nitrogen and ammonia nitrogen in the water source of the middle route of the South-To-North Water Diversion Project. Water 2020, 12, 2615. [Google Scholar] [CrossRef]
- Zhao, K.; Yang, W.; Sha, J.; Shang, Y.; Li, X. Spatial characteristics of nutrient status in Danjiangkou Reservoir. Environ. Sci. Technol. 2020, 43, 51–58. [Google Scholar]
- Yan, X.; Zhang, Y.; Li, Y.; Jiang, Y.; Cui, Z.; Gao, X.; Wu, N.; Nicola, F.; Han, X. Hydrologic and physicochemical factors co-drive seasonal changes of phytoplankton during dynamic water diversion processes in the Danjiangkou Reservoir. J. Lake Sci. 2021, 33, 1350–1363. [Google Scholar]
- Wang, Y.; Chen, L.; Niu, Y.; Yu, H.; Luo, M. Spatio-temporal variation in phytoplankton community and its influencing factors in Danjiangkou Reservoir. J. Lake Sci. 2016, 28, 1057–1065. [Google Scholar]
- Zhang, L.; Yin, W.; Wang, C.; Zhang, A.; Zhang, H.; Zhang, T.; Ju, F. Untangling microbiota diversity and assembly patterns in the world’s largest water diversion canal. Water Res. 2021, 204, 117617. [Google Scholar] [CrossRef] [PubMed]
- Zheng, B.-H.; Chen, Z.-J.; Li, Y.-Y.; Fohrer, N.; Zhang, Y.; Wu, D.-Y.; Yan, X.-Y.; Li, B.-L. Structural characteristics and driving factors of the planktonic eukaryotic community in the Danjiangkou Reservoir, China. Water 2020, 12, 3499. [Google Scholar] [CrossRef]
- Chi, S.; Zhao, X.; Gao, S.; Zhang, A.; Hu, J.; Li, S.; Hu, J.; Dong, F. The spatial distribution pattern of autumn macroinvertebrates in relation to environmental factors in Danjiangkou Reservoir. Acta Ecol. Sin. 2021, 41, 1229–1241. [Google Scholar]
- Hu, Y.; Peng, Y.; Li, R.; Huang, J.; Zhou, Z.; Hu, S.; Wang, Y.; Qiu, G. Plankton diversity and community characteristics in Danjiangkou Reservoir based on environmental DNA metabarcoding. J. Lake Sci. 2021, 33, 1650–1659. [Google Scholar]
- Zhang, Z.; Meng, P.; Xu, G.; He, Y.; Zhang, Z.; Jiang, Y. Temporal and spatial distribution of total organic carbon and its influence factors in east lake. Environ. Sci. Technol. 2013, 36, 110–114. [Google Scholar]
- Huang, Y.; Dou, S.; Yang, S.; Gao, D.; Zhang, K.; Dong, Q. Spatial-temporal distribution characteristics and influencing factors of total organic carbon in Erhai Lake. Environ. Sci. Surv. 2021, 40, 17–24. [Google Scholar]
- Lee, J.; Lee, S.; Yu, S.; Rhew, D. Relationships between water quality parameters in rivers and lakes: BOD 5, COD, NBOPs, and TOC. Environ. Monit. Assess. 2016, 188, 252. [Google Scholar] [CrossRef] [PubMed]
- Hedges, J.; Oades, J. Comparative organic geochemistries of soils and marine sediments. Org. Geochem. 1997, 27, 319–361. [Google Scholar] [CrossRef]
- Carsten, M.; Neal, M.; M, P.A.; Don, M.; Handong, Y.; Jan, W.; P, S.J.; Richard, B. Inferring past trends in lake water organic carbon concentrations in Northern Lakes using sediment spectroscopy. Environ. Sci. Technol. 2017, 51, 13248–13255. [Google Scholar]
- Ouyang, Y.; Zhang, J.E.; Ou, L.-T. Temporal and spatial distributions of sediment total organic carbon in an estuary river. J. Environ. Qual. 2006, 35, 93–100. [Google Scholar] [CrossRef] [PubMed]
- Jiang, Z.; Huang, X.; Zhang, J. Temporal and spatial distribution of total organic carbon and its influence aspects in the Daya Bay. Acta Oceanol. Sin. 2009, 31, 91–98. [Google Scholar]
- Park, H.-K.; Byeon, M.-S.; Shin, Y.-N.; Jung, D.-I. Sources and Spatial and Temporal Characteristics of Organic Carbon in Two Large Reservoirs with Contrasting Hydrologic Characteristics; John Wiley & Sons: Hoboken, NJ, USA, 2009. [Google Scholar]
- Lin, L.; Pan, X.; Zhang, S.; Li, D.; Zhai, W.; Wang, Z.; Tao, J.; Mi, C.; Li, Q.; Crittenden, J.C. Distribution and source of micro-plastics in China’s second largest reservoir-Danjiangkou Reservoir. J. Environ. Sci. China 2021, 102, 74–84. [Google Scholar] [CrossRef] [PubMed]
- Liu, L.; Peng, W.; Wu, L.; Liu, L. Water quality assessment of Danjiangkou Reservoir and its tributaries in China. In IOP Con-ference Series: Earth and Environmental Science; IOP Publishing: Bristol, UK, 2018; Volume 112. [Google Scholar]
- HJ 501-2009; Water Quality. Determination of Total Organic Carbon. Combustion Oxidation Nondispersive Infrared Absorption Method. Ministry of Environmental Protection: Beijing, China, 2009.
- State Environmental Protection Administration. Monitoring and Analysis Methods of Water Waste Water, 4th ed.; Environmental Science Press: Beijing, China, 2002.
- Oksanen, J.; Blanchet, F.G.; Kindt, R.; Legendre, P.; Minchin, P.R.; O’Hara, R.B.; Simpson, G.L.; Solymos, P.; Stevens, M.H.H.; Wagner, H. Vegan: Community Ecology Package. 2020. Available online: https://CRAN.R-project.org/package=vegan (accessed on 24 January 2022).
- Wood, S.N. Fast stable restricted maximum likelihood and marginal likelihood estimation of semiparametric generalized linear models. J. R. Stat. Soc. Ser. B Stat. Methodol. 2011, 73, 3–36. [Google Scholar] [CrossRef] [Green Version]
- Wang, M.; Liu, X.; Zhang, J. Evaluate method and classification standard on lake eutrophication. Environ. Monit. China 2002, 18, 47–49. [Google Scholar]
- Jin, X.; Tu, Q. Code for Investigation of Lake Eutrophication, 2nd ed.; China Environmental Science Press: Beijing, China, 1990. [Google Scholar]
- Pearce, J.L.; Beringer, J.; Nicholls, N.; Hyndman, R.; Tapper, N. Quantifying the influence of local meteorology on air quality using generalized additive models. Atmos. Environ. 2010, 45, 1328–1336. [Google Scholar] [CrossRef]
- Dou, J.; Xia, R.; Zhang, K.; Zou, L.; Song, J.; TA, L. Application progress of non-parametric models in the field of river and lake eutrophication research. Res. Environ. Sci. 2021, 34, 1928–1940. [Google Scholar]
- Akaike, H. A new look at the statistical model identification. IEEE Trans. Autom. Control 1974, 19, 716–723. [Google Scholar] [CrossRef]
- Li, Q.; Chen, H.; Luo, Z.; Ren, L.; Huang, X. In Analysis of spatial and temporal variability of total organic carbon in the Yarlung Tsangpo River Basin, 2019. In Proceedings of the China Environmental Science Society Annual Science and Technology Conference, Xi’an, China, 23 August 2019; p. 11. [Google Scholar]
- He, X.; Lin, Z. Interactive effects of the influencing factors on the changes of PM 2.5 concentration based on GAM model. Environ. Sci. 2017, 38, 22–32. [Google Scholar]
- Fan, Y.; Jiang, W.; Liu, B.; Chang, W.; Wu, Z. Temporal microcystin dynamics of the source water and finished water in a waterworks of Lake Taihu. J. Lake Sci. 2018, 30, 25–33. [Google Scholar]
- Marjo, P.; Ari, L.; Samuli, L.; Sirpa, P. Predicting the export and concentrations of organic carbon, nitrogen and phosphorus in boreal lakes by catchment characteristics and land use: A practical approach. Ambio 2016, 45, 933–945. [Google Scholar]
- Fu, Y.; Jiang, S.; Feng, L.; Chen, X. TOC Monitoring and Water Quality Assessment of Drinking Water and Source Water in the Main City of Chongqing from 2017 to 2018. Guangdong Chem. Ind. 2020, 47, 140–141. Available online: www.gdchem.com (accessed on 24 January 2022).
- Yang, H. Studies on Carbon Cycling and Budget in East Lake; Graduate School of Chinese Academy of Sciences (Institute of Geodesy and Geophysics): Shenzhen, China, 2004. [Google Scholar]
- Vuorenmaa, J.; Forsius, M.; Mannio, J. Increasing trends of total organic carbon concentrations in small forest lakes in Finland from 1987 to 2003. Sci. Total Environ. 2006, 365, 47–65. [Google Scholar] [CrossRef] [PubMed]
- Wang, W.; Gao, P.; Li, J.; Zhou, Y. Water quality assessment and trend analysis of typical tributaries of Danjiangkou Reservoir. Water Resour. Prot. 2016, 32, 127–130. [Google Scholar]
- Zhang, L.; Wu, M.; Wang, Y. Study on countermeasures for water quality security of the Danjiangkou Reservoir. China Water Resour. 2018, 01, 44–47. [Google Scholar]
- Wetzel, R.G. Limnology: Lake and River Ecosystems; Eos Transactions American Geophysical Union; Gulf Professional Publishing: Houston, TX, USA, 2001; Volume 21, 2, pp. 1–9. [Google Scholar]
- Mcknight, D.; Andrews, E.D.; Spaulding, S.A.; Aiken, G.R. Aquatic fulvic acids in algal-rich Antarctic ponds. Limnol. Oceanogr. 1994, 39, 1972–1979. [Google Scholar] [CrossRef]
- Onstad, G.D.; Canfield, D.; Quay, P.D.; Hedges, J.I. Sources of particulate organic matter in rivers from the continental USA: Lignin phenol and stable carbon isotope compositions. Geochim. Cosmochim. Acta 2000, 64, 3539–3546. [Google Scholar] [CrossRef]
- Zhao, D.; Xiao, X.; Wang, Z.; Tan, D.; Chen, Y. Spatial and tactical disruption of carbon conduction in surface water from the Shuibuya Reservoir. Resour. Environ. Yangtze Basin 2017, 26, 304–313. [Google Scholar]
- Li, Q.; Lin, Q.; Han, B. conductivity distribution of water supply reservoirs in Guangdong province. Ecol. Environ. 2005, 14, 16–20. [Google Scholar]
- Tan, X.; Xia, X.-L.; Cheng, X.-L.; Zhang, Q.-F. Temporal and spatial pattern of phytoplankton community and its biodiversity indices in the Danjiangkou Reservoir. Huan Jing Ke Xue 2011, 32, 2875–2882. [Google Scholar] [PubMed]
- Zhang, G. Spatial-temporal distribution of chlorophyll-a and its correlation with environment factors in Dongting Lake. Environ. Monit. China 2016, 32, 84–90. [Google Scholar]
- Räike, A.; Kortelainen, P.; Mattsson, T.; Thomas, D. 36year trends in dissolved organic carbon export from Finnish rivers to the Baltic Sea. Sci. Total Environ. 2012, 435–436, 188–201. [Google Scholar] [CrossRef]
- Sarkkola, S.; Koivusalo, H.; Laurén, A.; Kortelainen, P.; Mattsson, T.; Palviainen, M.; Piirainen, S.; Starr, M.; Finér, L. Trends in hydrometeorological conditions and stream water organic carbon in boreal forested catchments. Sci. Total Environ. 2009, 408, 92–101. [Google Scholar] [CrossRef] [PubMed]
- Rene, E.R.; Saidutta, M.B. Prediction of water quality indices by regression analysis and artificial neural networks. Int. J. Environ. Res. 2008, 2, 183–188. [Google Scholar]
- Wang, H.; Tang, M.; Fang, P. Relationship between TOC and CODMn of surface water. Meteorol. Hydrol. Mar. Instrum. 2010, 27, 93–96. [Google Scholar]
- Liang, T. Discussion on the relationship between TOC and permanganate index in surface of Yalujiang River. Environ. Monit. China 2010, 26, 6–8. [Google Scholar]
- Smith, V.H. Responses of estuarine and coastal marine phytoplankton to nitrogen and phosphorus enrichment. Limnol. Oceanogr. 2006, 51, 377–384. [Google Scholar] [CrossRef] [Green Version]
- Dong, L.; Wu, M.; Lin, L.; Tao, J. Influence of the middle route of south-to-north water transfer project on the characteristics of community structure of planktonic algae in Danjiangkou Reservoir. Environ. Sci. Technol. 2021, 44, 1–7. [Google Scholar]
- Guo, S.; Wang, X.; Han, P.; Zheng, B.; Jiang, Y.; Guo, K.; Han, X.; Li, B.; Gao, X.; Yuying, L. Spatiotemporal characteristics of layered chlorophyll a concentration and influencing factors in Danjiangkou Reservoir. J. Lake Sci. 2021, 33, 366–376. [Google Scholar]
- Zou, W.; Zhu, G.; Cai, Y.; Xu, H.; Zhu, M.; Gong, Z.; Zhang, Y.; Qin, B. The limitations of comprehensive trophic level index (TLI) in the eutrophication assessment of lakes along the middle and lower reaches of the Yangtze River during summer season and recommendation for its improvement. J. Lake Sci. 2020, 32, 36–47. [Google Scholar]
- Wan, Y.; Zhang, L.; Fu, X.; Jin, H. Assessment of eutrophication degree and its prevention in Danjiangkou Reservoir. J. Beijing Norm. Univ. Nat. Sci. 2020, 56, 275–281. [Google Scholar]
- Zhang, X.; Xiong, J.; Cheng, J.; Yao, Z.; Chen, Y. Application of fuzzy mathematics for evaluation of eutrophication in Danjiangkou Reservoir. Environ. Monit. China 2017, 33, 99–105. [Google Scholar]
- Sun, S.; Wu, M.; Liao, Q.; Lu, X. Halogenation activity of organics in natural water. J. Huazhong Univ. Sci. Technol. 2001, 29, 98–100. [Google Scholar]








| TLI(Σ) | Trophic State |
|---|---|
| TLI(Σ) < 30 | Oligotrophic |
| 30 ≤ TLI(Σ) ≤ 50 | Mesotrophic |
| 50 < TLI(Σ) ≤ 60 | Lightly eutrophic |
| 60 < TLI(Σ) ≤ 70 | Moderately eutrophic |
| TLI(Σ) > 70 | Severely eutrophic |
| Environmental Factor | d.f. | Ref.d.f. | F | p-Value | Deviance Explained (%) | R2 |
|---|---|---|---|---|---|---|
| WT | 11.530 | 11.930 | 35.560 | 0.000148 *** | 98.50 | 0.958 |
| pH | 1.826 | 1.970 | 5.539 | 0.0235 * | 39.80 | 0.330 |
| DO | 1.000 | 1.000 | 0.079 | 0.782 | 0.46 | −0.054 |
| Cond | 1.000 | 1.000 | 0.634 | 0.437 | 3.59 | −0.021 |
| SD | 1.580 | 1.824 | 0.635 | 0.537 | 10.70 | 0.021 |
| CODMn | 1.608 | 1.847 | 34.780 | 4.91 × 10−6 *** | 78.60 | 0.765 |
| COD | 1.000 | 1.000 | 0.388 | 0.542 | 2.23 | −0.035 |
| TN | 1.602 | 1.842 | 0.909 | 0.320 | 16.20 | 0.080 |
| TP | 1.457 | 1.705 | 0.300 | 0.673 | 7.56 | −0.006 |
| NH4+-N | 9.616 | 10.500 | 14.940 | 0.000382 *** | 95.20 | 0.896 |
| NO3−-N | 1.000 | 1.000 | 0.062 | 0.806 | 0.37 | −0.055 |
| Chl.a | 1.000 | 1.000 | 0.195 | 0.664 | 1.14 | −0.047 |
| Environmental Factor | d.f. | Ref.d.f. | F | p-Value | Deviance Explained (%) | R2 |
|---|---|---|---|---|---|---|
| WT | 1.000 | 1.000 | 1.858 | 0.191 | 9.85 | 0.046 |
| pH | 1.000 | 1.000 | 0.715 | 0.410 | 4.04 | −0.016 |
| DO | 3.625 | 4.331 | 1.211 | 0.351 | 32.60 | 0.156 |
| Cond | 1.000 | 1.000 | 1.996 | 0.176 | 10.50 | 0.052 |
| SD | 1.000 | 1.000 | 5.444 | 0.032 * | 24.30 | 0.198 |
| CODMn | 2.690 | 3.171 | 1.379 | 0.277 | 26.50 | 0.136 |
| COD | 1.000 | 1.000 | 0.480 | 0.498 | 2.74 | −0.030 |
| TN | 4.593 | 4.885 | 119.600 | <2 × 10−16 *** | 97.80 | 0.970 |
| TP | 1.000 | 1.000 | 3.470 | 0.080. | 17.00 | 0.121 |
| NH4+-N | 1.029 | 1.057 | 2.318 | 0.151 | 12.50 | 0.072 |
| NO3−-N | 1.000 | 1.000 | 3.103 | 0.096. | 15.40 | 0.105 |
| Chl.a | 1.000 | 1.000 | 2.775 | 0.114 | 14.00 | 0.090 |
| Environmental Factor | d.f. | Ref.d.f. | F | p-Value | Deviance Explained (%) | R2 |
|---|---|---|---|---|---|---|
| WT | 2.808 | 2.972 | 23.340 | <2 × 10−16 *** | 60.00 | 0.577 |
| pH | 6.413 | 7.747 | 4.914 | 0.000 *** | 48.40 | 0.410 |
| DO | 5.453 | 6.305 | 3.037 | 0.016 * | 31.80 | 0.236 |
| Cond | 8.528 | 8.915 | 12.030 | <2 × 10−16 *** | 72.70 | 0.672 |
| SD | 1.000 | 1.000 | 3.560 | 0.062 | 6.80 | 0.049 |
| CODMn | 6.290 | 7.209 | 2.592 | 0.025 * | 33.00 | 0.236 |
| COD | 1.950 | 2.342 | 15.840 | 2.63 × 10−6 *** | 44.20 | 0.420 |
| TN | 6.404 | 7.686 | 9.358 | <2 × 10−16 *** | 62.90 | 0.575 |
| TP | 8.680 | 10.200 | 2.016 | 0.053 | 37.30 | 0.245 |
| NH4+-N | 1.840 | 1.974 | 6.498 | 0.006 ** | 20.30 | 0.173 |
| NO3−-N | 1.000 | 1.000 | 0.662 | 0.420 | 1.31 | −0.007 |
| Chl.a | 1.000 | 1.000 | 3.467 | 0.069 | 6.48 | 0.046 |
| Environmental Factor | d.f. | Ref.d.f. | F | p-Value | Deviance Explained (%) | R2 |
|---|---|---|---|---|---|---|
| WT | 1.000 | 1.000 | 5.355 | 0.030 * | 19.60 | 0.159 |
| pH | 1.231 | 1.409 | 0.828 | 0.526 | 5.44 | 0.001 |
| DO | 5.954 | 7.282 | 0.818 | 0.586 | 35.80 | 0.134 |
| Cond | 1.874 | 2.314 | 1.922 | 0.168 | 20.80 | 0.138 |
| SD | 5.184 | 6.259 | 0.895 | 0.524 | 31.30 | 0.113 |
| CODMn | 6.161 | 7.124 | 2.730 | 0.042 * | 57.60 | 0.421 |
| COD | 1.000 | 1.000 | 5.412 | 0.030 * | 19.70 | 0.161 |
| TN | 1.430 | 1.706 | 3.498 | 0.093 | 20.40 | 0.152 |
| TP | 12.18 | 12.82 | 8.834 | 0.001 *** | 91.70 | 0.824 |
| NH4+-N | 1.000 | 1.000 | 6.793 | 0.016 * | 23.60 | 0.201 |
| NO3−-N | 2.145 | 2.512 | 2.225 | 0.093 | 27.00 | 0.195 |
| Chl.a | 1.000 | 1.000 | 5.114 | 0.034 * | 18.90 | 0.152 |
| Environmental Factor | d.f. | Ref.d.f. | F | p-Value |
|---|---|---|---|---|
| WT | 1 | 1 | 11.468 | 0.00129 ** |
| Cond | 1 | 1 | 9.446 | 0.00324 ** |
| COD | 1.021 | 1.041 | 1.602 | 0.20214 |
| TN | 3.693 | 4.35 | 9.997 | 2.98 × 10−6 *** |
| NH4+-N | 1 | 1 | 0.033 | 0.85677 |
| CODMn | 5.559 | 5.911 | 3.558 | 0.00330 ** |
| DO | 1 | 1 | 3.943 | 0.05187 |
| TP | 2.394 | 2.975 | 2.97 | 0.04632 * |
| Chl.a | 1 | 1 | 0.07 | 0.79199 |
Publisher’s Note: MDPI stays neutral with regard to jurisdictional claims in published maps and institutional affiliations. |
© 2022 by the authors. Licensee MDPI, Basel, Switzerland. This article is an open access article distributed under the terms and conditions of the Creative Commons Attribution (CC BY) license (https://creativecommons.org/licenses/by/4.0/).
Share and Cite
Jiang, Y.; He, K.; Li, Y.; Qin, M.; Cui, Z.; Zhang, Y.; Yao, Y.; Chen, X.; Deng, M.; Gray, A.; et al. Driving Factors of Total Organic Carbon in Danjiangkou Reservoir Using Generalized Additive Model. Water 2022, 14, 891. https://doi.org/10.3390/w14060891
Jiang Y, He K, Li Y, Qin M, Cui Z, Zhang Y, Yao Y, Chen X, Deng M, Gray A, et al. Driving Factors of Total Organic Carbon in Danjiangkou Reservoir Using Generalized Additive Model. Water. 2022; 14(6):891. https://doi.org/10.3390/w14060891
Chicago/Turabian StyleJiang, Yeqing, Kang He, Yuying Li, Mingqing Qin, Zhenzhen Cui, Yun Zhang, Yinlei Yao, Xiaonuo Chen, Minjie Deng, Andrew Gray, and et al. 2022. "Driving Factors of Total Organic Carbon in Danjiangkou Reservoir Using Generalized Additive Model" Water 14, no. 6: 891. https://doi.org/10.3390/w14060891
APA StyleJiang, Y., He, K., Li, Y., Qin, M., Cui, Z., Zhang, Y., Yao, Y., Chen, X., Deng, M., Gray, A., & Li, B. (2022). Driving Factors of Total Organic Carbon in Danjiangkou Reservoir Using Generalized Additive Model. Water, 14(6), 891. https://doi.org/10.3390/w14060891

