Abstract
The fate and transport of viruses in floatation systems is considerably important for accurate determination of the safety of reusing reclaimed water in the flotation process. Herein, simulation experiments on the floatation, adsorption and desorption were performed to examine the effect of initial virus concentration, pH and floatation reagents on the adsorption of viruses ΦΧ174 and MS2 onto copper–molybdenum ores. The transport of viruses in the flotation systems was also investigated. The viruses in the reclaimed water were rapidly adsorbed onto the ore particles, suggesting that tailing wastewater can be safely reused for floatation. However, the adsorbed viruses in the concentrates, middlings and tailings may pose health risks at certain exposure levels. The transport of viruses was dominated by their attachment to ore particles, with most being inactivated or irreversibly adsorbed. The removal and adsorption rates decreased as the initial virus concentration increased, and the removal rate decreased as pH was increased from 7.5 to 9.5. In comparison with MS2, ΦΧ174 was removed more effectively. This suggested that electrostatic repulsion is an important mechanism because MS2 has a greater negative charge. The attachment of both ΦΧ174 and MS2 onto the mineral particles increased significantly in the presence of PJ053 and CaO.
1. Introduction
With the proposal of carbon peak and carbon neutrality, the green and low-carbon transformation of traditional industrial industries is imperative. As a common mineral processing method, flotation can be considered as one of the most intensive water-consuming processes. Optimizing the water intake structure of flotation unit and increasing the recycling of wastewater can not only alleviate the conflict between supply and demand of water resources and save the cost of flotation water, but promote the green development of enterprises. A number of proposals have been raised to reduce water consumption. These include reuse of recycled process water, full recycle of treated effluent water and improving the water recovery efficiency at the dewatering unit.
Reclaimed water reuse is gaining support in the mining industry as an effective way of addressing factors, including water shortage, water resource preservation and reduction of both environmental pollution and overall mining costs. Water reclaimed from urban waste was first used in the floatation process at the Wushan copper–molybdenum (Cu–Mo) ore dressing plant in China, achieving satisfactory results in both Cu–Mo bulk flotation and the separation of Cu and Mo. Water was sourced from the Manzhouli city, Inner Mongolia Autonomous Region regions, China. To reduce the environmental impact and floatation costs, water was treated by using ozone—a broad-spectrum disinfectant [1]. However, reclaimed water reuse becomes more challenging in the presence of pathogenic microorganisms. At considerably low concentrations, these pathogens will pose public health risks.
Many studies have confirmed the presence of pathogens in reclaimed water, including bacteria, protozoa, parasites and viruses, raising safety and hygiene concerns [2,3,4,5]. Salmonella is a pathogenic bacterial strain commonly found in municipal wastewater and a cause of typhoid fever and gastroenteritis. Additionally, Shigella, which can cause acute dysentery, has been reported in European countries and America. China has experienced multiple outbreaks of pathogenic diseases, including legionellosis, giardiasis, cryptosporidiosis, SARS and avian influenza [6,7]. To safely reuse reclaimed water, a thorough understanding of the processes governing the survival and transport of viruses in the floatation process is essential.
Previous studies have investigated the survival and transport of microorganisms in soil, sand, gravel and other granular materials. The microorganisms’ sorption and transport on solid surface is determined by factors such as the surface properties of the virus [8,9], charges at the solid surface [10,11,12,13], matrix structure [14,15], solution chemistry and temperature [16,17]. Attachment of viruses onto mineral surfaces play an important role in virus inactivation for disruption of proteins and/or the degradation of nucleic acid [18,19,20,21]. However, limited research has been conducted to examine the role of these factors in virus transport in the floatation process.
This study aims to investigate virus transportation in the floatation process and sorption behaviors of a virus on ore particles. Flotation simulation tests were conducted to examine the temporal and spatial distribution of viruses in the floatation, adsorption and desorption experiments in order to explore the mechanisms controlling interactions between the virus and ore particles. The experimental results elucidated the factors affecting the attachment between them.
2. Materials and Methods
2.1. Cu–Mo Ores
The ore samples used herein were collected from a Cu–Mo mine located in Wushan, China. The mine is operated by Inner Mongolia Mining Co., Ltd. (Inner Mongolia, China), a part of the China National Gold Group. According to the results of microscope identification and X-ray diffraction analysis, the mineral composition of the ore was complex (Table 1) and contained independent elements of copper, molybdenum and sulfur; copper included chalcopyrite, pyrite, bluechalcocite, covellite and tennantite; molybdenum, mainly in the form of molybdenite; and sulfur in the form of pyrite. Gangue included quartz, muscovite, feldspar, illite and kaolinite. Notably, the content of quartz was the highest in the gangue.
Table 1.
Mineral composition and relative content of Cu–Mo ores.
Cu–Mo ores were prepared via manual cracking, handpicking and ballmilling to a size of −0.074 mm, which accounted for 65%. Floatation tests were conducted in a 3-L tank. Feed size and reagents are shown in Figure 1. Flotation reagent was Turpentine (frother), CaO (pH regulator), PJ053 and kerosene (collector), which were bought from Xinyang chemical reagent (China); all the chemical reagents above were analytically pure.
Figure 1.
Flotation flowchart.
2.2. Floatation Simulations
The water used in the floatation tests came from the secondary effluent of a municipal sewage treatment plant in Inner Mongolia, and the wastewater treatment method was the secondary wastewater treatment. After a screening process through the sieve and the primary sedimentation tank, the wastewater entered the comprehensive biochemical tank with aerobic biological treatment, and the effluent from secondary sedimentation tank was further treated in stabilization pond. Enteroviruses and rotaviruses were often present in raw wastewater at levels of 1–1 × 103 plaque-forming units (PFU)/mL. Due to unstable virus concentration in reclaimed water, and interference caused by various kinds of viruses in culture and count, artificial reclaimed water with disinfection treatment was applied to flotation process. The effluent was sterilized for 2 h in an autoclave at 121 °C under 0.105 MPa. Following sterilization, no microorganisms were observed in the reclaimed water. Next, bacteriophages in the suspension were added at an approximate concentration of 104 PFU/mL. Three-stage scavenging was performed under the reagent regime (Figure 1). Next, 1 L of treated reclaimed water was used throughout the process. Bacteriophages were sampled from the floatation froth and the pulp after each scavenging routine and assayed using the double-layer overlay method.
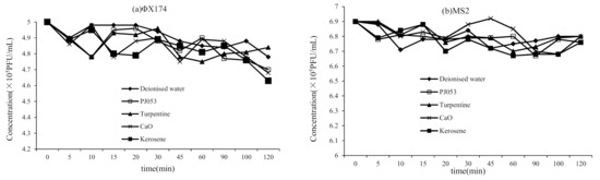
2.3. Survival of ΦΧ174 and MS2 in Flotation Reagents
The survival of the two virus strains was monitored by assessing the stability of ΦΧ174 and MS2 in flotation reagents and reclaimed water. The viruses were uniformly suspended in six Erlenmeyer flasks containing 200 mL of the sterilized reclaimed water. To monitor any inactivation caused by the flotation reagents, we added 10 µL of kerosene, PJ053, turpentine and 1.5 g of CaO. The final flask was held as a control without flotation reagents. Samples were collected after 10, 20, 30, 40, 50, 60, 70, 80, 90, 100, 110 and 120 min, and the virus concentration was measured.
2.4. Bacteriophages and Plaque Assay
Coliphages ΦΧ174 and MS2 were chosen as surrogates for the naturally occurring pathogenic enteric virus in many previous studies [22,23,24]. While they are not pathogenic, they are similar to a typical enteric virus in size. MS2 is an F-specific and single-stranded RNA phage comprising 31% nucleic acid content, whose host bacterium is Escherichia coli (ATTC 15597-B1). The diameter of MS2 particles is in the range of 24–26 nm. Its protein coat is relatively hydrophobic and sensitive to interfacial forces that are thought to be responsible for its inactivation. ΦΧ174 is an icosahedral, single-stranded DNA phage comprising 26% nucleic acid content, whose host bacterium is E. coli (ATTC 13706-B1). The diameter of ΦΧ174 particles is in the range of 25–27 nm; its protein coat is hydrophilic. Both bacteriophages were assessed using the double-layer overlay method [22]. A 500-μL solution containing appropriate host bacterium and 50μL of diluted virus sample solution were mixed in a centrifuge tube. The mixture was combined with 5 mL of molten soft agar, which was maintained at 55 °C in a water bath and placed in Petri dishes containing a solid agar medium. The plates were first solidified for 10 min and were then inverted and incubated overnight at 37 °C. The viable virus concentration was determined by counting the number of plaques, which ranged from 10 to 300 per plate in each host lawn and were reported in PFU/mL. All virus concentrations reported herein were derived from an average of three replicate plates.
The Zeta potential of the bacteriophages was measured at pH values ranging from 2 to 12 using a Brookhaven ZetaPlus90 instrument. All Zeta potentials were obtained in triplicate.
2.5. Adsorption Experiments
To determine the role of virus concentration in virus adsorption, ΦΧ174 and MS2 were tested in the presence of ore particles. Adsorption was initiated by adding 9 mL of bacteriophage suspension with concentrations ranging from 105 to 108 PFU/mL and 1 g ore particles, the tubes were then sealed and shaken at 300 rpm at 25 °C. After 0, 10, 20, 30, 40, 50, 60, 70, 80, 90, 100, 110 and 120 min, a tube was randomly selected and centrifuged at 1788.8× g for 2 min, after which an assay was conducted, as described above. The tubes were discarded after use. Control tubes containing only the virus solution were treated in the same manner as the experimental tubes. Three replicates were used at each concentration.
The adsorption of ΦΧ174 and MS2 onto the ore particles at different pH levels was investigated using the above-mentioned methods. Glass centrifuge tubes containing 9 mL of bacteriophage suspension (6.9 × 108 PFU/mL) with 1 g ore particles were maintained at 25 °C, and the pH of the solution was adjusted using 0.1-MHCl and NaOH.
Virus sorption was calculated using Equation (1):
where R is the removal rate (%), C0 is the aqueous-phase virus concentration in the control tube (PFU/mL) and C is the liquid-phase virus concentration at the time (PFU/mL).
2.6. Desorption Experiments
To investigate whether the viruses retained by the ore particles were reversibly adsorbed or inactivated and irreversibly sorbed and to estimate mass recovery, desorption experiments were conducted on adsorbed ore particles extracted using a 3% solution of the beef extract, which has been widely used to detach viruses from a solid surface. In total, 20 mL of the extract was added to the glass tubes. The virus-ore suspensions were then vortex mixed for several seconds, followed by centrifugation at 1788.8× g for 2 min. An assay was then conducted, as described above.
Virus mass recovery was calculated using Equation (2):
where R1 is the mass recovery rate of the virus (%), C0 is the aqueous-phase virus concentration in the control tube (PFU/mL), C is the liquid-phase virus concentration at the time (PFU/mL) and C* is the virus concentration in the elute solution (PFU/mL).
The inactivation/irreversible sorption of the virus was calculated using Equation (3):
3. Results and Discussion
3.1. Spatial and Temporal Distribution of Viruses in the Flotation Process
The spatial and temporal distribution of the viruses in the flotation tests are presented in Table 2. The concentration of both viruses in the reclaimed water decreased rapidly. Additionally, these viruses could not be detected from the first, second or third scavenging supernatant. In the reclaimed water, ~100% reduction of both viruses was observed. Samples were taken from the froth from the first and second scavenging supernatants. The concentration of viruses was higher in the sample from the first scavenging. Figure 2 shows the effect of flotation reagents on survival of ΦΧ174 and MS2; the concentration of ΦΧ174 and MS2 changed little in flotation reagent, which suggested that the effect of flotation reagent on the survival of virus was insignificant and could be ignored. This was attributed to the decrease in the proportion of floating ore particles as the scavenging process proceeded, suggesting that viruses in the reclaimed water were rapidly adsorbed onto the ore particles. Adsorption of both ΦΧ174 and MS2 onto the ore particles was time dependent, with a near complete removal of viruses observed within the experimental time span, and suggested that tailing wastewater could be safely reused in the floatation process. However, almost complete adsorption of viruses by the rough concentrates, middling and tailings may pose health risks to workers depending on the exposure level.
Table 2.
Distribution of ΦΧ174 and MS2 in the flotation test.
Figure 2.
Effect of flotation reagents on the survival of (a) ΦΧ174 and (b) MS2.
Our results suggest that virus transportation in floatation process using reclaimed water can be controlled by attachment to ore particles. Reclaimed water from a sewage treatment plant has a considerably complex composition, and any variation in water quality may influence virus adsorption. Therefore, additional research must be conducted to comprehensively understand virus adsorption under complex floatation conditions. This could be done by testing the artificial reclaimed water with controlled concentrations of viruses and sterilized ore particles using the methods outlined in Section 2.5 and Section 2.6.
3.2. Effect of Virus Concentration on Adsorption
The results of the adsorption experiments are shown in Figure 3 and Table 2. As anticipated, a strong correlation was found between virus concentration and adsorption. The removal rate of both viruses decreased as the initial concentration was increased. The proportion of ΦΧ174 and MS2 adsorbed onto the ore particles approached 100% at concentrations of 105 and 106 PFU/mL, respectively. In comparison, the removal rates of MS2 were 99.16% and 98.5% at initial concentrations of 107 and 108 PFU/mL, respectively. In contrast, for ΦΧ174, the remove rates were 99.99% and 99.98%. This suggested that the large specific surface area and surface energy of Cu–Mo ores after crushing and grinding gave the ore particles strong adsorption capacity [14,15]. If the virus concentration in the reclaimed water is low, the ore particles may provide sufficient adsorptive sites. Increasing the virus concentration reduced the availability of adsorptive sites, which decreased the adsorption of viruses onto ore particles. This was attributed to the ‘blocking’ of a limited number of favorable attachment sites by the viruses that were adsorbed first. An alternative explanation is cell-to-cell collision, which caused simultaneous adsorption and release of viruses. The frequent of these collisions were increased with the initial virus concentration, which might reduce retention as those weakly adsorbed cells were detached from the surface of the ore particles. The adsorption of MS2 onto ore particles was slightly lower than ΦΧ174, with reductions of approximately 2.22 log10 and 1.95 log10 at initial concentrations of 107 and108 PFU/mL, respectively. The adsorbed ΦΧ174 showed reductions of 2.26 log10 and 2.04 log10. The results suggested that virus type is an important variable with regard to adsorption onto ore particles.
Figure 3.
(a) ΦΧ174 and (b) MS2 concentrations against adsorption (expressed as logC/C0).
Desorption with the beef extract solution demonstrated that both viral strains could be effectively detached from the surface of ore particles (Table 3) and that the rate of removal was not strongly associated with the initial virus concentration. On average, 10.80% of the adsorbed MS2 and 20.14% of the adsorbed ΦΧ174 were detached from the ore particles. These results suggested that a significant fraction of the viruses survived in the floatation process via irreversible adsorption onto ore particles. As the viruses could potentially be later released into the environment, they continue to pose occupational health risks. On average, 79.86% of the adsorbed MS2 and 89.20% of ΦΧ174 were either inactivated or irreversibly adsorbed and could be considered non-infective.
Table 3.
Virus removal and recovery at different initial concentrations.
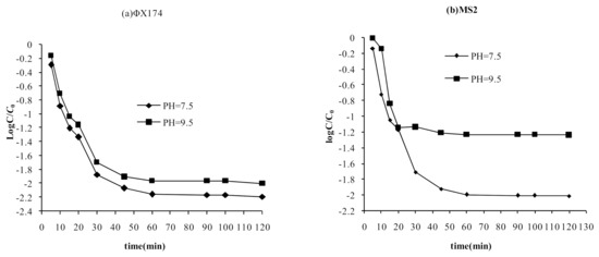
3.3. Effect of pH on Virus Adsorption
An increasement in pH from 7.5 to 9.5 reduced the attachment between the viruses and ore particles (Figure 4). The observed reduction in removal at pH 7.5 was approximately 1.99 log10 for MS2 and 2.15 log10 for ΦΧ174, with removal rates of 98.56% and 99.03%, respectively. In contrast, the observed reduction decreased to 1.23 log10 for MS2 and 1.95 log10 for ΦΧ174 at pH 9.5, with removal rates of 92.6% and 98.53%, respectively. This suggested that the viruses attached more strongly to ore particles at pH 7.5 than at pH 9.5. This result was attributed to lower electrostatic repulsion between the viruses and ore particles at lower pH, which is in agreement with the results of previous reports [25,26]. Under the conditions considered herein, both viruses and ore particles were negatively charged. Electrostatic repulsion increased as the pH increased, reducing sorption. MS2 was assumed to be more negatively charged, which makes its adsorption onto the negatively charged ore particles less favorable. Figure 5 shows that the isoelectric point of MS2 (3.5) was lower than that of ΦΧ174 (6.5).
Figure 4.
pH against adsorption of (a) ΦΧ174 and (b) MS2 (expressed as logC/C0).
Figure 5.
Zeta potential of viruses and copper–molybdenum (Cu–Mo) ores.
Desorption with the beef extract demonstrated that irreversible adsorption or inactivation was also related to the pH level (Table 4). On average, at pH 7.5, 89.62% of the adsorbed MS2 and 79.18% of ΦΧ174 was either inactivated or irreversibly adsorbed. At pH 9.5, this percentage decreased to 83.42% for MS2 and 77.35% for ΦΧ174. MS2 showed a higher rate of irreversible adsorption or inactivation in comparison with ΦΧ174 despite its lower isoelectric point. This was attributed to the differences in the hydrophobic interactions. As MS2 was more hydrophobic than ΦΧ174, it exhibited more hydrophobic interactions with the ore particle surface. Our results were in agreement with those of several previous studies [27,28], which reported that red soil adsorbed more than 99.95% of MS2 and 98.23% of ΦΧ174, with most being inactivated or irreversibly adsorbed. Inactivation caused due to differences in the surface and structural characteristics of capsid proteins may also explain the higher rate of irreversible adsorption or inactivation of MS2, and that only MS2 was inactivated at the air–water–solid interface under unsaturated flow conditions. Virus capsids have localized polar and nonpolar areas, and hydrophobic segments of the viruses in the air phase orient themselves away from the polar interior of the solution, producing a reconfiguration of proteins on the virus capsids and causing loss of infectivity. It reported that MS2, which contains RNA, was more sensitive to inactivation caused by Cu or iron ions than ΦΧ174, which contains DNA. In our experimental conditions, large quantities of metal and metal oxides present in the ore pulp would cause MS2 to disintegrate, making it inactive [29,30].
Table 4.
Virus removal and recovery at different pH.
Our results suggested that the fate and transport of viruses in the floatation process were largely determined based on their adsorption, desorption and inactivation capabilities, which in turn were affected by van der Waals forces, electrostatic interaction and hydrophobic interactions between the viruses and the surface of ore particles. Attraction due to the van der Waals forces overcame electrostatic repulsion. The adsorption of viruses onto ore particles has often been attributed to the size of the surface area.
3.4. Effect of Flotation Reagents on Virus Adsorption
The adsorption of ΦΧ174 and MS2 onto ore particles in the presence of flotation reagents was investigated using the procedure described in Section 2.5 and Section 2.6.
Figure 6 shows the adsorption of ΦΧ174and MS2 onto ore particles. Adsorption of both viruses was enhanced by the presence of PJ053, kerosene and CaO. PJ053 and CaO had a significant effect on adsorption of both ΦΧ174 and MS2. In the presence of PJ053, a reduction in virus adsorption of approximately 2.39 log10 was observed for MS2, whereas that for ΦΧ174 was 2.4 log10, with removal rates close to 100% for both viruses. Equilibrium was reached in less than 20 min, which was shorter than the time required when PJ053 was not present. This result could possibly be attributed to the differences in the hydrophobic interactions between the viruses and ore particles. PJ053 significantly reduced the force between the water molecules and the ore particle surface, increasing surface hydrophilicity and, therefore, virus sorption. Despite the considerable difference in the isoelectric points of MS2 and ΦΧ174, the two viruses exhibited similar adsorption in the presence of PJ053. This suggested that hydrophobic force is important in the attachment of viruses to ore particles. Adsorption also increased in the presence of CaO, with reductions in virus adsorption of approximately 2.41 log10 for MS2 and 2.58 log10 for ΦΧ174. As Ca2+ would first combine with ore particles, screening the negative charges, a decrease in electrostatic repulsion is expected.
Figure 6.
Effect of flotation reagents on the adsorption of (a) ΦΧ174 and (b) MS2 (expressed as logC/C0).
The highest irreversible adsorption or inactivation was observed in the presence of CaO, with values of 91.62% for MS2 and 91.36% for ΦΧ174. Table 5 summarizes that irreversible adsorption or inactivation increased significantly in the presence of PJ053 than in the presence of other floatation reagents, with values of 91.61% for MS2 and 89.73% for ΦΧ174. This was attributed to the increase in the hydrophobic force. Extraction using the beef extract solution produced an average of only 8.35% of adsorbed MS2 and 8.62% of adsorbed ΦΧ174. These results are in good agreement with those of previous studies. The presence of PJ053 and CaO significantly increased the attraction between viruses and ore particles. It reported that in comparison with other buffer solutions, Ca2+ and Mg2+ led to a higher recovery of MS2 and ΦΧ174. It reported a decrease in Zeta potential in the presence of Ca2+. This increased hydrophobicity, enhancing bridging with the negatively charged functional groups and ultimately improving cell interactions with the surface [22].
Table 5.
Virus removal and recovery in the presence of flotation reagent.
4. Conclusions
The fate and transport of viruses in the flotation process were investigated using laboratory-scale floatation simulations and experimental tests of virus adsorption. The Cu–Mo ores exhibited a significant capacity for virus adsorption, with a large proportion of the viruses being inactivated or irreversibly adsorbed. This suggested that tailing wastewater could possibly be safely reused in the floatation process. However, rough concentrates, middlings and tailings containing adsorbed viruses still posed health risks to workers, depending on the exposure level.
The experimental data concerning adsorption and desorption suggested that the ore particle surface, solution chemistry and virus type were the main factors determining the fate and transport of viruses. The removal rate of both ΦΧ174 and MS2 decreased as the initial virus concentration increased. The attachment of both ΦΧ174 and MS2 decreased as the pH of the solution increased from 7.5 to 9.5. The removal, inactivation and irreversible adsorption rates of MS2 were lower than those of ΦΧ174.
Floatation reagents had no effect on survival of both ΦΧ174 and MS2, but played a significant role in the rate of adsorption of both viruses. Attachment to the ore particles was significantly enhanced in the presence of collector PJ053 and pH regulator CaO.
Author Contributions
Conceptualization, P.D. and C.S.; Material preparation, Z.G. and P.D.; data collection and analysis, P.D.; Project administration, J.K., C.S. and Z.X.; Writing—original draft, P.D.; Writing—review and editing, P.D., J.K. and C.S. All authors have read and agreed to the published version of the manuscript.
Funding
This research was funded by the New Engineering Research and Practice Project of the Ministry of Education (Project No.: E-XTYR20200607) and the Guizhou Province Science and technology planning project (Project No.: LKY-ZX-2021-010).
Institutional Review Board Statement
Not applicable.
Informed Consent Statement
Not applicable.
Data Availability Statement
Data are contained within the article. Further data and materials requests should be addressed to doupq1981@hotmail.com.
Conflicts of Interest
The authors declare no conflict of interest.
References
- Liu, H.; Xu, T.; Sun, C. The application of urban reclaimed water in flotation of copper-molybdenum ore of Wushan. Nonferrous Met. Miner. Process. Sect. 2014, 1, 56–60. [Google Scholar]
- Sellaoui, L.; Badawi, M.; Monari, A.; Tatarchuk, T.; Chen, Z. Make it clean, make it safe: A review on virus elimination via adsorption. Chem. Eng. J. 2021, 412, 128682. [Google Scholar] [CrossRef] [PubMed]
- Anderson, B.L.; Kniel, K.E. Recovery and Detection of Enteric Viruses from Non-Traditional Irrigation Water Sources. Methods Protoc. 2019, 2, 55. [Google Scholar] [CrossRef] [Green Version]
- Purnell, S.; Halliday, A.; Newman, F.; Sinclair, C.; Ebdon, J. Pathogen infection risk to recreational water users, associated with surface waters impacted by de facto and indirect potable reuse activities. Sci. Total Environ. 2020, 722, 137799. [Google Scholar] [CrossRef]
- Reddy, A.V.B.; Yusop, Z.; Jaafar, J.; Bin Aris, A.; Majid, Z.A.; Umar, K.; Talib, J. Simultaneous determination of three organophosphorus pesticides in different food commodities by gas chromatography with mass spectrometry. J. Sep. Sci. 2016, 39, 2276–2283. [Google Scholar] [CrossRef]
- Pang, X.; Qiu, Y.; Gao, T.; Zurawell, R.; Neumann, N.F.; Craik, S.; Lee, B.E. Prevalence, levels and seasonal variations of human enteric viruses in six major rivers in Alberta, Canada. Water Res. 2019, 153, 349–356. [Google Scholar] [CrossRef] [PubMed]
- Yang, W.; Cai, C.; Dai, X. Interactions between virus surrogates and sewage sludge vary by viral analyte: Recovery, persistence, and sorption. Water Res. 2022, 210, 117995. [Google Scholar] [CrossRef] [PubMed]
- Pourakbar, M.; Abdolahnejad, A.; Raeghi, S.; Ghayourdoost, F.; Yousefi, R.; Behnami, A. Comprehensive investigation of SARS-CoV-2 fate in wastewater and finding the virus transfer and destruction route through conventional activated sludge and sequencing batch reactor. Sci. Total Environ. 2021, 806, 151391. [Google Scholar] [CrossRef] [PubMed]
- Othman, Y.A.; Al-Assaf, A.; Tadros, M.J.; Albalawneh, A. Heavy Metals and Microbes Accumulation in Soil and Food Crops Irrigated with Waste water and the Potential Human Health Risk: A Metadata Analysis. Water 2021, 13, 3405. [Google Scholar] [CrossRef]
- Davidson, P.C.; Kuhlenschmidt, T.B.; Bhattarai, R.; Kalita, P.K.; Kuhlenschmidt, M.S. Overland Transport of Rotavirus and the Effect of Soil Type and Vegetation. Water 2016, 3, 78. [Google Scholar] [CrossRef] [Green Version]
- Armanious, A.; Muench, M.; Kohn, T.; Sander, M. Competitive coadsorption dynamics of viruses and dissolved organic matter to positively charged sorbent surfaces. Sci. Total Environ. 2016, 50, 3597–3602. [Google Scholar] [CrossRef] [PubMed]
- Esfahani, A.R.; Batelaan, O.; Hutson, J.L. Combined physical, chemical and biological clogging of managed aquifer recharge and the effect of biofilm on virus transport behavior: A column study. J. Water Process. Eng. 2019, 33, 101115. [Google Scholar] [CrossRef]
- Gamazo, P.; Victoria, M.; Schijven, J.; Alvareda, E.; Tort, L.; Ramos, J.; Lizasoain, A.; Sapriza-Azuri, G.; Castells, M.; Bessone, L.; et al. Modeling the Transport of Human Rotavirus and Norovirus in Standardized and in Natural Soil Matrix-Water Systems. Food Environ. Virol. 2020, 12, 58–67. [Google Scholar] [CrossRef] [PubMed]
- Chrysikopoulos, C.V.; Aravantinou, A.F. Virus attachment onto quartz sand: Role of grain size and temperature. J. Environ. Chem. Eng. 2014, 2, 796–806. [Google Scholar] [CrossRef]
- Syngouna, V.I.; Chrysikopoulos, C.V. Experimental investigation of virus and clay particles cotransportin partially saturated columns packed with glass beads. J. Colloid Interface Sci. 2015, 440, 140–152. [Google Scholar] [CrossRef] [PubMed]
- Wang, Y.; Lu, T.; Zhang, H.; Li, Y.; Song, Y.; Chen, J.; Fu, X.; Qi, Z.; Zhang, Q. Factors affecting the transport of petroleum colloids in saturated porous media. Colloids Surf. A 2020, 585, 124134. [Google Scholar] [CrossRef]
- Paul, D.; Kolar, P.; Hall, S.G. A review of the impact of environmental factors on the fate and transport of coronaviruses in aqueous environments. NPJ Clean Water 2021, 4, 7. [Google Scholar] [CrossRef]
- Xing, Y.; Ellis, A.; Magnuson, M.; Harper, W. Adsorption of bacteriophage MS2 to colloids: Kinetics and particle interactions. Colloids Surf. A 2020, 585, 124099. [Google Scholar] [CrossRef]
- Merryman, A.E.; Sabaraya, I.V.; Rowles, L.S.T.; Toteja, A.; Carrillo, S.I.; Saleh, N.B. Interaction between functionalized multiwalled carbon nanotubes and MS2 bacteriophages in water. Sci. Total Environ. 2019, 670, 1140–1145. [Google Scholar] [CrossRef]
- Torkzaban, S.; Hocking, M.; Bradford, S.A.; Tazehkand, S.S.; Sasidharan, S. Modeling Virus Transport and Removal during Storage and Recovery in Heterogeneous Aquifers. J. Hydrol. 2019, 578, 124082. [Google Scholar] [CrossRef]
- Belou, M.I.; Syngouna, V.I.; Tselepi, M.A.; Kokkinos, P.A.; Paparrodopoulos, S.C.; Vantarakis, A.; Chrysikopoulos, C.V. Interaction of human adenoviruses and coliphages with kaolinite and bentonite. Sci. Total Environ. 2015, 517, 86–92. [Google Scholar] [CrossRef] [PubMed]
- Attinti, R.; Wei, J.; Kniel, K.; Sims, J.T.; Jin, Y. Virus’ (MS2, ϕX174, and Aichi) Attachment on Sand Measured by Atomic Force Microscopy and Their Transport through Sand Columns. Environ. Sci. Technol. 2010, 44, 2426–2432. [Google Scholar] [CrossRef] [PubMed]
- Wang, H.; Kaletta, J.; Kaschuba, S.; Klitzke, S.; Chorus, I.; Griebler, C. Attachment, re-mobilization, and inactivation of bacteriophage MS2 during bank filtration following simulation of a high virus load and an extreme rain event. J. Contam. Hydrol. 2022, 246, 103960. [Google Scholar] [CrossRef] [PubMed]
- Soliman, Y.M.; Medema, G.; Bonilla, B.E.; Brouns, S.J.J.; Halem, D.V. Inactivation of RNA and DNA viruses in water by copper and silver ions and their synergistic effect. Water Res. 2020, 9, 100077. [Google Scholar] [CrossRef] [PubMed]
- Dika, C.; Duval, J.F.; Francius, G.; Perrin, A.; Gantzer, C. Isoelectric point is an inadequate descriptor of MS2, Phi X 174 and PRD1 phages adhesion on abiotic surfaces. J. Colloid Interface Sci. 2015, 446, 327–334. [Google Scholar] [CrossRef]
- Zhuang, J.; Jin, Y. Interactions between viruses and goethite during saturated flow: Effect of solution pH, carbonate and phosphate. J. Contam. Hydrol. 2008, 98, 15–19. [Google Scholar] [CrossRef]
- Zhang, H.; Zhang, J.; Zhao, B.; Zhang, C. Removal of bacteriophages MS2 and phiX174 from aqueous solutions using a red soil. J. Hazard. Mater. 2010, 180, 640–649. [Google Scholar] [CrossRef]
- Betancourt, W.Q.; Schijven, J.; Regnery, J.; Wing, A.; Morrison, C.M.; Drewes, J.E.; Gerba, C.P. Variable non-linear removal of viruses during transport through a saturated soil column. J. Contam. Hydrol. 2019, 223, 103479. [Google Scholar] [CrossRef]
- Kim, K.; Jothikumar, N.; Sen, A.; Murphy, J.L.; Chellam, S. Removal and Inactivation of an Enveloped Virus Surrogate by Iron Conventional Coagulation and Electrocoagulation. Environ. Sci. Technol. 2021, 55, 2674–2683. [Google Scholar] [CrossRef]
- Boehma, A.B.; Silverman, A.I.; Schriewer, A.; Goodwin, K. Systematic review and meta-analysis of decay rates of waterborne mammalian viruses and coliphages in surface waters. Water Res. 2019, 164, 114898. [Google Scholar] [CrossRef]
Publisher’s Note: MDPI stays neutral with regard to jurisdictional claims in published maps and institutional affiliations. |
© 2022 by the authors. Licensee MDPI, Basel, Switzerland. This article is an open access article distributed under the terms and conditions of the Creative Commons Attribution (CC BY) license (https://creativecommons.org/licenses/by/4.0/).





