Effect of Different Water Treatments in Soil-Plant-Atmosphere Continuum Based on Intelligent Weighing Systems
Abstract
:1. Introduction
2. Materials and Methods
2.1. Test Materials
2.2. Experimental Design
2.3. Measurement Items and Methods
2.3.1. SWC
2.3.2. Environmental Parameters
2.3.3. Plant Parameters
2.3.4. ET0
2.3.5. Kc
2.3.6. Saturated Water Vapor Pressure Deficit (VPD)
2.4. Pearson Correlation
2.5. Parameter Calculation Module of IWS
2.6. Data Analysis
2.7. Technical Roadmap
3. Results
3.1. Hardware Design Module of IWS
3.2. Analysis of the Changes of Soil Moisture Content under Different Water Treatments Based on IWS
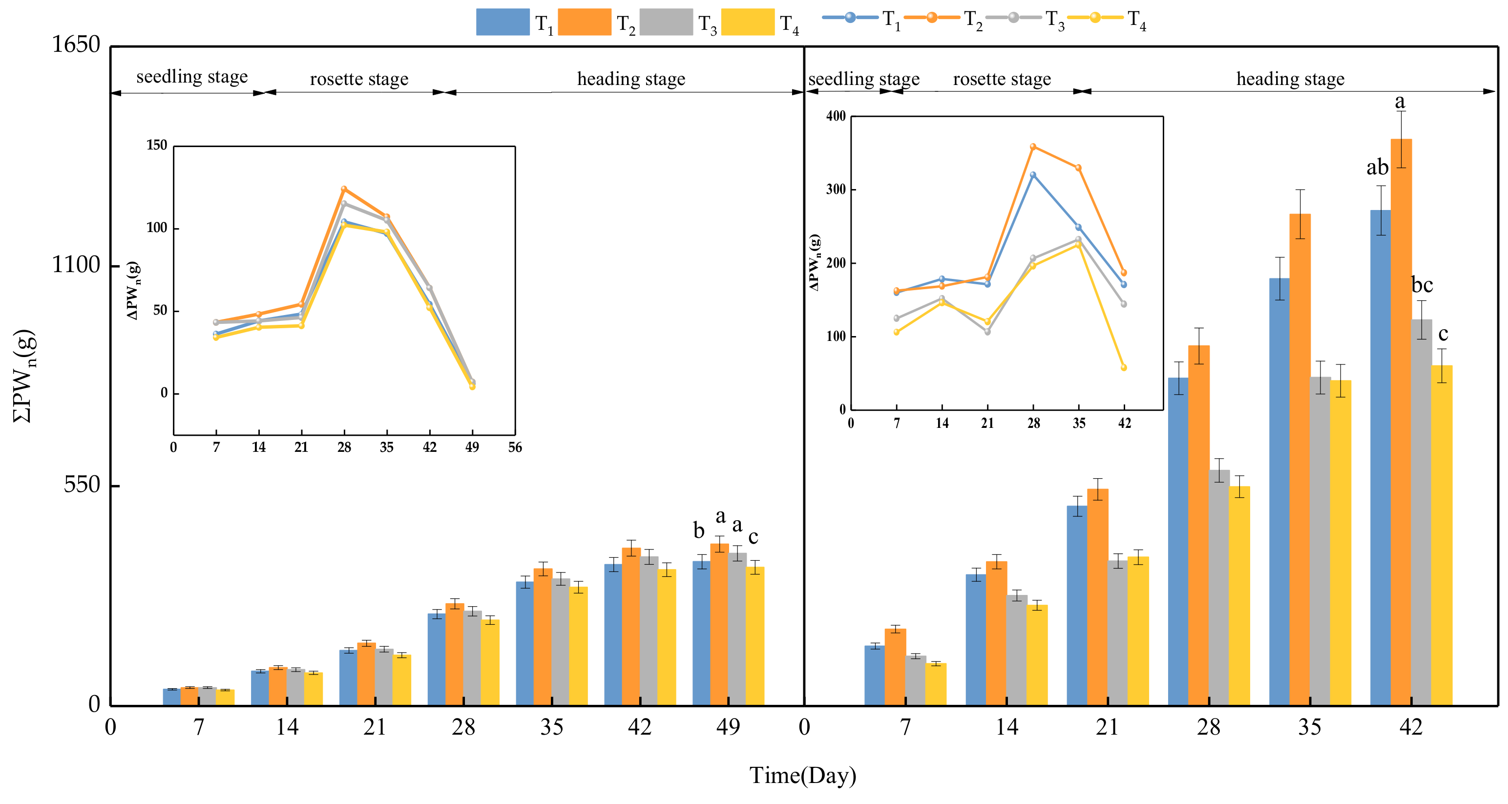
3.3. Growth Analysis under Different Water Treatments Based on IWS
3.4. Physiological Analysis under Different Water Treatments Based on IWS
3.5. Plant Evapotranspiration Analysis under Different Water Treatments Based on IWS
4. Discussion
5. Conclusions
Author Contributions
Funding
Institutional Review Board Statement
Informed Consent Statement
Data Availability Statement
Conflicts of Interest
Nomenclature
| Acronym | Meaning of Words |
| SPAC | Soil-plant-atmosphere continuum |
| IWS | Intelligent weighing system |
| Kc | Crop coefficient |
| SWC | Soil volumetric moisture content |
| ET0 | Reference crop evapotranspiration |
| VPD | Vapor pressure deficit |
| WUE | Water use efficiency |
| IWUE | Irrigation water use efficiency |
| FC | Field capacity |
| WIWS | Intelligent weighing system weight |
| SW | Soil moisture weight |
| RW | Ratio of the weight at different times of the weighing to the initial weight |
| ΔPWn | Weight gain change |
| gsc | Stomatal conductance |
| ETc | Crop evapotranspiration |
| E | Transpiration rate |
References
- Zhang, Z.; Huang, M. Effect of root-zone vertical soil moisture heterogeneity on water transport safety in soil-plant-atmosphere continuum in Robinia pseudoacacia. Agric. Water Manag. 2021, 246, 106702. [Google Scholar] [CrossRef]
- Che, C.; Zhang, M.; Argiriou, A.A.; Wang, S.; Du, Q.; Zhao, P.; Ma, Z. The Stable Isotopic Composition of Different Water Bodies at the Soil-Plant-Atmosphere Continuum (SPAC) of the Western Loess Plateau, China. Water 2019, 11, 1742. [Google Scholar] [CrossRef] [Green Version]
- Lei, G.; Zeng, W.; Jiang, Y.; Ao, C.; Wu, J.; Huang, J. Sensitivity analysis of the SWAP (Soil-Water-Atmosphere-Plant) model under different nitrogen applications and root distributions in saline soils. Pedosphere 2021, 31, 807–821. [Google Scholar] [CrossRef]
- García-Tejera, O.; López-Bernal, Á.; Testi, L.; Villalobos, F.J. Erratum to: A soil-plant-atmosphere continuum (SPAC) model for simulating tree transpiration with a soil multi-compartment solution. Plant Soil 2017, 418, 581. [Google Scholar] [CrossRef] [Green Version]
- Dainese, R.; Lopes, B.D.C.F.L.; Fourcaud, T.; Tarantino, A. Evaluation of instruments for monitoring the soil-plant continuum. Geomech. Energy Environ. 2021, 5, 100256. [Google Scholar] [CrossRef]
- Dardanelli, J.; Ritchie, J.; Calmon, M.; Andriani, J.; Collino, D. An empirical model for root water uptake. Field Crop. Res. 2004, 87, 59–71. [Google Scholar] [CrossRef]
- De Willigen, P.; van Dam, J.C.; Javaux, M.; Heinen, M. Root Water Uptake as Simulated by Three Soil Water Flow Models. Vadose Zone J. 2012, 11, vzj2012.0018. [Google Scholar] [CrossRef]
- Nagahage, E.A.A.D.; Nagahage, I.S.P.; Fujino, T. Calibration and Validation of a Low-Cost Capacitive Moisture Sensor to Integrate the Automated Soil Moisture Monitoring System. Agriculture 2019, 9, 141. [Google Scholar] [CrossRef] [Green Version]
- Shen, X.; Liang, J.; Zeleke, K.T.; Liang, Y.; Wang, G.; Duan, A.; Mi, Z.; Ning, H.; Gao, Y.; Zhang, J. Optimizing the Positioning of Soil Moisture Monitoring Sensors in Winter Wheat Fields. Water 2018, 10, 1707. [Google Scholar] [CrossRef] [Green Version]
- Getzin, S.; Erickson, T.E.; Yizhaq, H.; Muñoz-Rojas, M.; Huth, A.; Wiegand, K. Bridging ecology and physics: Australian fairy circles regenerate following model assumptions on ecohydrological feedbacks. J. Ecol. 2021, 109, 399–416. [Google Scholar] [CrossRef]
- Meloni, D.A.; Oliva, M.A.; Martinez, C.A.; Cambraia, J. Photosynthesis and activity of superoxide dismutase, peroxidase and glutathione reductase in cotton under salt stress. Environ. Exp. Bot. 2003, 49, 69–76. [Google Scholar] [CrossRef]
- Buczek, J.; Migut, D.; Jańczak-Pieniążek, M. Effect of Soil Tillage Practice on Photosynthesis, Grain Yield and Quality of Hybrid Winter Wheat. Agriculture 2021, 11, 479. [Google Scholar] [CrossRef]
- Álvarez, S.; Martín, H.; Barajas, E.; Rubio, J.A.; Vivaldi, G.A. Rootstock Effects on Water Relations of Young Almond Trees (cv. Soleta) When Subjected to Water Stress and Rehydration. Water 2020, 12, 3319. [Google Scholar] [CrossRef]
- Liu, C.; Cui, N.; Gong, D.; Hu, X.; Feng, Y. Evaluation of seasonal evapotranspiration of winter wheat in humid region of East China using large-weighted lysimeter and three models. J. Hydrol. 2020, 590, 125388. [Google Scholar] [CrossRef]
- Wang, T.; Melton, F.S.; Pôças, I.; Johnson, L.F.; Thao, T.; Post, K.; Cassel-Sharma, F. Evaluation of crop coefficient and evapotranspiration data for sugar beets from landsat surface reflectances using micrometeorological measurements and weighing lysimetry. Agric. Water Manag. 2021, 244, 106533. [Google Scholar] [CrossRef]
- Tyagi, N.; Sharma, D.; Luthra, S. Determination of evapotranspiration and crop coefficients of rice and sunflower with lysimeter. Agric. Water Manag. 2000, 45, 41–54. [Google Scholar] [CrossRef]
- Zheng, Y.; Zhao, Q.; Zhang, X.; Xue, X.; Zhong, Z.; Wang, S. Development of a multi-channel pot plant evapotranspiration measurement system based on LORA wireless technology. Water Sav. Irrig. 2020, 3, 77–84. [Google Scholar]
- Wang, X.; Wu, Y.; Zhang, Z.; Guo, R.; Wang, L. Effects of magnetization treatment of different water sources on photosynthesis, mineral elements and yield of lettuce. J. Irrig. Drain. 2021, 40, 40–47. [Google Scholar]
- Wilcox, J.C. Rate of soil drainage following an irrigation: III. A new concept of the upper limit of available moisture. Can. J. Soil Sci. 1962, 42, 122–128. [Google Scholar] [CrossRef]
- GB/T 50485-2009; Technical Specification for Micro-Irrigation Engineering. SAC: Beijing, China, 2009; Volume 12.
- Liao, R.; Zhang, S.; Zhang, X.; Wang, M.; Wu, H.; Zhangzhong, L. Development of smart irrigation systems based on real-time soil moisture data in a greenhouse: Proof of concept. Agric. Water Manag. 2021, 245, 106632. [Google Scholar] [CrossRef]
- Zhang, F.; Liu, Z.; Zhangzhong, L.; Yu, J.; Shi, K.; Yao, L. Spatiotemporal Distribution Characteristics of Reference Evapotranspiration in Shandong Province from 1980 to 2019. Water 2020, 12, 3495. [Google Scholar] [CrossRef]
- Halperin, O.; Gebre, A.; Wallach, R.; Moshelion, M. High-throughput physiological phenotyping and screening system for the characterization of plant-environment interactions. Plant J. 2017, 89, 839–850. [Google Scholar] [CrossRef] [PubMed]
- González-Esquiva, J.; Oates, M.; García-Mateos, G.; Moros-Valle, B.; Martínez, J.M.M.; Ruiz-Canales, A. Development of a visual monitoring system for water balance estimation of horticultural crops using low cost cameras. Comput. Electron. Agric. 2017, 141, 15–26. [Google Scholar] [CrossRef]
- Álvarez, S.; Sánchez-Blanco, M.J. Changes in growth rate, root morphology and water use efficiency of potted Callistemon citrinus plants in response to different levels of water deficit. Sci. Hortic. 2013, 156, 54–62. [Google Scholar] [CrossRef] [Green Version]
- Sánchez-Blanco, M.J.; Álvarez, S.; Navarro, A.; Bañón, S. Changes in leaf water relations, gas exchange, growth and flowering quality in potted geranium plants irrigated with different water regimes. J. Plant Physiol. 2009, 166, 467–476. [Google Scholar] [CrossRef] [Green Version]
- Chang, X.; Zhao, W.; Zhao, A.J. Dynamics of leaf area index and its relationship with water consumption of Populus chinensis in the middle reaches of heihe River. Glaciol. Geocryol. 2006, 1, 85–90. [Google Scholar]
- Irmak, S.; Irmak, A.; Allen, R.; Jones, A.J. Solar and net radiation-based equations to estimate reference evapotranspiration in humid climates. J. Irrig. Drain. Eng. 2003, 129, 336–347. [Google Scholar] [CrossRef]
- Pereira, L.; Paredes, P.; López-Urrea, R.; Hunsaker, D.; Mota, M.; Shad, Z.M. Standard single and basal crop coefficients for vegetable crops, an update of FAO56 crop water requirements approach. Agric. Water Manag. 2021, 243, 106196. [Google Scholar] [CrossRef]
- Saitta, D.; Vanella, D.; Ramírez-Cuesta, J.M.; Longo-Minnolo, G.; Ferlito, F.; Consoli, S. Comparison of Orange Orchard Evapotranspiration by Eddy Covariance, Sap Flow, and FAO-56 Methods under Different Irrigation Strategies. J. Irrig. Drain. Eng. 2020, 146, 05020002. [Google Scholar] [CrossRef]
- Fan, Y.; Massey, R.; Park, S.C. Multi-Crop Production Decisions and Economic Irrigation Water Use Efficiency: The Effects of Water Costs, Pressure Irrigation Adoption, and Climatic Determinants. Water 2018, 10, 1637. [Google Scholar] [CrossRef] [Green Version]
- Liu, Y.; Li, S.; Chen, F.; Yang, S.; Chen, X. Soil water dynamics and water use efficiency in spring maize (Zea mays L.) fields subjected to different water management practices on the Loess Plateau, China. Agric. Water Manag. 2010, 97, 769–775. [Google Scholar] [CrossRef]
- Bobrov, P.P.; Belyaeva, T.A.; Kroshka, E.S.; Rodionova, O.V. Soil Moisture Measurement by the Dielectric Method. Eurasian Soil Sci. 2019, 52, 822–833. [Google Scholar] [CrossRef]













| Treatment | Planting Season | T1 | T2 | T3 | T4 |
|---|---|---|---|---|---|
| Irrigation maximums | 100% FC | ||||
| Irrigation minimums | 90% FC | 80% FC | 70% FC | 60% FC | |
| Irrigation amount/mm | First season | 116.21 | 112.04 | 109.35 | 105.16 |
| Second season | 254.15 | 235.84 | 202.94 | 172.23 | |
| Planting Season | Treatment | Fitted Equation | Determination Coefficient/R2 | p |
|---|---|---|---|---|
| First season | T1 | WIWS = 0.96 SW + 7186.5 | 0.87 | ** |
| T2 | WIWS = 0.96 SW + 7226.4 | 0.87 | ** | |
| T3 | WIWS = 1.39 SW + 6472.0 | 0.94 | ** | |
| T4 | WIWS = 0.79 SW + 7541.2 | 0.85 | ** | |
| Second season | T1 | WIWS = 1.33 SW + 7830.1 | 0.64 | ** |
| T2 | WIWS = 1.21 SW + 8094.3 | 0.73 | ** | |
| T3 | WIWS = 0.97 SW + 8525.9 | 0.70 | ** | |
| T4 | WIWS = 0.95 SW + 8534.4 | 0.76 | ** |
| Planting Season | Quadratic Sum | Degree of Freedom | Mean Square | F | Significant | |
|---|---|---|---|---|---|---|
| First Season | Among groups | 6500.92 | 3 | 2166.97 | 46.60 | 0.00 |
| Group communication | 372.00 | 8 | 46.50 | |||
| Gross | 6872.92 | 11 | ||||
| Second season | Among groups | 556,997.08 | 3 | 185,665.69 | 6.574 | 0.02 |
| Group communication | 225,944.99 | 8 | 28,243.12 | |||
| Gross | 782,942.07 | 11 |
| Index | Planting Season | Treatment | Growth Period | ||
|---|---|---|---|---|---|
| Seedling Stage | Rosette Stage | Heading Stage | |||
| Crop coefficients | First season | T1 | 1.10 a | 1.26 a | 2.17 a |
| T2 | 1.11 a | 1.28 a | 2.20 a | ||
| T3 | 1.02 b | 1.21 a | 2.26 a | ||
| T4 | 1.11 a | 1.21 a | 2.01 b | ||
| Second season | T1 | 0.65 a | 1.01 a | 2.35 b | |
| T2 | 0.65 a | 1.16 b | 2.65 a | ||
| T3 | 0.61 a | 1.02 a | 2.07 c | ||
| T4 | 0.61 a | 0.91 a | 1.97 cd | ||
| Water consumption rate | First season | T1 | 2.36 a | 2.31 a | 2.40 a |
| T2 | 2.39 a | 2.37 a | 2.45 a | ||
| T3 | 2.19 b | 2.21 a | 2.50 a | ||
| T4 | 2.39 a | 2.23 a | 2.24 b | ||
| Second season | T1 | 1.17 a | 4.52 a | 8.96 a | |
| T2 | 2.37 b | 4.39 b | 8.22 b | ||
| T3 | 0.75 c | 3.86 c | 8.14 b | ||
| T4 | 0.70 c | 3.68 c | 7.37 c | ||
| Water consumption modulus/% | First season | T1 | 19.99 b | 32.57 ab | 47.45 b |
| T2 | 19.85 b | 32.76 ab | 47.39 b | ||
| T3 | 18.75 a | 31.48 b | 49.77 c | ||
| T4 | 21.10 c | 32.81 a | 46.09 a | ||
| Second season | T1 | 2.75 a | 26.71 a | 70.54 b | |
| T2 | 5.82 b | 26.95 a | 67.23 c | ||
| T3 | 1.66 c | 25.82 b | 72.52 a | ||
| T4 | 1.70 c | 26.81 a | 71.49 b | ||
| Planting Season | ETc | ρ |
|---|---|---|
| First season | T1 | 0.854 ** |
| T2 | 0.916 ** | |
| T3 | 0.798 ** | |
| T4 | 0.882 ** | |
| Second season | T1 | 0.816 ** |
| T2 | 0.829 ** | |
| T3 | 0.799 ** | |
| T4 | 0.807 ** |
| Planting Season | Treatment | Yield/(kg) | IWUE/(kg/m3) | WUE/(g/kg) |
|---|---|---|---|---|
| First season | T1 | 0.381 b | 48.67 ab | 56.27 b |
| T2 | 0.425 a | 54.06 a | 61.34 a | |
| T3 | 0.402 a | 53.57 ab | 59.42 a | |
| T4 | 0.367 c | 50.02 b | 55.88 b | |
| Second season | T1 | 1.303 ab | 65.42 a | 83.26 b |
| T2 | 1.428 a | 79.19 bc | 94.88 a | |
| T3 | 1.026 bc | 72.06 c | 74.21 c | |
| T4 | 0.885 c | 69.79 a | 69.74 c |
Publisher’s Note: MDPI stays neutral with regard to jurisdictional claims in published maps and institutional affiliations. |
© 2022 by the authors. Licensee MDPI, Basel, Switzerland. This article is an open access article distributed under the terms and conditions of the Creative Commons Attribution (CC BY) license (https://creativecommons.org/licenses/by/4.0/).
Share and Cite
Gao, H.; Guo, R.; Shi, K.; Yue, H.; Zu, S.; Li, Z.; Zhang, X. Effect of Different Water Treatments in Soil-Plant-Atmosphere Continuum Based on Intelligent Weighing Systems. Water 2022, 14, 673. https://doi.org/10.3390/w14040673
Gao H, Guo R, Shi K, Yue H, Zu S, Li Z, Zhang X. Effect of Different Water Treatments in Soil-Plant-Atmosphere Continuum Based on Intelligent Weighing Systems. Water. 2022; 14(4):673. https://doi.org/10.3390/w14040673
Chicago/Turabian StyleGao, Hairong, Rui Guo, Kaili Shi, Huanfang Yue, Shaoying Zu, Zhiwei Li, and Xin Zhang. 2022. "Effect of Different Water Treatments in Soil-Plant-Atmosphere Continuum Based on Intelligent Weighing Systems" Water 14, no. 4: 673. https://doi.org/10.3390/w14040673
APA StyleGao, H., Guo, R., Shi, K., Yue, H., Zu, S., Li, Z., & Zhang, X. (2022). Effect of Different Water Treatments in Soil-Plant-Atmosphere Continuum Based on Intelligent Weighing Systems. Water, 14(4), 673. https://doi.org/10.3390/w14040673
