Spatiotemporal Trends Observed in 20 Years of Posidonia oceanica Monitoring along the Alicante Coast, Spain
Abstract
:1. Introduction
- To analyze the evolution of P. oceanica cover, dead matte, and shoot density between 2002 and 2021 in shallow and deep meadows at 14 locations near Alicante, Spain, using the data from the POSIMED citizen science network.
- To determine which environmental factors influence general trends in these descriptors over time.
2. Materials and Methods
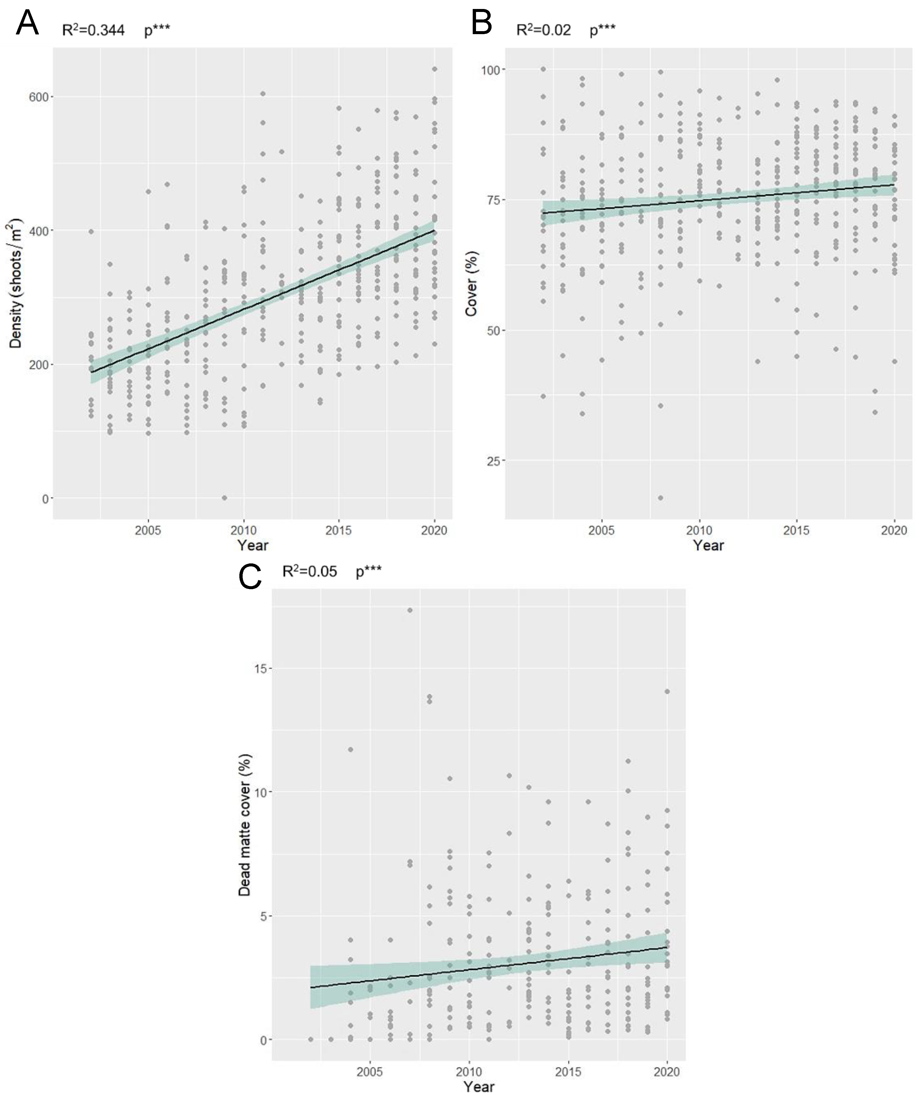
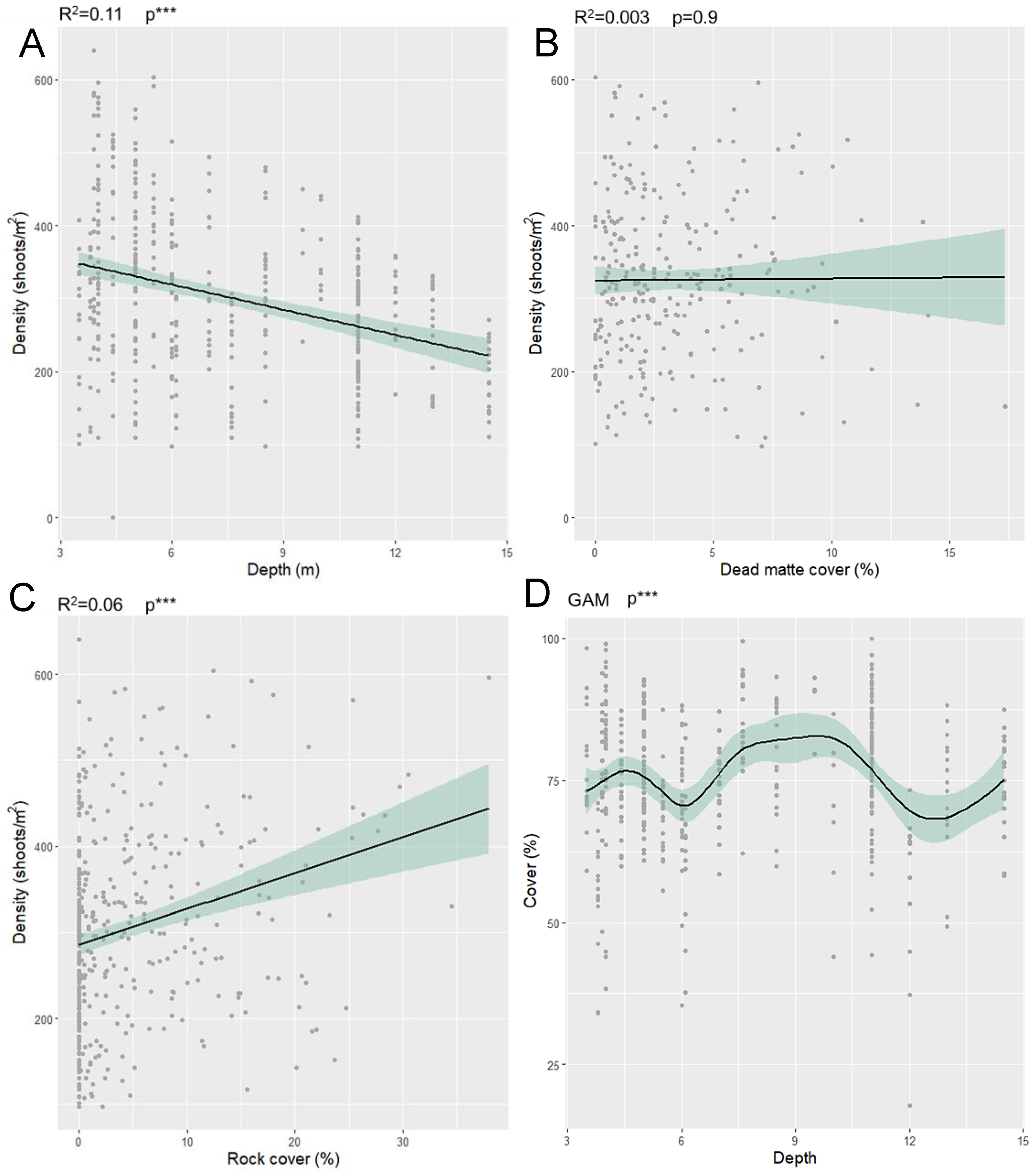
3. Results
4. Discussion
5. Conclusions
Author Contributions
Funding
Institutional Review Board Statement
Informed Consent Statement
Acknowledgments
Conflicts of Interest
References
- de los Santos, C.; Scott, A.; Arias-Ortiz, A.; Jones, B.; Kennedy, H.; Mazarrasa, I.; McKenzie, L.; Nordlund, L.M.; de la Torre-Castro, M. Seagrass ecosystem services: Assessment and scale of benefits. In Out of the Blue: The Value of Seagrasses to the Environment and to People; Potouroglou, M., Grimsditch, G., Weatherdon, L., Lutz, S., Eds.; United Nations Environment: Nairobi, Kenya, 2020; p. 95. [Google Scholar]
- Tuya, F.; Haroun, R.; Espino, F. Economic assessment of ecosystem services: Monetary value of seagrass meadows for coastal fisheries. Ocean Coast. Manag. 2014, 96, 181–187. [Google Scholar] [CrossRef]
- Dewsbury, B.M.; Bhat, M.; Fourqurean, J.W. A review of seagrass economic valuations: Gaps and progress in valuation approaches. Ecosyst. Serv. 2016, 18, 68–77. [Google Scholar] [CrossRef]
- Nordlund, L.M.; Jackson, E.L.; Nakaoka, M.; Samper-Villarreal, J.; Beca-Carretero, P.; Creed, J.C. Seagrass ecosystem services—What’s next? Mar. Pollut. Bull. 2018, 134, 145–151. [Google Scholar] [CrossRef] [PubMed]
- Boudouresque, C.F.; Bernard, G.; Bonhomme, P.; Charbonnel, E.; Diviacco, G.; Meinesz, A.; Pergent, G.; Pergent-Martini, C.; Ruitton, S.; Tunesi, L.; et al. Protection and Conservation of Posidonia oceanica Meadows; RAMOGE and RAC/SPA: Tunis, Tunisia, 2012; ISBN 2-905540-31-1. [Google Scholar]
- Boudouresque, C.F.; Meinesz, A. Découverte de L’herbier de Posidonies; Cahier Parc National Port-Cros: Hyères, France, 1982; Volume 4, pp. 1–79. [Google Scholar]
- Sánchez-Lizaso, J.L. Estudio de Ia Pradera de Posidonia oceanica (L.) Delile de la Reserva Marina de Tabarca (Alicante): Fenología y Producción Primaria; Universidad de Alicante: Alicante, Spain, 1993. [Google Scholar]
- Pergent-Martini, C.; Leoni, V.; Pasqualini, V.; Ardizzone, G.D.; Balestri, E.; Bedini, R.; Belluscio, A.; Belsher, T.; Borg, J.; Boudouresque, C.F.; et al. Descriptors of Posidonia oceanica meadows: Use and application. Ecol. Indic. 2005, 5, 213–230. [Google Scholar] [CrossRef]
- Romero, J.; Martínez-Crego, B.; Alcoverro, T.; Pérez, M. A multivariate index based on the seagrass Posidonia oceanica (POMI) to assess ecological status of coastal waters under the water framework directive (WFD). Mar. Pollut. Bull. 2007, 55, 196–204. [Google Scholar] [CrossRef] [PubMed]
- Fernández-Torquemada, Y.; Díaz-Valdés, M.; Colilla, F.; Luna, B.; Sánchez-Lizaso, J.L.; Ramos-Esplá, A.A. Descriptors from Posidonia oceanica (L.) Delile meadows in coastal waters of Valencia, Spain, in the context of the EU Water Framework Directive. ICES J. Mar. Sci. 2008, 65, 1492–1497. [Google Scholar] [CrossRef] [Green Version]
- McKenzie, L.J.; Nordlund, L.M.; Jones, B.L.; Cullen-Unsworth, L.C.; Roelfsema, C.; Unsworth, R.K.F. The global distribution of seagrass meadows. Environ. Res. Lett. 2020, 15, 074041. [Google Scholar] [CrossRef]
- Roca, G.; Alcoverro, T.; de Torres, M.; Manzanera, M.; Martínez-Crego, B.; Bennett, S.; Farina, S.; Pérez, M.; Romero, J. Detecting water quality improvement along the Catalan coast (Spain) using stress-specific biochemical seagrass indicators. Ecol. Indic. 2015, 54, 161–170. [Google Scholar] [CrossRef]
- Bonanno, G.; Di Martino, V. Trace element compartmentation in the seagrass Posidonia oceanica and biomonitoring applications. Mar. Pollut. Bull. 2017, 116, 196–203. [Google Scholar] [CrossRef]
- Jordà, G.; Marbà, N.; Duarte, C.M. Mediterranean seagrass vulnerable to regional climate warming. Nat. Clim. Chang. 2012, 2, 821–824. [Google Scholar] [CrossRef] [Green Version]
- Fernández-Torquemada, Y.; Sánchez-Lizaso, J.L. Effects of salinity on leaf growth and survival of the Mediterranean seagrass Posidonia oceanica (L.) Delile. J. Exp. Mar. Biol. Ecol. 2005, 320, 57–63. [Google Scholar] [CrossRef]
- Ruiz, J.M.; Romero, J. Effects of disturbances caused by coastal constructions on spatial structure, growth dynamics and photosynthesis of the seagrass Posidonia oceanica. Mar. Pollut. Bull. 2003, 46, 1523–1533. [Google Scholar] [CrossRef]
- Calizza, E.; Costantini, M.L.; Carlino, P.; Bentivoglio, F.; Orlandi, L.; Rossi, L. Posidonia oceanica habitat loss and changes in litter-associated biodiversity organization: A stable isotope-based preliminary study. Estuar. Coast. Shelf Sci. 2013, 135, 137–145. [Google Scholar] [CrossRef]
- Boudouresque, C.F.; Pergent, G.; Pergent-Martini, C.; Ruitton, S.; Thibaut, T.; Verlaque, M. The necromass of the Posidonia oceanica seagrass meadow: Fate, role, ecosystem services and vulnerability. Hydrobiologia 2016, 781, 25–42. [Google Scholar] [CrossRef] [Green Version]
- Pergent-Martini, C.; Pergent, G.; Monnier, B.; Boudouresque, C.-F.; Mori, C.; Valette-Sansevin, A. Contribution of Posidonia oceanica meadows in the context of climate change mitigation in the Mediterranean Sea. Mar. Environ. Res. 2021, 165, 105236. [Google Scholar] [CrossRef]
- Unsworth, R.K.F.; Nordlund, L.M.; Cullen-Unsworth, L.C. Seagrass meadows support global fisheries production. Conserv. Lett. 2019, 12, e12566. [Google Scholar] [CrossRef]
- Gacia, E.; Duarte, C.M. Sediment Retention by a Mediterranean Posidonia oceanica Meadow: The Balance between Deposition and Resuspension. Estuar. Coast. Shelf Sci. 2001, 52, 505–514. [Google Scholar] [CrossRef]
- Manca, E.; Cáceres, I.; Alsina, J.M.; Stratigaki, V.; Townend, I.; Amos, C.L. Wave energy and wave-induced flow reduction by full-scale model Posidonia oceanica seagrass. Cont. Shelf Res. 2012, 50–51, 100–116. [Google Scholar] [CrossRef]
- Boudouresque, C.F.; Bernard, G.; Pergent, G.; Shili, A.; Verlaque, M. Regression of Mediterranean seagrasses caused by natural processes and anthropogenic disturbances and stress: A critical review. Bot. Mar. 2009, 52, 395–418. [Google Scholar] [CrossRef]
- Short, F.T.; Wyllie-Echeverria, S. Natural and human-induced disturbance of seagrasses. Environ. Conserv. 1996, 23, 17–27. [Google Scholar] [CrossRef]
- Duarte, C.M. Seagrass ecology at the turn of the millennium: Challenges for the new century. Aquat. Bot. 1999, 65, 7–20. [Google Scholar] [CrossRef]
- Hemminga, M.A.; Duarte, C.M. Seagrass Ecology, 1st ed.; Cambridge University Press: Cambridge, UK, 2000; ISBN 978-0-521-66184-3. [Google Scholar]
- Orth, R.J.; Carruthers, T.J.B.; Dennison, W.C.; Duarte, C.M.; Fourqurean, J.W.; Heck, K.L.; Hughes, A.R.; Kendrick, G.A.; Kenworthy, W.J.; Olyarnik, S.; et al. A Global Crisis for Seagrass Ecosystems. BioScience 2006, 56, 987–996. [Google Scholar] [CrossRef] [Green Version]
- Waycott, M.; Duarte, C.M.; Carruthers, T.J.B.; Orth, R.J.; Dennison, W.C.; Olyarnik, S.; Calladine, A.; Fourqurean, J.W.; Heck, K.L.; Hughes, A.R.; et al. Accelerating loss of seagrasses across the globe threatens coastal ecosystems. Proc. Natl. Acad. Sci. USA 2009, 106, 12377–12381. [Google Scholar] [CrossRef] [PubMed] [Green Version]
- Telesca, L.; Belluscio, A.; Criscoli, A.; Ardizzone, G.; Apostolaki, E.T.; Fraschetti, S.; Gristina, M.; Knittweis, L.; Martin, C.S.; Pergent, G.; et al. Seagrass meadows (Posidonia oceanica) distribution and trajectories of change. Sci. Rep. 2015, 5, 12505. [Google Scholar] [CrossRef] [Green Version]
- Marbà, N.; Duarte, C.; Cebrián, J.; Gallegos, M.; Olesen, B.; Sand-Jensen, K. Growth and population dynamics of Posidonia oceanica on the Spanish Mediterranean coast:elucidating seagrass decline. Mar. Ecol. Prog. Ser. 1996, 137, 203–213. [Google Scholar] [CrossRef]
- de los Santos, C.B.; Krause-Jensen, D.; Alcoverro, T.; Marbà, N.; Duarte, C.M.; van Katwijk, M.M.; Pérez, M.; Romero, J.; Sánchez-Lizaso, J.L.; Roca, G.; et al. Recent trend reversal for declining European seagrass meadows. Nat. Commun. 2019, 10, 3356. [Google Scholar] [CrossRef] [PubMed] [Green Version]
- González-Correa, J.; Bayle Sempere, J.; Sánchez-Jerez, P.; Valle, C. Posidonia oceanica meadows are not declining globally. Analysis of population dynamics in marine protected areas of the Mediterranean Sea. Mar. Ecol. Prog. Ser. 2007, 336, 111–119. [Google Scholar] [CrossRef] [Green Version]
- Guillén, J.E.; Sánchez Lizaso, J.L.; Jiménez, S.; Martínez, J.; Codina, A.; Montero, M.; Triviño, A.; Soler, G.; Zubcoff, J.J. Evolution of Posidonia oceanica seagrass meadows and its implications for management. J. Sea Res. 2013, 83, 65–71. [Google Scholar] [CrossRef] [Green Version]
- Abadie, A.; Pace, M.; Gobert, S.; Borg, J.A. Seascape ecology in Posidonia oceanica seagrass meadows: Linking structure and ecological processes for management. Ecol. Indic. 2018, 87, 1–13. [Google Scholar] [CrossRef] [Green Version]
- Boudouresque, C.F.; Bernard, G.; Bonhomme, P.; Charbonnel, E.; Diréach, L.L.; Ruitton, S. Monitoring methods for Posidonia oceanica seagrass meadows in Provence and the French Riviera. Sci. Rep. Port-Cros Natl. Park 2007, 22, 17–38. [Google Scholar]
- Gobert, S.; Sartoretto, S.; Rico-Raimondino, V.; Andral, B.; Chery, A.; Lejeune, P.; Boissery, P. Assessment of the ecological status of Mediterranean French coastal waters as required by the Water Framework Directive using the Posidonia oceanica Rapid Easy Index: PREI. Mar. Pollut. Bull. 2009, 58, 1727–1733. [Google Scholar] [CrossRef] [Green Version]
- Martínez-Crego, B.; Vergés, A.; Alcoverro, T.; Romero, J. Selection of multiple seagrass indicators for environmental biomonitoring. Mar. Ecol. Prog. Ser. 2008, 361, 93–109. [Google Scholar] [CrossRef]
- Holon, F.; Boissery, P.; Guilbert, A.; Freschet, E.; Deter, J. The impact of 85 years of coastal development on shallow seagrass beds (Posidonia oceanica L. (Delile)) in South Eastern France: A slow but steady loss without recovery. Estuar. Coast. Shelf Sci. 2015, 165, 204–212. [Google Scholar] [CrossRef] [Green Version]
- Sanchez-Lizaso, J.L.; Guillén, J.E.; Ramos-Esplá, A.A. The regression of Posidonia oceanica meadows in El Campello (SE Iberian Peninsula). Rapp. Commun. CIESM 1990, 32, 7. [Google Scholar]
- González-Correa, J.M.; Sanchez-Lizaso, J.L.; Fernández-Torquemada, Y.; Forcada, A. Long-term population dynamics in a healthy Posidonia oceanica meadow. Thalassas 2015, 31, 63–72. [Google Scholar]
- Montefalcone, M.; Albertelli, G.; Morri, C.; Bianchi, C.N. Urban seagrass: Status of Posidonia oceanica facing the Genoa city waterfront (Italy) and implications for management. Mar. Pollut. Bull. 2007, 54, 206–213. [Google Scholar] [CrossRef]
- Ardizzone, G.; Belluscio, A.; Maiorano, L. Long-term change in the structure of a Posidonia oceanica landscape and its reference for a monitoring plan. Mar. Ecol. 2006, 27, 299–309. [Google Scholar] [CrossRef]
- Tamburello, L.; Benedetti-Cecchi, L.; Ghedini, G.; Alestra, T.; Bulleri, F. Variation in the structure of subtidal landscapes in the NW Mediterranean Sea. Mar. Ecol. Prog. Ser. 2012, 457, 29–41. [Google Scholar] [CrossRef] [Green Version]
- Dalla Via, J.; Sturmbauer, C.; Schonweger, G.; Sotz, E.; Mathekowitsch, S.; Stifter, M.; Rieger, R. Light gradients and meadow structure in Posidonia oceanica: Ecomorphological and functional correlates. Mar. Ecol. Prog. Ser. 1998, 163, 267–278. [Google Scholar] [CrossRef]
- Dattolo, E.; Ruocco, M.; Brunet, C.; Lorenti, M.; Lauritano, C.; D’Esposito, D.; De Luca, P.; Sanges, R.; Mazzuca, S.; Procaccini, G. Response of the seagrass Posidonia oceanica to different light environments: Insights from a combined molecular and photo-physiological study. Mar. Environ. Res. 2014, 101, 225–236. [Google Scholar] [CrossRef]
- Abadie, A.; Gobert, S.; Bonacorsi, M.; Lejeune, P.; Pergent, G.; Pergent-Martini, C. Marine space ecology and seagrasses. Does patch type matter in Posidonia oceanica seascapes? Ecol. Indic. 2015, 57, 435–446. [Google Scholar] [CrossRef]
- Pace, M.; Borg, J.A.; Galdies, C.; Malhotra, A. Influence of wave climate on architecture and landscape characteristics of Posidonia oceanica meadows. Mar. Ecol. 2017, 38, e12387. [Google Scholar] [CrossRef] [Green Version]
- La Manna, G.; Donno, Y.; Sarà, G.; Ceccherelli, G. The detrimental consequences for seagrass of ineffective marine park management related to boat anchoring. Mar. Pollut. Bull. 2015, 90, 160–166. [Google Scholar] [CrossRef] [PubMed]
- Ruiz, J.M.; Guillén, J.E.; Ramos-Segura, A.; Otero, M.M. Atlas de Praderas Marinas de España; Instituto Español de Oceanografía: Madrid, Spain, 2015. [Google Scholar]
- Griffiths, L.L.; Connolly, R.M.; Brown, C.J. Critical gaps in seagrass protection reveal the need to address multiple pressures and cumulative impacts. Ocean Coast. Manag. 2020, 183, 104946. [Google Scholar] [CrossRef]
- Montefalcone, M.; Albertelli, G.; Morri, C.; Parravicini, V.; Bianchi, C.N. Legal protection is not enough: Posidonia oceanica meadows in marine protected areas are not healthier than those in unprotected areas of the northwest Mediterranean Sea. Mar. Pollut. Bull. 2009, 58, 515–519. [Google Scholar] [CrossRef]
- Leiva-Dueñas, C.; Martínez Cortizas, A.; Piñeiro-Juncal, N.; Díaz-Almela, E.; Garcia-Orellana, J.; Mateo, M.A. Long-term dynamics of production in western Mediterranean seagrass meadows: Trade-offs and legacies of past disturbances. Sci. Total Environ. 2021, 754, 142117. [Google Scholar] [CrossRef]
- Leiva-Dueñas, C.; López-Merino, L.; Serrano, O.; Martínez Cortizas, A.; Mateo, M.A. Millennial-scale trends and controls in Posidonia oceanica (L. Delile) ecosystem productivity. Glob. Planet. Chang. 2018, 169, 92–104. [Google Scholar] [CrossRef]
- Micheli, C.; D’Esposito, D.; Belmonte, A.; Peirano, A.; Valiante, L.M.; Procaccini, G. Genetic diversity and structure in two protected Posidonia oceanica meadows. Mar. Environ. Res. 2015, 109, 124–131. [Google Scholar] [CrossRef]
- Forrester, G.; Baily, P.; Conetta, D.; Forrester, L.; Kintzing, E.; Jarecki, L. Comparing monitoring data collected by volunteers and professionals shows that citizen scientists can detect long-term change on coral reefs. J. Nat. Conserv. 2015, 24, 1–9. [Google Scholar] [CrossRef]
- Le Rest, K.; Pinaud, D.; Bretagnolle, V. Volunteer-based surveys offer enhanced opportunities for biodiversity monitoring across broad spatial extent. Ecol. Inform. 2015, 30, 313–317. [Google Scholar] [CrossRef]
- Cigliano, J.A.; Meyer, R.; Ballard, H.L.; Freitag, A.; Phillips, T.B.; Wasser, A. Making marine and coastal citizen science matter. Ocean Coast. Manag. 2015, 115, 77–87. [Google Scholar] [CrossRef] [Green Version]




| Location | 2002 | 2003 | 2004 | 2005 | 2006 | 2007 | 2008 | 2009 | 2010 | 2011 | 2012 | 2013 | 2014 | 2015 | 2016 | 2017 | 2018 | 2019 | 2020 | 2021 |
|---|---|---|---|---|---|---|---|---|---|---|---|---|---|---|---|---|---|---|---|---|
| Dénia | X | X | X | X | X | X | X | X | X | X | X | X | X | X | ||||||
| Tangó | X | X | X | X | X | X | X | X | X | |||||||||||
| Calpe | X | X | X | X | X | X | X | X | X | X | X | X | X | X | X | X | X | X | X | |
| Altea | X | X | X | X | X | X | X | X | X | X | X | X | X | X | X | X | X | X | X | |
| Cala Mina | X | X | X | X | X | X | X | X | X | X | X | X | X | X | X | X | X | |||
| Benidorm | X | X | X | X | X | X | X | X | X | X | X | X | X | X | X | X | X | X | X | |
| Conill | X | X | X | X | X | X | X | X | X | X | X | X | X | X | X | |||||
| Campello | X | X | X | X | X | X | X | X | X | X | X | X | X | X | X | X | X | X | ||
| Cabo Huertas | X | X | X | X | X | X | X | X | X | X | X | X | X | X | X | X | X | X | ||
| Postiguet | X | X | X | X | X | X | X | X | X | X | X | X | X | X | X | X | X | X | ||
| Santa Pola | X | X | X | X | X | X | X | X | X | X | X | X | X | X | X | X | X | X | X | |
| Escull Negre | X | X | X | X | X | X | X | X | X | X | X | X | X | X | X | X | X | X | X | |
| Nao | X | X | X | X | X | X | X | X | X | X | X | X | X | X | X | X | X | X | X | |
| Campoamor | X | X | X | X | X | X |
| Location | Depth | Shoot Density | P. oceanica Cover | ||
|---|---|---|---|---|---|
| Trend | p-Value | Trend | p-Value | ||
| Dénia | Shallow | + | 0.001 | − | 0.919 |
| Dénia | Deep | + | 0.001 | + | 0.285 |
| Tangó | Shallow | + | 0.38 | − | 0.860 |
| Tangó | Deep | + | 0.834 | + | 0.01 |
| Calpe | Shallow | + | 0.253 | + | 0.217 |
| Calpe | Deep | + | 0.176 | + | 0.001 |
| Altea | Shallow | + | 0.009 | + | 0.933 |
| Altea | Deep | + | 0.185 | + | 0.266 |
| Cala Mina | Shallow | + | 0.013 | + | 0.494 |
| Cala Mina | Deep | + | 0.120 | + | 0.197 |
| Benidorm | Shallow | + | 0.001 | − | 0.952 |
| Benidorm | Deep | + | 0.0005 | + | 0.014 |
| Conill | Shallow | + | 0.354 | + | 0.741 |
| Conill | Deep | − | 0.886 | + | 0.031 |
| Campello | Shallow | + | 0.002 | + | 0.009 |
| Campello | Deep | + | 0.013 | − | 0.057 |
| Cabo Huertas | Shallow | + | 0.0004 | + | 0.191 |
| Cabo Huertas | Deep | + | 0.001 | + | 0.190 |
| Postiguet | Shallow | + | 0.0003 | − | 0.509 |
| Postiguet | Deep | + | 0.0001 | + | 0.327 |
| Santa Pola | Shallow | + | 0.0003 | + | 0.506 |
| Santa Pola | Deep | + | 0.0008 | + | 0.300 |
| Escull Negre | Shallow | + | 8.67 × 10−5 | + | 0.02 |
| Escull Negre | Deep | + | 6.62 × 10−5 | + | 0.315 |
| Tabarca Nao | Shallow | + | 3.31 × 10−6 | + | 0.06 |
| Tabarca Nao | Deep | + | 0.067 | + | 0.906 |
| Campoamor | Shallow | + | 0.244 | − | 0.672 |
| Campoamor | Deep | + | 0.219 | + | 0.011 |
Publisher’s Note: MDPI stays neutral with regard to jurisdictional claims in published maps and institutional affiliations. |
© 2022 by the authors. Licensee MDPI, Basel, Switzerland. This article is an open access article distributed under the terms and conditions of the Creative Commons Attribution (CC BY) license (https://creativecommons.org/licenses/by/4.0/).
Share and Cite
Blanco-Murillo, F.; Jimenez-Gutierrez, S.; Martínez-Vidal, J.; Guillén, J.E.; Sánchez-Lizaso, J.L. Spatiotemporal Trends Observed in 20 Years of Posidonia oceanica Monitoring along the Alicante Coast, Spain. Water 2022, 14, 274. https://doi.org/10.3390/w14030274
Blanco-Murillo F, Jimenez-Gutierrez S, Martínez-Vidal J, Guillén JE, Sánchez-Lizaso JL. Spatiotemporal Trends Observed in 20 Years of Posidonia oceanica Monitoring along the Alicante Coast, Spain. Water. 2022; 14(3):274. https://doi.org/10.3390/w14030274
Chicago/Turabian StyleBlanco-Murillo, Fabio, Santiago Jimenez-Gutierrez, Joaquín Martínez-Vidal, Juan Eduardo Guillén, and Jose Luis Sánchez-Lizaso. 2022. "Spatiotemporal Trends Observed in 20 Years of Posidonia oceanica Monitoring along the Alicante Coast, Spain" Water 14, no. 3: 274. https://doi.org/10.3390/w14030274
APA StyleBlanco-Murillo, F., Jimenez-Gutierrez, S., Martínez-Vidal, J., Guillén, J. E., & Sánchez-Lizaso, J. L. (2022). Spatiotemporal Trends Observed in 20 Years of Posidonia oceanica Monitoring along the Alicante Coast, Spain. Water, 14(3), 274. https://doi.org/10.3390/w14030274

