You are currently viewing a new version of our website. To view the old version click .
Water
  • Editor’s Choice
  • Article
  • Open Access

16 December 2022

Evaluation of the Adsorptive Performances of Rapeseed Waste in the Removal of Toxic Metal Ions in Aqueous Media

,
,
,
and
1
Department of Environmental Engineering and Management, “Cristofor Simionescu” Faculty of Chemical Engineering and Environmental Protection, Gheroghe Asachi Technical University of Iaşi, 700050 Iași, Romania
2
Research Institute for Agriculture and Environment, “Ion Ionescu de la Brad” University of Agricultural Sciences and Veterinary Medicine, 700490 Iași, Romania
3
Laboratory of Physical Chemistry of Polymers, Petru Poni Institute of Macromolecular Chemistry, 700506 Iaşi, Romania
4
Faculty of Agriculture, “Ion Ionescu de la Brad” University of Agricultural Sciences and Veterinary Medicine, Aleea M. Sadoveanu Street, No. 3, 700490 Iași, Romania
This article belongs to the Special Issue Advances in Wastewater Treatment Processes

Abstract

Rapeseed seeds are one of the most important categories of raw materials used to obtain biofuels. However, the biomass resulting after oil extraction is still considered waste, for which valorization solutions are sought. In this study, we propose the use of this type of residual biomass (rapeseed waste biomass (RWB)) as a biosorbent for the removal of toxic metal ions from aqueous media. Two toxic metal ions were selected for the experimental studies, namely: Pb(II) and Hg(II). The optimal biosorption conditions, for both metal ions, were selected based on response surface methodology and were verified experimentally in batch systems. More than 92% of the initial amount of Pb(II) and Hg(II) are retained under the following conditions: pH = 6.5 for Pb(II) and 4.0 for Hg(II); biosorbent dosage = 4.0 g/L; contact time = 3 h; temperature = 25 ± 1 °C. Isotherm (Langmuir, Freundlich and Temkin models) and kinetic (pseudo-first order, pseudo-second order and intra-particle diffusion models) modelling of the experimental data were used for the quantitative evaluation of both biosorption processes. Although the Langmuir maximum biosorption capacities are different (higher in the case of Pb(II) (61.97 mg/g) than in the case of Hg(II) (51.32 mg/g)), the pseudo-second order kinetic constants have the same order of magnitude. This shows that the retention of both metal ions involves similar elementary steps and that RWB behaves as a typical biosorbent. These characteristics, together with the very good desorption behavior, provide a complete picture of the possible applications of this waste in environmental decontamination processes.

1. Introduction

It is well-known that industrial activities are the main sources of environmental pollution with heavy metal ions, due to the discharges of incompletely or improperly treated industrial effluents. In this way, heavy metal ions reach water sources, where due to their non-biodegradability, toxic effect and tendency to accumulate, they significantly contribute to the degradation of the quality of ecosystems and affect the health of plants, animals and even people [1,2]. However, heavy metal ions cannot be replaced from production activities. Even the most toxic heavy metal ions (such as Pb(II) and Hg(II) [3]) have a particular industrial importance in sectors such as: the extractive industry and the manufacture of alloys, paints, batteries, etc., [4,5,6], which makes them still frequently used on a large scale. Industrial effluents resulting from these production activities are therefore expected to contain heavy metal ions in concentrations that can vary over a fairly wide range. For this reason, it is necessary to treat these effluents before discharging them into the environment.
In the most general sense, the treatment of industrial effluents involves reducing the concentration of polluting chemical species below the maximum value allowed by the legislation [7]. Various physico-chemical methods, including chemical precipitation, electrochemical processes, membrane-related processes, solvent extraction, coagulation, flocculation, ion exchange, etc., [8,9,10,11], have been examined to evaluate their applicative potential in the removal processes of metal ions from aqueous media. However, the moderate efficiency in treating large volume of effluents, the high consumption of reagents and energy, the generation of large amounts of sludge, etc., [11,12] are just some of the disadvantages of these methods, which limits their applicability.
In contrast, biosorption is considered a much more economical and environmental friendly method that can be used to treat aqueous effluents containing heavy metal ions [12,13,14,15]. The easy adaptation to different working conditions, the low cost of operation on a large scale, the wide variety of materials that can be used as biosorbents (natural materials, agricultural or industrial waste), etc., are just a few of the arguments that have made biosorption intensively studied in the literature [16,17,18] as an alternative to classical industrial wastewater treatment methods. However, to date, the applicability of biosorption processes in industrial wastewater treatment is quite limited [18]. With few exceptions, this limitation is mainly due to finding a suitable biosorbent for large-scale use. Such a biosorbent must be available in large enough quantities to ensure the continuity of industrial processes but also have a low purchasing cost, so that it is accessible to as many industrial activities as possible. Thus, most natural materials (algae, aquatic or terrestrial plants, bacteria, fungi, etc.) [19,20,21,22], although they allow the quantitative removal of many metal ions and have a regional availability and a rather high cost of preparation, and, for this reason they are not suitable for a large scale use. Agricultural wastes (cereal straw, chaff, stem of leaves of plants, seed husks, etc.) [23,24,25,26] already have established uses (in the manufacture of animal feed, organic composts, etc.), which have proven their economic viability. Furthermore, many of the industrial wastes (those from the food, pharmaceutical or cosmetics industry) [27,28] have a reduced stability over time and can often contain microorganisms, which make them more difficult to use in biosorption processes.
A special category of industrial waste is that from the production of biofuels. Different types of biomass (soy, rapeseed, mustard, algae, etc.) [29] are successfully used for the extraction of oils, necessary for biofuels manufacturing. Biomass wastes resulting from the extraction are most often incinerated to obtain thermal energy. Therefore, the use of such wastes as biosorbents in the removal of metal ions from aqueous media can be an alternative for their valorization. In addition, the use of these materials in biosorption processes is advantageous because: (i) being industrial waste—they are found in sufficiently large quantities and have a low cost, and (ii) they are already ground and sieved, which means that is in need of a reduced number of steps for the biosorbent preparation.
In this study, rapeseed waste biomass (RWB) was selected as a biosorbent for the removal of toxic Pb(II) and Hg(II) metal ions from aqueous media. RWB was obtained in the laboratory, after the n-hexane extraction of oils from rapeseed, and its selection for experimental studies was made, taking into account its importance as a raw material in the production of biofuels [30]. The obtained material (RWB) was characterized (by FTIR spectrometry and SEM microscopy) and was used as a biosorbent for the removal of toxic metal ions (Pb(II) and Hg(II)) in batch systems. The biosorptive performance of RWB was tested at different initial metal ions concentration and contact time, under optimal experimental conditions. The optimal experimental conditions were obtained using the response surface methodology method and were verified experimentally. The equilibrium and kinetic data were modelled using different isotherm and kinetic models, and the characteristic parameters of these models were analyzed. The retention and quantitative recovery of the studied toxic metal ions show that RWB behaves as a biosorbent and can represent an alternative in environmental remediation processes.

2. Materials and Methods

2.1. Materials and Reagents

Rapeseeds (purchased from a local farm (Iaşi, Romania)) were washed several times with distilled water (to remove impurities and dust from their surface), dried for 6 h at 105 °C, ground and sieved. The obtained rapeseed biomass was then subjected to an oil extraction process, using n-hexane as solvent, to obtain rapeseed waste biomass (RWB). After removal from the Soxhlet extractor, RWB was air-dried (3 days, at room temperature) and kept in desiccators until its use in biosorption studies.
To obtain stock solution of metal ions (10−2 mol M(II)/L), chemical reagents of analytical purity (lead nitrate, mercuric nitrate) were used. The working solutions were prepared from the stock solution. All of the solutions needed to carry out the experiments were prepared using fresh distilled water. HNO3 solutions (10−4–1 mol/L) were used to adjust the pH at optimal values and as the desorption agent.

2.2. Establishing Optimal Conditions

The optimal experimental conditions for the quantitative removal of Pb(II) and Hg(II) ions were established using response surface methodology (Design-Expert software). In this modelling, the independent variables were considered: pH (1.0–6.5), biosorbent dose (4.0–20.0 g/L) and temperature (10, 25 and 55 °C). The concentration of metal ions and contact time were kept constant (40 mg/L and 180 min), and the optimal values of these parameters were selected based on the values of the removal percents (R, %) calculated by the software. For validation, these optimal conditions were verified experimentally.

2.3. Biosorption Studies

The effect of initial metal ions concentration and contact time were experimentally examined in batch systems in the following conditions: pH of 6.5 for Pb(II) and 4.0 for Hg(II), biosorbent dosage of 4.0 g/L and ambient temperature (25 ± 1 °C). The initial concentration of metal ions varied between 22 and 532 mg M(II)/L, while the variation range of the contact time was between 5 and 180 min. In each experiment, 25 mL of aqueous solution of metal ions (with known concentration) was mixed with 0.2 g of RWB, for a set period of time, and then filtered (on quantitative filter paper). The concentration of metal ions in the initial (c0, mg/L) and final (c, mg/L) solutions was analyzed spectrophotometrically (see Section 2.4).
The efficiency of the biosorption processes was evaluated using the biosorption capacity (q, mg/g) and the removal percent (R, %), calculated according to relations (1) and (2).
q = ( c 0 c ) × V m
R = c 0 c c 0 × 100
where V is volume of solution (25 mL), and m is the mass of RWB (0.2 g).
In desorption experiments, 0.05 g of RWB loaded with each metal ion was treated with 10 mL of HNO3 solution (10−4–1 mol/L), mixed for 3 h and then filtered. The concentration of metal ions was analyzed spectrophotometrically (see Section 2.4), and the desorption efficiency (Desorption, %) was calculated using Equation (3).
Desorption ,   % = 100 × c d e s o r b . m × q e
where cdesorb. is the concentration of metal ions after desorption (mg/L), qe is the biosorption capacity (mg/g) and m is the mass of loaded-RWB (0.05 g).
All experiments were performed in triplicate, and the values presented in this study represent the average values.

2.4. Analytical Methods

The main analytical characteristics of the spectrophotometric methods (Digital Spectrophotometer S 104D, 1 cm glass cell) used to determine the concentration of Pb(II) and Hg(II) ions in aqueous solutions are presented in Table 1. The selection of these methods took into account the ease of their practical use and the accuracy of the obtained results.
Table 1. Analytical characteristics of the spectrophotometric methods used in the analysis of Pb(II) and Hg(II) ions.
The functional groups on the RWB surface were identified using FTIR spectrometry (FTIR Bio-Rad spectrometer, Berlin, Germany) (400–4000 cm−1; resolution of 4 cm−1, KBr pellet technique)), and the surface morphology of the biosorbent was analyzed using SEM images (SEM/EDAX Hitach S3000N (Tokyo, Japan), 20 kV). Before recording the FTIR spectra and SEM images, the solid biosorbent samples were dried in air (22 ± 1 °C) and homogenized. Others psysico-chemical characteristics of this biosorbent have been previously reported [31].

2.5. Modeling of Experimental Data

The experimental isotherms were analyzed using the Langmuir, Freundlich and Temkin models. The mathematical equations of these three models are [32,33]:
Langmuir   model :   q = q m a x × K L × c 1 + ( K L × c )
Freundlich   model :   q = K F × c 1 / n
Temkin   model :   q = B × ln ( A T × c )
where q is the biosorption capacity at equilibrium (mg/g), qmax is the maximum biosorption capacity (mg/g), KL is the Langmuir constant (L/g), c is the equilibrium concentration of metal ions (mg/L), KF is the Freundlich constant (L/g), n is the heterogeneity factor, AT is the Temkin binding constant (L/g), and B is a constant correlated with the heat of biosorption process (J/mol).
The kinetic models used to describe the experimental data were: the pseudo-first order model (Equation (7)), the pseudo-second order model (Equation (8)) and the intra-particle diffusion model (Equation (9)) [34,35].
q t = q e × ( 1 e k 1 · t )
q t = k 2 × q e 2 · t 1 + ( k 2 × q e · t )
q t = k d i f f . × t 1 / 2 + c
where qe, qt are the biosorption capacities at equilibrium and at different times (mg/g), k1 is the rate constant of the pseudo-first order model (1/min), k2 is the rate constant of the pseudo-second order (g/mg min), kdiff is the intra-particle diffusion rate constant (mg/g min1/2), and c is the concentration of metal ions from solution at equilibrium (mg/L).
The model that best describes the experimental data was chosen based on the values of the regression coefficients, calculated from ANOVA statistics.

3. Results and Discussion

3.1. Optimization of Biosorption Conditions

To reduce the number of experiments required to establish the optimal biosorption conditions, response surface methodology was used, as described in a previous study [36]. The results obtained by response surface methodology (Table 2) have shown that the biosorption of Pb(II) and Hg(II) ions occurs with the highest efficiency (R > 88%) at different initial pH but at the same values of biosorbent dose, contact time and temperature.
Table 2. Optimal conditions for the biosorption of Pb(II) and Hg(II) ions onto RWB.
The experimental verification of the theoretically obtained values for the biosorption parameters confirms that the retention of Pb(II) and Hg(II) ions on RWB occurs quantitatively (R > 92%) at a pH of 6.5 for Pb(II) and 4.0 for Hg(II), biosorbent dose of 4.0 g/L, contact time 180 min and temperature 25 °C (Table 2). These conditions were considered optimal and were used in subsequent experimental studies.

3.2. Evaluation of the Biosorption Efficiency

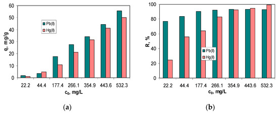
In these experimental conditions, established as optimal, the initial concentration of Pb(II) and Hg(II) ions varied between 22 and 532 mg/L, and the values of biosorption capacities (q, mg/g) and removal percents (R, %) are shown in Figure 1.
Figure 1. Effect of initial metal ions concentration on biosorption efficiency of Pb(II) and Hg(II) onto RWB ((a) variation of biosorption capacity; (b) variation of removal percent).
Figure 1 shows that increasing the initial concentration of metal ions causes an increase in the biosorption parameters (q and R) over the entire studied concentration range for both metal ions. Thus, the biosorption capacity increased from 1.70 to 55.55 mg/g in the case of Pb(II) ions and from 1.05 to 50.03 mg/g in the case of Hg(II) ions, while the removal percent increase from 77.06 to 92.83% for Pb(II) ions and from 24.45 to 99.43% for Hg(II) ions (Figure 1).
The increase in biosorption parameters with the increase in the initial concentration of metal ions shows that RWB has a sufficiently large number of functional groups that can interact with metal ions from aqueous solution and that these functional groups are mostly located on the surface of biosorbent, because they allow the quantitative biosorption of Pb(II) and Hg(II) even at high initial concentrations.
In order to highlight the nature of the functional groups and the morphology of the biosorbent surface, FTIR spectra and SEM images of RWB were recorded before and after the biosorption of Pb(II) and Hg(II) ions from aqueous solution (Figure 2).
Figure 2. FTIR spectra (a) and SEM images (b) recorded for RWB before (1) and after Pb(II) (2) and Hg(II) (3) biosorption.
It can be seen from Figure 2a that RWB (spectra 1) has hydroxyl (3285 cm−1), carboxyl (1744 cm−1), carbonyl (1652 cm−1), ether (1160 cm−1), etc., functional groups on its surface, which can represent binding sites for Pb(II) and Hg(II) ions in aqueous solutions. Moreover, these functional groups are placed on different geometric planes, taking into account the morphological non-uniformity of the surface, easily observed in Figure 2b (image 1). These structural features are mainly determined by the cracking of vegetable cells due to the solvent extraction stage and show that RWB has the potential to be used as a biosorbent for the removal of metal ions from aqueous media.
On the other hand, it should be noted that, after the biosorption of metal ions, neither the morphology (Figure 2b, images 2 and 3) nor the absorption bands from the FTIR spectra (Figure 2a, spectra 2 and 3) change significantly. This means that the retention of Pb(II) and Hg(II) ions on the RWB surface occurs predominantly through electrostatic (ion-exchange type) interactions, without forming new chemical bonds. The retention of metal ions by such electrostatic interactions indicates that the biosorption process is reversible and will occur until an equilibrium state is reached. This observation has two important consequences from a practical point of view.
The first is related to the fact that the retention of metal ions on RWB will take place much more efficiently at high initial concentrations of metal ions than at low initial concentrations. This is evident from the data presented in Figure 1, where it can be seen that, at the lowest value of the initial concentration (22 mg/L), the removal percents are 77.06% for Pb(II) and 24.45% for Hg(II), while at the higher value of initial concentration of metal ions (532 mg/L), the removal percents exceed 92% (92.83% for Pb(II) and 99.43% for Hg(II)). Therefore, the use of RWB as a biosorbent allows the reduction, even significantly, of the concentration of Pb(II) and Hg(II) ions in aqueous media but not their complete removal precisely due to reaching the equilibrium state. The concentration of metal ions present in the aqueous solution at the end of the biosorption process (cf, mg/L) increases with the increase of the initial concentration of metal ions (c0, mg/L) (Figure 3), and these values exceed the maximum permissible limits [37] throughout the studied concentration range.
Figure 3. Dependence between the final concentration and the initial concentration of metal ions in the case of Pb(II) and Hg(II) ions biosorption onto RWB.
The second consequence is related to the reversibility of these biosorption processes. The retention of Pb(II) and Hg(II) ions onto RWB predominantly through ion exchange interactions makes their desorption take place with maximum efficiency in the presence of concentrated mineral acid solutions. This is why the desorption of Pb(II) and Hg(II) ions retained on RWB was carried out with HNO3 solutions of different concentrations (10−4–1 mol/L), and the obtained results are illustrated in Figure 4.
Figure 4. Desorption efficiency of Pb(II) and Hg(II) ions retained on RWB biosorbent.
As can be seen from Figure 4, desorption of Pb(II) and Hg(II) ions retained on RWB occurs quantitatively (over 96%) in the presence of HNO3 solutions with a concentration higher than 0.1 mol/L. Under these conditions, 10 mL of HNO3 solutions (0.1 mol/L) is sufficient to release the retained metal ions from 0.05 g of loaded-RWB, thus ensuring the recovery of retained Pb(II) and Hg(II) ions. In addition, since the desorption of metal ions takes place in strong acid media (HNO3 solution, 0.1 mol/L, pH = 1.008), they will be found as free divalent ions in the desorption solution, being able to be reintroduced into the technological circuit.
On the other hand, due to the quantitative desorption of Pb(II) and Hg(II) ions on loaded-RWB, this biosorbent can be used in several biosorption/desorption cycles. In addition, the chemical oxygen demand (COO, mg O2/L) [37] determined for the aqueous solution before and after desorption does not vary significantly (7.41%, from 81.06 to 87.07 mg O2/L), suggesting that no constituents are released from the biosorbent during the desorption step. Therefore, at least theoretically, RWB can be used in 26 biosorption/desorption cycles before its biosorption capacity drops to half.
All these observations (quantitative retention of Pb(II) and Hg(II) ions from aqueous media, quantitative recovery of retained metal ions by desorption in acid media, but also the relatively large number of cycles of use) are arguments in favor of using RWB as a biosorbent for significantly reducing the concentration of metal ions in industrial effluents. In this way, the valorization of this waste biomass can be achieved, as well as the recovery of Pb(II) and Hg(II) ions that can be reused in technological processes. Both aspects are in accordance with the principles of the circular economy.

3.3. Modelling of Biosorption Isotherms

The modelling of biosorption isotherms is a useful tool that can be used to evaluate the efficiency of the studied biosorption processes. In this study, the experimental isotherms were modelled using Langmuir, Freundlich and Temkin models. The linear representation of the isotherm models are presented in Figure 5, and the isotherm parameters calculated for the biosorption of Pb(II) and Hg(II) ions onto RWB are summarized in Table 3.
Figure 5. Linear representations of Langmuir model (a), Freundlich model (b) and Temkin model (c) for the biosorption of Pb(II) and Hg(II) ions onto RWB.
Table 3. Isotherm parameters for the biosorption of Pb(II) and Hg(II) ions on RWB biosorbent.
The values of the regression coefficients (R2) of the linear representations from Figure 5 shows that equilibrium data for the biosorption of Pb(II) and Hg(II) ions on RWB are best described by the Freundlich model compared to the Langmuir and Temkin models, although there are no significant differences (R2 values are close to 0.9 in all cases). This does not mean that the biosorption of Pb(II) and Hg(II) ions takes place in multiple layers, but rather that the metal ions are retained on a heterogeneous surface, where the superficial functional groups are found in different geometric planes. The heterogeneity of the RWB surface was proven by SEM images (Figure 2b) and is mainly determined by the solvent extraction stage, when the cell walls of the rapeseed biomass are cracked. In these cracks, new functional groups appear that can interact with metal ions from aqueous solution. Moreover, due to the large dimensions of these cracks, the newly formed functional groups are located on the RWB surface, even if they are found on different geometric levels.
Analyzing the values of the parameters from Table 3, it can be observed that:
(i)
the retention of Pb(II) and Hg(II) ions on RWB is a favorable process event at high initial concentrations of metal ions because the values of the Freundlich parameters (n) are greater than unity;
(ii)
the maximum biosorption capacities calculated from the Langmuir model (qmax, mg/g) have values close to those obtained experimentally for both metal ions (55.55 mg/g for Pb(II) and 50.03 mg/g for Hg(II)). In addition, the close values of qmax for the two ions show that the biosorption efficiency depends mainly on their charge and ionic radius. When these parameters have close values (as in the case of Pb(II) and Hg(II) ions), the efficiency of the biosorption processes does not differ much (92.83% for Pb(II) and 94.80% for Hg(II));
(iii)
the relatively small values of the heat of biosorption calculated from the Temkin model support the hypothesis that the biosorption of Pb(II) and Hg(II) ions on RWB take place predominantly through electrostatic interactions.
Therefore, the modelling of the equilibrium data obtained for the retention of Pb(II) and Hg(II) ions on RWB indicates that, in the biosorption mechanism, an important role is played by the electrostatic interactions between positively charged metal ions and negatively charged functional groups of the biosorbent. Even if these functional groups are found in different geometric planes, they can interact with the metal ions until monolayer coverage is formed, after which the biosorption process reaches equilibrium.

3.4. Modelling of Kinetic Data

Kinetic modelling is important for establishing the rate-controlling step of the biosorption process, because it is known that the retention of metal ions usually involves several successive elementary steps [38,39]. Therefore, kinetic modelling is necessary to highlight the involvement of physical or chemical elementary steps in the mechanism of biosorption process. In this study, the experimental data were analyzed using pseudo-first order model, pseudo-second order model and intra-particle diffusion model (Equations (7)–(9)). The linear representations of each model are illustrated in Figure 6, while the kinetic parameters are summarized in Table 4.
Figure 6. Linear representations of the pseudo-first order model (a), pseudo-second order model (b) and intra-particle diffusion model (c) for the biosorption of Pb(II) and Hg(II) ions onto RWB.
Table 4. Kinetic parameters for the biosorption of Pb(II) and Hg(II) on RWB biosorbent.
The high values of the regression coefficients (R2 > 0.99) and the closeness between the experimental and calculated biosorption capacities indicate that the kinetics of the biosorption processes of Pb(II) and Hg(II) ions on RWB is best described by the pseudo-second order kinetic model. Therefore, the retention of these metal ions involves chemical (most likely electrostatic) interactions, for which two active centers (functional groups) located in favorable geometrical positions are required [40]. This is easy to achieve in the case of the RWB biosorbent due to its heterogeneous surface (Figure 2b). This hypothesis is also supported by the linear representations of the intra-particle diffusion model (Figure 5c). Unlike most biosorption processes, in this case the dependencies qt vs. t1/2 are made up of a single region, for both metal ions. This single region of the dependencies illustrated in Figure 5c shows that the metal ions diffuse from the bulk solution to the vicinity of the biosorbent particles [41], where they bind to the functional groups without having to penetrate inside their pores. This is due, on the one hand, to the fact that RWB surface has large cracks due to the extraction step, and, on the other hand, Pb(II) and Hg(II) ions gave large volumes (ionic radius is 146 nm for Pb(II) and 132 nm for Hg(II)) [41], and once bound, they block the access of other metal ions from the solution to the interior of smaller pores.
In addition, it should be noted that both dependencies do not pass through the origin; therefore, the elementary diffusion processes do not represent the rate-controlling step [42] in the kinetics of the studied biosorption processes.
The differences between the kinetic parameters of Pb(II) and Hg(II) are mainly due to the geometric dimensions of these ions. Thus, Hg(II) ions, which have a smaller volume, are retained in a larger quantity and with a higher rate on RWB, compared with Pb(II) ions (Table 4).

3.5. Mechanism of Pb(II) and Hg(II) Ions Biosoprtion on RWB

The experimental results discussed in the previous sections showed that:
(i)
the retention of Pb(II) and Hg(II) ions takes place on the RWB surface until a monolayer coverage is formed. Due to the high degree of heterogeneity of the biosorbent surface, the Freundlich model better describes the experimental data (Table 3);
(ii)
the retention of Pb(II) and Hg(II) ions follows the pseudo-second order kinetic model, which implies the existence of some chemical interactions (most likely of an electrostatic nature) between metal ions and the superficial functional groups of the biosorbent. Each metal ion needs two functional groups to be retained, and these must be found in appropriate geometric positions for the biosorption process to take place (see Table 4);
(iii)
the retained metal ions are easily released in the presence of HNO3, and the efficiency of desorption process is higher the higher the concentration of HNO3 used as desorption agent (see Figure 4);
(iv)
the FTIR spectra of the biosorbent change very little after the retention of Pb(II) and Hg(II) ions, therefore the possibility is excluded that biosorption takes place through precipitation, reduction or complexation (see Figure 2a). The most important shifts of the maxima of the absorption bands are those corresponding to hydroxyl groups (3285 cm−1) and C=O groups (1711 cm−1), which suggest that these groups are mainly involved in the retention of metal ions.
Consequently, the biosorption of Pb(II) and Hg(II) ions on RWB through the ion exchange mechanism is a viable alternative that can explain the experimental data. The schematic illustration of the elementary steps involved in the biosorption of Pb(II) and Hg(II) ions on RWB is presented in Figure 7.
Figure 7. Schematic representation of the biosorption mechanism of Pb(II) and Hg(II) ions on RWB biosorbent.
Based on these observations, the biosorption of Pb(II) and Hg(II) ions on RWB involves the following steps: (1) metal ions reach the surface of the biosorbent from the mass of the solution by diffusion; (2) there are numerous hydroxyl and C=O groups on the surface of the biosorbent due to the cracking of the vegetable cell walls (extraction step); (3) the hydroxyl groups interact first with the metal ions in the solution (due to the preference of these metal ions for ligands with oxygen and high electron density). The intermediate complex thus formed tends to stabilize (and obtain a square-planar configuration) by an additional interaction with the lone pair of electrons from the oxygen atom (most likely from a planar C=O group). Following these interactions, protons are released, and the final pH of the aqueous solution (measured at the end of biosorption) decreases (from 6.5 to 5.83 in the case of Pb(II) and from 4.0 to 3.49 in the case of Hg(II)). Since most of these between the metal ions in the aqueous solution and the superficial functional groups are predominantly electrostatic, the formed complexes have a rather low stability. Therefore, when the loaded-biosorbent is treated with HNO3 solution, the desorption of the metal ions occurs easily. All of these observations demonstrate that RWB behaves as a typical biosorbent and can represent an alternative for the removal of toxic metal ions, which is in accordance with the principles of the circular economy.

3.6. Comparison of RWB Performances with Other Biosorbents

Although comparing the efficiency of different biosorbents for a given metal ion is difficult, due to different working conditions, this can still be done using the maximum biosorption capacity (qmax, mg/g), calculated from the Langmuir model. In Table 5 are summarized the values of this parameter for various biosorbents used in the literature for the removal of Pb(II) and Hg(II) ions, including the results obtained in this study.
Table 5. Maximum biosorption capacities (mg/g) of various biosorbents for Pb(II) and Hg(II) ions.
Table 5 demonstrates that the biosorptive performances of RWB for Pb(II) and Hg(II) ions are comparable to the values obtained for other biomasses under similar experimental conditions. Therefore, RWB can be used as a biosorbent and can represent an alternative for the removal of toxic metal ions from aqueous media.

4. Conclusions

Due to the extensive use in the biofuels industry, rapeseeds waste (RWB) can represent a problem for the environment, and therefore solutions must be found for their valorization. In this study, this waste was used as biosorbent for the removal of toxic metal ions (Pb(II) and Hg(II)) from aqueous media. Experimental conditions established by response surface methodology (pH = 6.5 for Pb(II) and 4.0 for Hg(II); biosorbent dosage = 4.0 g/L; contact time = 3 h; temperature = 25 ± 1 °C) were considered optimal because they ensure the removal of more than 92% of the initial concentration of each metal ion. The modelling of the experimental data shows that, although maximum biosorption capacities are different (higher in the case of Pb(II) (61.97 mg/g) than in the case of Hg(II) (51.32 mg/g)), the pseudo-second order kinetic constants have the same order of magnitude. This indicates that the retention of both metal ions involves similar elementary steps and that RWB behaves as a typical biosorbent. Moreover, the detailed analysis of the experimental results shows that RWB allows the quantitative retention of Pb(II) and Hg(II) ions from aqueous media and the quantitative recovery of retained metal ions by desorption in acid media but also that it can be used in a relatively large number of biosorption/desorption cycles. The removal of Pb(II) and Hg(II) ions from aqueous media on RWB by a predominant ion exchange mechanism opens new perspectives for the use of this biosorbent and for the retention of other metal ions. Therefore, the use of RWB as a biosorbent to significantly reduce the concentration of metal ions in industrial effluents is a viable alternative that can be used on a large scale. In this way, the valorization of this waste biomass can be realized, but also the recovery of retained metal ions (Pb(II) and Hg(II) ions, in this case) that can be reused in technological processes. Both aspects are consistent with the principles of the circular economy.

Author Contributions

Conceptualization, L.B. and T.A.; methodology, L.B. and T.A; software, I.M. and M.-C.P.; validation, T.A., L.B. and I.G.C.; formal analysis, M.-C.P. and I.M.; investigation, L.B., I.G.C. and T.A.; writing—original draft preparation, L.B. and T.A.; writing—review and editing, L.B.; visualization, L.B.; supervision, L.B.; project administration, L.B.; funding acquisition, L.B. All authors have read and agreed to the published version of the manuscript.

Funding

This research received no external funding.

Institutional Review Board Statement

Not applicable.

Conflicts of Interest

The authors declare no conflict of interest.

References

  1. Volesky, B. Detoxification of metal-bearing effluents biosorption for the next century. Hydrometallurgy 2015, 59, 2003–2016. [Google Scholar] [CrossRef]
  2. Joseph, L.; Jun, B.M.; Flora, J.R.V.; Park, C.M.; Yoon, Y. Removal of heavy metals from water sources in the developing world using low-cost materials: A review. Chemosphere 2019, 229, 142–159. [Google Scholar] [CrossRef] [PubMed]
  3. Sall, M.L.; Diaw, A.K.D.; Gningue-Sall, D.; Aaron, S.E.; Aaron, J.J. Toxic heavy metals: Impact on the environment and human health, and treatment with conducting organic polymers, a review. Environ. Sci. Pollut. Res. 2020, 27, 29927–29942. [Google Scholar] [CrossRef] [PubMed]
  4. Ishchenko, V. Environment contamination with heavy metals contained in waste. Environ. Probl. 2018, 3, 21–24. [Google Scholar]
  5. Meshram, P.; Pandey, B.D.; Abhilash. Perspective of availability and sustainable recycling prospects of metals in rechargeable batteries—A resource overview. Resour. Pol. 2019, 60, 9–22. [Google Scholar] [CrossRef]
  6. Puthran, D.; Patil, D. Usage of heavy metal-free compounds in surface coatings. J. Coat. Technol. Res. 2022. [Google Scholar] [CrossRef]
  7. Atkovska, K.; Lisichkov, K.; Ruseska, G.; Dimitrov, A.T.; Grozdanov, A. Removal of heavy metal ions from wastewater using conventional and nanosorbents: A review. J. Chem. Technol. Metall. 2018, 53, 202–219. [Google Scholar]
  8. Burakov, A.E.; Galunin, E.V.; Burakova, I.V.; Kucherova, A.E.; Agarwal, S.; Tkachev, A.G.; Gupta, V.K. Adsorption of heavy metals on conventional and nanostructured materials for wastewater treatment purposes: A review. Ecotoxicol. Environ. Saf. 2018, 148, 702–712. [Google Scholar] [CrossRef]
  9. Ezugbe, O.; Rathilal, S. Membrane Technologies in Wastewater Treatment: A Review. Membranes 2020, 10, 89. [Google Scholar] [CrossRef]
  10. Chen, Z.; Wei, W.; Zou, W.; Li, J.; Zheng, R.; Wei, W.; Ni, B.J.; Chen, H. Integrating electrodeposition with electrolysis for closed-loop resource utilization of battery industrial wastewater. Green Chem. 2022, 24, 3208–3217. [Google Scholar] [CrossRef]
  11. Crini, G.; Lichtfouse, E. Advantages and disadvantages of techniques used for wastewater treatment. Environ. Chem. Lett. 2019, 17, 145–155. [Google Scholar] [CrossRef]
  12. Femina Carolin, C.; Senthil Kumar, P.; Saravanan, A.; Joshiba, G.J.; Naushad, M. Efficient techniques for the removal of toxic heavy metals from aquatic environment: A review. J. Environ. Chem. Eng. 2017, 5, 2782–2799. [Google Scholar] [CrossRef]
  13. Janani, R.; Gurunathan, B.; Sivakumar, K.; Varjani, S.; Ngo, H.N.; Gnansounou, E. Advancements in heavy metals removal from effluents employing nano-adsorbents: Way towards cleaner production. Environ. Res. 2022, 203, 111815. [Google Scholar]
  14. Saravanan, A.; Kumar, P.S.; Yaashikaa, P.R.; Karishma, S.; Jeevanantham, S.; Swetha, S. Mixed biosorbent of agro waste and bacterial biomass for the separation of Pb(II) ions from water system. Chemosphere 2021, 277, 130236. [Google Scholar] [CrossRef]
  15. Negm, N.A.; Abd El Wahed, M.G.; Hassan, A.R.A.; Abou Kana, T.H.A. Feasibility of metal adsorption using brown algae and fungi: Effect of biosorbents structure on adsorption isotherm and kinetics. J. Mol. Liq. 2018, 264, 292–305. [Google Scholar] [CrossRef]
  16. De Bhowmick, G.; Sarmah, A.K.; Sen, R. Production and characterization of a value added biochar mix using seaweed, rice husk and pine sawdust: A parametric study. J. Clean. Prod. 2018, 200, 641–656. [Google Scholar] [CrossRef]
  17. Yadav, D.; Rangabhashiyam, S.; Verma, P.; Singh, P.; Devi, P.; Kumar, P.; Hussain, C.M.; Gaurav, G.K.; Kumar, K.S. Environmental and health impacts of contaminants of emerging concerns: Recent treatment challenges and approaches. Chemosphere 2021, 272, 129492. [Google Scholar] [CrossRef]
  18. Nguyen, T.A.H.; Ngo, H.H.; Guo, W.S.; Zhang, J.; Liang, S.; Yue, Q.Y.; Li, Q.; Nguyen, T.V. Applicability of agricultural waste and byproducts for adsorptive removal of heavy metals from wastewater. Bioresour. Technol. 2013, 148, 574–585. [Google Scholar] [CrossRef]
  19. Febrianto, J.; Kosasih, A.N.; Sunarso, J.; Ju, Y.H.; Indrawati, N.; Ismadji, S. Equilibrium and kinetic studies in adsorption of heavy metals using biosorbent: A summary of recent studies. J. Hazard. Mater. 2009, 162, 616–645. [Google Scholar] [CrossRef]
  20. Anastopoulos, I.; Kyzas, G.Z. Progress in batch biosorption of heavy metals onto algae. J. Mol. Liq. 2015, 209, 77–86. [Google Scholar] [CrossRef]
  21. Priya, A.K.; Gnanasekaran, L.; Dutta, K.; Rajendran, S.; Balakrishnan, D.; Soto-Moscoso, M. Biosorption of heavy metals by microorganisms: Evaluation of different underlying mechanisms. Chemosphere 2022, 307, 135957. [Google Scholar] [CrossRef] [PubMed]
  22. Ghosh, T.; Paul, A.; Chatterjee, S. Biosorption of heavy metal by bacteria for sustainable crop production. Mater. Today Proc. 2022, 51, 465–469. [Google Scholar] [CrossRef]
  23. Bedoić, R.; Ćosić, B.; Duić, N. Technical potential and geographic distribution of agricultural residues, co-products and by-products in the European Union. Sci. Total Environ. 2019, 686, 568–579. [Google Scholar] [CrossRef] [PubMed]
  24. Chilakamarry, C.R.; Sakinah, A.M.M.; Zularisam, A.W.; Sirohi, R.; Khilji, I.A.; Ahmad, N.; Pandey, A. Advances in solid-state fermentation for bioconversion of agricultural wastes to value-added products: Opportunities and challenges. Bioresour. Technol. 2022, 343, 126065. [Google Scholar] [CrossRef]
  25. Yrjälä, K.; Ramakrishnan, M.; Salo, E. Agricultural waste streams as resource in circular economy for biochar production towards carbon neutrality. Cur. Op. Environ. Sci. Health 2022, 26, 100339. [Google Scholar] [CrossRef]
  26. Duque-Acevedo, M.; Belmonte-Urena, L.J.; Cortes-García, F.J.; Camacho-Ferre, F. Agricultural waste: Review of the evolution, approaches and perspectives on alternative uses. Glob. Ecol. Conserv. 2020, 22, e00902. [Google Scholar] [CrossRef]
  27. Barbulova, A.; Colucci, G.; Apone, F. New Trends in Cosmetics: By-Products of Plant Origin and Their Potential Use as Cosmetic Active Ingredients. Cosmetics 2015, 2, 82–92. [Google Scholar] [CrossRef]
  28. El-Sayed, H.E.M.; El-Sayed, M.M.H. Assessment of Food Processing and Pharmaceutical Industrial Wastes as Potential Biosorbents: A Review. BioMed Res. Int. 2014, 2014, 146769. [Google Scholar] [CrossRef]
  29. Ledesma, B.; Beltramone, A. Revalorization of agro-industrial waste as a catalyst source for production of biofuels. Renew. Enegy 2021, 174, 747–757. [Google Scholar] [CrossRef]
  30. Yahya, M.; Dutta, A.; Bouri, E.; Wadstrom, C.; Uddin, G.S. Dependence structure between the international crude oil market and the European markets of biodiesel and rapeseed oil. Renew. Enegy 2022, 197, 594–605. [Google Scholar] [CrossRef]
  31. Arsenie (Ionel), T.; Bulgariu, L. Rapid and efficient removal of Pb(II) ions from aqueous media using low quality rapeseeds biomass as biosorbent. Process Eng. J. 2017, 1, 34–40. [Google Scholar]
  32. Vijayaraghavan, K.; Balasubramanian, R. Is biosorption suitable for decontamination of metal-bearing wastewaters? A critical review on the state-of-the-art of biosorption processes and future directions. J. Environ. Manag. 2015, 160, 283–296. [Google Scholar] [CrossRef] [PubMed]
  33. Rangabhashiyam, S.; Anu, N.; Nandagopal Giri, M.S.; Selvaraju, N. Relevance of isotherm models in biosorption of pollutants by agricultural by-products. J. Environ. Chem. Eng. 2014, 2, 398–414. [Google Scholar] [CrossRef]
  34. Ho, Y.S.; McKay, G. Pseudo-second-order model for sorption processes. Process Biochem. 1999, 34, 451–465. [Google Scholar] [CrossRef]
  35. Rangabhashiyam, S.; Balasubramanian, P. Characteristics, performances, equilibrium and kinetic modeling aspects of heavy metal removal using algae. Bioresour. Technol. Rep. 2019, 5, 261–279. [Google Scholar] [CrossRef]
  36. Ferţu, D.I.; Bulgariu, L.; Gavrilescu, M. Modeling and Optimization of Heavy Metals Biosorption by Low-Cost Sorbents Using Response Surface Methodology. Processes 2022, 10, 523. [Google Scholar] [CrossRef]
  37. NTPA 002/2005. Available online: https://wordpress.com/2015/07/ntpa-002-28-02-2002.pdf (accessed on 15 June 2021).
  38. Shi, M.; Min, X.; Ke, Y.; Lin, Z.; Yang, Z.; Wang, S.; Peng, N.; Yan, X.; Luo, S.; Wu, J.; et al. Recent progress in understanding the mechanism of heavy metals retention by iron (oxyhydr)oxides. Sci. Total. Environ. 2021, 752, 141930. [Google Scholar] [CrossRef]
  39. Hoang, A.T.; Nizeti, S.; Cheng, C.K.; Luque, R.; Thomas, S.; Banh, T.L.; Pham, V.V.; Nguyen, X.P. Heavy metal removal by biomass-derived carbon nanotubes as a greener environmental remediation: A comprehensive review. Chemosphere 2022, 287, 131959. [Google Scholar] [CrossRef]
  40. Michalak, I.; Chojnacka, K.; Witek-Krowiak, A. State of the Art for the Biosorption Process—A Review. Appl. Biochem. Biotechnol. 2013, 170, 1389–1416. [Google Scholar] [CrossRef]
  41. Wang, J.; Guo, X. Rethinking of the intraparticle diffusion adsorption kinetics model: Interpretation, solving methods and applications. Chemosphere 2022, 309, 136732. [Google Scholar] [CrossRef]
  42. Dean, J.A. Handbook of Analytical Chemistry; Mc-Grow Hill Inc.: New York, NY, USA, 1995. [Google Scholar]
  43. Kumar, M.; Singh, A.K.; Sikandar, M. Biosorption of Hg (II) from aqueous solution using algal biomass: Kinetics and isotherm studies. Helyion 2020, 6, e03321. [Google Scholar] [CrossRef]
  44. Salman, S.M.; Wahab, M.; Zahoor, M.; Shahwar, D.; Sultana, S.; Alamzeb, M.; Ahmed, S. Green mediated biosorption of Pb(II) from aqueous solution using chemically modified low-cost Grewia optiva leaves. Desalin. Water Treat. 2020, 195, 413–420. [Google Scholar] [CrossRef]
  45. Husein, D.Z. Adsorption and removal of mercury ions from aqueous solution using raw and chemically modified Egyptian mandarin peel. Desalin. Water Treat. 2013, 51, 6761–6769. [Google Scholar] [CrossRef]
  46. Anwar, J.; Shafique, U.; Salman, M.; Dar, A.; Anwar, S. Removal of Pb(II) and Cd(II) from water by adsorption on peels of banana. Bioresour. Technol. 2010, 101, 1752–1755. [Google Scholar] [CrossRef]
  47. Bashir, A.; Manzoor, T.; Malik, L.A.; Qureashi, A.; Pandith, A.H. Enhanced and Selective Adsorption of Zn(II), Pb(II), Cd(II), and Hg(II) Ions by a Dumbbell- and Flower-Shaped Potato Starch Phosphate Polymer: A Combined Experimental and DFT Calculation Study. ACS Omega 2020, 5, 4853–4867. [Google Scholar] [CrossRef]
  48. Boudrahem, F.; Aissani-Benissad, F.; Soualah, A. Adsorption of lead(II) from aqueous solution by using leaves of date trees as an adsorbent. J. Chem. Eng. Data 2011, 56, 1804–1812. [Google Scholar] [CrossRef]
  49. Zhang, Z.; Wang, T.; Zhang, H.; Liu, Y.; Xing, B. Adsorption of Pb(II) and Cd(II) by magnetic activated carbon and its mechanism. Sci. Total Environ. 2021, 757, 143910. [Google Scholar] [CrossRef]
Publisher’s Note: MDPI stays neutral with regard to jurisdictional claims in published maps and institutional affiliations.

Article Metrics

Citations

Article Access Statistics

Multiple requests from the same IP address are counted as one view.