Metal Ions Removal from Contaminated Water Using Membranes Functionalized with Ionic Liquids
Abstract
1. Introduction
2. Materials and Methods
3. Results and Discussion
3.1. Rheological Parameters: Impact of ILs on Viscoelastic Behaviour
3.2. Surface Chemistry and Morphological Analysis
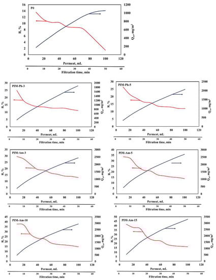
3.3. Evaluation of the Membranes Performance: Removal of Cd(II) Ions from Aqueous Solutions
4. Conclusions
Supplementary Materials
Author Contributions
Funding
Data Availability Statement
Acknowledgments
Conflicts of Interest
References
- Keng, P.S.; Lee, S.L.; Ha, S.T.; Hung, Y.T.; Ong, S.T. Removal of hazardous heavy metals from aqueous, environment by low-cost adsorption materials. Environ. Chem. Lett. 2014, 12, 15–25. [Google Scholar] [CrossRef]
- Nagendran, A.; Vijayalakshmi, A.; Lawrence Arockiasamy, D.; Shobana, K.H.; Mohan, D. Toxic metal ion separation by cellulose acetate/sulfonated poly(ether imide) blend membranes: Effect of polymer composition and additive. J. Hazard. Mater. 2008, 155, 477–485. [Google Scholar] [CrossRef] [PubMed]
- Garba, Y.; Taha, S.; Cabon, J.; Dorange, G. Modeling of arsenic salts rejection through a nanofiltration membrane: Relationships between solute concentration and transport parameters. J. Membr. Sci. 2003, 211, 51–58. [Google Scholar] [CrossRef]
- Mortaheb, H.R.; Kosuge, H.; Mokhtarani, B.; Amini, M.H.; Banihashemi, H.R. Study on removal of cadmium from wastewater by emulsion liquid membrane. J. Hazard. Mater. 2009, 165, 630–636. [Google Scholar] [CrossRef]
- Rao, K.S.; Mohapatra, M.; Anand, S.; Venkateswarlu, P. Review on cadmium removal from aqueous solutions. Int. J. Eng. Sci. Technol. 2010, 2, 81–103. [Google Scholar] [CrossRef]
- Kheriji, J.; Tabassi, D.; Hamrouni, B. Removal of Cd(II) ions from aqueous solution and industrial effluent using reverse osmosis and nanofiltration membranes. Water Sci. Technol. 2015, 72, 1206–1216. [Google Scholar] [CrossRef]
- Ghasem, N.; Marzouqi, M.A.; Rahim, N.A. Removal of cadmium from industrial wastewater using water-soluble polymer via hollow fiber membranes. Int. J. Petrochem. Sci. Eng. 2016, 1, 88–90. [Google Scholar] [CrossRef]
- Sgarlata, C.; Arena, G.; Longo, E.; Zhang, D.; Yang, Y.; Bartsch, R.A. Heavy metal separation with polymer inclusion membranes. J. Membr. Sci. 2008, 323, 444–451. [Google Scholar] [CrossRef]
- Gzara, L.; Dhahbi, M. Removal of chromate anions by micellar-enhanced ultrafiltration using cationic surfactants. Desalination 2001, 137, 241–250. [Google Scholar] [CrossRef]
- Krehbiel, D.K.; Scamehorn, J.F.; Ritter, R.; Christian, S.D.; Tucker, E.E. Ion-expulsion ultrafiltration to remove chromate from wastewater. Sep. Sci. Technol. 1992, 27, 1775–1787. [Google Scholar] [CrossRef]
- Figoli, A.; Cassano, A.; Criscuoli, A.; Mozumder, M.S.I.; Uddin, M.T.; Islam, M.A.; Drioli, E. Influence of operating parameters on the arsenic removal by nanofiltration. Water Res. 2010, 44, 97–104. [Google Scholar] [CrossRef] [PubMed]
- Chaudhari, L.B.; Murthy, Z.V.P. Separation of Cd and Ni from multicomponent aqueous solutions by nanofiltration and characterization of membrane using IT model. J. Hazard. Mater. 2010, 180, 309–315. [Google Scholar] [CrossRef] [PubMed]
- Filimon, A.; Albu, R.M.; Stoica, I.; Avram, E. Blends based on ionic polysulfones with improved conformational and microstructural characteristics: Perspectives for biomedical applications. Compos. Part B Eng. 2016, 93, 1–11. [Google Scholar] [CrossRef]
- Filimon, A.; Avram, E.; Dunca, S. Surface and interface properties of functionalized polysulfones: Cell-material interaction and antimicrobial activity. Polym. Eng. Sci. 2015, 55, 2184–2194. [Google Scholar] [CrossRef]
- Filimon, A.; Stoica, I.; Onofrei, M.D.; Bargan, A.; Dunca, S. Quaternized polysulfones-based blends: Surface properties and performance in life quality and environmental applications. Polym. Test. 2018, 71, 285–295. [Google Scholar] [CrossRef]
- Filimon, A.; Dobos, A.M.; Dumbrav, O.; Doroftei, F.; Lupa, L. Green blends based on ionic liquids with improved performance for membrane technology: Perspectives for environmental applications. Int. J. Mol. Sci. 2022, 23, 7961. [Google Scholar] [CrossRef]
- Ennigrou, D.J.; Mourad, B.S.; Mahmoud, D. Retention of cadmium and zinc from aqueous solutions by poly(acrylic acid)-assisted ultrafiltration. Int. J. Chem. Reactor Eng. 2010, 8, 1–16. [Google Scholar]
- Swain, S.S.; Nayak, B.; Devi, N.; Das, S.; Swain, N. Liquid–liquid extraction of cadmium(II) from sulfate medium using phosphonium and ammonium based ionic liquids diluted in kerosene. Hydrometallurgy 2016, 162, 63–70. [Google Scholar] [CrossRef]
- Pospiech, B. Application of phosphonium ionic liquids as ion carriers in polymer inclusion membranes (PIMs) for separation of cadmium(II) and copper(II) from aqueous solutions. J. Solut. Chem. 2015, 44, 2431–2447. [Google Scholar] [CrossRef]
- Arias, I.; Saucedo, R.; Navarro, V.; Gallardo, M.; Guibal, M.E. Cadmium(II) recovery from hydrochloric acid solutions using Amberlite XAD-7 impregnated with a tetraalkyl phosphonium ionic liquid. React. Funct. Polym. 2011, 71, 1059–1070. [Google Scholar] [CrossRef]
- Lupa, L.; Negrea, P.; Popa, A. Use of ionic liquids in solid-liquid separation processes. In Progress and Developments in Ionic Liquids; Handy, S., Ed.; Intech Open: London, UK, 2017; Chapter 22; pp. 517–537. [Google Scholar]
- Lupa, L.; Cocheci, L.; Pode, R.; Hulka, I. Phenol adsorption using Aliquat 336 functionalized Zn-Al layered double hydroxide. Sep. Purif. Technol. 2018, 196, 82–95. [Google Scholar] [CrossRef]
- Lupa, L.; Negrea, A.; Ciopec, M.; Negrea, P. Cs+ removal from aqueous solutions through adsorption onto florisil impregnated with trihexyl (tetradecyl) phosphonium chloride. Molecules 2013, 18, 12845–12856. [Google Scholar] [CrossRef] [PubMed]
- Luca, C.; Avram, E.; Petrariu, I. Quaternary ammonium polyelectrolytes. V. Amination studies of chloromethylated polystyrene with N,N-dimethylalkylamines. J. Macromol. Sci. Part A 1985, 25, 345–361. [Google Scholar] [CrossRef]
- Filimon, A.; Dobos, A.M.; Avram, E. Ionic transport processes in polymer mixture solutions based on quaternized polysulfones. J. Chem. Thermodyn. 2017, 106, 160–167. [Google Scholar] [CrossRef]
- Vinodhini, P.A.; Sudha, P.N. Removal of heavy metal chromium from tannery effluent using ultrafiltration membrane. Text. Cloth. Sustain. 2016, 2, 5. [Google Scholar] [CrossRef]
- Ennigrou, D.J.; Gzara, L.; Romdhane, M.R.B.; Dhahbi, M. Cadmium removal from aqueous solutions by polyelectrolyte enhanced ultrafiltration. Desalination 2009, 248, 42–48. [Google Scholar]
- Li, J.F.; Xu, Z.L.; Yang, H.; Yu, L.Y.; Liu, M. Effect of TiO2 nanoparticles on the surface morphology and performance of microporous PES membrane. Appl. Surf. Sci. 2009, 255, 4725–4732. [Google Scholar] [CrossRef]
- Islamoglu, S.; Yilmaz, L.; Ozbelge, H.O. Development of a precipitation based separation scheme for selective removal and recovery of heavy metals from cadmium rich electroplating industry effluents. Sep. Sci. Technol. 2006, 41, 3367–3385. [Google Scholar] [CrossRef]
- Wood-Adams, P.M.; Dealy, J.M.; deGroot, A.W.; Redwine, O.D. Effect of molecular structure on the linear viscoelastic behavior of polyethylene. Macromolecules 2000, 33, 7489–7499. [Google Scholar] [CrossRef]
- Shakeel, A.; Mahmood, H.; Farooq, U.; Ullah, Z.; Yasin, S.; Iqbal, T.; Chassagne, C.; Moniruzzaman, M. Rheology of pure ionic liquids and their complex fluids: A review. ACS Sustain. Chem. Eng. 2019, 7, 13586–13626. [Google Scholar] [CrossRef]
- Ammar, N.E.B.; Saied, T.; Barbouche, M.; Hosni, F.; Hamzaoui, A.H.; Şen, M. A comparative study between three different methods of hydrogel network characterization: Effect of composition on the crosslinking properties using sol–gel, rheological and mechanical analyses. Polym. Bull. 2018, 75, 3825–3841. [Google Scholar] [CrossRef]
- Jayasekara, R.; Harding, I.; Bowater, I.; Christie, G.B.Y.; Lonergan, G.T. Biodegradation by composting of surface modified starch and PVA blended films. J. Polym. Environ. 2003, 11, 49–56. [Google Scholar] [CrossRef]
- Sreedhar, B.; Chattopadhyay, D.K.; Sri Hari Karunakar, M.; Sastry, A.R.K. Thermal and surface characterization of plasticized starch polyvinyl alcohol blends crosslinked with epichlorohydrin. J. Appl. Polym. Sci. 2006, 101, 25–34. [Google Scholar] [CrossRef]
- Gusain, R.; Bakshi, P.S.; Panda, S.; Sharma, O.P.; Gardas, R.; Khatri, O.P. Physicochemical and tribophysical properties of trioctylalkylammonium bis(salicylato) borate (N888 N-Bscb) ionic liquids: Effect of alkyl chain length. Phys. Chem. Chem. Phys. 2017, 19, 6433–6442. [Google Scholar] [CrossRef]
- Nayl, A.A. Extraction and separation of Co(II) and Ni(II) from acidic sulfate solutions using Aliquat 336. J. Hazard. Mater. 2010, 173, 223–230. [Google Scholar] [CrossRef]
- Hassan, M.L.; Fadel, S.M.; Abouzeid, R.E.; Abou Elseoud, W.S.; Hassan, E.A.; Berglund, L.; Oksman, K. Water purification ultrafiltration membranes using nanofibers from unbleached and bleached rice straw. Sci. Rep. 2020, 10, 11278. [Google Scholar] [CrossRef]
- Zoka, L.; Khoo, Y.S.; Lau, W.J.; Matsuura, T.; Narbaitz, R.; Ismail, A.F. Flux increase occurring when an ultrafiltration membrane is flipped from a normal to an inverted position—Experiments and theory. Membranes 2022, 12, 129. [Google Scholar] [CrossRef]
- Antony Prince, J.; Bhuvana, S.; Anbharasi, V.; Kamelia Boodhoo, K.; Singh, G. Highly hydrophilic copolymer based PES hollow fibre ultrafiltration membranes. Adv. Mat. Lett. 2018, 9, 25–30. [Google Scholar] [CrossRef]
- Pyszka, I.; Radzyminska-Lenarcik, E. New polymer inclusion membrane in the separation of nonferrous metal ion from aqueous solutions. Membranes 2020, 10, 385. [Google Scholar] [CrossRef]
- Bessbousse, H.; Rhlalou, T.; Verchère, J.-F.; Lebrun, L. Removal of heavy metal ions from aqueous solutions by filtration with a novel complexing membrane containing poly(ethyleneimine) in a poly(vinyl alcohol) matrix. J. Membr. Sci. 2008, 307, 249–259. [Google Scholar] [CrossRef]
- Madala, S.; Nadavala, S.K.; Vudagandla, S.; Boddu, V.M.; Abburi, K. Equilibrium, kinetics and thermodynamics of Cadmium (II) biosorption on to composite chitosan biosorbent. Arab. J. Chem. 2017, 10, S1883–S1893. [Google Scholar] [CrossRef]
- Cheng, M.; Wang, P.; Kopittke, P.M.; Wang, A.; Sale, P.W.G.; Tang, C. Cadmium accumulation is enhanced by ammonium compared to nitrate in two hyperaccumulators, without affecting speciation. J. Exp. Bot. 2016, 67, 5041–5050. [Google Scholar] [CrossRef]
- Yablokov, V.E.; Ishchenko, N.V.; Alekseev, S.A. Sorption preconcentration of cadmium and lead ions as complexes with unithiol on a silica surface modified by quaternary ammonium salt groups. J. Anal. Chem. 2013, 68, 206–211. [Google Scholar] [CrossRef]
- Umetani, S.; Matsui, M.; Kawano, H.; Nagai, T. Solvent extraction of zinc and cadmium with 4-benzyl-3-methyl-1-phenyl-5-pyrazolone and quaternary ammonium salt. Anal. Sci. 1985, 1, 55–58. [Google Scholar] [CrossRef]
- Matyushkina, Y.I.; Shabarin, A.A. Extraction of anionic cadmium complexes with organic solutions of quaternary ammonium salts. Izv. Vyss. Uchebnykh Zaved. Khimiya Khimicheskaya Tekhnologiya 2020, 63, 30–35. [Google Scholar] [CrossRef]










| Membrane Code | ILs Studied | IL, wt.% | Jw, L/m2h | w1, g | w2, g | WC, % | ε, % |
|---|---|---|---|---|---|---|---|
| P0 | - | - | 1529 | 0.0232 | 0.0308 | 24.7 | 2.43 |
| PIM-Ph-3 | Cyphos 101 IL | 3 | 1592 | 0.0228 | 0.0319 | 28.5 | 2.90 |
| PIM-Ph-5 | 5 | 1698 | 0.0245 | 0.0615 | 60.2 | 11.8 | |
| PIM-Am-3 | Aliquat 336 | 3 | 1663 | 0.0288 | 0.0492 | 41.5 | 6.51 |
| PIM-Am-5 | 5 | 1779 | 0.0242 | 0.0636 | 61.9 | 12.6 | |
| PIM-Am-10 | 10 | 1819 | 0.0251 | 0.0689 | 63.6 | 13.9 | |
| PIM-Am-15 | 15 | 1930 | 0.0254 | 0.0760 | 66.5 | 16.2 |
| Membrane Code | k, min−1 | R2 |
|---|---|---|
| P0 | 0.0167 | 0.9132 |
| PIM-Ph-3 | 0.0261 | 0.8991 |
| PIM-Ph-5 | 0.0276 | 0.9453 |
| PIM-Am-3 | 0.0292 | 0.9701 |
| PIM-Am-5 | 0.0342 | 0.9818 |
| PIM-Am-10 | 0.0382 | 0.9915 |
| PIM-Am-15 | 0.0390 | 0.9815 |
Publisher’s Note: MDPI stays neutral with regard to jurisdictional claims in published maps and institutional affiliations. |
© 2022 by the authors. Licensee MDPI, Basel, Switzerland. This article is an open access article distributed under the terms and conditions of the Creative Commons Attribution (CC BY) license (https://creativecommons.org/licenses/by/4.0/).
Share and Cite
Lupa, L.; Cocheci, L.; Dobos, A.M.; Onofrei, M.D.; Negrea, P.; Filimon, A. Metal Ions Removal from Contaminated Water Using Membranes Functionalized with Ionic Liquids. Water 2022, 14, 4105. https://doi.org/10.3390/w14244105
Lupa L, Cocheci L, Dobos AM, Onofrei MD, Negrea P, Filimon A. Metal Ions Removal from Contaminated Water Using Membranes Functionalized with Ionic Liquids. Water. 2022; 14(24):4105. https://doi.org/10.3390/w14244105
Chicago/Turabian StyleLupa, Lavinia, Laura Cocheci, Adina Maria Dobos, Mihaela Dorina Onofrei, Petru Negrea, and Anca Filimon. 2022. "Metal Ions Removal from Contaminated Water Using Membranes Functionalized with Ionic Liquids" Water 14, no. 24: 4105. https://doi.org/10.3390/w14244105
APA StyleLupa, L., Cocheci, L., Dobos, A. M., Onofrei, M. D., Negrea, P., & Filimon, A. (2022). Metal Ions Removal from Contaminated Water Using Membranes Functionalized with Ionic Liquids. Water, 14(24), 4105. https://doi.org/10.3390/w14244105

