Abstract
The impact of the salinity of the nutrient solution on water efficiency can be changed by the application flow. The aim of this work was to analyze the water efficiency and production components of coriander plants, cultivar Verdão, exposed to nutrient solutions (1.7, 3.0, 4.5, and 6.0 dS m−1) applied with different flow rates (1.0, 2.0, 3,0, and 4.0 L min−1) in an NFT hydroponic system. Two experiments were carried out in a greenhouse with two sources of salts to prepare the electrical conductivity. In the first experiment, NaCl was used, and CaCl2·2H2O was used in the second. Variables were analyzed related to the production components and the consumption of water use efficiency. It was found that the water efficiency and production components of coriander plants were more affected by increases in electrical conductivity in the nutrient solution. CaCl2·2H2O better promotes the lower production of dry mass, plant height, water consumption, and the instantaneous and intrinsic efficiency of water use than NaCl. The coriander’s water relations were inhibited by increases in the concentration of salts in nutrient solution, while increases in the flow rate of the nutrient solution negatively affected the productive parameters of the coriander plants.
1. Introduction
Coriander (Coriandrum sativum L.) is an annual herbaceous vegetable belonging to the Apiaceae family and is widely cultivated worldwide [1]. In several regions of Brazil, it is also widely cultivated and consumed, including in the Brazilian semi-arid region. However, rustic production techniques are still used, with a low technological level and a disorderly application of inputs [2].
This is especially the case in the Brazilian semiarid region with regard to the hydroponic systems; these use brackish water to prepare and replace the nutrient solution. This has been the subject of several studies which analyze the viable technical results that are verified for crops such as cauliflower [3], lettuce [4], parsley [5], chives [6], and coriander [7].
There is unavoidable salt accumulation in the root zone, especially in closed-loop hydroponic systems in which the nutrient solution recirculates more than once in the crop rows [8]. The increases in ion concentration at the cellular level in the plants also induce nutritional and osmotic imbalances, as well as the accumulation of reactive oxygen species, which negatively affect the metabolism and cellular function of the plants [9]. So, they compromise crop growth and productivity.
The water quality and the salt concentration vary according to the place of extraction and the time of collection. An average range of 0.1 to 3.0 dS m−1 is estimated, with a cationic prevalence of Na+ and Ca2+, in the water in the Brazilian semi-arid region [10].
Another aspect to be related to this study was an adjustment in the flow of the application of nutrient solution, whose relevance is verified by a great mass flow into the rhizosphere region, allowing greater availability of nutrients and oxygen to plants [11]. The importance of this adjustment is mentioned in the study of cauliflower culture, especially when brackish water is used to prepare the nutrient solution; an ideal flow rate of 1.5 L min−1 is indicated [3]. However, increases in the flux solution flow also reduce the nutrient absorption capacity. It occurs because of the short exposure time of the root system to the ions, which makes it impossible for these nutrients to bind to all the available adsorption sites in the roots [12]. Otherwise, high flow rates may favor a reduction in the temperature of the nutrient solution. It occurs due to the great volume and the short exposure time in the pathway into the cellular channel, with less effect of the heat exchange on the plants [11].
In addition, regions with water limitation need to use brackish water as an alternative source to optimize water efficiency. They also use the parameters by adapting the nutrient solution management, which is essential to success in the hydroponics businesses [3,13].
Although some parameters have already been studied in some cultures, such as the production of dry mass and the height of the aerial part of plant bunches, with reference to the performance of the productivity and the water use efficiency [14,15,16], there is little information about the potential gain provided by flow adjustment or consideration of the varying cation prevalence in brackish water.
The aim of this work was to analyze the water efficiency and production components of coriander plants, cultivar Verdão, exposed to nutrient solutions prepared with brackish water and applied at different electrical conductivities and flow rates. Our hypothesis was that the increase in the circulation flow of the solution could attenuate the deleterious effects caused by salinity on the water relations and productive aspects of coriander. Thus, the importance of this study is its presentation of a new perspective to determine the ideal flow of the nutrient solution in hydroponic coriander crops, especially in regions with scarce water resources, where the agricultural use of brackish water is fundamental for their economic and social development.
2. Materials and Methods
2.1. Experimental Conditions
Two experiments were carried out in a greenhouse at the Agricultural Engineering Department—DEAGRI, Federal Rural University of Pernambuco—UFRPE, Recife, PE (8°01′05″ south latitude and 34°56′48″ west longitude and average altitude of 6.5 m) between November 2019 and February 2020.
The greenhouse is 7 × 21 m, with a ceiling height of 3 m and a maximum arch height of 4.5 m, with nylon side screens and 150-micron film on the roof. Inside the greenhouse, the temperature (°C), relative humidity (%), and global solar radiation (MJ m−2) were monitored daily in each experimental stage through an automatic weather station—model CR1000 (Campbell Scientific, Ltd., Logan, UT, USA).
During the experimental period, the relative humidity of the air varied between 41.8 and 98.2% (Experiment I) and 45.4 and 98.7% (Experiment II); the air temperature showed a range between 21.3 and 38 °C (Experiment I) and 22.3 and 38.4 °C (Experiment II). In addition, the average global solar radiation was 4.90 MJ m−2 (Experiment I) and 4.41 MJ m−2 (Experiment II) (Figure 1).
Figure 1.
Values of relative humidity (%) and temperature (°C) of air and global solar radiation (MJ m−2) within protected environment between November 2019 and March 2020. First result with NaCl (a) and second cycle—CaCl2·2H2O (b).
2.2. Hydroponic System
The organization of the hydroponic structure (Nutrient Film Technique) inside the greenhouse consisted of an installation of thirty-two experimental plots on each side, with a central street of one meter in width. Each experimental plot consisted of a hydroponic profile with a trapezoidal shape—75 mm, 3 m long, and 0.20 m distance between plants (Figure 2).
Figure 2.
Arrangement of the plants in the hydroponic system.
The benches, installed to provide physical support to the profiles, were built in a 50 mm PVC tube and were designed to provide three points of support for the gutters, which gave the profiles an inclination of 3.33%. On each bench were placed four hydroponic profiles, spaced 0.60 m apart (Figure 3).
Figure 3.
Side view (a) and top view (b) of the experimental plot.
Each hydroponic profile was individually and independently worked. It was also associated with (i) 220 V, 34 W electric circulation pumps for each one; (ii) a 50 L storage tank for nutrient solution; and (iii) a second storage tank, which contained the respective brackish water used to prepare 15 L of nutrient solution. The brackish water storage tank was interconnected with a nutrient solution storage tank. In addition, with the aid of an automatic device and gravity, it automatically replenished the level of the nutrient solution stock reservoir, which decreased as a result of the plants’ water consumption.
2.3. Experimental Treatments
One after the other, two trials were carried out with the same experimental design, in randomized blocks, and analyzed in a 4 × 4 factorial scheme with four blocks, totaling sixty-four experimental plots. The treatments entailed the use of four nutrient solutions (1.7, 3.0, 4.5, and 6.0 dS m−1), applied with different NaCl amounts for the preparation of the brackish water and a second experiment with CaCl2·2H2O.
The nutrient solution was prepared only once for the entire experiment in a 1000 L reservoir filled with a local water supply (EC ≈ 0.12 dS m−1). An amount of fertilizer adapted for leafy vegetables [17] was solubilized, with the following added: 750.0 g of calcium nitrate, 500.0 g of potassium nitrate, 400.0 g of magnesium sulfate + micronutrients, and 150.0 g of monoammonium phosphate. This fertilizer input corresponded to the following nutrient concentrations in mmol L−1: 13.59 N, 2.37 Ca, 5.50 K, 2.61 P, 1.37 S, and 1.48 Mg, and in µmol L−1: 180.0 B, 30.0 Cu, 180.0 Fe, 140.0 Mn, 8.0 Mo, and 90.0 Zn, corresponding to an electrical conductivity of 1.58 dS m−1.
According to each treatment, after the preparation and subsequent distribution of the nutrient solution in the reservoirs, the amount of salts was estimated [18]. The first cycle was with NaCl, and the second cycle was with CaCl2.2H2O. Thus, the same initial electrical conductivities of nutrient solution (ECns) were obtained: 1.7, 3.0, 4.5, and 6.0 dS m−1 in both assays (Table 1).
Table 1.
Details of electrical conductivity values and concentrations of salts used to prepare different saline waters.
The nutrient solution management with the aid of a hydraulic register and the desired nutrient solution application rates (1.0, 2.0, 3.0, and 4.0 L min−1) were calibrated and periodically reviewed. As for the nutrient solution application events, with aid of an electric timer they took place between 6:00 am and 6:00 pm, with intervals of 15 min of operation and 15 min of rest. At nighttime, an electric timer was programmed to inject solution every 2 h for 15 min.
Automatically, the reposition of the nutrient solution stock reservoir was carried out with the respective brackish water used to prepare the nutrient solution. The electrical conductivity (ECns), pH (pHns), dissolved oxygen (DOns), and the temperature (Tns) of the nutrient solution were monitored on alternate days for possible adjustments.
The coriander cultivar used was Verdão; the sowing was carried out in 100 mL disposable white cups, duly perforated from the middle part to the base of the cup, simulating a mesh cup for hydroponics. Coconut fiber was properly washed and used as a substrate; twenty seeds per cup were sowed.
After sowing (DAS), up to the sixth day, the seedlings were irrigated twice a day, in the morning and in the afternoon, with 50 mL of the local water supply (EC ≈ 0.12 dS m−1) per cup. Between the 6th and the 13th DAS, with the same frequency of application and volume, the irrigation was carried out with nutrient solution [17] diluted by 50%.
Thinning was performed on the 13th DAS, leaving ten plants per cup. Transplant to the hydroponic system was carried out on the 14th DAS, and the application to each treatment was started. In each experimental plot, ten cups were distributed: eight central ones, which were considered to be in a useful area, and two in the ends of the gutter, which were considered borders. So, in total 640 cups were used and put in the greenhouse; each cup had ten plants.
In the first trial (using NaCl as the source of salt), the control of aphids (Toxoptera spp) and whitefly (Bemisia tabaci G.) was carried out using the active ingredient Deltamethrin, at a dosage of 30 mL 100 L−1 water, in a single application, without causing damage to the crop. In the second trial, no intervention was necessary with regard to the phytosanitary issue.
2.4. Variables Analyzed
At the end of each harvest, 21 days after transplanting (DAT), the fresh mass of the aerial part (FMAP) was determined using a precision scale. Immediately after weighing, this material was placed in paper bags and dried in an oven with a forced circulation at 65 °C until constant weight for quantification of the dry mass of the aerial part (DMAP). Then, the water content in the aerial part (WCAP) was calculated [19]. Plant height (PH) was measured using a tape measure, from the base of the substrate to the apex of the highest leaf.
Water consumption (WC) was determined at 30 DAS, according to Equation (1):
VETC = [((Rf − Ri) × π × D2)/(4 × n × ∆t)] × 105,
Thus, VET—evapotranspiration volume, mL plant−1 day−1; Rf—final reading of water level in automatic filling tank, cm; Ri—initial reading of water level in automatic filling tank, cm; D—internal diameter of automatic filling tank, m; ∆t—time interval between readings, days; n—number of plants in profile of time interval, ∆t.
The water productivity was estimated considering the relationship of the fresh mass of the aerial part (FMAP)/DMAP with the evapotranspired volume (L−1). The instantaneous (A/E) and intrinsic (A/gs) efficiency of the water use were also measured using the Portable Infrared Gas Analyzer—IRGA, model LCpro-SD (ADC Bioscientific, Hoddesdon, England).
All the data underwent normality and homosticity tests and were submitted to analysis of variance using an F test with a probability level of 0.05. Thus, the data meet the assumptions of the ANOVA and the normality test. In the case of significant effect, it was verified with regression analysis. For all the analyses, the statistical software SISVAR version 5.2 was used [20].
3. Results
3.1. Subsection
The first cycle with NaCl in the water was prepared and replaced with a nutrient solution. There was an increase in ECns in all the concentrations and flow rates compared to the initial values. Apart from the ECns level of 1.7 dS m−1, the final value was lower than the initial value (Figure 4a–d). When the initial and final values of the ECns were compared, there were reductions of 6.67, 9.23, 8.20, and 15.63% within the ECns of 1.7 dS m−1. Moreover, there were increases of 33.04, 37.61, 38.86, and 38.22% within the ECns of 6.0 dS m−1 for the flows of 1.0, 2.0, 3.0, and 4.0 L min−1, respectively.
Figure 4.
Values of electrical conductivity, pH, dissolved oxygen, and temperature of nutrient solutions that were prepared in brackish water with prevalence of NaCl and used in cultivation of coriander plants, cv. Verdão, applied in different flows (1.0 (a), 2.0 (b), 3.0 (c) and 4.0 (d) L min−1).
Likewise, in the second cycle, in water prepared with CaCl2.2H2O and the replacement of the nutrient solution, there was also a reduction of 21.25, 28.78, 18.36, and 15.74% within the ECns of 1.7 dS m−1. In addition, there were increases of 35.13, 29.70, 14.73, and 38.97% within the ECns of 6.0 dS m−1 for the flows of 1.0, 2.0, 3.0, and 4.0 L min−1, respectively. This occurred when the initial and final ECns values were compared (Figure 5a–d).

Figure 5.
Values of electrical conductivity, pH, dissolved oxygen and temperature of nutrient solutions that were prepared in brackish water with a prevalence of CaCl2.2H2O and used in cultivation of coriander plants, cv. Verdão, applied in different flows (1.0 (a), 2.0 (b), 3.0 (c) and 4.0 (d) L min−1).
In general, it was verified in both cultivation cycles that the pH of the nutrient solution (pHns) fluctuated in initial value within the range between 5.42 and 6.75 with the prevalence of NaCl in water (Figure 4a–d). Moreover, it was between 5.54 and 6.50 with CaCl2.2H2O, which was used to prepare the brackish water (Figure 5a–d).
The dissolved oxygen concentration in the nutrient solution (DOns) ranged from 5.3 to 7.0 mg L−1 for all the treatments, whose mean values were 6.10 and 6.26 mg L−1 in the cultures with the cationic predominance of NaCl and CaCl2·2H2O, respectively (Figure 4a–d and Figure 5a–d).
It was possible to observe in the final crop cycle that those coriander crops were cultivated with brackish waters and a prevalence of calcium. So, there were reductions in the DOns levels of up to 12.45%. Thus, the dissolved oxygen was compared to the first cycle in all treatments. This was different to the sodium chloride that was also used in the experiment. So, small positive and negative variations up to 2.11% were verified. The exception was the treatment by the ECns of 4.5 dS m−1 and the flow of 3.0 L min−1, in which there was an increase of 8.51% in the dissolved oxygen of the nutrient solution.
In general, the temperatures of the nutrient solutions were similar in those two experiments, independently of the cationic predominance, the electrical conductivity, or the application rate of the nutrient solution. In the first cycle of nutrient solutions, which were prepared in salinized water with NaCl, it was found that the temperatures of those liquids varied between 28.8 and 32.7 °C, with an average of 30.8 °C, while in the second cycle with the salinization of CaCl2·2H2O, the average temperature was 30.7 °C and ranged between 27.7 and 33.3 °C (Figure 4a–d and Figure 5a–d).
3.2. Dry Mass, Plant Height, Water Content, and Water Consumption
The interaction between the treatments (ECns × flow) influenced (p ≤ 0.01) the plant height (PH) in both cycles, and there was also a significant effect (p ≤ 0.05) on water consumption (WC) when CaCl2·2H2O was used. The isolated, electrical conductivity of the nutrient solution (ECns) affected (p ≤ 0.01) the dry mass of the aerial part (DMAP), the PH, and the WC in both experiments, and it also caused a significant effect (p ≤ 0.05) on the water content in the aerial part (WCAP) under the prevalence of CaCl2.2H2O. The nutrient solution flow rate affected (p ≤ 0.01) WC and (p ≤ 0.05) DMAP (Experiment I), and it also influenced (p ≤ 0.01) DMAP, WCAP, and (p ≤ 0.05) PH (Experiment II) (Table 2).
Table 2.
Mean squares (MS) analysis of variance (ANOVA) for dry mass of aerial part (DMAP), water content in aerial part (WCAP), plant height (PH), and water consumption (WC) of coriander plants, cv. Verdão, exposed to different levels of electrical conductivity and nutrient solution flow rate under cationic prevalence of NaCl and CaCl2·2H2O.
When there was a prevalence of NaCl (Figure 6a), the estimated losses in DMAP of 0.565 g per bunch were estimated for each dS m−1 increment and 0.157 g per bunch per unit of flow added. Under the CaCl2·2H2O prevalence, the reduction was estimated to be 0.557 g per bunch (Figure 6b). There was no equation adjustment for flow, which presented an average of 3.31 g per bunch for DMAP.

Figure 6.
Dry mass (a,b) and water content of aerial part (c,d), average height of bunches (e,f), and total water consumption (g,h) of coriander plants, cv. Verdão, exposed to nutrient solutions prepared in brackish water, salinized with NaCl and CaCl2·2H2O, and applied in crescent flow rates.
The interaction between the treatments did not influence (p ≥ 0.05) the WCAP. Under the prevalence of NaCl in the water, the WCAP was at a maximum (90.87%) in the ECns and estimated to be 3.28 dS m−1; on the other hand, the increases in flow did not affect the WCAP, with an average value of 90.42% (Figure 6c). However, under the CaCl2·2H2O prevalence, the WCAP was at a maximum (90.47 and 90.68%) in the ECns, and the flows were estimated to be 3.32 dS m−1 and 2.79 L min−1, respectively (Figure 6d).
Regarding the height of the aerial part of plants when the water was salinized with NaCl, at a flow rate of 1.0 L min−1, the height of the bunch was at a minimum (22.92 cm) in the ECns and was estimated to be 4.82 dS m−1, while the flows of 2.0, 3.0, and 4.0 L min−1 were estimated to have reductions of 2.03, 1.98, and 1.35 cm for each incremented dS m−1, respectively (Figure 6e). The prevalence of CaCl2.2H2O resulted in reductions of 1.76, 1.33, 2.50, and 1.76 cm in the height of the bunch per increased dS m−1, under flow rates of 1.0, 2.0, 3.0, and 4.0 L min−1, respectively (Figure 6f).
The highest estimated plant heights were observed in the plants with an ECns of 1.7 dS m−1, independently of the cationic predominance, emphasizing the maximum mean values of 31.08 and 28.26 cm, which were obtained in the first and second cycles with flow rates of 1.0 and 3.0 L min−1, respectively. However, the exception was the treatment under the prevalence of NaCl at a flow rate of 1.0 L min−1; in all the evaluations, the ECns of 6.0 dS m−1 produced the smallest plants. Thus, there was a maximum reduction of 28.93% (Experiment I) and 38.10% (Experiment II) in comparison with the control treatment when 3.0 L min−1 of nutrient solution was applied.
When the water was salinized with NaCl, the interaction between the treatments did not influence (p ≥0.05) the water consumption. For each dS m−1 increase in the ECns, the plants reduced their water consumption by 0.0704 L per bunch; however, the water consumption was maximum (0.97 L per bunch) at the estimated flow of 2.82 L min−1 (Figure 6g).
Under the prevalence of CaCl2.2H2O, it is noteworthy that under the flows of 2.0 and 4.0 L min−1 the reduction in water consumption was estimated to be 0.1041 and 0.1064 L per bunch per dS m−1 increase in the ECns. When the nutrient solution was applied at flow rates of 1.0 and 3.0 L min−1, the average water consumption for the relative ECns, within the worked interval, was 0.528 and 0.591 L per bunch (Figure 6h).
3.3. Productivity and Water Use Efficiency
The interaction between the treatments (ECns × flow) affected (p ≤ 0.01) the water productivity based on the production of the fresh (WP-FMAP) and dry (WP-DMAP) mass of the aerial part under the CaCl2·2H2O prevalence. The electrical conductivity of the nutrient solution (ECns) was considered a significant (p ≤ 0.01) source of variation for all the examined traits, namely WP-FMAP, WP-DMAP, instantaneous (A/E), and intrinsic (A/gs) water use efficiency, in both cycles. The nutrient solution flow rate influenced (p ≤ 0.01) the WP-FMAP and WP-DMAP under the NaCl prevalence, as well as the WP-DMAP, A/E and A/gs when there was a CaCl2·2H2O prevalence in the water. (Table 3).
Table 3.
Mean squares (MS) analysis of variance (ANOVA) for water productivity based on the production of fresh (WP-FMAP) and dry (WP-DMAP) mass of aerial part, instantaneous (A/E), and intrinsic (A/gs) water use efficiency of coriander plants, cv. Verdão, exposed to different levels of electrical conductivity and nutrient solution flow rate under cationic prevalence of NaCl and CaCl2.2H2O.
The amount of fresh mass produced for each liter of nutrient solution consumed by a plant was at the maximum (55.13 g L−1) in the ECns estimated at 2.94 dS m−1, and on the other hand, it was at the minimum (42.00 g L−1) in the estimated flow of 3.20 L min−1, in results obtained under the prevalence of NaCl in the water (Figure 7a).

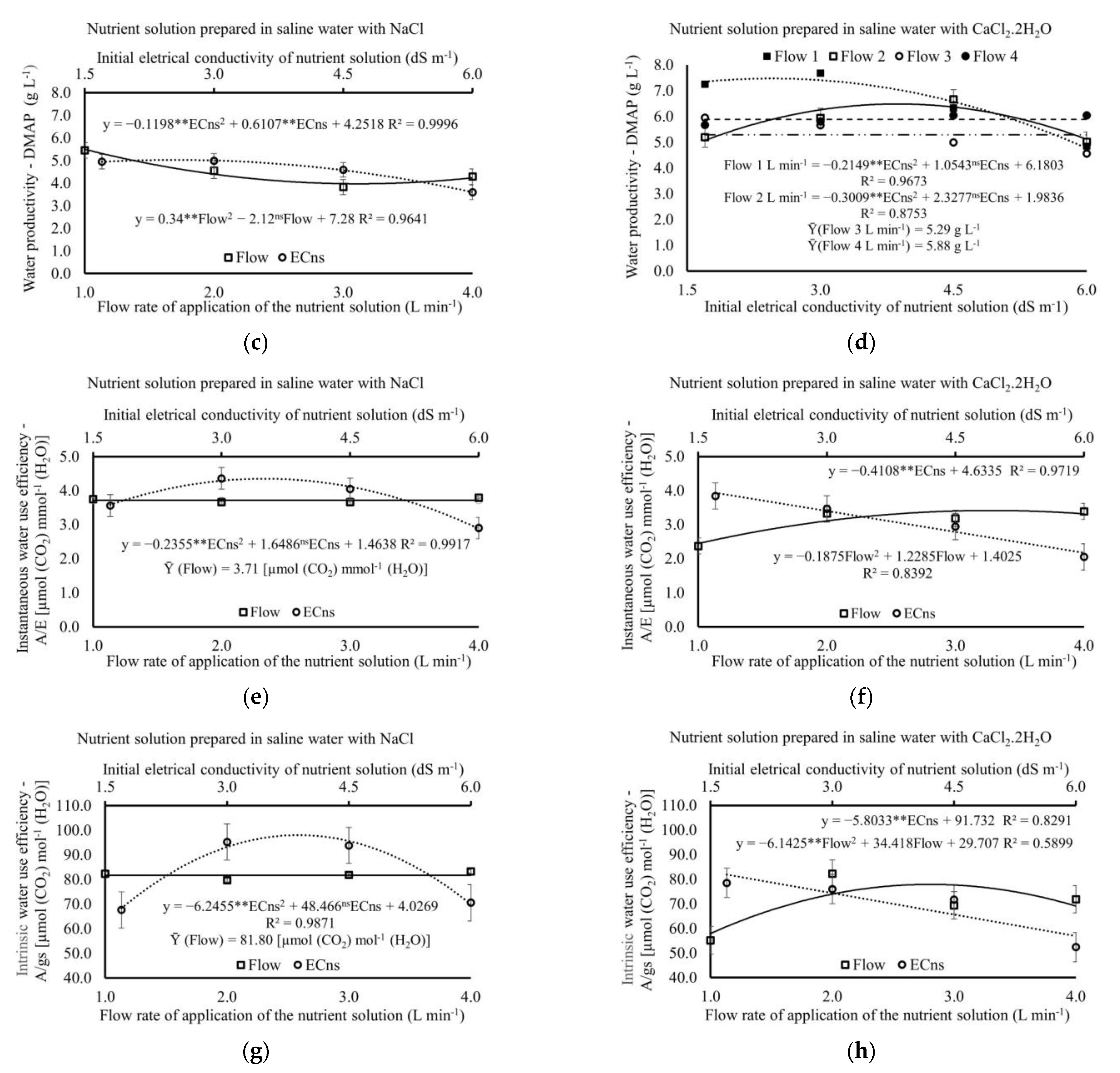
Figure 7.
Water productivity, based on fresh (a,b) and dry (c,d) mass shoots; instantaneous efficiency—A/E (e,f) and intrinsic—A/gs (g,h) of water use of coriander plants, cv. Verdão, exposed to nutrient solutions prepared in brackish water, salinized with NaCl and CaCl2·2H2O; it was applied in crescents flow rates.
After analyzing the unfolding of the interaction, it was found that when there was a prevalence of CaCl2·2H2O in water the WP-FMAP was at a minimum (56.06 g L−1) within the ECns of 4.5 dS m−1 for the estimated flow rate of 2.93 L min−1, as well as at a maximum (59.20 g L−1) within the flow rate of 2.0 L min−1 for the ECns estimated at 1.88 dS m−1 (Figure 7b).
When the waters used to prepare the nutrient solution were salinized with NaCl, the water productivity based on the production of the dry mass of the aerial part was at a maximum (5.03 g L−1) in the ECns estimated at 2.55 dS m−1. Increases in flow promoted minimum values (3.98 g L−1) in the WP-DMAP, with an estimated flow of 3.12 L min−1 (Figure 7c).
After analyzing the unfolding of the interaction under the prevalence of CaCl2·2H2O in water, it was verified that the productivity of the water in the DMAP was at a maximum (7.47 and 6.49 g L−1) within the flows of 1.0 and 2.0 L min−1 for the ECns estimated at 2.45 and 3.87 dS m−1, and it was equal (6.13 g L−1) in the ECns estimated at 4.95 dS m−1. At higher flow levels, the relative values of the water productivity in the DMAP were 5.29 and 5.88 g L−1 for flows of 3.0 and 4.0 L min−1 (Figure 7d).
With the prevalence of NaCl in the water, the instantaneous (A/E) (Figure 7e) and intrinsic (A/gs) (Figure 7g) efficiency of the water use were at the maximums of 4.35 µmol (CO2) mmol−1 (H2O) and 98.05 µmol (CO2) mol−1 (H2O) in the ECns estimated at 3.50 and 3.88 dS m−1, respectively. For the flow, there was no significance (p ≥ 0.05), with the average A/E and A/gs of 3.71 µmol (CO2) mmol−1 (H2O) and 81.80 µmol (CO2) mol−1 (H2O), respectively.
The prevalence of CaCl2.2H2O in water implied a reduction in A/E (Figure 7f) and A/gs (Figure 7h), estimated at 0.41 µmol (CO2) mmol−1 (H2O) and 5.80 µmol (CO2) mol−1 (H2O) for each dS m−1 increment in the ECns, respectively. On the other hand, the values of A/E and A/gs were the maximums of 3.41 µmol (CO2) mmol−1 (H2O) and 77.92 µmol (CO2) mol−1 (H2O) for the estimated flow rates of 3.28 and 2.80 L min−1, respectively.
Nevertheless, the highest values of A/E and A/gs were found for NaCl, and with the prevalence of CaCl2·2H2O in water, the lowest values were found, at the highest levels of ECns.
4. Discussion
The electrical conductivity of nutrient solution verified in this study was similar to the trends found in other works developed with leafy vegetables, such as parsley [21] and cauliflower [3]. The reductions observed within the ECns of 1.7 dS m−1 were correlated to the initial value, which can be attributed to the natural consumption of nutrients by the plants [22]. In addition, the replenishment of the stock reservoir level was carried out with the water used to prepare the nutrient solution for this treatment (ECw ≈ 0.12 dS m−1). However, other cases have shown increases in ECns correlated to the initial value, which may be associated with the concentration of water used to replace the stock reservoir according to each of the treatments.
In both cycles, the pH of the nutrient solution remained within the range that was considered adequate for plant growth in hydroponic systems. Thus, most of the nutrients were available for absorption [5,23]. Considering the predominance of NaCl, similar trends were found in relation to pHns in studies carried out with leafy vegetables [14,23,24], which corroborated the present research. In general, this tendency can be attributed to the stability of NaCl given by different conditions, such as its ion exchange ratios and the other ions present in the nutrient solution.
Increases in the concentration of Na+ in the nutrient solution can influence the absorption of other ions that are displaced from cells by sodium [25]. As a result, there is nutritional imbalance in the Na+/K+, Na+/Ca2+, and Na+/Mg2+ ratios [5], which can cause toxicity problems for plants, as a result of the ability to induce the deficiency of other cations [26]. Calcium is an important constituent of plasma membranes; its deficiency in the plant directly affects the absorption of other ions, such as K+. Moreover, the integrity of the membranes is affected in conditions in which there is an excess of H+ ions. Thus, it is important to manage the pH of the solution within the recommended range. Nevertheless, high concentrations of Ca2+ in the nutrient solution reduce the absorption of K+ and Mg2+, as does the excess of these ions, which prejudice the absorption of calcium by the plant [27,28,29].
Dissolved oxygen values were observed in the nutrient solutions of this study, which corroborate the mean values (6.11 and 6.03 mg L−1) reported for the cultivation of coriander in the conventional DFT system in the morning and afternoon, respectively [30]. It is critical to keep oxygen levels above the minimum limit of the 5 mg L−1 recommended for most crops [31]. It occurs because lack of this element reduces the absorption of water and nutrients by plants. Consequently, this affects the development of the aerial part and the yield of the crops [32]. However, reductions in this parameter were verified at the end of cultivation cycle by the predominance of CaCl2·2H2O, which was due to high oxygen demand. Another occurrence is that the volume of the plant roots increases as a function of the growth of the culture [33], as observed in coriander [16,34].
The temperature of the nutrient solution directly affects the absorption of nutrients by the plants [35], and the temperature range of the nutrient solutions was considered suitable for plant growth between 20 and 30 °C [36]. However, the temperature of the solutions can exceed 30 °C in some regions, which shows the hottest hours of day, as reported by different authors on the hydroponic cultivation of leafy vegetables [15,35,37]. Despite not having been verified in the present study, it is worth noting that increases in flow can decrease the temperature of the nutrient solution, especially during the hottest hours of the day. This occurs because the high volume and short exposure time of the solution during its displacement in the cultivation channel contributes to a small effect on the heat exchange in the plants [11].
Several studies [14,15,38] discuss the hydroponic cultivation of leafy vegetables with brackish water. Moreover, there are losses of DMAP per dS m−1 increase in the ECns, which can be attributed to the physiological implications that result in the reduction in the fixation of dry biomass. The reduction in plant dry mass is associated with the osmotic effects of salinity and toxic ions, as well as the ionic imbalance caused by the excess of these ions [39]. However, the reduction in shoot dry biomass which results from increases in flow can be attributed to a decrease in the solute absorption capacity, due to the time in which the solute remains in solution, which is not long enough for the ions to occupy all available adsorption sites [12].
The water content in the shoots is a fundamental parameter for the commercialization of leafy vegetables. A minimum content of 83.3% is recommended [40]. Thus, all the WCAPs obtained in this research were higher than the reference value.
Salt stress limits the accumulation of essential nutrients in plants, while increasing the ion concentration of sodium, for example, which results in reductions in growth and productivity [41], as seen in the height of the coriander plants. This variable is an important parameter for the commercialization of leafy vegetables, especially for trade in bunches.
In hydroponic crops with coriander cv. Verdão, with plants exposed to an ECns range of 2.28 to 5.51 dS m−1, plant heights of 36.0 cm [42], 37.08 cm [15], and 45.18 cm [16] were confirmed, surpassing the highest values recorded in this work. The negative effects of salinity on plant growth are associated with its interference in the processes of net CO2 assimilation per unit of leaf area, as well as of the translocation of carbohydrates to the draining tissues and the diversion of energy sources to other processes, such as osmotic adjustment, synthesis of compatible solutes, repair of damage caused by salinity, and maintenance of basic metabolic processes [43].
The type of salt used in the preparation of brackish water influenced the water consumption of the coriander plants. Thus, it was possible to verify that CaCl2·2H2O promotes lower water consumption than solutions prepared with NaCl, which may be related to the high absorption rate of monovalent cations compared to bivalent cations [27]. The reduction of water consumption in leafy vegetables exposed to nutrient solutions with increases of electrical conductivities has already been verified for rocket [14], for parsley [21], for green onion [38], and for watercress [44]. For coriander within the range of ECns of 2.05 to 8.26 dS m−1, consumption levels of 1.45 L per bunch were verified for cv. Verdão [42] and 0.89 L per bunch [15]; results similar to those were presented here.
The reduction in water productivity by saline stress conditions can be attributed to the reduction in evapotranspiration and carbon fixation by plants resulting from the increased electrical conductivity of the nutrient solution. However, the trend towards a better relationship between the fresh mass and the water consumption of plants under the prevalence of CaCl2·2H2O may be associated with metabolic efficiencies in the use of this nutrient, while under NaCl prevalence the toxic effects of excess sodium in solution may cause reductions in crop yield [21]. Within the range of ECns studied, the water productivity levels of 56.88 g L−1 for parsley [21], 42.6 g L−1 for lettuce [24], and 67.57 g L−1 for chicory [45] has already been confirmed. This corroborates the water productivity values verified in the present work for the flow of 1.0 L min−1 and for ECns levels of 1.7, 3.0, and 4.5 dS m−1.
The best water productivity results were obtained by the lowest flow rates, which was probably due to low water stress in the treatments once the high flows promoted a great flow of salts in the plant rhizospheres [13]. Therefore, the flow can be regulated to improve crop yield. Thus, the ideal applied volume increased the collision frequency between the nutrient ions and the plant roots, promoting nutrient absorption; subsequently, it improved the plant growth [46]. In general, in hydroponic systems, different flow rates of nutrient solution influence plant growth and change the availability of nutrients. Thus, the volume of nutrient solution applied not only affects the diffusion of nutrient ions but can also increase the energy with which these ions are available to plant roots, causing productivity losses [47].
In general terms, within the range of ECns studied, in hydroponic cultures with a prevalence of NaCl in water there was a higher value of the instantaneous efficiency of water use in the order of 1.86 µmol (CO2) mmol−1 (H2O) for lettuce [48]; that is, it is a value compatible with that presented here. In both experiments with tomatoes, which were grown in the field and the greenhouse, salt stress reduced A/E and A/gs ranging from 1.50 to 1.95 and 0.9 to 1.28 µmol (CO2) mmol−1 (H2O) and 74.5 to 98.9 and 30.3 to 46.7 µmol (CO2) mol−1 (H2O) in the first and second cycles, respectively [49].
The intrinsic efficiency of water use in the control plants of Hebe andersonii cv. Variegata was similar to the A/gs ratio of the plants exposed to saline stress [50]. According to this study, salinity decreased both A and gs but increased the intrinsic efficiency of the water use. This may be associated with a smaller decrease in the photosynthetic rate than the decreases in stomatal conductance, which are associated with the adaptive mechanisms of plants to stress conditions.
The adjustment of the carbon amount that the plant fixes for each unit of water loss [51] is described by the relationship between liquid photosynthesis and transpiration, which was influenced by the increase in flow only with the prevalence of CaCl2·2H2O in water. Obtaining high values in the efficiency of water use occurs when the stomata are partially closed; that is, at this point, two diffusion processes are promptly reduced [52].
The rapid acclimatization to salinity, especially in the initial concentrations, explains the best adjustments in both cationic prevalences and is associated with the reduction in cellular osmotic potential caused by the accumulation of organic solutes, which contributes to the maintenance of water absorption and cellular turgor, allowing uninterrupted physiological processes such as stomatal opening, photosynthesis, and cell expansion. On the other hand, this justifies the losses of the instantaneous and intrinsic efficiency of water use by high ECns, once there are decreases in stomatal conductance and transpiration due to the accentuation of induced water stress. This is caused by osmotic effect and the consequent reduction in photosynthetic rate [48].
In general, the concept of efficiency in the use of water is relative, considering that the treatment that obtains the highest efficiency is not always the one with the highest productivity. Generally, the values obtained are linked to the types of treatments adopted and to the way that the culture is managed, which makes it impossible to directly compare results [53].
5. Conclusions
The increase in electrical conductivity of the nutrient solution affected the water productivity, based on the fresh and dry mass of coriander in the two cationic prevalences of brackish water, which was used to prepare the nutrient solution. Otherwise, the increases in flow did not affect the plant height and the water productivity based on fresh mass when there was prevalence of CaCl2·2H2O in the water with high saline concentrations. The plant’s water consumption was affected by increases in salt concentrations under the nutrient solution flows of 2.0 and 4.0 L min−1; on the other hand, it remained stable under the flows of 1.0 and 3.0 L min−1, within the tested salinity range with the predominance of CaCl2·2H2O. Increases in the flow rate of nutrient solution influenced the intrinsic water use efficiency of plants which were grown through the cationic predominance of CaCl2·2H2O in water. In general, despite the effects caused by salinity on the growth parameters and the water relations of the culture, coriander can be grown without major deleterious effects on the mentioned characteristics above, in nutrient solutions of up to 3.0 dS m−1, as well as flow rates of 1.0 and 2.0 L min−1 in an NFT hydroponic system with 3 m long profiles.
Author Contributions
Conception and execution of the project, R.R.B.; conception and guidance of the project, J.A.S.J. and Ê.F.d.F.e.S.; support in experimental conduct, U.C.P. and K.F.N.; data analysis and support in drafting of the manuscript, T.F.d.O.; consultant for experimental data analysis, E.R.d.S. All authors have read and agreed to the published version of the manuscript.
Funding
This research was funded by Conselho Nacional de Desenvolvimento Científico e Tecnológico (CNPq) and Coordenação de Aperfeiçoamento de Pessoal de Nível Superior (CAPES), grant number 409312/2021-5.
Institutional Review Board Statement
Not applicable.
Informed Consent Statement
Not applicable.
Data Availability Statement
Not applicable.
Conflicts of Interest
The authors declare no conflict of interest.
References
- Machado, R.M.A.; Alves-Pereira, I.; Faty, Y.; Perdigão, S.; Ferreira, R. Influence of Nitrogen Sources Applied by Fertigation to an Enriched Soil with Organic Compost on Growth, Mineral Nutrition, and Phytochemicals Content of Coriander (Coriandrum sativum L.) in Two Successive Harvests. Plants 2022, 11, 22. [Google Scholar] [CrossRef]
- Cavalcante, A.R.; Santos Júnior, J.A.; Gheyi, H.R.; Dias, N.S.; Paz, V.P.S. Produção e composição mineral do coentro em sistema hidropônico de baixo custo. Irriga 2016, 21, 685–696. [Google Scholar] [CrossRef]
- Soares, H.R.; Silva, Ê.F.F.; Silva, G.F.D.; Cruz, A.F.D.S.; Santos Júnior, J.A.; Rolim, M.M. Salinity and flow rates of nutrient solution on cauliflower biometrics in NFT hydroponic system. R. Bras. Eng. Agríc. Ambient. 2020, 24, 258–265. [Google Scholar] [CrossRef]
- Silva, A.C.; Silva, G.F.; Menezes, S.M.; Cruz, R.Í.; Santos Júnior, J.A.; Rolim, M.M. Accumulation of cations in lettuce cultivars under low-cost hydroponic system with brackish waters. R. Bras. Eng. Agríc. Ambient. 2021, 25, 833–839. [Google Scholar] [CrossRef]
- Muchecua, S.M.; Santos Júnior, J.A.; Menezes, S.M.; Silva, G.F.; Chaves, L.H.; Cruz, R.I. Ionic relationships between macronutrients and sodium in parsley under nutrient solutions prepared with brackish water. R. Bras. Eng. Agríc. Ambient. 2022, 26, 11–20. [Google Scholar] [CrossRef]
- Santos, B.D.; Silva, P.F.; Matos, R.M.; Neto, J.D.; Lima, V.L.; Bonou, S.I.; Melo, A.S.; Melo, Y.L. Induction of Salt Stress Tolerance in Chives by Priming with H2O2 in Hydroponic Cultivation. Chil. J. Agric. Res. 2021, 81, 317–325. [Google Scholar] [CrossRef]
- Silva, M.G.; Soares, T.M.; Gheyi, H.R.; Santos, C.C.; Oliveira, M.G.B. Hydroponic cultivation of coriander intercropped with rocket subjected to saline and thermal stresses in the root-zone. Rev. Ceres 2022, 69, 148–157. [Google Scholar] [CrossRef]
- Avdouli, D.; Max, J.F.; Katsoulas, N.; Levizou, E. Basil as Secondary Crop in Cascade Hydroponics: Exploring Salinity Tolerance Limits in Terms of Growth, Amino Acid Profile, and Nutrient Composition. Horticulturae 2021, 7, 203. [Google Scholar] [CrossRef]
- Carbajal-Vázquez, V.H.; Gómez-Merino, F.C.; Alcántar-González, E.G.; Sánchez-García, P.; Trejo-Téllez, L.I. Titanium Increases the Antioxidant Activity and Macronutrient Concentration in Tomato Seedlings Exposed to Salinity in Hydroponics. Plants 2022, 11, 1036. [Google Scholar] [CrossRef]
- Holanda, J.S.; Amorim, J.R.A.; Ferreira Neto, M.; Holanda, A.C.; Sá, F.V.S. Qualidade da água para irrigação. In Manejo da Salinidade na Agricultura: Estudos Básicos e Aplicados, 2nd ed.; Gheyi, H.R., Dias, N.S., Lacerda, C.F., Gomes Filho, E., Eds.; INCTSal: Fortaleza, Brazil, 2016; pp. 35–50. [Google Scholar]
- Genuncio, G.C.; Silva, R.A.C.; Sá, N.M.; Mary, W.; Zonta, E. Produtividade de rúcula hidropônica cultivada em diferentes épocas e vazões de solução nutritiva. Hortic. Bras. 2011, 29, 605–608. [Google Scholar] [CrossRef]
- Mendonça, M.A.; Oliveira, R.A.; Duda, R.M.; Fujita, A.T.; Millan, R.N. Remoção de íons Cu2+, Mn2+ e Zn2+ em solução aquosa utilizando lodo biológico de reatores anaeróbios de alta taxa. Semin. Ciênc. Exatas E Tec. 2017, 38, 17–27. [Google Scholar] [CrossRef]
- Cruz, A.F.S.; Silva, G.F.; Silva, Ê.F.F.; Soares, H.R.; Santos, J.S.G.; Lira, R.M. Stress index, water potentials and leaf succulence in cauliflower cultivated hydroponically with brackish water. R. Bras. Eng. Agríc. Ambient. 2018, 22, 622–627. [Google Scholar] [CrossRef]
- Campos Júnior, J.E.; Santos Júnior, J.A.; Martins, J.B.; Silva, Ê.F.F.; Almeida, C.D.G.C. Rocket production in a low cost hydroponic system using brackish water. Rev. Caatinga 2018, 31, 1008–1016. [Google Scholar] [CrossRef]
- Silva, M.G.; Oliveira, I.S.; Soares, T.M.; Gheyi, H.R.; Santana, G.O.; Pinho, J.S. Growth, production and water consumption of coriander in hydroponic system using brackish waters. R. Bras. Eng. Agríc. Ambient. 2018, 22, 547–552. [Google Scholar] [CrossRef]
- Silva, M.G.; Soares, T.M.; Gheyi, H.R.; Costa, I.P.; Vasconcelos, R.S. Growth, production and water consumption of coriander grown under different recirculation intervals and nutrient solution depths in hydroponic channels. Emir. J. Food Agric. 2020, 32, 281–294. [Google Scholar] [CrossRef]
- Furlani, P.R. Cultivo Hidropônico de Plantas; Instituto Agronômico: Campinas, Brazil, 1999. [Google Scholar]
- Rhoades, J.D.; Kandiah, A.; Mashali, A.M. Uso de Águas Salinas Para Produção Agrícola; UFPB: Campina Grande, Brazil, 2000; p. 117. [Google Scholar]
- Benincasa, M.M.P. Análise de Crescimento de Plantas: Noções Básicas; Funep: Jaboticabal, Brazil, 2003; p. 42. [Google Scholar]
- Ferreira, D.F. SISVAR: A computer analysis system to fixed effects split plot type designs. Rev. Bras. Biom. 2019, 37, 529–535. [Google Scholar] [CrossRef]
- Martins, J.B.; Santos Júnior, J.A.; Bartusch, V.P.; Gheyi, H.R.; Bezerra Neto, E.; Silva, M.M. Water relations in parsley plants cultivated in brackish nutrient solutions of different cationic natures. R. Bras. Eng. Agríc. Ambient. 2019, 23, 662–668. [Google Scholar] [CrossRef]
- Ropokis, A.; Ntatsi, G.; Kittas, C.; Katsoulas, N.; Savvas, D. Impact of cultivar and grafting on nutrient and water uptake by sweet pepper (Capsicum annuum L.) grown hydroponically under Mediterranean climatic conditions. Front. Plant Sci. 2018, 9, 1244. [Google Scholar] [CrossRef] [PubMed]
- Silva, J.S.; Paz, V.P.S.; Soares, T.M.; Almeida, W.F.; Fernandes, J.P. Production of lettuce with brackish water in NFT hydroponic system. Semina Ciênc. Agr. 2018, 39, 947–961. [Google Scholar] [CrossRef]
- Soares, H.R.; Santos Júnior, J.A.; Silva, Ê.F.F.; Rolim, M.M.; Silva, G.F. Water and physiological relationships of lettuce cultivated in hydroponics with brackish waters. Rev. Ciênc. Agron. 2019, 50, 216–222. [Google Scholar] [CrossRef]
- Prisco, J.T.; Filho, E.G.; Miranda, R.S. Physiology and biochemistry of plants growing under salt stress. In Manejo da Salinidade na Agricultura: Estudos Básicos e Aplicados, 2nd ed.; Gheyi, H.R., Dias, N.S., Lacerda, C.F., Filho, E.G., Eds.; INCTSal: Fortaleza, Brazil, 2016; pp. 163–180. [Google Scholar]
- Butcher, K.; Wick, A.F.; DeSutter, T.; Chatterjee, A.; Harmon, J. Soil salinity: A threat to global food security. Agron. J. 2016, 108, 2189–2200. [Google Scholar] [CrossRef]
- Abrahão, C.; Bôas, R.L.V.; Bull, L.T. Relação K:Ca:Mg na solução nutritiva para a produção de minitomate cultivado em substrato. Irriga 2014, 19, 214–224. [Google Scholar] [CrossRef][Green Version]
- Silva, M.L.S.; Trevizam, A.R. Interações iônicas e seus efeitos na nutrição das plantas. Info. Agron. 2015, 49, 16. [Google Scholar]
- Ghatak, A.; Chaturvedi, P.; Weckwerth, W. Metabolomics in plant stress physiology. Plant Genet. Mol. Biol. 2018, 50, 187–236. [Google Scholar] [CrossRef]
- Silva, L.; Gasca-Leyva, E.; Escalante, E.; Fitzsimmons, K.M.; Lozano, D.V. Evaluation of biomass yield and water treatment in two aquaponic systems using the dynamic root floating technique (DRF). Sustainability 2015, 7, 15384–15399. [Google Scholar] [CrossRef]
- Jensen, M.H. Hydroponics. HortScience 1997, 32, 1018–1021. [Google Scholar] [CrossRef]
- Lenzi, A.; Baldi, A.; Tesi, R. Growing spinach in a floating system with different volumes of aerated or non aerated nutrient solution. Adv. Hortic. Sci. 2011, 25, 21–25. [Google Scholar] [CrossRef]
- Mobini, S.H.; Ismail, M.R.; Aroiuee, H. The impact of aeration on potato (Solanum tuberosum L.) minituber production under soilless conditions. Afr. J. Biotechnol. 2015, 14, 910–921. [Google Scholar] [CrossRef]
- Niñirola, D.; Fernández, J.A.; Conesa, E.; Martinez, J.A.; Egea-Gilabert, C. Combined effects of growth cycle and different levels of aeration in nutrient solution on productivity, quality, and shelf life of watercress (Nasturtium officinale R. Br.) plants. HortScience 2014, 49, 567–573. [Google Scholar] [CrossRef]
- Silva, M.G.; Soares, T.M.; Gheyi, H.R.; Oliveira, M.G.; Santos, C.C. Hydroponic cultivation of coriander using fresh and brackish waters with different temperatures of the nutrient solution. Eng. Agríc. 2020, 40, 674–683. [Google Scholar] [CrossRef]
- He, F.; Thiele, B.; Watt, M.; Kraska, T.; Ulbrich, A.; Kuhn, A.J. Effects of root cooling on plant growth and fruit quality of cocktail tomato during two consecutive seasons. J. Food Qual. 2019, 2019, 3598172. [Google Scholar] [CrossRef]
- Cometti, N.N.; Bremenkamp, D.M.; Galon, K.; Hell, L.R.; Zanotelli, M.F. Cooling and concentration of nutrient solution in hydroponic lettuce crop. Hortic. Bras. 2013, 31, 287–292. [Google Scholar] [CrossRef]
- Silva Junior, F.J.; Santos Júnior, J.A.; Dias, N.S.; Gheyi, H.R.; Rivera, R.C.; Silva, G.F.; Fernandes, C.S. Green onion production under strategies of replacement and frequencies of circulation of brackish nutritive solutions. Biosci. J. 2019, 35, 796–805. [Google Scholar] [CrossRef]
- Munns, R.; Tester, M. Mechanisms of Salinity Tolerance. Annu. Rev. Plant Biol. 2008, 59, 651–681. [Google Scholar] [CrossRef]
- Tabela Brasileira de Composição de Alimentos. Available online: http://www.fcf.usp.br/tbca (accessed on 13 May 2022).
- Abbasi, H.; Jamil, M.; Haq, A.; Ali, S.; Ahmad, R.; Malik, Z.; Parveen, Z. Salt stress manifestation on plants, mechanism of salt tolerance and potassium role in alleviating it: A review. Zemdirb. Agric. 2016, 103, 229–238. [Google Scholar] [CrossRef]
- Silva, M.G.; Soares, T.M.; Gheyi, H.R.; Oliveira, I.S.; Silva Filho, J.A.; Carmo, F.F. Frequency of recirculation of nutrient solution in hydroponic cultivation of coriander with brackish water. R. Bras. Eng. Agríc. Ambient. 2016, 20, 447–454. [Google Scholar] [CrossRef]
- Paranychianakis, N.V.; Chartzoulakis, K.S. Irrigation of mediterranean crops with saline water: From physiology to management practices. Agric. Ecosyst. Environ. 2005, 106, 171–187. [Google Scholar] [CrossRef]
- Lira, R.M.; Silva, Ê.F.F.; Silva, G.F.; Soares, H.R.; Willadino, L.G. Growth, water consumption and mineral composition of watercress under hydroponic system with brackish water. Hortic. Bras. 2018, 36, 13–19. [Google Scholar] [CrossRef]
- Alves, L.S.; Silva, M.G.; Gheyi, H.R.; Paz, V.P.S.; Soares, T.M.; Rafael, M.R.S. Uso de águas salobras no cultivo da chicória em condições hidropônicas. Irriga 2019, 24, 758–769. [Google Scholar] [CrossRef]
- Baiyin, B.; Tagawa, K.; Yamada, M.; Wang, X.; Yamada, S.; Yamamoto, S.; Ibaraki, Y. Effect of the flow rate on plant growth and flow visualization of nutrient solution in hydroponics. Horticulturae 2021, 7, 225. [Google Scholar] [CrossRef]
- Baiyin, B.; Tagawa, K.; Yamada, M.; Wang, X.; Yamada, S.; Shao, Y.; An, P.; Yamamoto, S.; Ibaraki, Y. Effect of nutrient solution flow rate on hydroponic plant growth and root morphology. Plants 2021, 10, 1840. [Google Scholar] [CrossRef] [PubMed]
- Guimarães, R.F.B.; Maia Júnior, S.O.; Nascimento, R.; Melo, D.F.; Ramos, J.G.; Andrade, J.R. Trocas gasosas em cultivares de alface crespa em cultivo hidropônico com água salina. Rev. Bras. Agric. Irrig. 2019, 13, 3599. [Google Scholar] [CrossRef]
- Yang, H.; Shukla, M.K.; Mao, X.; Kang, S.; Du, T. Interactive regimes of reduced irrigation and salt stress depressed tomato water use efficiency at leaf and plant scales by affecting leaf physiology and stem sap flow. Front. Plant Sci. 2019, 10, 160. [Google Scholar] [CrossRef] [PubMed]
- Bañón, D.; Alarcón, J.J.; Sánchez-Blanco, M.J.; Ortuño, M.F.; Bañón, S.; Lorente, B.; Ochoa, J. Response of Potted Hebe andersonii to Salinity under an Efficient Irrigation Management. Agronomy 2022, 12, 1696. [Google Scholar] [CrossRef]
- Taiz, L.; Zeiger, E. Fisiologia Vegetal, 4th ed.; Artmed: Porto Alegre, Brazil, 2009; p. 819. [Google Scholar]
- Larcher, W. Ecofisiologia Vegetal, 1st ed.; Rima: São Carlos, Brazil, 2004; p. 531. [Google Scholar]
- Carvalho, R.C.; Mota, F.D.; Gabriel Filho, L.R.A.; Klar, A.E.; Grassi Filho, H. Lisímetro para medida da evapotranspiração na cultura do pimentão em sistema hidropônico com substrato1. Irriga 2020, 25, 361–376. [Google Scholar] [CrossRef]
Publisher’s Note: MDPI stays neutral with regard to jurisdictional claims in published maps and institutional affiliations. |
© 2022 by the authors. Licensee MDPI, Basel, Switzerland. This article is an open access article distributed under the terms and conditions of the Creative Commons Attribution (CC BY) license (https://creativecommons.org/licenses/by/4.0/).









