The Performance of Natural Flood Management at the Large Catchment-Scale: A Case Study in the Warwickshire Stour Valley
Abstract
1. Introduction
2. Method
2.1. Study Site
2.2. Available Data
2.3. Model Build and Sensitivity Analysis
3. Results
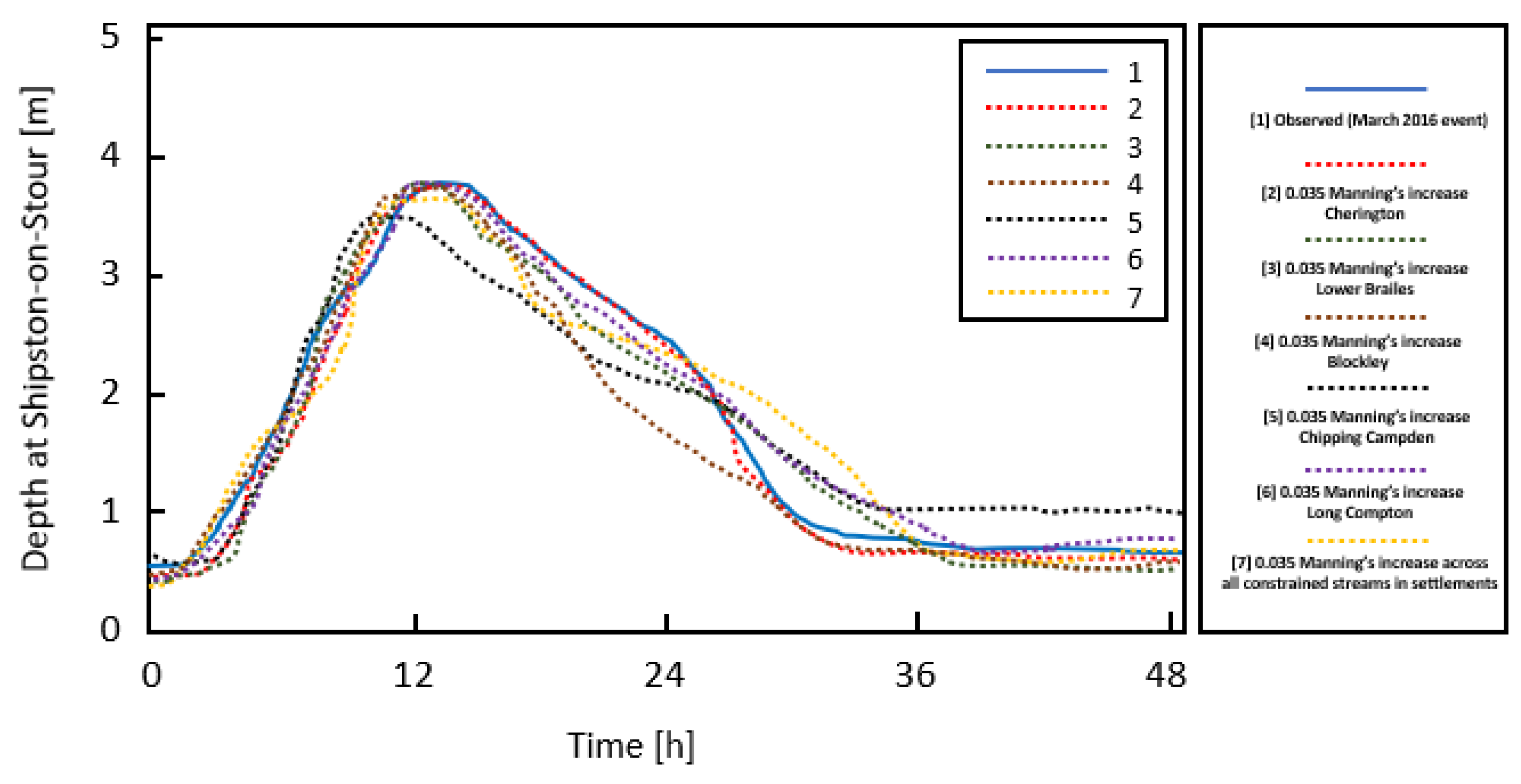
3.1. Model Sensitivity Analysis Findings
3.2. NFM Performance Summary: Lag-Times and Peak Attenutation
4. Discussion
4.1. Relative Sub-Catchment Timings of Peaks
4.2. Peak Attenutation and Flood Mitigation
5. Conclusions
Author Contributions
Funding
Data Availability Statement
Acknowledgments
Conflicts of Interest
References
- Intergovernmental Panel on Climate Change. Sixth Assessment Report. Available online: https://www.ipcc.ch/assessment-report/ar6/ (accessed on 21 November 2022).
- Environment Agency. National Flood and Coastal Erosion Risk Management Strategy for England. Available online: https://www.gov.uk/government/publications/national-flood-and-coastal-erosion-risk-management-strategy-for-england--2 (accessed on 21 November 2022).
- HM Government. Flood and Water Management Act. Available online: https://www.legislation.gov.uk/ukpga/2010/29/contents (accessed on 21 November 2022).
- HM Government. A Green Future: Our 25 Year Plan to Improve the Environment. Available online: https://www.gov.uk/government/publications/25-year-environment-plan (accessed on 19 September 2022).
- Burgess-Gamble, L.; Ngai, R.; Wilkinson, M.; Nisbet, T.; Pontee, N.; Harvey, R.; Kipling, K.; Addy, S.; Rose, S.; Maslen, S.; et al. Working with Natural Processes-Evidence Directory SC150005; Environment Agency: Bristol, UK, 2018. [Google Scholar]
- Dadson, S.J.; Hall, J.W.; Murgatroyd, A.; Acreman, M.; Bates, P.; Beven, K.; Heathwaite, L.; Holden, J.; Holman, I.P.; Lane, S.N.; et al. A restatement of the natural science evidence concerning catchment-based ‘natural’ flood management in the UK. Proc. R. Soc. A Math. Phys. Eng. Sci. R. Soc. 2017, 473, 20160706. [Google Scholar] [CrossRef] [PubMed]
- McIntyre, N.; Ballard, C.; Bulygina, N.; Frogbrook, Z.; Cluckie, I.; Dangerfield, S.; Ewen, J.; Geris, J.; Henshaw, A.; Jackson, B.; et al. The potential for reducing flood risk through changes to rural land management: Outcomes from the Flood Risk Management Research Consortium. In Proceedings of the British Hydrological Society Eleventh National Symposium, Dundee, UK, 6–8 September 2012. [Google Scholar]
- Leitão, J.P.; de Sousa, L.M. Towards the Optimal Fusion of High-Resolution Digital Elevation Models for Detailed Urban Flood Assessment. J. Hydrol. 2018, 561, 651–661. [Google Scholar] [CrossRef]
- Shaw, E.M.; Beven, K.J.; Chappell, N.A.; Lamb, R. Hydrology in Practice, 4th ed.; Spon Press: Abingdon, UK, 2011; ISBN 978-0-415-37042-4. [Google Scholar]
- Hankin, B.; Metcalfe, P.; Johnson, D.; Chappell, N.A.; Page, T.; Craigen, I.; Lamb, R.; Beven, K. Strategies for Testing the Impact of Natural Flood Risk Management Measures. In Flood Risk Management; Hromadka, T., Rao, P., Eds.; IntechOpen: London, UK, 2017; pp. 1–39. ISBN 978-953-51-3466-4. [Google Scholar]
- Lavers, T.; Charlesworth, S. Opportunity mapping of natural flood management measures: A case study from the headwaters of the Warwickshire-Avon. Environ. Sci. Pollut. Res. 2018, 25, 19313–19322. [Google Scholar] [CrossRef] [PubMed]
- Hankin, B.; Craigen, I.; Chappell, N.A.; Page, T.J.C.; Metcalfe, P.W. Rivers Trust Life-IP Natural Course Project: Strategic Investigation of Natural Flood Management in Cumbria. Technical Report December 2016. Available online: http://naturalcourse.co.uk/uploads/2017/04/2016s4667-Rivers-Trust-Life-IP-NFM-Opportunities-Technical-Report-v8.0.pdf (accessed on 30 November 2020).
- Chen, A.S.; Djordjević, S.; Leandro, J.; Savić, D.A. An analysis of the combined consequences of pluvial and fluvial flooding. Water Sci. Technol. 2010, 62, 1491–1498. [Google Scholar] [CrossRef] [PubMed]
- Ballard, C.; McIntyre, N.; Wheater, H.S. Effects of peatland drainage management on peak flows. Hydrol Earth Syst Sci. 2012, 16, 2299–2310. [Google Scholar] [CrossRef]
- Dixon, S.J.; Sear, D.A.; Odoni, N.A.; Sykes, T.; Lane, S. The effects of river restoration on catchment scale flood risk and flood hydrology. Earth Surf. Process. Landf. 2016, 41, 997–1008. [Google Scholar] [CrossRef]
- Metcalfe, P.; Beven, K.; Hankin, B.; Lamb, R. A modelling framework for evaluation of the hydrological impacts of nature-based approaches to flood risk management, with application to in channel interventions across a 29 km2 scale catchment in the United Kingdom: A modelling framework for nature-based flood risk management. Hydrol. Process. 2017, 31, 1734–1748. [Google Scholar] [CrossRef]
- McLean, L.; Beevers, L.C.; Pender, G.; Haynes, H.; Wilkinson, M. Natural Flood Management in the United Kingdom: Developing a Conceptual Management Tool. In Proceedings of the 35th IAHR World Congress, Chengdu, China, 8–13 September 2013. [Google Scholar]
- Iacob, O.; Rowan, J.; Brown, I.; Ellis, C. Natural Flood Management as a Climate Change Adaptation Option Assessed Using an Ecosystem Services Approach. In Proceedings of the British Hydrological Society Eleventh National Symposium, Dundee, UK, 6–8 September 2012. [Google Scholar]
- OS MasterMap National Overview Layer [GML Geospatial Data], Coverage: England, Updated January 2018, Ordnance Survey, GB. Using: EDINA Digimap Ordnance Survey Service, Downloaded: May 2018.
- OS MasterMap 1:250000 Layer [GML Geospatial Data], Coverage: England, Updated January 2018, Ordnance Survey, GB. Using: EDINA Digimap Ordnance Survey Service, Downloaded: May 2018.
- Shipston Area Flood Action Group. Slow The Flow. Available online: https://safag.org/learn/slow-the-flow/ (accessed on 21 November 2022).
- Capita Symonds. Post July 2007 Floods—Optioneering Assessment. 2008; (Unpublished work).
- Environment Agency. National Assessment of Flood Risk (NaFRA): RASP methodology. Available online: https://assets.publishing.service.gov.uk/government/uploads/system/uploads/attachment_data/file/292928/geho0609bqds-e-e.pdf (accessed on 21 November 2022).
- Capita AECOM. Appendix B—York Slowing the Flow, Natural Flood Management Technical Report 2019. Available online: https://consult.environment-agency.gov.uk/yorkshire/slowing-the-flow-in-the-rivers-ouse-and-foss-a-lon/supporting_documents/York%20Slowing%20the%20Flow%20Appendix%20B%20%20NFM%20technical%20report.pdf (accessed on 21 November 2022).
- Cbec Eco Engineering UK. River Nith Restoration—Appendix I—Modelling Methodology Used for NFM Assessment. 2013. Available online: https://www.sepa.org.uk/media/103179/appendix-i-modelling-method-for-nfm-assessment.pdf (accessed on 21 November 2022).
- Ferguson, C.R.; Fenner, R.A. The potential for natural flood management to maintain free discharge at urban drainage outfalls. J. Flood Risk Manag. 2020, 13, e12617. [Google Scholar] [CrossRef]
- Environment Agency. Flood Risk Assessments: Climate Change Allowances. 2016. Available online: https://www.gov.uk/guidance/flood-risk-assessments-climate-change-allowances (accessed on 21 November 2022).
- Sayers, P.; Meadowcroft, I. RASP-A hierarchy of risk-based methods and their application. In Proceedings of the 2005 Defra Flood and Coastal Management Conference, York, UK, 5–7 July 2005. [Google Scholar]
- Quinn, P.; O’Donnell, G.; Nicholson, A.; Wilkinson, M.; Owen, G.; Jonczyk, J.; Barber, N.; Mardwick, M.; Davies, G. Potential Use of Runoff Attenuation Features in Small Rural Catchments for Flood Mitigation; Technical Report; Newcastle University: Newcastle upon Tyne, UK, 2013. [Google Scholar]
- Scottish Environment Protection Agency (SEPA). Flood Modelling Guidance for Responsible Authorities. 2018. Available online: https://www.sepa.org.uk/media/219653/flood_model_guidance_v2.pdf (accessed on 21 November 2022).
- Chow, V.T. Open-Channel Hydraulics; McGraw-Hill: New York, NY, USA, 1959. [Google Scholar]
- Lane, S.N. Slowing the floods in the U.K. Pennine uplands... A case of Waiting for Godot? J. Pract. Ecol. Conserv. 2008, 7, 75–91. [Google Scholar]
- Bracken, L.J.; Croke, J. The concept of hydrological connectivity and its contribution to understanding runoff-dominated geomorphic systems. Hydrol. Process. 2007, 21, 1749–1763. [Google Scholar] [CrossRef]
- Hankin, B.; Burgess-Gamble, L.; Bentley, S.; Rose, S. How to Map and Model Catchment Processes When Flood Risk Management Planning: Project SC120015/RI; Environment Agency: Bristol, UK, 2016. Available online: https://www.gov.uk/flood-and-coastal-erosion-risk-management-research-reports/how-to-model-and-map-catchment-processes-when-flood-risk-management-planning (accessed on 21 November 2022).
- Meire, D.; De Doncker, L.; Declercq, F.; Buis, K.; Troch, P.; Verhoeven, R. Modelling river-floodplain interaction during flood propagation. Nat Hazards 2010, 55, 111–121. [Google Scholar] [CrossRef]
- Nicholson, A.R.; Wilkinson, M.E.; O’Donnell, G.M.; Quinn, P.F. Runoff attenuation features: A sustainable flood mitigation strategy in the Belford catchment, UK. Area 2012, 44, 463–469. [Google Scholar] [CrossRef]
- Blanc, J.; Wright, G.; Arthur, S. Natural Flood Management Knowledge System: Part 2—The Effect of NFM Features on the Desynchronising of Flood Peaks at a Catchment Scale; Centre of Expertise for Waters: Edinburgh, Scotland, 2012; Available online: https://www.crew.ac.uk/sites/www.crew.ac.uk/files/sites/default/files/publication/CREW%20NFM%20Project%20-%20Task%202%20-%20Desync%20Peaks%20-%20FINAL.doc_.pdf (accessed on 21 November 2022).
- Reaney, S.; Pearson, C. Spatial Targeting of Natural Flood Risk Management within Large River Catchments: A Nested Approach of SCIMAP-Flood and CRUM3; Durham University: Durham, UK, 2014. [Google Scholar]
- Pattinson, I.S.; Lane, S.N.; Hardy, R.J.; Reaney, S.M. The role of tributary relative timing and sequencing in controlling large floods. Water Resour. Res. 2014, 50, 5444–5458. [Google Scholar] [CrossRef]
- Short, C.; Clarke, L.; Carnelli, F.; Uttley, C.; Smith, B. Capturing the multiple benefits associated with nature-based solutions: Lessons from a natural flood management project in the Cotswolds, UK. Land Degrad. Dev. 2018, 30, 241–252. [Google Scholar] [CrossRef]
- Owen, G.J. An Assessment of the Potential for Natural Flood Management and Land Management Practices to Mitigate Flooding in Catchments. Ph.D. Thesis, Newcastle University, Newcastle upon Tyne, UK, 2016. [Google Scholar]
- Nicholson, A.R.; O’Donnell, G.M.; Wilkinson, M.E.; Quinn, P.F. The potential of runoff attenuation features as a natural flood management approach. J. Flood Risk Manag. 2020, 13, e12565. [Google Scholar] [CrossRef]
- Niehoff, D.; Fritsch, U.; Bronstert, A. Land-use impacts on storm runoff generation: Scenarios of land-use change and simulation of hydrological response in a meso-scale catchment in SW-Germany. J. Hydrol. 2002, 267, 80–93. [Google Scholar] [CrossRef]
- Bulygina, N.; McIntyre, N.; Wheater, H. Conditioning rainfall-runoff model parameters for ungauged catchments and land management impacts analysis. Hydrol Earth Syst Sci. 2009, 13, 893–904. [Google Scholar] [CrossRef]
- Jackson, B.M.; Wheater, H.S.; McIntyre, N.R.; Chell, J.; Francis, O.J.; Frogbrook, Z.; Solloway, I. The impact of upland land management on flooding: Insights from a multiscale experimental and modelling programme. J. Flood Risk Manag. 2008, 1, 71–80. [Google Scholar] [CrossRef]
- National Trust; Environment Agency; Penny Anderson Associates; JBA Consulting. From Source to Sea—Natural Flood Management: The Holnicote Experience; National Trust: Swindon, UK, 2015. [Google Scholar]
- Reed, J.; Thomas, T. Case Study 21. Lustrum Beck Flood Alleviation Scheme: Phase 2. Available online: https://www.therrc.co.uk/sites/default/files/projects/21_lustrum.pdf (accessed on 21 November 2022).
- Chisholm, A. A Mature Oak Will Drink 50 Gallons of Water a Day. In Tree News Spring 2014; Think Publishing: London, UK.
- Newman, S.; Pilbeam, D.; Briggs, S. Agroforestry in the UK. In Temperate Agroforestry Systems, 2nd ed.; Gordon, A., Newman, S., Coleman, B., Eds.; CABI: Boston, MA, USA, 2017; pp. 72–97. [Google Scholar]
- Environment Agency. Risk Assessment of Flood and Coastal Defence Systems for Strategic Planning No. W5B-030/TR; Environment Agency: Bristol, UK, 2005. [Google Scholar]
- O’Connell, P.E.; Beven, K.J.; Carney, J.N.; Clements, R.O.; Ewen, J.; Fowler, H.; Harris, G.L.; Hollis, J.; Morris, J.; O’Donnell, G.M.; et al. Review of Impacts of Rural Land Use and Management on Flood Generation; Impact Study Report No. FD2114/TR; Department for Environment, Food and Rural Affairs: London, UK, 2004. [Google Scholar]
- UNESCO. Ecohydrology. Available online: https://en.unesco.org/themes/water-security/hydrology/ecohydrology (accessed on 21 November 2022).








| Design Storms—Annual Exceedance Probabilities (AEPs) | ||||
|---|---|---|---|---|
| 1% + 35% * | 1% | 3.3% | QMED ** (50%) | |
| Total rainfall (mm) | 137.30 | 101.73 | 63.42 | 29.54 |
| NFM Feature | Modelled Representation |
|---|---|
| Woodlands (including hedgerows) ** | Increased floodplain roughness—0.15 n value |
| Online storage | Online storage unit * |
| Offline storage | Reservoir unit * |
| Leaky barriers | Increased channel roughness—0.15 n value |
| River and floodplain restoration | Reservoir unit *, alter digital terrain model (DTM) + channel network |
| Track drainage alteration ** | Junction function in the 1D network to divert |
| Buffer strips | Increased floodplain roughness—0.075 n value |
| Soil aeration, winter crops and zero tillage | Increased floodplain roughness—0.050 n value |
| Swales, ponds, bunds and sediment traps ** | Edit DTM for runoff attenuation features (RAF) |
| Cherington | Brailes | Blockley | Campden | Compton | All | Shipston | |
|---|---|---|---|---|---|---|---|
| Nash–Sutcliffe | 0.72 | 0.78 | 0.69 | 0.54 | 0.70 | 0.65 | 0.84 |
| RMSE (±) | 0.041 | 0.039 | 0.089 | 0.108 | 0.068 | 0.092 | 0.026 |
Publisher’s Note: MDPI stays neutral with regard to jurisdictional claims in published maps and institutional affiliations. |
© 2022 by the authors. Licensee MDPI, Basel, Switzerland. This article is an open access article distributed under the terms and conditions of the Creative Commons Attribution (CC BY) license (https://creativecommons.org/licenses/by/4.0/).
Share and Cite
Lavers, T.; Charlesworth, S.M.; Lashford, C.; Warwick, F.; Fried, J. The Performance of Natural Flood Management at the Large Catchment-Scale: A Case Study in the Warwickshire Stour Valley. Water 2022, 14, 3836. https://doi.org/10.3390/w14233836
Lavers T, Charlesworth SM, Lashford C, Warwick F, Fried J. The Performance of Natural Flood Management at the Large Catchment-Scale: A Case Study in the Warwickshire Stour Valley. Water. 2022; 14(23):3836. https://doi.org/10.3390/w14233836
Chicago/Turabian StyleLavers, Tom, Susanne M. Charlesworth, Craig Lashford, Frank Warwick, and Jana Fried. 2022. "The Performance of Natural Flood Management at the Large Catchment-Scale: A Case Study in the Warwickshire Stour Valley" Water 14, no. 23: 3836. https://doi.org/10.3390/w14233836
APA StyleLavers, T., Charlesworth, S. M., Lashford, C., Warwick, F., & Fried, J. (2022). The Performance of Natural Flood Management at the Large Catchment-Scale: A Case Study in the Warwickshire Stour Valley. Water, 14(23), 3836. https://doi.org/10.3390/w14233836

