Trace Element Compositions and Water Quality Assessment in the Angara River Source (Baikal Region, Russia)
Abstract
1. Introduction
2. Materials and Methods
2.1. Study Site
2.2. Sampling Method
2.3. Analysis Method
2.4. Pollution Indices
3. Results and Discussion
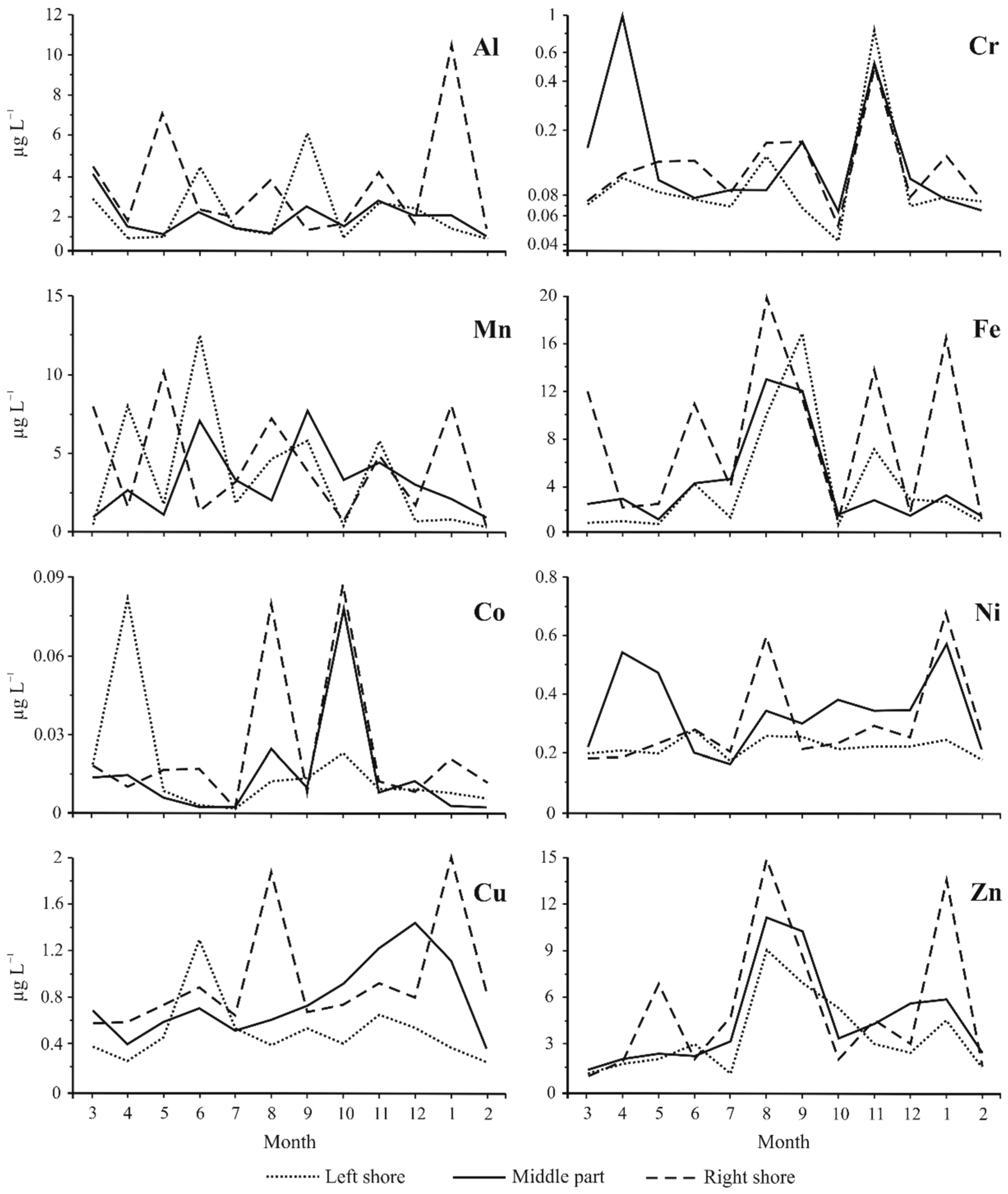
3.1. Spatial-Temporal Characteristics of Water Trace Element Composition
3.2. Natural and Anthropogenic Factors Influencing Water Hydrochemical Characteristics
3.2.1. Lake Baikal
3.2.2. Seasonal Variations in Trace Elements
3.2.3. Anthropogenic Sources of Trace Elements
3.3. Correlation Analysis
3.4. Pollution Assessment on Surface Water
4. Conclusions
Supplementary Materials
Author Contributions
Funding
Data Availability Statement
Acknowledgments
Conflicts of Interest
References
- Hussain, J.; Dubey, A.; Hussain, I.; Arif, M.; Shankar, A. Surface water quality assessment with reference to trace metals in River Mahanadi and its tributaries, India. Appl. Water Sci. 2020, 10, 193. [Google Scholar] [CrossRef]
- Sacdal, R.; Montano, M.P.; Espino, M.P. Heavy metals in surface waters of Laguna de Bay, Philippines: Current levels and trends. Limnology 2022, 23, 253–264. [Google Scholar] [CrossRef]
- Ciesielski, T.M.; Pastukhov, M.V.; Leeves, S.A.; Farkas, J.; Lierhagen, S.; Poletaeva, V.I.; Jenssen, B.M. Differential bioaccumulation of potentially toxic elements in benthic and pelagic food chains in Lake Baikal. Environ. Sci. Pollut. Res. 2016, 23, 15593–15604. [Google Scholar] [CrossRef] [PubMed]
- Ngo, H.T.T.; Tran, L.A.T.; Nguyen, D.Q.; Nguyen, T.T.H.; Le, T.T.; Gao, Y. Metal Pollution and Bioaccumulation in the Nhue-Day River Basin, Vietnam: Potential Ecological and Human Health Risks. Int. J. Environ. Res. Public Health 2021, 18, 13425. [Google Scholar] [CrossRef] [PubMed]
- Rahman, M.S.; Akther, S.; Ahmed, A.S.; Saha, N.; Rahman, L.S.; Ahmed, M.K.; Arai, T.; Idris, A.M. Distribution and source apportionment of toxic and trace elements in some benthic and pelagic coastal fish species in Karnaphuli River Estuary, Bangladesh: Risk to human health. Mar. Pollut. Bull. 2022, 183, 114044. [Google Scholar] [CrossRef]
- Rolón, E.; Avigliano, E.; Rosso, J.J.; Tripodi, P.; Bavio, M.; Bidone, C.; Volpedo, A.V. Metals and metalloids in a first order stream of the Atlantic rainforest: Abiotic matrices, bioaccumulation in fishes and human health risk assessment. J. Trace Elem. Med. Biol. 2021, 68, 126866. [Google Scholar] [CrossRef]
- Kumari, P.; Maiti, S.K. Metal(loid) contamination in water, sediment, epilithic periphyton and fish in three interconnected ecosystems and health risk assessment through intake of fish cooked in Indian style. Environ. Sci. Pollut. Res. 2020, 27, 41914–41927. [Google Scholar] [CrossRef]
- Lomonosov, I.S.; Yanovsky, L.M.; Brukhanova, N. Major water quality indicators in Pribaikalye and their influence on man (Report 1). Sib. Med. J. 2009, 86, 110–113. (In Russian) [Google Scholar]
- Vetrov, V.A.; Kuznetsova, A.I.; Sklyarova, O.A. Baseline levels of chemical elements in the water of Lake Baikal. Geogr. Nat. Resour. 2013, 34, 228–238. [Google Scholar] [CrossRef]
- Grebenshchikova, V.I.; Kuzmin, M.I.; Doroshkov, A.A.; Proydakova, O.A.; Tsydypova, S.B. The cyclicity in the changes in the chemical composition of the water source of the Angara River (Baikal Stock) in 2017–2018 in comparison with the last 20 years of data. Environ. Monit. Assess. 2019, 191, 728. [Google Scholar] [CrossRef]
- Khodzher, T.V.; Domysheva, V.M.; Sorokovikova, L.M.; Sakirko, M.V.; Tomberg, I.V. Current chemical composition of Lake Baikal water. Inland Waters 2017, 7, 250–258. [Google Scholar] [CrossRef]
- Koval, P.V.; Udodov, Y.N.; Andrulaitis, L.D.; Gapon, A.E.; Sklyarova, O.A.; Chernigova, S.E. Hydrochemical characteristics of Lake Baikal surface runoff (1997–2003). Dokl. Earth Sci. 2005, 401, 663–667. [Google Scholar]
- Koval, P.V.; Udodov, Y.N.; Andrulaitis, L.D.; San’kov, V.A.; Gapon, A.E. Mercury in the source of the angara river: Fiver-year concentration trend and possible reasons of its variations. Dokl. Earth Sci. 2003, 389, 282–285. [Google Scholar]
- Poletaeva, V.I.; Pastukhov, M.V.; Tirskikh, E.N. Dynamics of Trace Element Composition of Bratsk Reservoir Water in Different Periods of Anthropogenic Impact (Baikal Region, Russia). Arch. Environ. Contam. Toxicol. 2021, 80, 531–545. [Google Scholar] [CrossRef] [PubMed]
- Poletaeva, V.I.; Tirskikh, E.N.; Pastukhov, M.V. Hydrochemistry of sediment pore water in the Bratsk reservoir (Baikal region, Russia). Sci. Rep. 2021, 11, 11124. [Google Scholar] [CrossRef] [PubMed]
- Singh, N.; Sharma, N.; Katnoria, J.K. Monitoring of Water Pollution and Its Consequences: An Overview. Int. J. Environ. Chem. Ecol. Geol. Geophys. Eng. 2014, 8, 133–141. [Google Scholar]
- Zait, R.; Sluser, B.; Fighir, D.; Plavan, O.; Teodosiu, C. Priority Pollutants Monitoring and Water Quality Assessment in the Siret River Basin, Romania. Water 2022, 14, 129. [Google Scholar] [CrossRef]
- Decree of the Government of the Irkutsk Region Dated as 20.10.2017 No. 681-пп. Available online: http://publication.pravo.gov.ru/Document/View/3800201710270001?index=0&rangeSize=1&ysclid=l9xlrvg21o798477361 (accessed on 10 October 2022).
- Glazunov, I.V. Hydrochemical regime and chemical flow of the Angara River. In Hydrochemical Studies of Lake Baikal; Galaziy, G.I., Ed.; Publishing House of the USSR Academy of Sciences: Moscow, Russia, 1963; pp. 57–95. (In Russian) [Google Scholar]
- Galaziy, G.I. Baikal in Questions and Answers; East-Siberian Book Publishing House: Irkutsk, Russia, 1987; 383p. (In Russian) [Google Scholar]
- Hakanson, L. Ecological risk index for aquatic pollution control—A sedimentological approach. Water Resour. 1980, 14, 975–1001. [Google Scholar] [CrossRef]
- Li, L.; Wu, J.; Lu, J.; Li, K.; Zhang, X.; Min, X.; Gao, C.; Xu, J. Water quality evaluation and ecological-health risk assessment on trace elements in surface water of the northeastern Qinghai-Tibet Plateau. Ecotoxicol. Environ. Saf. 2022, 241, 113775. [Google Scholar] [CrossRef]
- Tomlinson, D.L.; Wilson, J.G.; Harris, C.R.; Jeffrey, D.W. Problem in the assessment of heavy metals level in estuaries and the formation of a pollution index. Helgol. Meeresunters. 1980, 33, 566–575. [Google Scholar] [CrossRef]
- Alieva, V.I.; Grebenshchikova, V.I.; Zagorulʹko, N.A. Long-term monitoring and modern methods for studying the microelement composition of the waters of the Angara River. Eng. Ecol. 2011, 3, 24–34. (In Russian) [Google Scholar]
- Sklyarova, O.A. Distribution of trace elements in the water column of middle Baikal. Geogr. Nat. Resour. 2011, 32, 34–39. [Google Scholar] [CrossRef]
- SanPiN 2.1.4.1074-01. Drinking Water. Hygienic Requirements for Water Quality of Centralized Drinking Water Supply Systems. Quality Control. Hygienic Requirements for Provision of Safety of Hot Water Supply Systems. Available online: https://eng-eco.ru/upload/iblock/f62/f62518fef27847ef31fcc40c3543b2a5.pdf?ysclid=la3vlohsvo290255052 (accessed on 10 October 2022).
- Kasimov, N.S.; Lychagin, M.Y.; Chalov, S.R.; Shinkareva, G.L.; Pashkina, M.P.; Romanchenko, A.O.; Promakhova, E.V. Catchment based analysis of matter flows in the Selenga-Baikal system. Mosc. Univ. Bull. Ser. 5 Geogr. 2016, 3, 67–80. (In Russian) [Google Scholar]
- Giri, S.; Singh, A.K. Assessment of Surface Water Quality Using Heavy Metal Pollution Index in Subarnarekha River, India. Water Qual. Expo. Health 2014, 5, 173–182. [Google Scholar] [CrossRef]
- Varol, M. Arsenic and trace metals in a large reservoir: Seasonal and spatial variations, source identification and risk assessment for both residential and recreational users. Chemosphere 2019, 228, 1–8. [Google Scholar] [CrossRef] [PubMed]
- Simonov, V.G. (Ed.) Resources of Surface Waters of the USSR; Angara-Yenisei Region; Gidrometeoizdat: Leningrad, Russia, 1972; 594p. [Google Scholar]
- Varol, M. Dissolved heavy metal concentrations of the Kralkızı, Dicle and Batman dam reservoirs in the Tigris River basin, Turkey. Chemosphere 2013, 93, 954–962. [Google Scholar] [CrossRef]
- Kalaivani, T.R.; Dheenadayalan, M.S. Seasonal fluctuation of Heavy Metal Pollution in Surface water. Int. Res. J. Environ. Sci. 2013, 2, 66–73. [Google Scholar]
- An, Q.; Wu, Y.; Wang, J.; Li, Z. Assessment of dissolved heavy metal in the Yangtze River estuary and its adjacent sea, China. Environ. Monit. Assess. 2010, 164, 173–187. [Google Scholar] [CrossRef]
- Jeong, H.; Choi, J.Y.; Lim, J.; Shim, W.J.; Kim, Y.O.; Ra, K. Characterization of the contribution of road deposited sediments to the contamination of the close marine environment with trace metals: Case of the port city of Busan (South Korea). Mar. Pollut. Bull. 2020, 161, 111717. [Google Scholar] [CrossRef]
- Gunawardana, C.; Goonetilleke, A.; Egodawatta, P.; Dawes, L.; Kokot, S. Source characterisation of road dust based on chemical and mineralogical composition. Chemosphere 2012, 87, 163–170. [Google Scholar] [CrossRef]
- Wang, Q.; Zhang, Q.; Wu, Y.; Wang, X.C. Physicochemical conditions and properties of particles in urban runoff and rivers: Implications for runoff pollution. Chemosphere 2017, 173, 318–325. [Google Scholar] [CrossRef] [PubMed]
- Suturin, A.N.; Chebykin, E.P.; Malnik, V.V.; Khanaev, I.V.; Minaev, A.V.; Minaev, V.V. The role of anthropogenic factors in the development of ecological stress in Lake Baikal littoral (the Listvyanka settlement lakescape). Geogr. I Prir. Resur. 2016, 6, 43–54. (In Russian) [Google Scholar]
- Vorobyeva, I.B.; Naprasnikova, E.V.; Vlasova, N.V. Ecological and geochemical features of snow, ice and under-ice water in the southern part of Lake Baikal. Geoekologiya Inzheneraya Geol. Gidrogeol. Geokriol. 2009, 1, 54–60. (In Russian) [Google Scholar]
- Yanchuk, M.S.; Vorobyova, I.B.; Vlasova, N.V. Geoecological assessment of snow and ice on the southern coast of the Baikal Lake. Proc. Voronezh State Univ. Ser. Geogr. Geoecol. 2021, 3, 59–68. [Google Scholar] [CrossRef]
- Belozertseva, I.A.; Vorobyeva, I.B.; Vlasova, N.V.; Lopatina, D.N.; Yanchuk, M.S. Snow pollution in Lake Baikal water area in nearby land areas. Water Resour. 2017, 44, 471–484. [Google Scholar] [CrossRef]
- Soroldoni, S.; Castro, Í.B.; Abreu, F.; Duarte, F.A.; Choueri, R.B.; Möller, O.O., Jr.; Fillmann, G.; Pinho, G.L.L. Antifouling paint particles: Sources, occurrence, composition and dynamics. Water Res. 2018, 137, 47–56. [Google Scholar] [CrossRef] [PubMed]
- Sippula, O.; Hokkinen, J.; Puustinen, H.; Yli-Pirilä, P.; Jokiniemi, J. Comparison of particle emissions from small heavy fuel oil and wood-fired boilers. Atmos. Environ. 2009, 43, 4855–4864. [Google Scholar] [CrossRef]
- Jang, H.N.; Seo, Y.C.; Lee, J.H.; Hwang, K.W.; Yoo, J.I.; Sok, C.H.; Kim, S.H. Formation of fine particles enriched by V and Ni from heavy oil combustion: Anthropogenic sources and drop-tube furnace experiments. Atmos. Environ. 2007, 41, 1053–1063. [Google Scholar] [CrossRef]
- Pikovsky, Y.I. Natural and Technogenic Flows of Hydrocarbons in the Environment; MSU Publishing House: Moscow, Russia, 1993; 207p. (In Russian) [Google Scholar]
- Hutton, M.; Symon, C. The quantities of cadmium, lead, mercury and arsenic entering the U.K. environment from human activities. Sci. Total Environ. 1986, 57, 129–150. [Google Scholar] [CrossRef]
- Wang, X.; Liu, L.; Zhao, L.; Xu, H.; Zhang, X. Assessment of dissolved heavy metals in the Laoshan Bay, China. Mar. Pollut. Bull. 2019, 149, 110608. [Google Scholar] [CrossRef]
- Caballero-Gallardo, K.; Alcala-Orozco, M.; Barraza-Quiroz, D.; De la Rosa, J.; Olivero-Verbel, J. Environmental risks associated with trace elements in sediments from Cartagena Bay, an industrialized site at the Caribbean. Chemosphere 2020, 242, 125173. [Google Scholar] [CrossRef]
- Obhođaš, J.; Valković, V. Contamination of the coastal sea sediments by heavy metals. Appl. Radiat. Isot. 2010, 68, 807–811. [Google Scholar] [CrossRef] [PubMed]
- Godson, P.S.; Magesh, N.S.; Peter, T.S.; Chandrasekar, N.; Krishnakumar, S.; Vincent, S.G.T. A baseline study on the concentration of trace elements in the surface sediments off Southwest coast of Tamil Nadu, India. Mar. Pollut. Bull. 2018, 126, 381–388. [Google Scholar] [CrossRef] [PubMed]
- Prygiel, E.; Billon, G.; François, A.; Dumoulin, D.; Chaumot, A.; Geffard, O.; Criquet, J.; Prygiel, J. Active biomonitoring for assessing effects of metal polluted sediment resuspension on gammarid amphipods during fluvial traffic. Environ. Pollut. 2016, 218, 129–139. [Google Scholar] [CrossRef] [PubMed]
- Tian, Y.; Wen, Z.; Cheng, M.; Xu, M. Evaluating the water quality characteristics and tracing the pollutant sources in the Yellow River Basin, China. Sci. Total Environ. 2022, 846, 157389. [Google Scholar] [CrossRef] [PubMed]
- Moiseyenko, T.I.; Gashev, S.N.; Shalabodov, A.D. Water quality and ecosystem stability: Theoretical and practical aspects of research. Tyumen State Univ. Her. 2012, 12, 4–13. [Google Scholar]







| Al | Cr | Mn | Fe | Co | Ni | Cu | Zn | References | ||
|---|---|---|---|---|---|---|---|---|---|---|
| Source of the Angara River | Left shore | 2.19 ± 1.63 * | 0.15 ± 0.22 | 3.49 ± 3.93 | 4.22 ± 4.93 | 0.020 ± 0.023 | 0.22 ± 0.03 | 0.49 ± 0.28 | 3.47 ± 2.52 | Present study |
| 0.90–6.09 | <DL–0.80 | 0.16–12.57 | 0.88–16.90 | <DL–0.082 | 0.17–0.28 | 0.23–1.29 | 1.07–9.09 | |||
| Middle part | 1.99 ± 0.91 | 0.21 ± 0.28 | 3.10 ± 2.28 | 1.18 ± 13.05 | 0.022 ± 0.024 | 0.34 ± 0.13 | 0.77 ± 0.34 | 4.51 ± 3.22 | ||
| 1.05–4.22 | 0.06–1.00 | 0.71–7.69 | 4.25–4.03 | 0.007–0.079 | 0.16–0.57 | 0.34–1.43 | 1.32–11.14 | |||
| Right shore | 3.72 ± 2.89 | 0.15 ± 0.12 | 4.54 ± 3.35 | 8.79 ± 6.63 | 0.028 ± 0.029 | 0.30 ± 0.17 | 0.83 ± 0.58 | 5.75 ± 4.83 | ||
| 1.34–10.58 | 0.05–0.49 | 0.50–10.21 | 1.14–19.84 | <DL–0.087 | 0.18–0.68 | 0.29–2.10 | 0.90–15.05 | |||
| Median | 1.86 | 0.08 | 2.72 | 2.96 | 0.013 | 0.24 | 0.56 | 3.02 | ||
| Source of the Angara River | <DL–24.23 * 3.89 | 0.05–0.61 0.12 | <DL–18.8 2.93 | <DL–117.0 18.8 | <DL–0.047 0.011 | 0.09–0.78 0.25 | 0.13–2.52 0.62 | <DL–11.13 2.11 | [24] | |
| Middle Baikal | 0.34–1.15 | 0.07 | 0.06–0.33 | 0.26–1.12 | 0.003 | 0.14 | 0.16–0.25 | 0.24–0.56 | [25] | |
| Lake Baikal | 0.1–1.0 0.38 | 0.03–0.09 0.07 | 0.01–0.53 0.13 | 0.1–1.6 0.38 | 0.002–0.005 0.003 | 0.1–0.5 0.2 | 0.2–1.0 0.21 | 0.4–4.3 3.2 | [9] | |
| MPC | 500 | 50 | 100 | 300 | 100 | 100 | 1000 | 5000 | [26] | |
| As | Cd | Sn | Cs | Tl | Pb | Th | U | References | ||
| Source of the Angara River | Left shore | 0.40 ± 0.06 | 0.023 ± 0.008 | 0.024 ± 0.017 | 0.0025 ± 0.0022 | 0.0015 ± 0.0012 | 0.22 ± 0.40 | 0.0007 ± 0.0002 | 0.53 ± 0.04 | Present study |
| 0.30–0.50 | 0.012–0.039 | <DL–0.053 | 0.0010–0.0079 | 0.0008–0.0052 | 0.02–1.34 | <DL–0.0010 | 0.47–0.60 | |||
| Middle part | 0.42 ± 0.11 | 0.024 ± 0.007 | 0.024 ± 0.007 | 0.0020 ± 0.0015 | 0.0025 ± 0.0025 | 0.26 ± 0.42 | 0.0009 ± 0.0002 | 0.53 ± 0.04 | ||
| 0.25–0.65 | 0.014–0.039 | <DL–0.054 | 0.0010–0.0060 | 0.0008–0.0081 | <DL–1.15 | <DL–0.0011 | 0.44–0.63 | |||
| Right shore | 0.39 ± 0.07 | 0.032 ± 0.028 | 0.024 ± 0.015 | 0.0026 ± 0.0026 | 0.0015 ± 0.0006 | 0.34 ± 0.42 | 0.0052 ± 0.0104 | 0.52 ± 0.04 | ||
| 0.29–0.52 | 0.015–0.113 | <DL–0.053 | 0.0012–0.0100 | 0.0007–0.0025 | <DL–1.13 | <DL–0.0265 | 0.48–0.59 | |||
| Median | 0.40 | 0.022 | 0.012 | 0.0016 | 0.0013 | 0.08 | 0.0005 | 0.53 | ||
| Source of the Angara River | <DL–0.98 0.46 | <DL–0.024 0.011 | <DL–0.160 0.028 | 0.0009–0.0036 0.0016 | <DL–0.182 0.0370 | <DL–0.29 0.05 | <DL–0.065 0.0014 | 0.09–0.76 0.58 | [24] | |
| Middle Baikal | 0.40–0.41 | 0.008 | <0.011 | 0.0017 | 0.0004 | 0.010–0.036 | 0.0006 | 0.52 | [25] | |
| Lake Baikal | 0.3–0.5 0.40 | 0.001–0.010 0.008 | <0.01–0.04 <0.01 | 0.002–0.008 0.0013 | 0.0005–0.0010 ≤0.0005 | <0.02 | 0.002–0.020 0.004 | 0.4–0.7 0.55 | [9] | |
| MPC | 50 | 1 | – | – | 0.1 | 30 | – | – | [26] | |
| Element | Left Shore | Middle Part | Right Shore |
|---|---|---|---|
| Al | 0.5–3.3 * | 0.6–2.3 | 0.6–5.7 |
| Cr | 0.5–10.0 | 0.8–12.6 | 0.6–6.1 |
| Mn | 0.1–4.6 | 0.3–2.8 | 0.0–3.8 |
| Fe | 0.3–5.7 | 0.4–4.4 | 0.4–6.7 |
| Co | 0.5–6.3 | 0.1–6.1 | 0.1–6.7 |
| Ni | 0.7–1.2 | 0.7–2.4 | 0.8–2.8 |
| Cu | 0.4–2.3 | 0.6–2.6 | 0.5–3.7 |
| Zn | 0.4–3.0 | 0.4–3.7 | 0.3–5.0 |
| As | 0.7–1.3 | 0.6–1.6 | 0.7–1.6 |
| Cd | 0.5–1.8 | 0.6–1.8 | 0.7–5.1 |
| Sn | 0.0–4.4 | 0.2–4.5 | 0.1–4.4 |
| Cs | 0.6–4.9 | 0.7–3.8 | 0.7–6.3 |
| Tl | 0.6–4.0 | 0.6–6.2 | 0.5–1.9 |
| Pb | 0.2–16.8 | 0.2–14.4 | 0.1–14.1 |
| Th | 0.5–2.0 | 0.1–2.1 | 0.2–53.0 |
| U | 0.9–1.1 | 0.8–1.2 | 0.9–1.2 |
Publisher’s Note: MDPI stays neutral with regard to jurisdictional claims in published maps and institutional affiliations. |
© 2022 by the authors. Licensee MDPI, Basel, Switzerland. This article is an open access article distributed under the terms and conditions of the Creative Commons Attribution (CC BY) license (https://creativecommons.org/licenses/by/4.0/).
Share and Cite
Poletaeva, V.I.; Pastukhov, M.V.; Dolgikh, P.G. Trace Element Compositions and Water Quality Assessment in the Angara River Source (Baikal Region, Russia). Water 2022, 14, 3564. https://doi.org/10.3390/w14213564
Poletaeva VI, Pastukhov MV, Dolgikh PG. Trace Element Compositions and Water Quality Assessment in the Angara River Source (Baikal Region, Russia). Water. 2022; 14(21):3564. https://doi.org/10.3390/w14213564
Chicago/Turabian StylePoletaeva, Vera I., Mikhail V. Pastukhov, and Pavel G. Dolgikh. 2022. "Trace Element Compositions and Water Quality Assessment in the Angara River Source (Baikal Region, Russia)" Water 14, no. 21: 3564. https://doi.org/10.3390/w14213564
APA StylePoletaeva, V. I., Pastukhov, M. V., & Dolgikh, P. G. (2022). Trace Element Compositions and Water Quality Assessment in the Angara River Source (Baikal Region, Russia). Water, 14(21), 3564. https://doi.org/10.3390/w14213564

