Abstract
Driving into floodwater is a leading cause of fatal and non-fatal drowning during times of flood. The present research aimed to understand drivers’ beliefs and intentions in relation to driving into floodwater caused by flash floods in an urban area (Newcastle City, Australia), using the theory of planned behavior as a framework. The study (N = 217) used a survey-based design to identify the psychological processes (attitude, subjective norm, perceived behavioral control, planning, moral norm) underpinning drivers’ intention to avoid driving into floodwater in Newcastle; and to concurrently investigate the potential effects of a brief planning intervention on drivers’ willingness to drive into floodwater in Newcastle. The structural equation model explained 49% of the variance in intention to avoid driving into floodwater in Newcastle, with subjective norm, perceived behavioral control, and planning each significant independent predictors of drivers’ intention to avoid driving into urban floodwater in Newcastle. Paired samples t-tests revealed participants’ willingness to stay at their location and not drive if a flood alert was received, and willingness to drive into floodwater when there is perceived pressure from other drivers, significantly changed after a brief planning intervention. These findings can inform intervention targets and development of prevention strategies targeting personal mitigation measures, particularly in the context of driver behaviour during flash flooding in an urban area.
1. Introduction
Drowning is a leading cause of mortality and morbidity during floods [1], with flooding predicted to increase in frequency and severity due to the effects of climate change [2]. Driving into floodwater, commonly in personal motor vehicles, is one of the leading causes of fatal and non-fatal drowning during times of flood [3,4,5]. Beyond loss of life and personal injury, people driving into floodwater causes economic damage and places rescuers, such as the State Emergency Service (SES) in Australia, at risk [6]. Despite public awareness campaigns aimed at discouraging people from driving into floodwater [7,8], this risky behavior persists. With a third La Niña for 2021-2022 impacting Australia [9], and with flooding predicted to increase in frequency and severity because of climate change [10], lives will continue to be lost and rescuers placed at increased risk [6]. Concern around such incidents has been behind the national drowning prevention sector’s call for research into behaviors around floodwater in Australia [11].
Previous behavioral research has explored reasons behind driver willingness to drive into (and avoid driving into) floodwater [12,13], but has not explored this behavior specific to an urban context. The present research focused on the local government area (LGA) of Newcastle in the Australian state of New South Wales (NSW), a relatively large urban city with a population that exceeds 165,000 people [14]. Newcastle is regularly impacted by flooding as more than two thirds of the LGA is located on a coastal floodplain of the Hunter River. The LGA is subject to three types of flooding that include riverine, oceanic (from storm surge), and flash flooding [15,16]. Flood risk is compounded as some of the city’s upper catchments are steep, and intense rain can quickly turn into run off because much of the city is paved and impervious to water. The city was heavily impacted by the Pasha Storm in 2007, which saw many parts of the Newcastle city road network become quickly inundated with floodwater during a peak transit period, resulting in 5000 vehicles being written-off due to flood damage and numerous flood rescues being carried out by trained NSW SES volunteers, the police, and civilians [17]. To aid the Newcastle SES, and key decision makers in general who are responsible for flood prone urban areas, in understanding driver decisions in times of flood, the present research aimed to examine the social cognition factors that guide driver intentions to avoid driving into urban floodwater in Newcastle.
1.1. Theory of Planned Behavior
The theory of planned behavior (TPB) [18] is a social cognition model which has previously been applied to understand wide range of health and safety behaviors [19,20,21], including driver behavior around floodwater [12,13,22,23,24,25]. The TPB proposes intention as the proximal predictor of behavior, with intention predicted by attitude (global positive or negative evaluation or assessment of performing the behavior), subjective norm (perceived social pressures from significant others to perform a given behavior), and perceived behavioral control (perceived capacity and autonomy to carry out the behavior), with perceived behavioral control further hypothesized to moderate the intention-behavior relationship and have a direct effect on behavior.
Given the support for the TPB in general, as well as in the specific context of driving behaviors during flooding, the present study adopted the model to understand drivers’ intention to avoid driving into floodwater during urban flash flooding in the Newcastle City area. The base model (i.e., attitude, subjective norm, and perceived behavioral control) was conceptualized as per the original TPB proposed by Ajzen [18]. However, while meta-analytic evidence supports the use of the TPB in behavioral prediction [20] and researchers are attracted to the elegant parsimony of the model, it is not without limitations, including the substantive amount of variance in intentions and behavior remaining unaccounted for by model factors. It is therefore suggested that the model is flexible in including other potentially important, theoretically relevant factors that may improve the prediction of both intentions and behavior. Accordingly, in the present study, the TPB was augmented to include the additional constructs of moral norm and planning.
1.2. Moral Norm
Given the importance of normative influences in the prediction of individuals’ driving intentions [26,27], including in flood contexts [12,13,22], investigating additional normative components as modifications to the TPB seems useful to increase variance explained in particular behaviors. The TPB component of subjective norm, which is aimed at capturing the influence of social factors, does not explicitly encompass individuals’ beliefs regarding the moral obligations toward performing the target behavior [18]. Such beliefs might be important in the current context as driving into floodwater may affect the well-being of others (e.g., passengers, rescuers) or society at large (e.g., insurance claims, litigation). Thus, people’s rationale for avoiding driving into floodwater may, in part, be out of moral obligation to those who might incur consequences if the driver decided to drive through. It seems reasonable, therefore, that moral norm would be a likely determinant of individuals’ intentions to avoid driving through floodwater in this context.
1.3. Planning
Research has shown that behavioral action is more likely when individuals make plans to enact a target behavior [28,29,30]. Planning involves specifying the situational context in which an individual will act to ensure behavioral performance is successfully achieved. For example, “If I approach a section of road that is flooded, then I will pull off to the side and turn around”. The context (If I approach a section of road that is flooded) provides the cue that is proposed to trigger the behavior (then, I will pull off to the side and turn around). Making plans, therefore, requires mental representation of how to achieve a future outcome that allows one to mentally link the intended behavior with the context for its enactment [30,31]. Research supports the use of plans in encouraging desired behavior [32,33]. Despite this empirical evidence, current Australian campaigns promote the formation of alternate plans (e.g., “If its flooded forget it”–Make a plan). However, these campaigns do not provide drivers with adequate instructions or tools for creating effective plans. This is particularly important given the effect of planning for subsequent intended behavior may be dependent on the skill of the planner and the quality of the plan [34]. Taken together, this suggests that it might be useful to equip people with the skills to create ‘if-then’ plans (i.e., implementation intentions) [31], for example: “IF the road I normally take home is flooded, THEN I will wait at my workplace until the flooding subsides.” Such initiatives have demonstrated effectiveness at improving safe driver behavior across different situations [32,33]. Furthermore, linking the intention to a situational context (e.g., a flooded road) or an environmental cue (e.g., severe rain) is expected to strengthen the effectiveness of if-then plans.
The present research aimed to understand Newcastle drivers’ beliefs and intentions in relation to driving into urban floodwater due to flash flooding in the Newcastle City area, to gain a comprehensive understanding of drivers’ decision making when urban floodwater is encountered. The research draws on previous published work by the research team examining drivers’ experiences during floods and the psychological influences that underpin decisions to drive into (or avoid driving into) floodwater [13,22,23,24,25] and extends upon this by drawing on the research partners’ knowledge of the specific flood risks in the Newcastle City area to examine drivers’ intentions to avoid driving into floodwater in an urban context. Specifically, we explored the role of the TPB social cognitions (attitude, subjective norm, and perceived behavioral control) as well as moral norm and planning on drivers’ intentions to avoid driving into floodwater during urban flash flooding in the Newcastle area.
Furthermore, we investigated the potential effects of a brief ‘If-then’ planning approach on drivers’ willingness to drive into floodwater in Newcastle. Due to the risky nature of driving into floodwater during urban flash flooding, a measure of willingness was believed to be more appropriate than measuring individuals’ intent in the context of the brief planning intervention, as intentions may not fully account for the more impulsive and irrational nature of people’s actions [12].
2. Materials and Methods
2.1. Participants
Participants (N = 217, 57.1% women) were Australian adults with a driver’s license (open or provisional) living in the Newcastle LGA and its surrounding areas (36.9% lived in Newcastle LGA, 37.8% lived within 45-min of Newcastle central business district (CBD), 25.3% lived > 45-min from Newcastle CBD). Participants were recruited through KANTAR Inc., an Australian research panel company. The age of participants ranged from 18–86 years (M = 55, SD = 18). Most participants had full-time or part-time employment (48.0%) or were unemployed/attended to home duties in a full-time capacity (37.3%). The majority of participants had a greater than high-school-level education (74.6%), had English as their first language (93.5%), and did not have dependents under the age of 18-years (80.2%). It was estimated that a minimum sample size of 160 would be required to achieve adequate statistical power, based on the inverse square root method recommended for use with partial least squares-based structural equation modelling [35,36].
2.2. Design and Procedure
To explore the theoretical determinants of Newcastle drivers’ intention to avoid driving into urban floodwater, a cross-sectional correlational design was used with self-report measures of social cognitive variables (intention, attitude, subjective norm, perceived behavioral control, planning, moral norm) administered in a single online survey using the QualtricsTM survey tool. Participants were provided with an information sheet outlining study requirements, which included a consent form and instructions on how to complete the questionnaire. Approval for study procedures was granted prior to data collection from the Griffith University Human Research Ethics Committee (2021/102).
Prior to completing the measures, participants were provided with the following information: “The questions in this survey will ask about your beliefs and behaviors relating to driving into floodwater in Newcastle. ‘Floodwater’ refers to water that occurs with storms and heavy rain, when floodwater covers most or all of the driving lane or flows quickly over the road. This can occur during flash floods and can appear and disappear within hours. It can also occur as inundation of whole roadways for days after severe storms and major floods. We are not asking about smaller scale ponding, especially ponding that occurs outside of driving lanes and during fine weather. Please now imagine you are driving in your vehicle in Newcastle during or immediately after a flash flood. You approach a section of the road where floodwater covers all of the driving lane…” The message was accompanied by an image of a flooded road previously tested and validated in previous research [24], followed by the instructions “For the next questions, please think about driving into floodwater in Newcastle, keeping in mind the above scenario.”
A quasi-experimental design was used to concurrently explore the effect of plan formation on drivers’ willingness to engage in driving into floodwater in Newcastle. The ‘If-then’ planning intervention was administered at the end of the same online survey, where participants were presented with three scenarios: (1) “You approach a flooded section of road in your vehicle;” (2) “You have a trip planned, but you receive an alert to potential moderate or major flooding in Newcastle before you have started driving;” and (3) “You approach a flooded section of road, and you are being pressured by other cars to drive into the floodwater.” Participants were instructed to formulate ‘If-then’ plans to avoid driving into floodwater in each of the three scenarios. Their plans were recorded in text entry boxes that were preceded by the prompts “If… –where participants identified the specific scenario in which driving into floodwater road flooding scenario, and “then I will…”–where participants recorded how they would avoid driving into floodwater if that situation were encountered. Participants’ willingness to drive into floodwater in each of the three scenarios was measured at the beginning of the survey and again directly after the planning intervention.
2.3. Measures
Model constructs. Study measures were multi-item self-report measures of constructs based on published guidelines and measures used in previous studies [12,22,37,38]. Complete study measures for intention (i.e., intention to avoid driving into floodwater in Newcastle), attitude (i.e., attitude towards avoiding driving into floodwater in Newcastle), subjective norm (i.e., the extent to which important others would want them to avoid driving into floodwater and whether people similar to them would avoid driving into floodwater), perceived behavioral control (i.e., drivers’ perceptions of their control over avoiding driving into floodwater in Newcastle), planning (i.e., the extent to which participants planned to avoid driving into floodwater in Newcastle), moral norm (i.e., the extent to which participants viewed avoiding driving into floodwater in Newcastle as a moral obligation), and willingness (i.e., participants rated their willingness to drive into floodwater in each of the three scenarios presented in the planning intervention) are provided in Table 1.
Table 1.
Items and response scales for social cognitive construct measures.
Demographic variables. Participants self-reported their sex, age in years, postcode, employment status (full-time employed, part-time employed, full-time student, part-time student, unemployed), highest level of formal education in categories (completed junior school, completed senior (high) school, further education diploma, undergraduate degree, postgraduate degree), marital status (married registered, married de-facto, separated/divorced, widowed, never married), and whether they have dependents under the age of 18-years, operationalized as a binary variable (has dependents, does not have dependents). All demographic questions also included a response option of ‘I would prefer not to answer’.
2.4. Data Analysis
To examine the theoretical predictors of intention to avoid driving into floodwater in Newcastle, we specified direct effects of the social cognitive constructs (attitude, subjective norm, perceived behavioral control, planning, moral norm) on intention. We also controlled for effects of the following demographic variables age, sex, and number of dependents by specifying paths from each demographic variable to intention. Hypothesized relations among the social cognition constructs and intention to drive into floodwater were tested using variance-based partial least-squares structural equation modelling implemented in the WARP 7.0 analysis package. Model parameters and standard errors were computed using the ‘Stable3’ estimation method [36]. All constructs were latent variables indicated by multiple items, and missing data were imputed using stochastic hierarchical regression [36]. Model effects were estimated using standardized path coefficients with confidence intervals and test statistics. Effect sizes were estimated using an equivalent of Cohen’s f-square coefficient, with values of 0.02, 0.15, and 0.35 representing small, medium, and large effect sizes, respectively.
The effectiveness of the planning intervention at reducing willingness to drive into floodwater was tested using three separate paired-sample t-tests comparing participants’ willingness to drive into floodwater in each of the three flooding scenarios before (T1) and after (T2) the planning intervention. Descriptive statistics and paired-sample t-tests were conducted using SPSS V28. As the survey used a forced-response method, there were no missing data. Full details of the assumptions for the partial least squares structural equation model, data files and output of the analyses are available online: https://osf.io/jkq7f.
3. Results
The model exhibited adequate fit and quality indices. Factor loadings and average variance extracted (AVE) values exceeded recommended 0.700 and 0.500 cut-off values in all cases. Omega reliability coefficients, inter-item correlations (for two-item scales), and composite reliabilities indicated good internal consistency of scales used. Latent variable correlations among model constructs were mostly statistically significant ranged from small-to-large in size (−0.02–0.62). Square-roots of the AVE for each latent variable exceeded the correlation of that variable with all other latent variables, supporting discriminant validity. Goodness-of-fit and quality indices of the structural equation model are presented in Table 2. Means, standard deviations, alpha reliability coefficients, and intercorrelations among study variables are presented in Table 3.
Table 2.
Model quality and goodness-of-fit statistics for the structural equation model of intention to avoid driving into floodwater.
Table 3.
Descriptive statistics, alpha reliability coefficients, and zero-order correlations among study variables.
The structural equation model depicted in Figure 1 explained 49% of the variance in intention to avoid driving into floodwater in the Newcastle City area, with subjective norm, perceived behavioral control, and planning as significant predictors of intention to avoid driving into floodwater, after controlling for differences based on age, gender, and whether participants had dependents aged under 18-years. Standardized parameter estimates, confidence intervals, and effect sizes of the model effects are summarized in Table 4. Statistically significant parameter estimates for intention to avoid driving into floodwater in Newcastle are presented in Figure 1.
Figure 1.
Structural equation model predicting intention to avoid driving into floodwater ** p < 0.01.
Table 4.
Standardized path coefficients and variability statistics for the structural equation model of intention to avoid driving into floodwater.
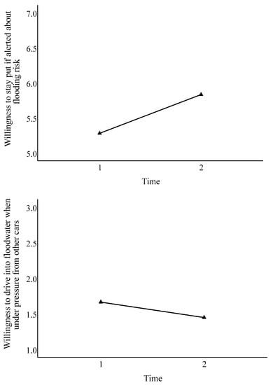
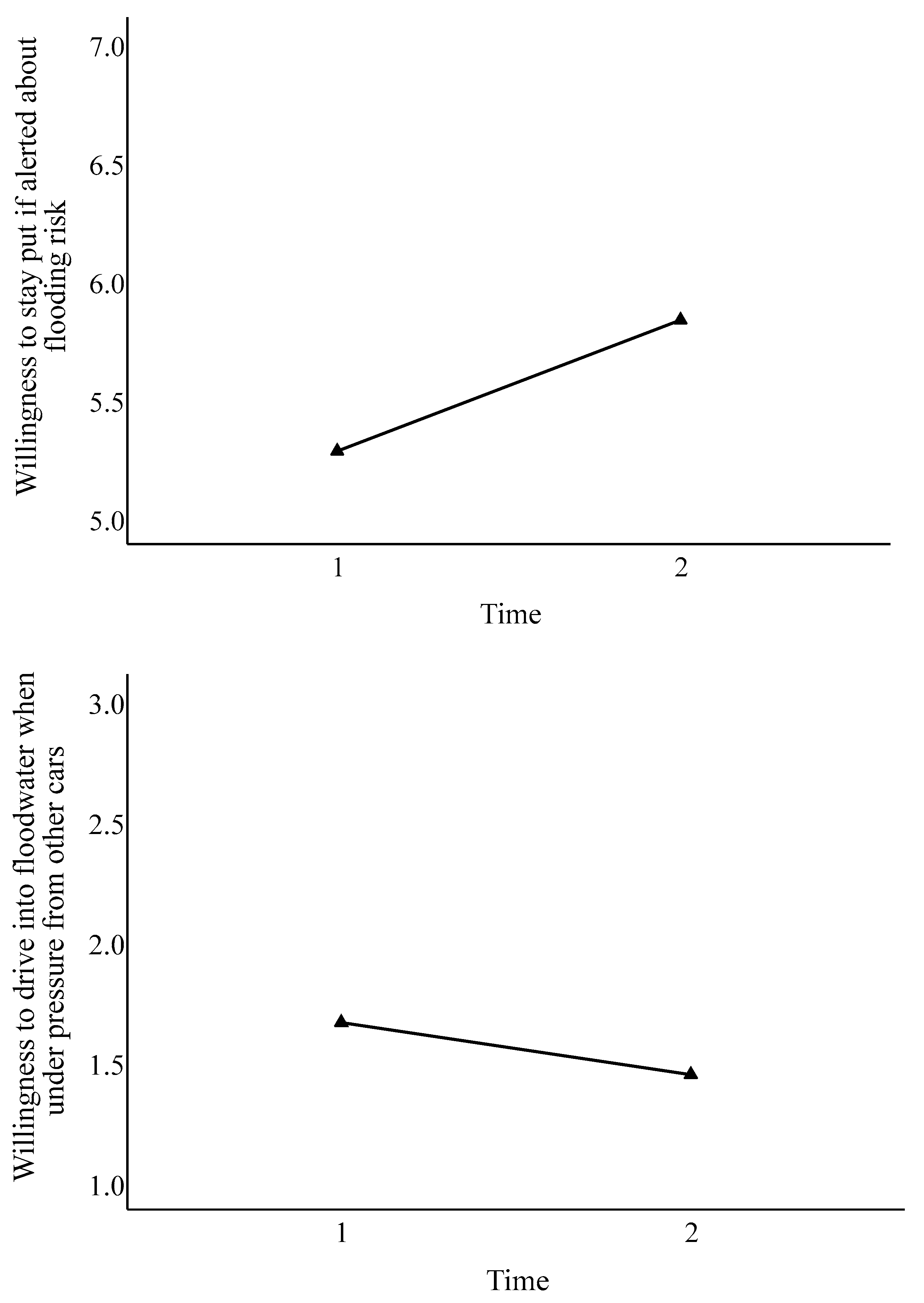
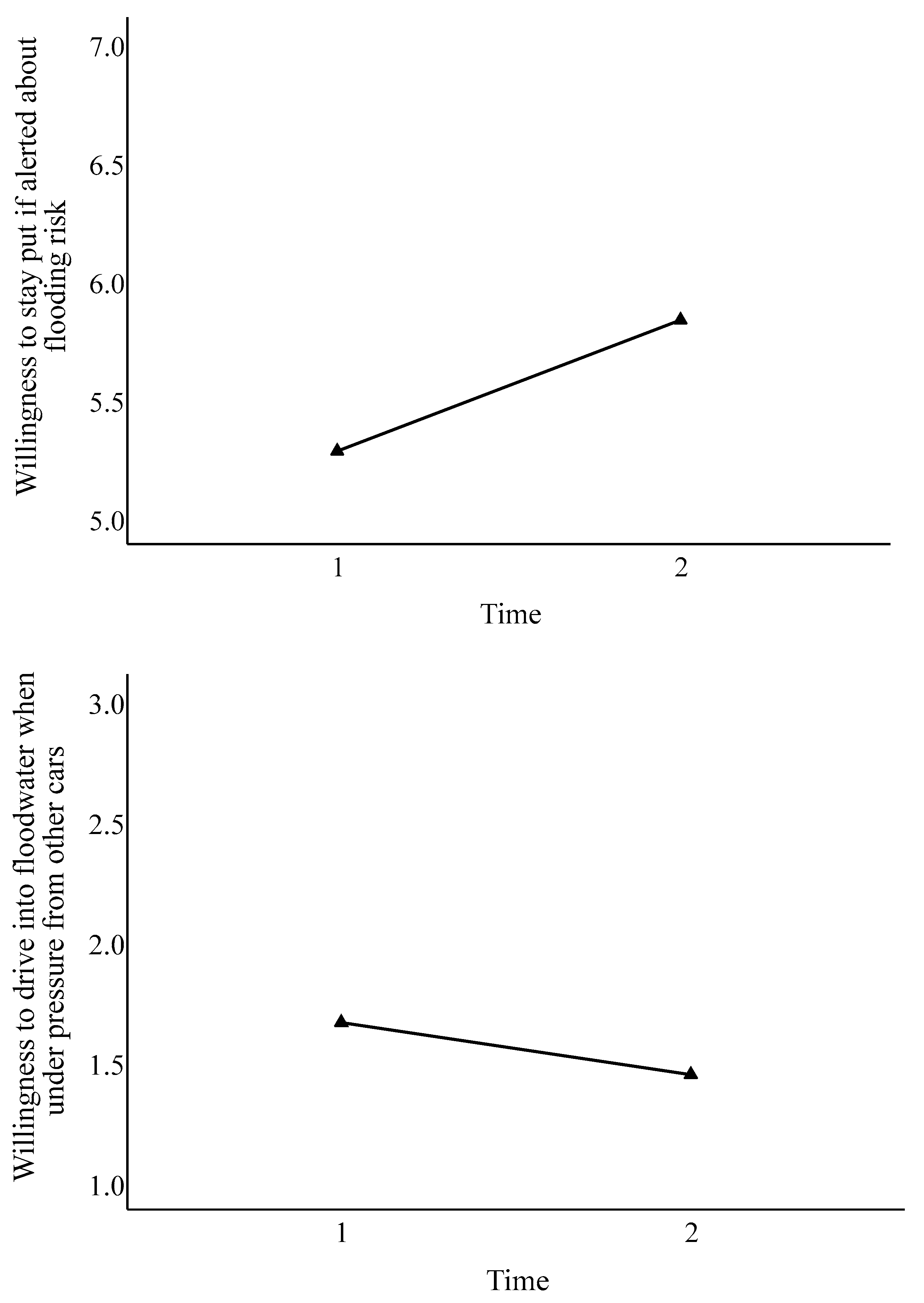
Focusing on the results of the planning intervention (Figure 2), participants’ willingness to drive into floodwater in Newcastle did not change significantly after forming a plan in Scenario 1 (i.e., approaching a flooded section of road in their vehicle), t (216) = 1.86, p = 0.064. However, participants’ willingness to stay put and not drive if alerted to potential urban flash flooding (Scenario 2) was significantly higher after the planning intervention compared to before, t (216) = −3.37, p < 0.001. Similarly, participants’ willingness to drive into floodwater if they feel pressured by other cars on the road (Scenario 3) was significantly lower after the planning intervention compared to before, t (216) = −3.37, p < 0.001. Changes in willingness to drive into floodwater across the three driving scenarios after the brief planning intervention are graphically depicted in Figure 2.

Figure 2.
Changes in willingness to drive into floodwater across the three driving scenarios after a brief planning intervention.
4. Discussion
The aim of the present study was to understand the predictors of Newcastle drivers’ intention to avoid driving into floodwater resulting from urban flash flooding. The results of this study mostly supported the efficacy of an augmented TPB in predicting individuals’ intention to avoid driving into urban floodwater, with subjective norm, perceived behavioral control, and planning, but not attitude or moral norm, predicting intention. Overall, the augmented TPB explained 49% of the variance in intention (see Figure 1). In addition, the present study investigated the potential effects of a brief ‘If-then’ planning intervention on Newcastle drivers’ willingness to drive into urban floodwater. The results showed that willingness to drive into floodwater significantly changed in favour of safer driving decisions following the formation of ‘If-then’ plans for what do in two different urban flash flooding scenarios (See Figure 2).
Study findings support the utility of TPB constructs subjective norm and perceived behavioral control as motivational antecedents of intention to avoid driving into urban floodwater. The latter finding of perceived behavioral control suggests that individuals’ appraisal of the ease and their perceived confidence with which they can successfully negotiate such a situation might be an important source of influence on drivers’ intentions, and thus, their actual behavior. The former finding of subjective norm suggests that social influence may also be an important factor guiding Newcastle drivers’ intention to avoid driving into urban floodwater. This is consistent with previous research exploring driver willingness to drive into flooded waterways [12], and is in contrast to literature identifying subjective norm as the weakest predictor of intention among studies in which the TPB has been applied to predict health behavior [20,39]. The finding suggests that, in the context of driving into urban floodwater, people look to significant others for normative guidance to inform their decisions, and the more social pressure that is perceived, the greater their intentions will be to avoid driving into urban floodwater. The importance of subjective norm in this context may be explained by the fact that the behavior of avoiding driving into urban floodwater is a social behavior and likely to carry consequences for others. Thus, the perceptions of significant others may be an important consideration in deciding to avoid driving into urban floodwater; a finding consistent with previous research investigating driving violation behaviors [40].
In addition to the TPB constructs, planning was also included in the present study. The results showed that intention to avoid driving into urban floodwater in Newcastle was positively predicted by planning, suggesting that the greater the degree to which drivers had a plan to avoid driving into urban floodwater, the greater their intentions to avoid driving into floodwater. This is consistent with previous literature that has demonstrated the utility of planning in improving safe driver behavior across different situations [32,33]. Furthermore, planning strategies have been frequently applied in interventions to change health and safety behaviors, with many studies documenting evidence of their efficacy [25,41]. The importance of planning in the context of driving into urban floodwater was further demonstrated by the results of the brief planning intervention in the present study. Willingness to drive into floodwater in two of the three urban flash flooding scenarios significantly changed in the direction of safer driving decisions after the formation of an ‘If-then’ plan. Specifically, willingness to stay put and not drive if alerted to a flash flooding risk increased, and willingness to drive into floodwater when there is perceived pressure from other cars to drive into the floodwater decreased, following ‘If-then’ plan formation.
The findings of the present study have a number of theoretical and practical implications for the development of strategies to reduce the incidence of driving into urban floodwater. Firstly, the research draws on previous research examining drivers’ decisions to drive into floodwater [13,22,23,24,25] and extends upon this by examining the theoretical processes underpinning these decisions in the specific context of urban flash flooding. In terms of theoretical importance, the research supports that theory-based targets should be considered for the development of behavior change interventions due to their association with intention to avoid driving into urban floodwater in the present context of the Newcastle City area. Specifically, the present study provides evidence for the importance of an approach that incorporates TPB constructs subjective norm and perceived behavioral control when designing programs to reduce people driving into urban floodwater in an urban context. For example, intervention designs that incorporate (1) strategies highlighting the approval of important others to avoid driving into urban floodwater, and (2) techniques to challenge people’s beliefs about their ability to avoid the behavior, may be useful in eliciting behavior change in relation to driving into urban floodwater. In addition, the significant findings for planning, both as a determinant of intention to avoid driving into urban floodwater and in the brief planning intervention, suggests that planning should be considered in the development of behavior change interventions, particularly those targeting the adoption of private mitigation behaviours. Evidence shows that knowledge provision alone often does not translate into behavior change [42,43]. Findings from this study provide preliminary empirical evidence that the ‘If-then’ plan strategy is superior to providing information alone on people’s willingness to drive into urban floodwater. The formation of ‘If-then’ plans is a simple, yet theory-based intervention offering a flexible, wide-reaching, and cost-effective method for delivery that has the potential to save people’s lives in times of flood and for largescale implementation across many different driving scenarios.
Strengths, Limitations, and Future Directions
The present study has a number of strengths including the investigation of a driving behavior that has, to date, not been investigated extensively in the context of urban flash flooding; the theoretical method adopted to investigate the target behavior (i.e., intention/willingness); the application of a brief planning approach; and the use of a moderate sized sample drawn from the community. Some limitations should also be raised. Firstly, while the model accounted for moderate variance in intention to avoid driving into floodwater in Newcastle, substantive variance in intention remained unaccounted for–and any utilisation of the present findings to inform policy decisions should be considered in light of this limitation. The study also adopted a cross-sectional observational design, thus precluding causal inferences being made about the direction of relationships between model constructs. Further, due to the practical and ethical implications of directly observing driver behaviour during urban flood events, self-report measures of intention to avoid driving into urban floodwater, and willingness to drive into urban floodwater in a hypothetical scenario were used, without explicitly examining driving behavior. Research, however, reveals behavioral intention to be the strongest predictor of subsequent behavior [19,44]. Furthermore, we sought to improve our measurement of intention to avoid driving into urban floodwater by showing participants a picture of a flooded road that had been validated in previous research [25]. Finally, the planning intervention was a single-arm trial, prohibiting the comparison of effects against a control group. Furthermore, the research was conducted in Newcastle and surrounding suburbs. Although this could be considered a strength of this research as this is an area prone to flooding and findings could be used to target intervention development in other urban flooding situations and areas, it could also be considered a limitation as findings might only generalize to similar areas. Future research should examine the effect of embedding behavior change techniques targeting the identified beliefs and theoretical mechanisms (i.e., subjective norm, perceived behavioral control, planning) in driver education programs and public safety campaigns that are aimed at reducing intention to avoid driving into urban floodwater. Furthermore, it is recommended that future research also test the efficacy of ‘if-then’ planning at changing driver intentions and behavior in a randomized controlled trial. Finally, future research may benefit from exploring the influence of additional socio structural variables, such as socio-economic status or education level, on driver intentions and behaviour in times of flood [45].
5. Conclusions
The present study aimed to understand the social cognitive determinants of drivers’ intention to avoid driving into urban floodwater, a risky driving behavior that is of national and international importance, which had previously not been investigated systematically. Specifically, the research extends upon current literature examining the theoretical processes underpinning drivers’ decisions to avoid driving into floodwater by exploring these processes in the specific context of urban flash flooding. Overall, the findings provide support for the efficacy of the TPB in that subjective norm and perceived behavioral control significantly predicted intention to avoid driving into floodwater in an urban area. Present findings also identify planning as a significant predictor of intention to avoid driving into urban floodwater; and, notably, the study makes a novel contribution to the literature by providing formative evidence for the use of a brief planning intervention to change drivers’ willingness to drive into urban floodwater. The findings of the present study and continued efforts to understand this driving behavior around floodwater will inform the development of resultant interventions designed to deter people from driving into floodwater which, in turn, will ultimately help to save lives and reduce the burden placed on emergency services personnel during flooding events.
Author Contributions
Conceptualization, K.H. and A.E.P.; methodology, K.H., A.E.P. and S.R.S.; software, K.H. and S.R.S.; validation, all authors; formal analysis, S.R.S. and C.W.; investigation, all authors; resources, K.H.; data curation S.R.S. and C.W.; writing—original draft preparation, S.R.S., A.E.P. and K.H.; writing—review and editing, all authors; visualization, all authors; supervision, K.H. and A.E.P.; project administration, S.R.S.; funding acquisition, K.H., Y.M.B. and A.E.P. All authors have read and agreed to the published version of the manuscript.
Funding
This research was funded by the NSW Natural Disaster Resilience Program and the City of Newcastle (APP ID: RG204396).
Data Availability Statement
Data files and output of the analyses are available online: https://osf.io/jkq7f.
Acknowledgments
We acknowledge Jenni Funari and Luke Jones for assistance during the research.
Conflicts of Interest
Author Y.M.B. is employed by the City of Newcastle who contributed funding to the project. The funders had no role in the design of the study; in the collection, analyses, or interpretation of data; in the writing of the manuscript; or in the decision to publish the results.
References
- Jonkman, S.N.; Kelman, I. An Analysis of the Causes and Circumstances of Flood Disaster Deaths. Disasters 2005, 29, 75–97. [Google Scholar] [CrossRef]
- Sindall, R.; Mecrow, T.; Queiroga, A.C.; Boyer, C.; Koon, W.; Peden, A.E. Drowning Risk and Climate Change: A State-of-the-Art Review. Inj. Prev. 2022, 28, 185–191. [Google Scholar] [CrossRef]
- Diakakis, M.; Deligiannakis, G. Flood Fatalities in Greece: 1970–2010. J. Flood Risk Manag. 2017, 10, 115–123. [Google Scholar] [CrossRef]
- Peden, A.E.; Franklin, R.C.; Leggat, P.; Aitken, P. Causal Pathways of Flood Related River Drowning Deaths in Australia. PLoS Curr. Disasters 2017, 1, 1–24. [Google Scholar] [CrossRef]
- Hamilton, K.; Demant, D.; Peden, A.E.; Hagger, M.S. A Systematic Review of Human Behaviour in and around Floodwater. Int. J. Disaster Risk Reduct. 2020, 47, 101561. [Google Scholar] [CrossRef]
- Keech, J.J.; Smith, S.R.; Peden, A.E.; Hagger, M.S.; Hamilton, K. The Lived Experience of Rescuing People Who Have Driven into Floodwater: Understanding Challenges and Identifying Areas for Providing Support. Health Promot. J. Aust. 2019, 30, 252–257. [Google Scholar] [CrossRef]
- Queensland Government. Available online: http://floodwatersafety.initiatives.qld.gov.au (accessed on 30 September 2022).
- US Department of Commerce, National Oceanic and Atmospheric Administration. Turn Around Don’t Drown®. Available online: https://www.weather.gov/safety/flood-turn-around-dont-drown (accessed on 30 September 2022).
- King, A. La Niña, 3 Years in a Row: A Climate Scientist on What Flood-Weary Australians Can Expect This Summer. Available online: https://theconversation.com/la-nina-3-years-in-a-row-a-climate-scientist-on-what-flood-weary-australians-can-expect-this-summer-190542 (accessed on 14 September 2022).
- How Climate Change Is Making Record-Breaking Floods the New Normal. Available online: https://www.unep.org/news-and-stories/story/how-climate-change-making-record-breaking-floods-new-normal (accessed on 14 September 2022).
- Australian Water Safety Council. Australian Water Safety Strategy 2030. 2022. Available online: https://www.watersafety.com.au/australian-water-safety-strategy/ (accessed on 28 October 2022).
- Pearson, M.; Hamilton, K. Investigating Driver Willingness to Drive through Flooded Waterways. Accid. Anal. Prev. 2014, 72, 382–390. [Google Scholar] [CrossRef]
- Hamilton, K.; Peden, A.E.; Pearson, M.; Hagger, M.S. Stop There’s Water on the Road! Identifying Key Beliefs Guiding People’s Willingness to Drive through Flooded Waterways. Saf. Sci. 2016, 89, 308–314. [Google Scholar] [CrossRef]
- Home|City of Newcastle|Community Profile. Available online: https://profile.id.com.au/newcastle (accessed on 22 August 2022).
- Dufty, N.; Hyde, A.; Webber, D.; Berthold, I.; Armstrong, E. Measuring Community Flood Awareness and Preparedness in the Maitland Area and Lower Hunter Valley, NSW. In Proceedings of the Australasian Fire and Emergency Service Authorities Council (AFAC), Adelaide, Australia, 1–3 September 2015. [Google Scholar]
- Cretikos, M.A.; Merritt, T.D.; Main, K.; Eastwood, K.; Winn, L.; Moran, L.; Durrheim, D.N. Mitigating the Health Impacts of a Natural Disaster—The June 2007 Long-Weekend Storm in the Hunter Region of New South Wales. Med. J. Aust. 2007, 187, 670–673. [Google Scholar] [CrossRef]
- Verdon-Kidd, D.; Kiem, A.S.; Willgoose, G.; Haines, P. East Coast Lows and the Newcastle/Central Coast Pasha Bulker Storm; National Climate Change Adaptation Research Facility: Southport, Australia, 2010. [Google Scholar]
- Ajzen, I. The Theory of Planned Behavior. Organ. Behav. Hum. Decis Process. 1991, 50, 179–211. [Google Scholar] [CrossRef]
- McEachan, R.R.C.; Conner, M.; Taylor, N.J.; Lawton, R.J. Prospective Prediction of Health-Related Behaviours with the Theory of Planned Behaviour: A Meta-Analysis. Health Psychol. Rev. 2011, 5, 97–144. [Google Scholar] [CrossRef]
- Armitage, C.J.; Conner, M. Efficacy of the Theory of Planned Behaviour: A Meta-Analytic Review. Br. J. Soc. Psychol. 2001, 40, 471–499. [Google Scholar] [CrossRef]
- Hamilton, K.; van Dongen, A.; Hagger, M.S. An Extended Theory of Planned Behavior for Parent-for-Child Health Behaviors: A Meta-Analysis. Health Psychol. 2020, 39, 863–878. [Google Scholar] [CrossRef]
- Hamilton, K.; Price, S.; Keech, J.J.; Peden, A.E.; Hagger, M.S. Drivers’ Experiences during Floods: Investigating the Psychological Influences Underpinning Decisions to Avoid Driving through Floodwater. Int. J. Disaster Risk Reduct. 2018, 28, 507–518. [Google Scholar] [CrossRef]
- Hamilton, K.; Peden, A.E.; Keech, J.J.; Hagger, M.S. Driving through Floodwater: Exploring Driver Decisions through the Lived Experience. Int. J. Disaster Risk Reduct. 2019, 34, 346–355. [Google Scholar] [CrossRef]
- Hamilton, K.; Peden, A.E.; Keech, J.J.; Hagger, M.S. Changing People’s Attitudes and Beliefs toward Driving through Floodwaters: Evaluation of a Video Infographic. Transp. Res. Part F Traffic Psychol. Behav. 2018, 53, 50–60. [Google Scholar] [CrossRef]
- Hamilton, K.; Keech, J.J.; Peden, A.E.; Hagger, M.S. Changing Driver Behavior during Floods: Testing a Novel e-Health Intervention Using Implementation Imagery. Saf. Sci. 2021, 136, 105141. [Google Scholar] [CrossRef]
- Nemme, H.E.; White, K.M. Texting While Driving: Psychosocial Influences on Young People’s Texting Intentions and Behaviour. Accid. Anal. Prev. 2010, 42, 1257–1265. [Google Scholar] [CrossRef]
- Kim, H.S. The Role of Legal and Moral Norms to Regulate the Behavior of Texting While Driving. Transp. Res. Part F Traffic Psychol. Behav. 2018, 52, 21–31. [Google Scholar] [CrossRef]
- Bieleke, M.; Keller, L.; Gollwitzer, P.M. If-Then Planning. Eur. Rev. Soc. Psychol. 2021, 32, 88–122. [Google Scholar] [CrossRef]
- Sniehotta, F.F.; Schwarzer, R.; Scholz, U.; Schüz, B. Action Planning and Coping Planning for Long-Term Lifestyle Change: Theory and Assessment. Eur. J. Soc. Psychol. 2005, 35, 565–576. [Google Scholar] [CrossRef]
- Rhodes, R.E.; Grant, S.; de Bruijn, G.-J. Planning and Implementation Intention Interventions. Handb. Behav. Chang. 2020, 572–585. [Google Scholar] [CrossRef]
- Gollwitzer, P.M. Implementation Intentions: Strong Effects of Simple Plans. Am. Psychol. 1999, 54, 493–503. [Google Scholar] [CrossRef]
- Elliott, M.A.; Armitage, C.J. Effects of Implementation Intentions on the Self-Reported Frequency of Drivers’ Compliance with Speed Limits. J. Exp. Psychol. Appl. 2006, 12, 108–117. [Google Scholar] [CrossRef]
- Brewster, S.E.; Elliott, M.A.; McCartan, R.; McGregor, B.; Kelly, S.W. Conditional or Unconditional? The Effects of Implementation Intentions on Driver Behavior. J. Exp. Psychol. Appl. 2016, 22, 124–133. [Google Scholar] [CrossRef]
- Allan, J.L.; Sniehotta, F.F.; Johnston, M. The Best Laid Plans: Planning Skill Determines the Effectiveness of Action Plans and Implementation Intentions. Ann. Behav. Med. 2013, 46, 114–120. [Google Scholar] [CrossRef]
- Kock, N.; Hadaya, P. Minimum Sample Size Estimation in PLS-SEM: The Inverse Square Root and Gamma-Exponential Methods. Inf. Syst. J. 2018, 28, 227–261. [Google Scholar] [CrossRef]
- Kock, N. WarpPLS User Manual: Version 7.0; ScriptWarp Systems: Laredo, TX, USA, 2020. [Google Scholar]
- Schwarzer, R. Modeling Health Behavior Change: How to Predict and Modify the Adoption and Maintenance of Health Behaviors. Appl. Psychol. 2008, 57, 1–29. [Google Scholar] [CrossRef]
- Ajzen, I. Constructing a Theory of Planned Behavior Questionnaire. 2006. Available online: https://people.umass.edu/~aizen/pdf/tpb.measurement.pdf (accessed on 20 October 2022).
- Hagger, M.S.; Chatzisarantis, N.L.D.; Biddle, S.J.H. The Influence of Autonomous and Controlling Motives on Physical Activity Intentions within the Theory of Planned Behaviour. Br. J. Health Psychol. 2002, 7, 283–297. [Google Scholar] [CrossRef]
- Parker, D.; Stradling, S.G.; Manstead, A.S.R. Modifying Beliefs and Attitudes to Exceeding the Speed Limit: An Intervention Study Based on the Theory of Planned Behavior1. J. Appl. Soc. Psychol. 1996, 26, 1–19. [Google Scholar] [CrossRef]
- Hagger, M.S.; Luszczynska, A. Implementation Intention and Action Planning Interventions in Health Contexts: State of the Research and Proposals for the Way Forward. Appl. Psychol. Health Well Being 2014, 6, 1–47. [Google Scholar] [CrossRef]
- Davis, D.; O’Brien, M.A.T.; Freemantle, N.; Wolf, F.M.; Mazmanian, P.; Taylor-Vaisey, A. Impact of Formal Continuing Medical Education: Do Conferences, Workshops, Rounds, and Other Traditional Continuing Education Activities Change Physician Behavior or Health Care Outcomes? J. Am. Med. Assoc. 1999, 282, 867–874. [Google Scholar] [CrossRef]
- Grimshaw, J.M.; Shirran, L.; Thomas, R.; Mowatt, G.; Fraser, C.; Bero, L.; Grilli, R.; Harvey, E.; Oxman, A.; O’Brien, M.A. Changing Provider Behavior: An Overview of Systematic Reviews of Interventions. Med. Care 2001, 39, II2–II45. [Google Scholar] [CrossRef]
- Zhang, C.Q.; Zhang, R.; Schwarzer, R.; Hagger, M.S. A Meta-Analysis of the Health Action Process Approach. Health Psychol. 2019, 38, 623–637. [Google Scholar] [CrossRef]
- Hagger, M.S.; Hamilton, K. Effects of Socio-Structural Variables in the Theory of Planned Behavior: A Mediation Model in Multiple Samples and Behaviors. Psychol. Health 2020, 36, 307–333. [Google Scholar] [CrossRef]
Publisher’s Note: MDPI stays neutral with regard to jurisdictional claims in published maps and institutional affiliations. |
© 2022 by the authors. Licensee MDPI, Basel, Switzerland. This article is an open access article distributed under the terms and conditions of the Creative Commons Attribution (CC BY) license (https://creativecommons.org/licenses/by/4.0/).


