Irrigation Management Based on Theoretical Requirements Reduces Water Consumption in Apple (Malus domestica Borkh.) Orchards without Effects on Fruit Yield and Components
Abstract
1. Introduction
2. Materials and Methods
2.1. Study Site and Soil and Climatic Conditions
2.2. Experimental Design
2.3. Irrigation Methods
2.4. Description of Irrigation Treatments
2.5. Soil Moisture Measurements
2.6. Leaf Water Potential
2.7. Fruit Yield Components
2.8. Statistical Analysis
3. Results and Discussion
3.1. Applied Water
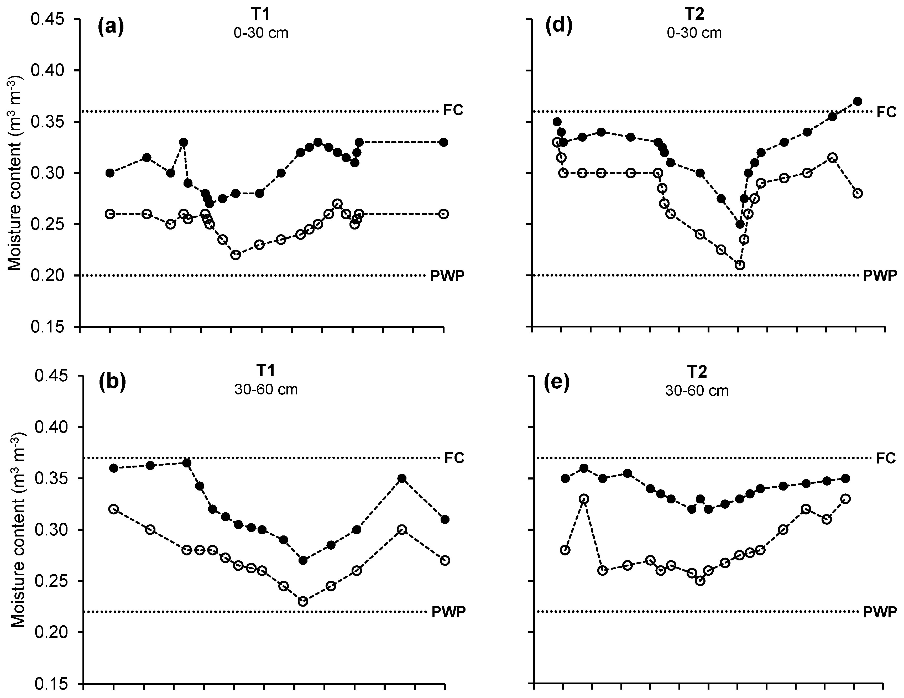
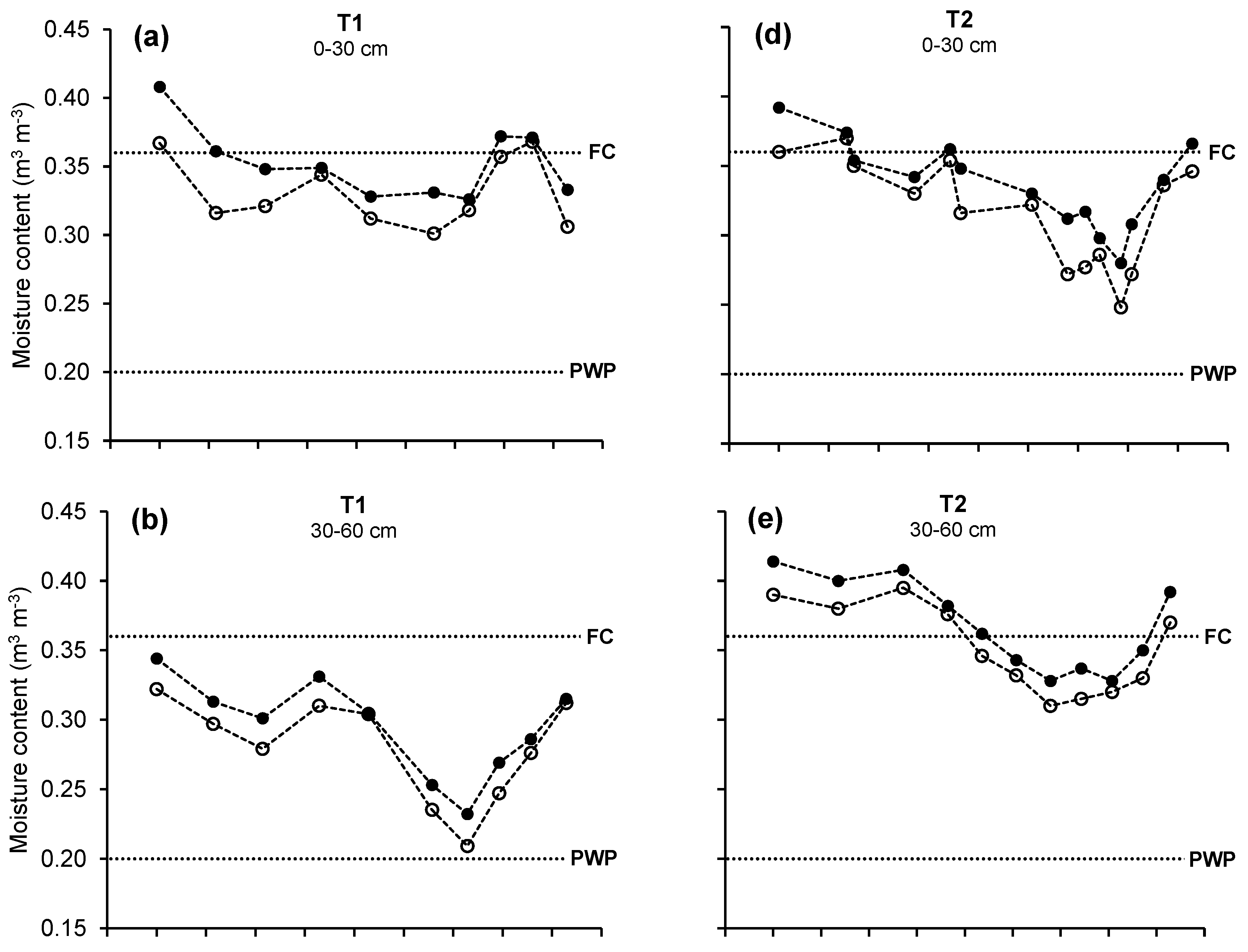
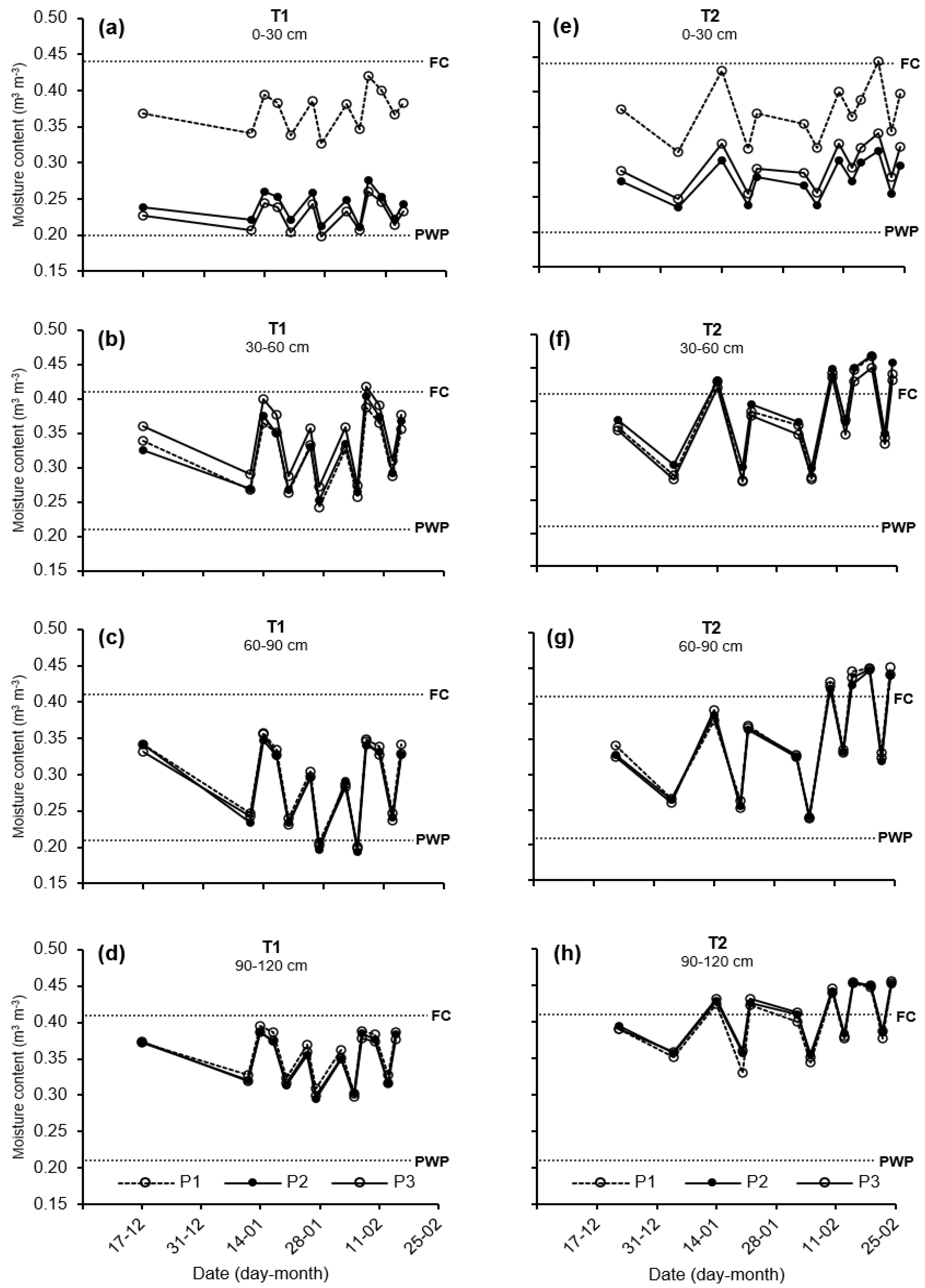
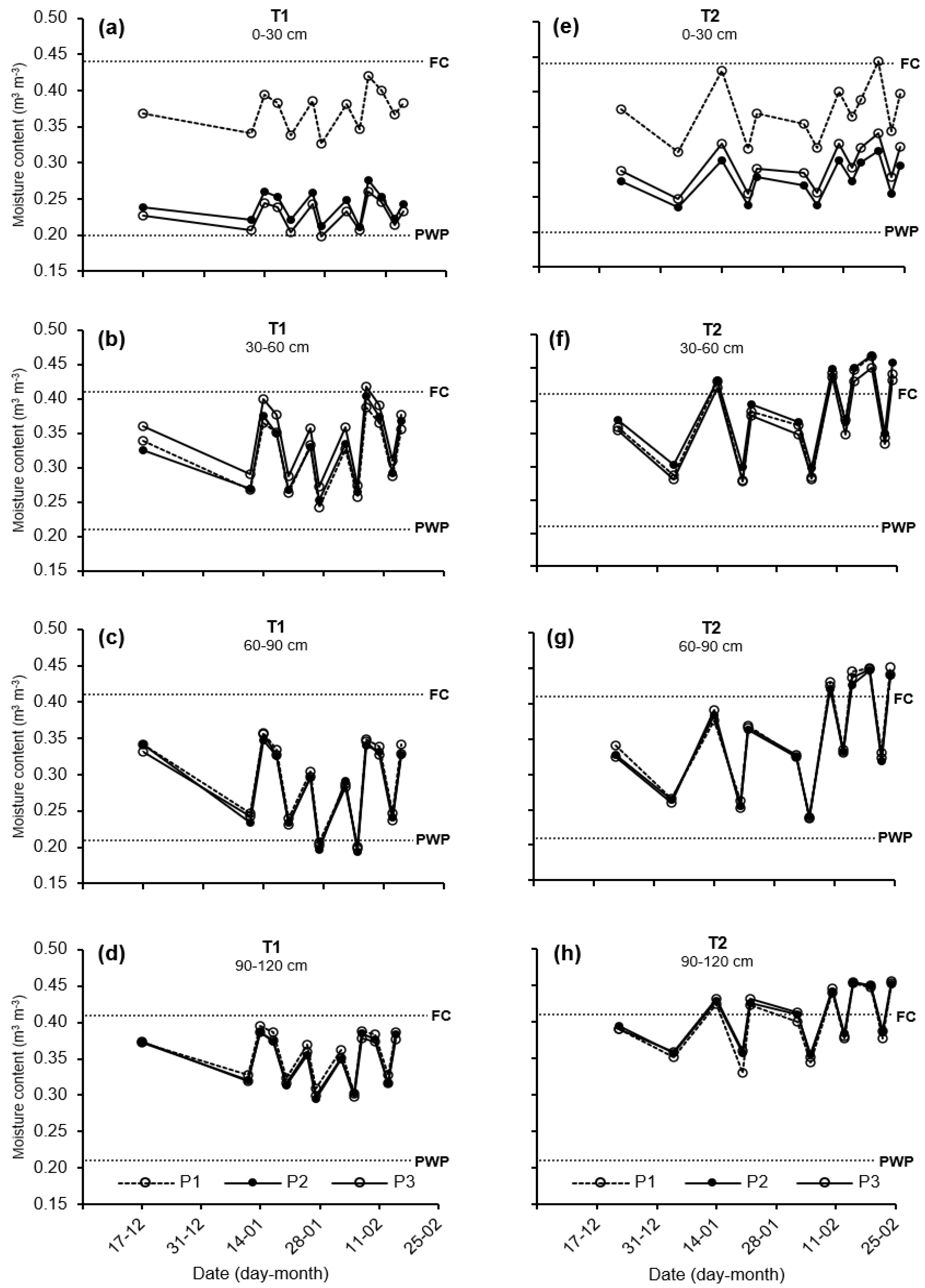
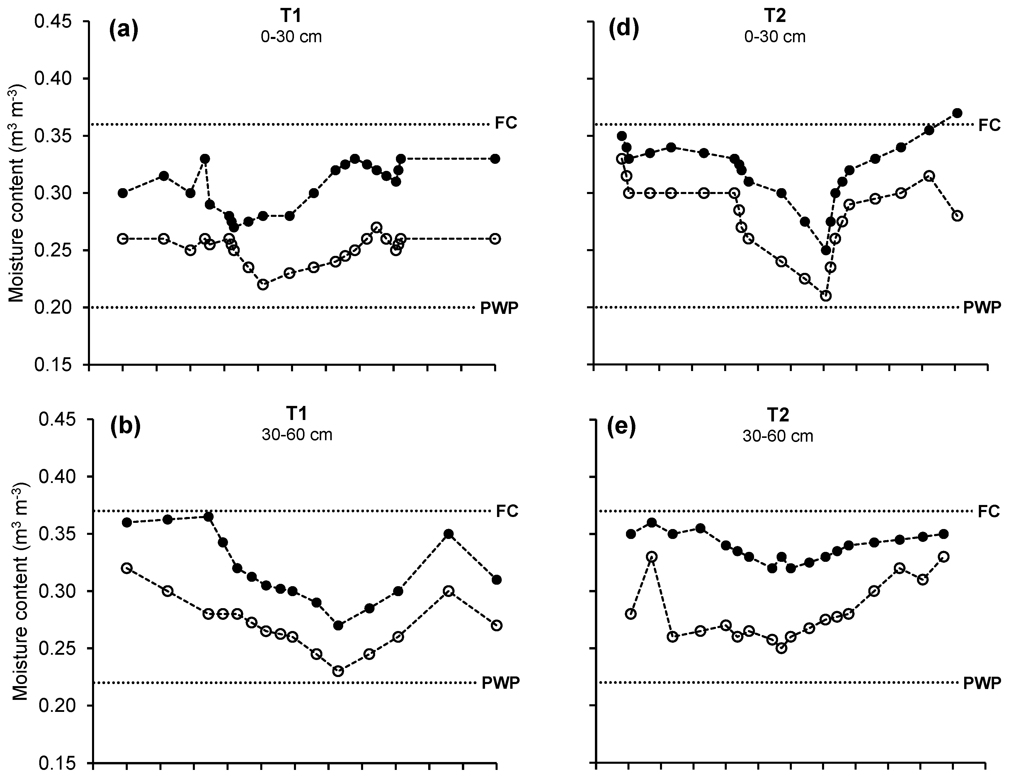
3.2. Soil Moisture Content
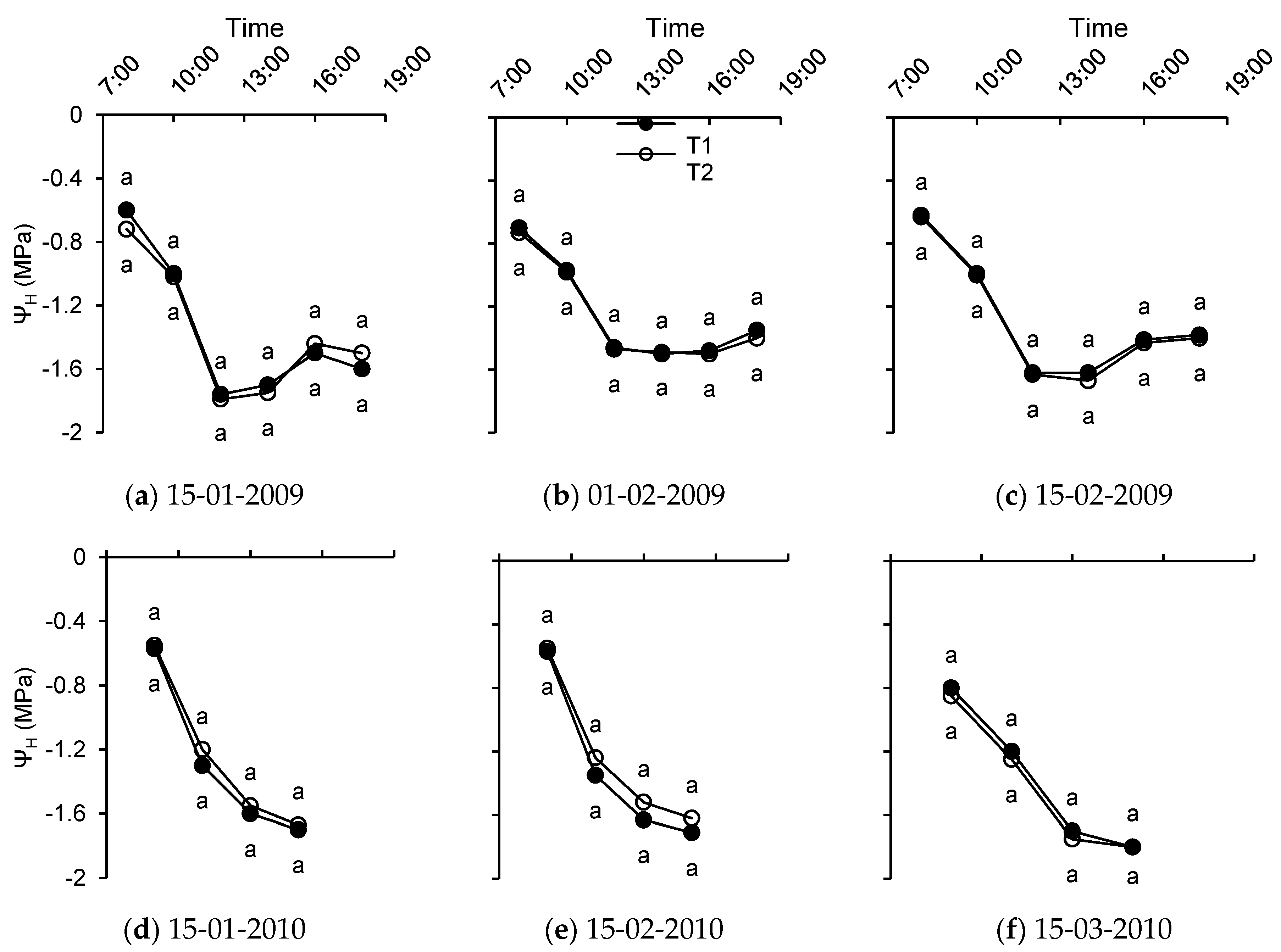
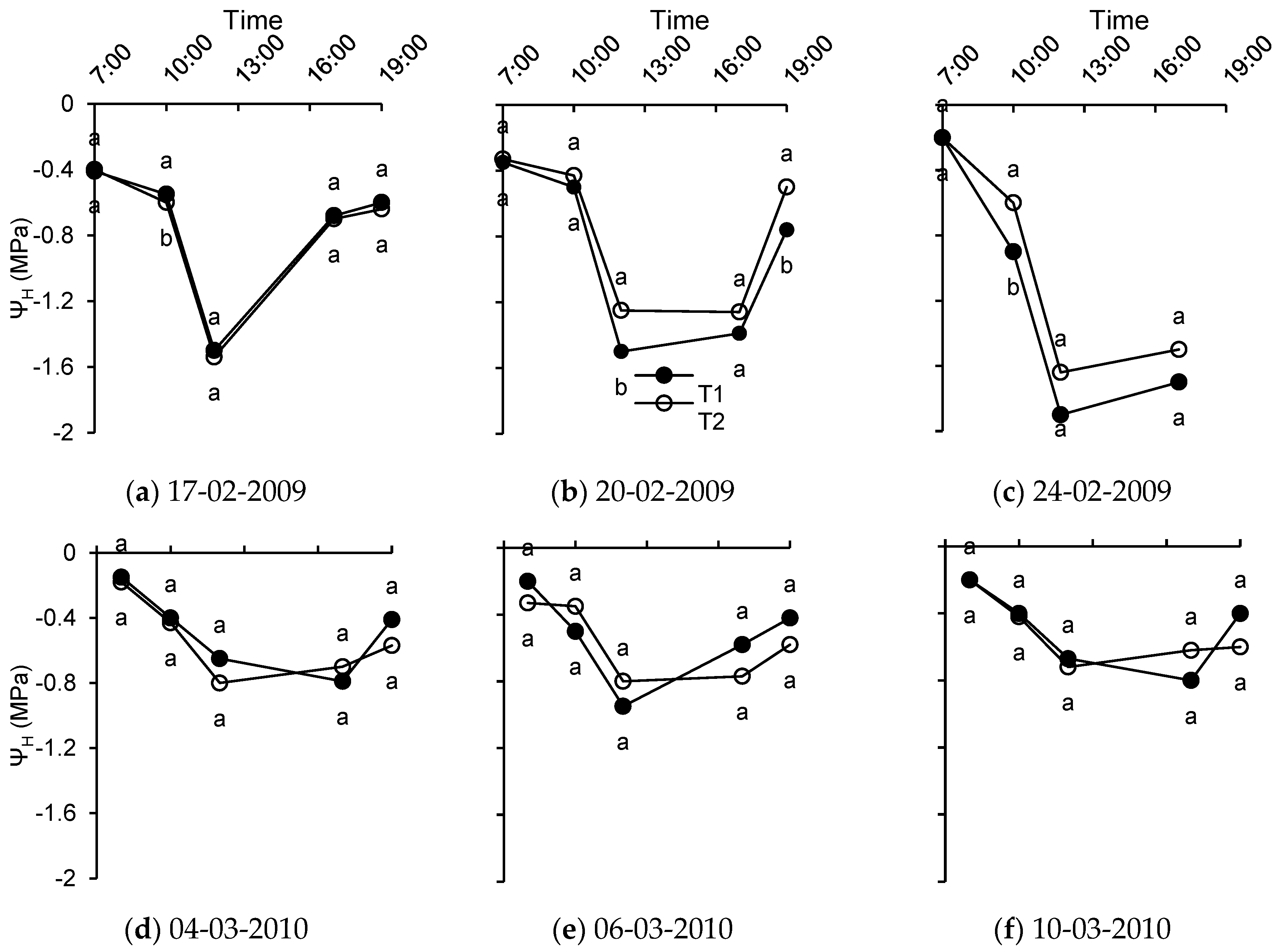
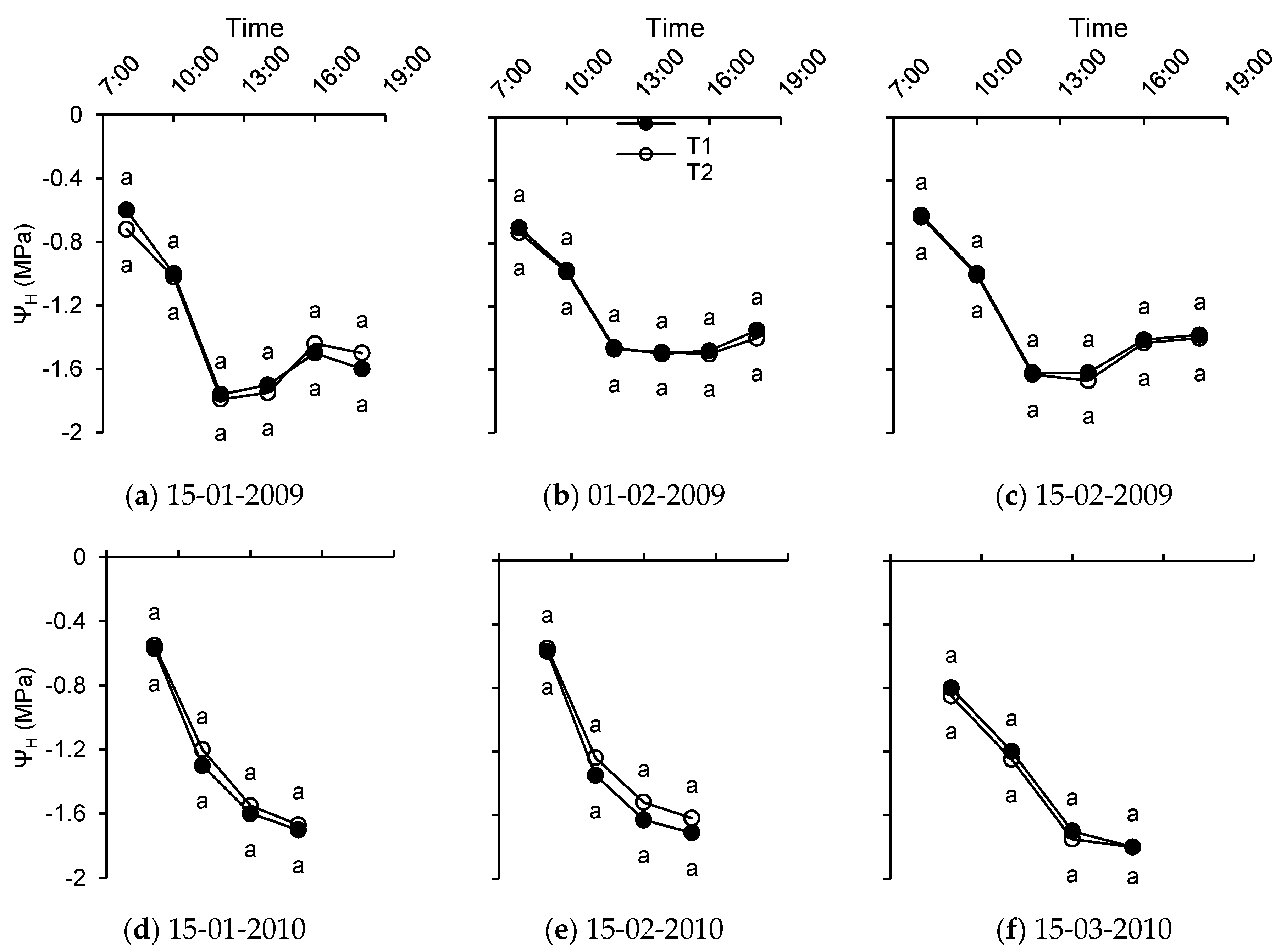
3.3. Leaf Water Potential
3.4. Fruit Yield Components
4. Conclusions
Author Contributions
Funding
Data Availability Statement
Acknowledgments
Conflicts of Interest
References
- Alvarez-Garreton, C.; Pablo Boisier, J.; Garreaud, R.; Seibert, J.; Vis, M. Progressive Water Deficits during Multiyear Droughts in Basins with Long Hydrological Memory in Chile. Hydrol. Earth Syst. Sci. 2021, 25, 429–446. [Google Scholar] [CrossRef]
- Boisier, J.P.; Rondanelli, R.; Garreaud, R.D.; Muñoz, F. Anthropogenic and Natural Contributions to the Southeast Pacific Precipitation Decline and Recent Megadrought in Central Chile. Geophys. Res. Lett. 2016, 43, 413–421. [Google Scholar] [CrossRef]
- Ministerio de Obras Públicas, Dirección General de Aguas. Estimación de La Demanda Actual, Proyecciones Futuras y Caracterización de La Calidad Los Recursos Hídricos en Chile: Resumen Ejecutivo S.I.T. N°419; Hídrica Consultores SPA y Aquaterra Ingenieros Ltda (UTP): Santiago, Chile, 2017; Available online: https://dga.mop.gob.cl/Estudios/01%20Informe/Informe%20Final%20Vol%20II.pdf (accessed on 1 October 2022).
- ODEPA-CIREN. Catastro Frutícola, Principales Resultados; ODEPA-CIREN: Santiago, Chile, 2019; Available online: https://bibliotecadigital.ciren.cl/handle/20.500.13082/28954 (accessed on 20 September 2021).
- ODEPA-CIREN. Catastro Frutícola, Principales Resultados; ODEPA-CIREN: Maule, Chile, 2016; Available online: http://bibliotecadigital.ciren.cl/bitstream/handle/123456789/26205/Cfpr_VIIR_2016.pdf?sequence=1&isAllowed=y (accessed on 20 September 2021).
- Olmos, X. Sostenibilidad Ambiental de Las Exportaciones Agroalimentarias. Los Casos de Chile, Colombia, El Ecuador y El Uruguay; CEPAL-ECLAC: Santiago, Chile, 2017; Available online: http://hdl.handle.net/11362/43288 (accessed on 20 September 2021).
- Callejas, R.; Reyes, R. Estrategias Para Enfrentar Condiciones de Sequía En Frutales. Rev. Frutícola 2019, 41, 8–16. Available online: https://hdl.handle.net/20.500.14001/63489 (accessed on 20 September 2021).
- Zhong, Y.; Fei, L.; Li, Y.; Zeng, J.; Dai, Z. Response of Fruit Yield, Fruit Quality, and Water Use Efficiency to Water Deficits for Apple Trees under Surge-Root Irrigation in the Loess Plateau of China. Agric. Water Manag. 2019, 222, 221–230. [Google Scholar] [CrossRef]
- Holzapfel, E.; Arumí, J.L. Tecnología de Manejo de Agua Para Una Agricultura Intensiva Sustentable, 1st ed.; Holzapfel, E., Arumí, J.L., Eds.; Universidad de Concepción: Concepción, Chile, 2010; ISBN 9789562273299. [Google Scholar]
- Girona, J.; Behboudian, M.H.; Mata, M.; del Campo, J.; Marsal, J. Exploring Six Reduced Irrigation Options under Water Shortage for “Golden Smoothee” Apple: Responses of Yield Components over Three Years. Agric. Water Manag. 2010, 98, 370–375. [Google Scholar] [CrossRef]
- Naor, A. Crop load and irrigation interactions-a new dimension of RDI. Acta. Hortic. 2014, 1038, 113–120. [Google Scholar] [CrossRef]
- Francaviglia, D.; Farina, V.; Avellone, G.; Lo Bianco, R. Fruit yield and quality responses of apple cvars Gala and Fuji to partial rootzone drying under Mediterranean conditions. J. Agric. Sci. 2013, 151, 556–569. [Google Scholar] [CrossRef]
- Du, S.; Kang, S.; Li, F.; Du, T. Water use efficiency is improved by alternate partial root-zone irrigation of apple in arid northwest China. Agric. Water Manag. 2017, 179, 184–192. [Google Scholar] [CrossRef]
- Liao, Y.; Cao, H.X.; Xue, W.K.; Liu, X. Effects of the combination of mulching and deficit irrigation on the soil water and heat, growth and productivity of apples. Agric. Water Manag. 2021, 243, 106482. [Google Scholar] [CrossRef]
- Lecaros, F.; Holzapfel, E.; Fereres, E.; Rivera, D.; Muñoz, N.; Jara, J. Effects of the Number of Drip Laterals on Yield and Quality of Apples Grown in Two Soil Types. Agric. Water Manag. 2021, 248, 106781. [Google Scholar] [CrossRef]
- Küçükyumuk, C.; Yildiz, H.; Meriç, M.K. The Response of Braeburn Apple to Regulated Deficit Irrigation. J. Agric. Sci. 2020, 26, 154–163. [Google Scholar] [CrossRef]
- Küçükyumuk, C.; Kaçal, E.; Ertek, A.; Öztürk, G.; Kurttaş, Y.S.K. Pomological and Vegetative Changes during Transition from Flood Irrigation to Drip Irrigation: Starkrimson Delicious Apple Variety. Sci. Hortic. 2012, 136, 17–23. [Google Scholar] [CrossRef]
- Silveira, L.K.; Pavão, G.C.; dos Santos Dias, C.T.; Quaggio, J.A.; Pires, R.C.d.M. Deficit Irrigation Effect on Fruit Yield, Quality and Water Use Efficiency: A Long-Term Study on Pêra-IAC Sweet Orange. Agric. Water Manag. 2020, 231, 106019. [Google Scholar] [CrossRef]
- CIREN. Estudio Agrológico VII Región: Descripciones de Suelos, Materiales y Símbolos. 1997. Available online: https://bibliotecadigital.ciren.cl/handle/20.500.13082/2276 (accessed on 1 October 2022).
- Del Pozo, A.; Del Canto, P. Áreas Climáticas y Sistemas de Producción en la VII y VII Regiones; Instituto de Investigaciones Agropecuarias, Quilamapu: Chillán, Chile, 1999. [Google Scholar]
- Klute, A. Methods of Soil Analysis, Part 1: Physical and Minerological Methods, 2nd ed.; American Society of Agronomy, Inc.: Madison, WI, USA; Soil Science Society of America, Inc.: Madison, WI, USA, 1986; Volume 1, ISBN 9780891188643. [Google Scholar]
- Bouyoucos, G. Hydrometer Method Improved for Making Particle Size Analyses of Soils. Agron. J. 1962, 54, 464–465. [Google Scholar] [CrossRef]
- Holzapfel, E.; Hepp, R.; Mariño, M. Effect of Irrigation on Fruit Production in Blueberry. Agric. Water Manag. 2004, 67, 173–184. [Google Scholar] [CrossRef]
- Allen, R.; Pereira, L.; Raes, D.; Smith, M. Crop Evapotranspiration—Guidelines for Computing Crop Water Requirements—FAO Irrigation and Drainage Paper 56; FAO: Rome, Italy, 1998. [Google Scholar]
- Fereres, E.; Goldhamer, D.A. Deciduous fruit and nut trees. In Irrigation of Agricultural Crops. Agronomy Monograph 30; Stewart, B.A., Nielsen, D.R., Eds.; ASA-CSSA-SSSA: Madison, WI, USA, 1990; pp. 987–1017. ISBN 0-891188-102-4. [Google Scholar]
- Jeelani, M.I.; Nazir, N.; Sharma, M.K.; Bhat, A.; Gul, M.; Kumar, B. R Codes for Randomized Complete Design. Int. J. Inf. Sci. Syst. 2018, 6, 1–8. [Google Scholar]
- ECLAC. The Chilean Earthquake of 27 February 2010: An Overview; United Nations Publication: Santiago, Chile, 2010; LC/R 2160; 32p, Available online: https://repositorio.cepal.org/bitstream/handle/11362/3161/S2010191_en.pdf?sequence=1 (accessed on 20 September 2021).
- Ortega, S.; Carrasco, M.; Morales, R. Optimización Del Uso Del Agua y Rendimiento En Un Huerto Comercial de Manzanos (Cv Royal Gala). Rev. Frutícola 2014, 1, 10–16. Available online: https://hdl.handle.net/20.500.14001/40743 (accessed on 10 October 2020).
- Girona, J. Estrategias de Riego En Frutales Bajo Condiciones de Sequía; IRTA: Catalunya, Spain, 2007; Available online: http://www.recercat.cat/handle/2072/4676 (accessed on 21 September 2021).
- Green, S.; Clothier, B. The Root Zone Dynamics of Water Uptake by a Mature Apple Tree. Plant Soil 1999, 206, 61–77. [Google Scholar] [CrossRef]
- Leib, B.G.; Caspari, H.W.; Redulla, C.A.; Andrews, P.K.; Jabro, J.J. Partial Rootzone Drying and Deficit Irrigation of “Fuji” Apples in a Semi-Arid Climate. Irrig. Sci. 2006, 24, 85–99. [Google Scholar] [CrossRef]
- Özmen, S. Responses to Irrigation onto Apple Tree Grown under the Farmer Condition: A Case Study of Düzce Region. J. Tekirdag Agric. Fac. 2016, 13, 37–47. [Google Scholar]
- Bhusal, N.; Han, S.G.; Yoon, T.M. Impact of Drought Stress on Photosynthetic Response, Leaf Water Potential, and Stem Sap Flow in Two Cultivars of Bi-Leader Apple Trees (Malus × Domestica Borkh.). Sci. Hortic. 2019, 246, 535–543. [Google Scholar] [CrossRef]
- Naor, A.; Klein, I.; Doron, I. Stem Water Potential and Apple Size. J. Am. Soc. Hort. Sci. 1995, 120, 577–582. [Google Scholar] [CrossRef]
- Mpelasoka, B.S.; Behboudian, M.H.; Gree, S.H. Water Use, Yield and Fruit Quality of Lysimeter-Grown Apple Tree Responses to Deficit Irrigation and Crop Load. Irrig. Sci. 2001, 20, 107–113. [Google Scholar] [CrossRef]
- Parra, R.; Ortiz, P.; Amado, J.; Chávez, N. Productividad y Crecimiento de Manzano Bajo Déficit de Riego Controlado. Terra Latinoam. 2009, 27, 337–343. [Google Scholar]
- Assaf, R.; Levin, I.; Bravdo, B. Effect of Irrigation Regimes on Trunk and Fruit Growth Rates, Quality and Yield of Apple Trees. J. Hortic. Sci. 1975, 50, 481–493. [Google Scholar] [CrossRef]
- Martins, C.; Lima, W.; Bezerra, J.; Coelho, P.; Jurema, E.; da Silva, B. Flowering, Fruiting and Physiology of Apple Tree under Different Irrigation Levels in the Brazilian Semiarid Region. Comun. Sci. 2017, 8, 99–108. [Google Scholar] [CrossRef]
- Osorio, A. Determinación de La Huella Del Agua y Estrategias de Manejo de Recursos Hídricos; Instituto de Investigaciones Agropecuarias, Centro Regional de Investigación Intihuasi: La Serena, Chile, 2013; Available online: https://hdl.handle.net/20.500.14001/8621 (accessed on 1 October 2022).
- Tong, X.; Wu, P.; Liu, X.; Zhang, L.; Zhou, W.; Wang, Z. A Global Meta-Analysis of Fruit Tree Yield and Water Use Efficiency under Deficit Irrigation. Agric. Water Manag. 2022, 260, 107321. [Google Scholar] [CrossRef]
- Steduto, P.; Hsiao, T.; Fereres, E.; Raes, D. Respuesta Del Rendimiento de Los Cultivos al Agua; FAO: Roma, Italy, 2012; ISBN 978-92-5-308564-4. [Google Scholar]
- Parra-Quezada, R.A.; Robinson, T.L.; Osborne, J.; Parra-Bujanda, L.B. Efecto de Carga de Fruto y Déficit Hídrico en la Calidad y Producción de Manzana. Rev. Chapingo Ser. Hortic. 2008, 14, 49–54. [Google Scholar] [CrossRef]
- FAO. Codex Standard Por Apples. Codex Stan 299–2010. 2010. Available online: http://www.fao.org/fao-who-codexalimentarius/sh-proxy/en/?lnk=1&url=https%253A%252F%252Fworkspace.fao.org%252Fsites%252Fcodex%252FStandards%252FCODEX%2BSTAN%2B299-2010%252FCXS_299e.pdf (accessed on 1 October 2022).












| ‘Royal Gala’ | ‘Brookfield Gala’ | |||
|---|---|---|---|---|
| Parameter | 2008–2009 Season | 2009–2010 Season | 2008–2009 Season | 2009–2010 Season |
| K1 | 1.28 | 1.28 | 1.54 | 1.54 |
| K2 | 0.11 | 0.11 | 0.11 | 0.11 |
| P | 0.70 | 0.70 | 0.45 | 0.47 |
| Treatment | ‘Royal Gala’ | ‘Brookfield Gala’ | ||
|---|---|---|---|---|
| 2008–2009 Season | 2009–2010 Season | 2008–2009 Season | 2009–2010 Season | |
| Irrigation frequency (days) | ||||
| T1 | 3 | 3 | 1 to 3 | 1 to 3 |
| T2 | 3 to 6 | 3 to 6 | 1 to 3 | 1 to 3 |
| Irrigation time (hours per irrigation) | ||||
| T1 (Equation (4)) | 3 to 6 | 3 to 6 | 1 to 4 | 1 to 4 |
| T2 | 10 | 10 | 4 to 8 | 3 to 6 |
| Season | Treatment | Fruit Yield (t ha−1) | |
|---|---|---|---|
| ‘Royal Gala’ | ‘Brookfield Gala’ | ||
| 2008–2009 | T1 | 46.2 a | 34.3 a |
| T2 | 44.3 a | 27.9 b | |
| 2009–2010 | T1 | 45.3 a | 33.4 a |
| T2 | 43.3 a | 37.2 a | |
| Season | Treatment | Number of Fruits per Tree |
|---|---|---|
| 2008–2009 | T1 | 68 a |
| T2 | 53 b | |
| 2009–2010 | T1 | 62 a |
| T2 | 93 b |
| Season | Treatment | Water Use Efficiency (kg m−3) | |
|---|---|---|---|
| ‘Royal Gala’ | ‘Brookfield Gala’ | ||
| 2008–2009 | T1 | 7.44 | 5.04 |
| T2 | 5.64 | 3.24 | |
| 2009–2010 | T1 | 9.16 | 9.54 |
| T2 | 6.34 | 6.83 | |
| Treatment | ‘Royal Gala’ | ‘Brookfield Gala’ | ||
|---|---|---|---|---|
| 2008–2009 Season | 2009–2010 Season | 2008–2009 Season | 2009–2010 Season | |
| Equatorial diameter (mm) | ||||
| T1 | 7.4 a | 6.8 a | 8.0 a | 7.6 a |
| T2 | 7.5 a | 6.5 a | 8.0 a | 7.2 b |
| Fruit weight (g) | ||||
| T1 | 171.6 a | 195.7 a | 210.0 a | 197.3 a |
| T2 | 172.1 a | 192.8 a | 215.0 a | 171.9 b |
Publisher’s Note: MDPI stays neutral with regard to jurisdictional claims in published maps and institutional affiliations. |
© 2022 by the authors. Licensee MDPI, Basel, Switzerland. This article is an open access article distributed under the terms and conditions of the Creative Commons Attribution (CC BY) license (https://creativecommons.org/licenses/by/4.0/).
Share and Cite
Quiroz, S.; Holzapfel, E.; Bastías, R.M.; Jara, J. Irrigation Management Based on Theoretical Requirements Reduces Water Consumption in Apple (Malus domestica Borkh.) Orchards without Effects on Fruit Yield and Components. Water 2022, 14, 3441. https://doi.org/10.3390/w14213441
Quiroz S, Holzapfel E, Bastías RM, Jara J. Irrigation Management Based on Theoretical Requirements Reduces Water Consumption in Apple (Malus domestica Borkh.) Orchards without Effects on Fruit Yield and Components. Water. 2022; 14(21):3441. https://doi.org/10.3390/w14213441
Chicago/Turabian StyleQuiroz, Sergio, Eduardo Holzapfel, Richard M. Bastías, and Jorge Jara. 2022. "Irrigation Management Based on Theoretical Requirements Reduces Water Consumption in Apple (Malus domestica Borkh.) Orchards without Effects on Fruit Yield and Components" Water 14, no. 21: 3441. https://doi.org/10.3390/w14213441
APA StyleQuiroz, S., Holzapfel, E., Bastías, R. M., & Jara, J. (2022). Irrigation Management Based on Theoretical Requirements Reduces Water Consumption in Apple (Malus domestica Borkh.) Orchards without Effects on Fruit Yield and Components. Water, 14(21), 3441. https://doi.org/10.3390/w14213441

