Abstract
Forcing watershed models with downscaled climate data to quantify future water regime changes can improve confidence in watershed planning. The Soil Water Assessment Tool (SWAT) was calibrated (R2 = 0.77, NSE = 0.76, and PBIAS = 7.1) and validated (R2 = 0.8, NSE = 0.78, and PBIAS = 8.8) using observed monthly streamflow in a representative mountainous watershed in the northeastern United States. Four downscaled global climate models (GCMs) under two Representative Concentration Pathways (RCP 4.5, RCP 8.5) were forced. Future periods were separated into three 20-year intervals: 2030s (2031–2050), 2050s (2051–2070), and 2070s (2071–2099), and compared to baseline conditions (1980–1999). Ensemble means of the four GCMs showed an increasing trend for precipitation with the highest average increase of 6.78% in 2070s under RCP 8.5. Evapotranspiration (ET) had increasing trends over the 21st century with the 2030s showing greater increases under both RCPs. Both streamflow (4.58–10.43%) and water yield (1.2–7.58%) showed increasing trends in the 2050s and 2070s under both RCPs. Seasonal increases in precipitation were predicted for most months of spring and summer. ET was predicted to increase from Spring to early Fall. Study results demonstrate the potential sensitivity of mountainous watersheds to future climate changes and the need for ongoing predictive modeling studies to advance forward looking mitigation decisions.
1. Introduction
Climate change has resulted in increased average surface temperatures of approximately 0.8 °C globally over the past several decades (1880–2012) [1]. Primary drivers of warming trends and in tandem changes to precipitation regimes include increased atmospheric carbon dioxide (CO2) and related greenhouse gas emissions. These emissions are reported to have increased surface temperatures by approximately 0.56 °C during the last 50 years alone [2]. As a consequence of these rapid changes, it is increasingly accepted that ongoing climate change will affect water resources through various impacts on the hydrologic cycle [3]. For example, from 1895 to 2011, average precipitation increased approximately five centimeters in the continental United States of America (USA) [1]. Similar to global and national climate trends, temperatures of the Appalachian Mountains of West Virginia (WV) have increased by approximately 0.28 °C to 0.56 °C in the last century, and high-intensity rainfall events are becoming increasingly frequent [2], thus suggesting an increasingly temperate climate with increasing annual precipitation [4,5]. While relative impacts are greatly unknown, this changing climate will impact the intensity and magnitude of water balance components of mountainous Appalachian watersheds [6,7,8,9]. There is therefore an ongoing need to better understand current and future climate trends of Appalachia and other mountainous systems (globally) to mitigate future hydro-climatologic pressures such as high temperatures, humidity and flooding and other climate change induced pressures.
In general, the global water cycle is expected to be intensified in response to warming trends over the 21st century [1]. Evapotranspiration (ET), the second-largest water balance component after precipitation [10], is projected to increase in most land areas [10,11]. Conversely, with increasing CO2, stomatal conductance of plants is expected to decline due to increased photosynthesis and carbon uptake [12]. Multiple recent works highlight vapor pressure deficits that decrease with increasing relative humidity [13,14,15], thereby resulting in reduced stomatal conductance, lower plant water uptake, reduced ET and increased runoff [16,17]. Potential future changes in runoff (stream and river flow) regimes will be highly connected to altered timing and distribution of future precipitation changes [8,18,19,20], which may vary among regions and may be amplified by antecedent conditions [10,11]. Consequently, climate change is projected to push hydrologic regimes in many new extreme directions including (but not limited to) increased floods and droughts, and air temperature [21,22]. These geographically variable changes will directly influence water availability for human uses and magnify societal vulnerabilities [1,2,7,21,22]. There has therefore never been a more critical time to make informed water management decisions based on best science-based modeling available to implement appropriate climate change adaption strategies [8,11,20,23].
Global Climate Models (GCMs) are a useful tool to assess future climate change under differing greenhouse gas emission scenarios [11,24]. In recent years, future climate projections have been derived primarily from the fifth phase of Coupled Model Intercomparison Projects (CMIP5) [8,11] as CMIP5 consists of GCMs with higher spatial resolution, thereby generating more reliable outputs that address a wider variety of scientific issues of interest [25]. Representative Concentration Pathways (RCPs) provide an approximate emission scenario for the year 2100. RCP 8.5 represents a largely uncontrolled future greenhouse gas emissions scenario, and RCP 4.5 represents intermediate greenhouse gas emission scenarios [11,25]. The general approach used to assess climate change impacts on hydrologic regimes is to force process-based watershed predictive models with GCMs under different RCPs.
The Soil Water Assessment Tool has broad acceptance as a tool to assess future hydro-climate related management decisions (SWAT) [7,11,26,27]. For example, [27] integrated SWAT and CMIP5 climate projections and predicted a consistent increase in streamflow for future climate scenarios in Old Woman Creek Watershed, Ohio, USA. [7] used SWAT to show that future climate change will increase the likelihood of winter floods in mountainous Upper Colorado River Basins (UCRB). As the integration of SWAT and GCMs can provide useful geographically distinct insights for future water availability, such studies should be undertaken in many geographic locations including those of complex physiography, for example the Appalachian Mountains of West Virginia. Most previous Appalachian investigations were integrated within larger regional scales [28,29,30]. However, small-sized (higher resolution) watersheds are generally more vulnerable to hydrologic changes (and extreme events) due to their geomorphological conditions (steep and short slope side, and mobile soils) [31,32,33,34,35]. Changes due to anthropogenic climate change are already affecting rainfall-runoff processes [19] and resulting in catastrophic events in the Appalachian region of West Virginia (WV). For example, in 2016, an extreme 1 in 1000-year rainfall event caused devastating flooding in central and southeastern WV and caused damages to roads, agriculture and loss of resident human lives [36]. On this basis alone, there is a moral imperative for research in small-scale Appalachian watersheds to assess the vulnerability of water resources under higher resolutions of topography, land use, and climate changes.
Given the research needs articulated above and the expected impacts of changing climate on the local economy, environment, and human life, it is important to develop predictive models to assist with future looking mitigation decisions that must be made considering future climate change impacts on the hydrologic regimes in Appalachia. The overarching objective of this research was to integrate four selected GCMs from the CMIP5 model with SWAT to project climate change impacts on water balance components in a representative Appalachian Watershed in West Virginia (WV), USA. Sub objectives were (a) to force a calibrated and validated SWAT model with GCM projections under three future periods: 2030s: (2031–2050), 2050s: (2051–2070), and 2070s: (2071–2099) and two RCPs (moderate emission scenario: RCP 4.5 and high emission scenario: RCP 8.5), and (b) to analyze the annual and monthly changes in water balance components, including precipitation, ET, streamflow, and water yield in future periods under two RCPs by comparing the future projections to a historical baseline of 1980–1999.
2. Materials and Methods
2.1. Study Site Description
This investigation was conducted for the Deckers Creek Watershed (DCW) located in the Appalachian Mountains of WV (Figure 1). Deckers Creek is in northern WV and is a 38 km tributary of the Monongahela River [37]. The Creek originates in southeastern Preston County, flowing through Monongalia County to the Monongahela River in Morgantown [38]. DCW comprises a drainage area of approximately 164 km2 with elevation ranging from 243 m to 722 m above sea level [39]. The majority of DCW is forested (70%), followed by agriculture (15%) and urban areas (10%) [38].
Figure 1.
Deckers Creek Watershed (DCW) located in northern West Virginia with USGS station (USGS 03062500) and NOAA weather station (USW00013736).
DCW is categorized as a hydrologic group D watershed (HUC #0502000302). Based on streamflow measured at the DCW United States Geological Survey stream gauge site (USGS 03062500), the lowest streamflow occurs in August (1.1 m3/s) and September (1.15 m3/s), and the highest streamflow is observed in February (6.02 m3/s) and March (5.44 m3/s), based on data from 2004–2020. Weather observations for DCW from 2001–2021, recorded at the Morgantown Municipal Airport (NOAA weather station, Figure 1), indicated that average annual precipitation was 1140 mm, the mean annual maximum temperature was 17.7 °C, and the average yearly minimum temperature was 6.9 °C. The months of highest precipitation for DCW were July, May, and June, with 142.8 mm, 114.1 mm, and 113.4 mm, respectively, and the months of lowest precipitation were November, February, and January, with 71.4 mm, 73.7 mm, and 77.8 mm, respectively.
2.2. SWAT Description and Parameterization
SWAT is a physically based, semi-distributed, watershed-scale model that can be forced under daily or monthly time steps [40,41,42]. SWAT has been extensively used to investigate the effects of climate change, land use/land cover changes, and best management practices (BMP), thereby demonstrating the model’s usefulness to interrogate a broad range of watershed sizes and land use practices, and environmental problems [43,44,45,46,47,48]. Due to its broad acceptance among the scientific and land-management community, SWAT was selected for this research to assess future climate change impacts on hydrologic process components in the DCW. In SWAT, a watershed is often subdivided into several sub-watersheds, which are further discretized into Hydrologic Response Units (HRU). HRUs are the smallest spatial units in SWAT [49] with homogeneous areas of land use, soil, and slope classes [40]. The forcings needed to create subbasins and HRUs for DCW in SWAT were developed using a 1/3 arc-second DEM that was downloaded from the USGS National Elevation Dataset (https://www.usgs.gov (accessed on 25 April 2021)). Land use data were downloaded from the National Land Cover Dataset [50] (https://www.mrlc.gov/data/nlcd-2016-land-cover-conus (accessed on 25 April 2021)). A 1:24,000 high-resolution Soil Survey Geographic Database (SSURGO) was obtained from the Natural Resources Conservation Service (NRCS) (www.nrcs.usda.gov (accessed on 25 April 2021)). Meteorological data required for model forcings were obtained from the National Climate Data Center (NCDC) (www.ncdc.noaa.gov (accessed on 17 May 2021)) (USW 00013736)—Morgantown Municipal Airport (Figure 1, NOAA weather station). Meteorological data included daily precipitation, and daily maximum and minimum temperatures from 2001 to 2021. Using these inputs, streamflow was simulated separately for each HRU and routed to obtain the total streamflow. Afterward, hydrologic components were computed, and the land phase of the hydrologic cycle was modeled following Equation (1) [40,51,52]
where is the final soil water content (mm H2O), is the initial soil water content (mm H2O), t is time (days), is the amount of precipitation on day (mm H2O), is the amount of surface water runoff (mm H2O), is the amount of evapotranspiration (mm H2O), is the amount of water entering the vadose zone from the soil profile (mm H2O).
2.3. SWAT Calibration and Validation
A SWAT model for DCW was parameterized and forced from 2004 to 2020 in a monthly time step. A warm-up period of three years (2001–2003) was excluded from the analysis to stabilize the model [52,53]. The model was calibrated using observed streamflow data (USGS 02062500) from 2004–2013 and validated using observed data from 2014–2020. The multi-objective calibration tool—SWAT Calibration and Uncertainty Programs (SWAT-CUP) was used to facilitate calibration and validation phases of modeling [40,53]. In SWAT-CUP, the semi-automatic inverse modeling procedure algorithm—SUFI-2 was selected to identify the optimal values for model parameters [40,53,54]. Both calibration and validation were forced by adjusting the lower and upper limits of the sensitive SWAT parameters to simulate streamflow [24,40,55]. Sensitive parameters were identified as-per previous SWAT analyses and authors that identified variables that are most often influenced simulated streamflow for a wide distribution of watersheds (Table 1) [11,40,56,57,58,59].
Table 1.
Calibrated values of the parameters selected for SWAT calibration for Deckers Creek Watershed, Morgantown, West Virginia, USA. Note(s): “V”: The default parameter is replaced by a given value; “R”: The existing parameter value is changed relatively. “~” = approximately.
2.4. SWAT Performance Evaluation
SWAT model performance was assessed on the basis of goodness of fit between observed and estimated streamflow [60]. Performance was assessed quantitatively using the Nash–Sutcliffe efficiency coefficient (NSE), the coefficient of determination (R2), and the percent bias (PBIAS). Among these three statistical parameters, NSE and R2 are recommended for analyzing monthly streamflow output. PBIAS is applied extensively to evaluate model performance [60,61]. The coefficient of determination indicates the strength of the relationship between the observed and simulated streamflow (Equation (2)) (Jha et al., 2006) and values within the range of 0.70< to <0.80 are considered satisfactory for streamflow simulation [61]. Similarly, if the NSE value (Equation (3)) is in the range of 0.5 to <0.65, the streamflow simulation is considered satisfactory [60]. The optimal value for PBIAS (Equation (4)) is 0, however, a low-magnitude value indicates a more accurate model simulation. For streamflow simulation, PBIAS < ±10 is considered very good for monthly time steps [60].
where is the observed data, is the simulated data, is mean of simulated data, and is the mean of observed data, is the th measured or simulated data.
2.5. Future Climate Scenarios
Following SWAT calibration and validation, climate change scenarios were simulated based on four chosen GCMs (miroc5.3, mpi-esm-lr3, noresm1-m, and mri-cgcm3.1) from CMIP5 projection archive files (http://gdo-dcp.ucllnl.org/ (accessed on 10 February 2022)) [25] (Table 2).
Table 2.
Global Circulation Models (GCMs) chosen for future climate scenario analysis using the SWAT model for Deckers Creek Watershed, Morgantown, West Virginia, USA.
The GCMs were selected based on broad applicability in assessing climate change impacts on hydrologic components based on investigations from a wide variety of watersheds [62,63,64,65,66]. Climate projections were developed using the daily bias correction constructed analogs (BCCA) downscaled technique [8,67]. The GCMs were evaluated by comparing the bias-corrected historical simulation of precipitation, minimum and maximum temperature from 1950–1980 under RCP 4.5 to the historical record from the Morgantown Municipal Airport (Figure 1, NOAA weather station) at a monthly scale. The results illustrated a good correlation between GCM outputs with historical records (Table 3). To further evaluate the chosen GCMs, the observed precipitation, maximum-minimum temperature, and streamflow were compared with the GCM simulated outputs on an annual (Figure A3) and monthly scale (Figure A4). The annual comparison was conducted for three periods of 10-year intervals (1950s = 1951–1960, 1960s =1961–1970, 1970s = 1971–1980). These results were complimentary to other GCM comparisons.
Table 3.
Correlation coefficient (R2) of historical records from Morgantown Municipal Airport and historical simulations of GCMs from 1950–1980 at a monthly scale under RCP 4.5 for precipitation, minimum and maximum temperature.
The validated SWAT model was forced with future daily precipitation and temperature estimates from chosen GCMs for three future periods with 20-year intervals: 2030s (2031–2050), 2050s (2051–2070), 2070s (2071–2090), and two RCPs (4.5 and 8.5) (Table 2). All the hydrologic estimates from future periods were compared with a historic baseline period of 1980–1999. To validate SWAT simulated future hydrologic projections with the historical baseline, a comparison between streamflow simulated by GCM historical data and the observed climate data (Morgantown Municipal Airport) was carried out from 1950–1980. The result illustrated a good correlation between the simulated streamflow outputs (R2 = 0.92, Figure A2). Thus, there were a total of 25 models including 24 future scenario models and one historic baseline model developed in this analysis. No significant changes to land-use and land-cover over the prediction period were assumed so as to isolate the impact of climate change on hydrologic processes in the DCW.
3. Results and Discussion
3.1. SWAT Model Performance
The simulated model calibration and validation efficiency values for monthly streamflow for the USGS gauge station at DCW (USGS 03062500) are provided in Table 4. Average monthly-simulated streamflow was compared to observed streamflow during the calibration period (2004–2013) and validation period (2014–2020) (Figure 2). Automatic parameter optimization procedures were implemented during model calibration to fine-tune sensitive parameters affecting streamflow (Table 1) [8,40]. Best-fit parameter values are shown in Table 1. The statistical indicators of the model’s performance, including R2, NSE, and PBIAS for monthly streamflow were 0.77, 0.76, and 7.1, respectively, during the calibration period (Table 4). Similarly, the respective performance indicators were 0.8, 0.78, and 8.8, respectively, during the validation period (Table 4). The overall statistical results indicated a good agreement between simulated and observed streamflow, as well as reasonable accuracy in the hydrologic modeling results as per the quality metrics of [61].
Table 4.
Goodness-of-fit statistics for the monthly streamflow at the US Geological Survey (USGS) flow gauging station at Deckers Creek Watershed, Morgantown, West Virginia, USA. Note(s): R2 = Coefficient of Determination; NSE = Nash-Sutcliffe Efficiency; PBIAS = Percent Bias.
Figure 2.
Simulated and observed streamflow during calibration and validation periods for Deckers Creek Watershed, Morgantown, West Virginia, USA.
3.2. Projected Temperature Change in the 21st Century
Absolute changes in minimum (Tmin) and maximum (Tmax) air temperatures were analyzed, and the ensemble means of four GCMs for all future period-RCP scenarios were compared to the historical baseline (Table 5). Both the ensemble means of Tmin and Tmax were projected to increase in future periods under RCPs 4.5 and 8.5. The average Tmin was 4.11 °C and Tmax was 17.29 °C for the historical baseline (Figure 3). Under RCP 4.5, the ensemble means of Tmin was projected to reach 6.24 °C (2.13 °C increase), 6.77 °C (2.66 °C increase), and 6.98 °C (2.87 °C increase), whereas Tmax was projected to reach 19.37 °C (2.08 °C increase), 19.92 (2.63 °C increase), and 20.14 °C (2.85 °C increase) for the 2030s, 2050s, and 2070s, respectively (Table 5). Similarly, RCP 8.5 showed a consistent increase for Tmin and Tmax with the highest approximately 4 °C increase in the 2070s (Tmin: 8.84 °C, Tmax: 22.02 °C) (Figure 3, Table 5). This projection agrees well with [1], who also indicated that the global surface temperature increase for the 21st century would likely be within a range of 1.1 °C to 3.0 °C under RCP 4.5 and 3.0 °C to 5.0 °C for RCP 8.5. However, future increases in both Tmin and Tmax contrasted with the observed trend in West Virginia from 1900 to 2016 where the maximum temperature was shown to decrease (−1.0 °C) and minimum temperature increased (+0.4 °C) [4,5,15] based on long-term observed data. This is important given that temperature increases in the future are expected to alter the annual and monthly water flow regime [7,8,11,19,68].
Table 5.
Projected minimum temperature (Tmin) and maximum temperature (Tmax) for three future periods (2030s, 2050s, 2070s) under two RCPs (4.5, 8.5) in DCW, Morgantown, WV, USA. Ensemble mean for four GCMs with the ensemble minimum and maximum values on the parentheses.
Figure 3.
Projected annual temperature changes from ensemble mean for four GCM scenarios in (a) minimum temperature (°C), and (b) maximum temperature (°C) for 3 future periods of 20-year intervals (2030s: 2031–2050, 2050s: 2051–2070, 2070s: 2071–2090) and two RCPs (RCP 4.5 and RCP 8.5) in Deckers Creek Watershed, Morgantown, West Virginia, USA. The black line in 1980 represents the average temperature for the historical baseline of 1980–1999.
3.3. Climate Change Impact on the Annual and Monthly Water Regime
Climate projections from the four chosen GCMs and historical baseline were used to force the validated SWAT model. SWAT-simulated results provided the future annual and monthly projections of precipitation, streamflow, ET, and water yield. All the changes for 2030s, 2050s, 2070s under two RCPs (4.5 and 8.5) were calculated as percent change from baseline and the descriptive statistics, including ensemble mean, minimum, and maximum percentage changes were reported (Table 6).
Table 6.
Projected changes of water balance components from baseline trends (1980–1999) for three future periods (2030s, 2050s, 2070s) under two RCPs (4.5, 8.5) in Deckers Creek Watershed, Morgantown, West Virginia, USA. Ensemble mean for four GCMs with the ensemble minimum and maximum on the parentheses.
3.3.1. Precipitation
Ensemble means of 4 GCMs projected a clear trend of increased precipitation, ranging from 0.43 mm (0.47%) to 6.08 mm (6.78%) increase from baseline (89.7 mm) in DCW over the 21st century under both the RCPs (Figure 4, Table 5).
Figure 4.
Projected annual changes in water balance components (a) precipitation, (b) streamflow, (c) evapotranspiration, and (d) water yield in Deckers Creek Watershed, Morgantown, West Virginia, USA. Box and whisker plot represent ensemble percentage change for four GCMs under two RCPs (RCP 4.5 and RCP 8.5). Projections are for 3 future periods of 20-year interval (2030s = 2031−2050, 2050s = 2051−2070, 2070s = 2071−2090). The black dotted line represents the historical baseline of 1980–1999.
RCP 8.5 resulted in approximately 1.2–4.3% higher increase in precipitation relative to RCP 4.5 (Table 6). Average precipitation was shown to increase more in the latter part of the 21st century. These trends are consistent with the findings of [4] who showed a 4.09 cm (3.8%) increase in total annual precipitation in WV from 1900–2016 with a more accelerating trend (13.2%) from 1959–2016 based on long-term observed data. This finding is important considering that with increasing precipitation there may be corresponding increases in flooding events in the 21st century [24].
Monthly precipitation trends were more ambiguous for the future relative to annual trends. However, an increasing trend was observed in most of the months except for March and November. March showed a maximum decrease of approximately 10% and November showed a maximum decrease of approximately 20% from historical baseline (Figure 5). Summer months showed a decreasing trend in the 2030s under both RCPs (approximately 2%, 7%, and 5% in May, June, and July, respectively). The latter portion of the 21st century showed minor increases in summer precipitation (e.g., approximately 10% increase in July 2070s) (Figure 5). However, most of the months of winter and spring including December, January, February, and April showed a consistent increasing trend in the 21st century. The greatest increase was observed for February in the 2070s under RCP 8.5 (approximately 21%) (Figure 5). This increasing trend was consistent with the findings of [2] suggesting a future shift in rainfall patterns including increased average precipitation during winter and spring.
Figure 5.
Projected monthly changes in water balance components (a) precipitation, (b) streamflow in Deckers Creek Watershed, Morgantown, West Virginia, USA. Box and whisker plot represent ensemble percentage change for four GCMs under two RCPs (RCP 4.5 and RCP 8.5). Projections are for 3 future periods of 20-year interval (2030= 2031−2050, 2050 = 2051−2070, 2070 = 2071−2090). The dotted line represents the historical baseline of 1980−1999.
3.3.2. Streamflow
Like precipitation, SWAT-simulated streamflow projections showed a consistent increasing trend from baseline (3.17 m3/s) throughout all future periods under RCP 4.5 and 8.5 except for a 1.4% decrease in the 2030s under RCP 4.5 (Table 6, Figure 4). This decrease may be attributable to the combined effect of a minor increase (0.48%) in precipitation and a large increase (approximately 6.0–15.0 °C) in future temperature. In addition, RCP 8.5 showed a consistent increase in streamflow for all the future periods relative to RCP 4.5. The streamflow increase was the highest at the end of the 21st century (2070s). Under RCP 4.5, streamflow was projected to increase by 4.58% and 3.23% for the 2050s, and 2070s, respectively. Streamflow was projected to increase 0.006 m3/s (0.18%), 0.17 m3/s (5.28%), and 0.33 m3/s (10.43%) under RCP 8.5 for the 2030s, 2050s, and 2070s, respectively. A maximum increase of 12.8% was projected in the 2070s under RCP 8.5. These results are consistent with [69] and [29], who showed that streamflow was predicted to increase in most Northeast watersheds in the U.S. under RCP 4.5. However, for the Monongahela Basin (in which resides the DCW), streamflow was projected to increase under both RCP 4.5 and RCP 8.5 [70].
Historically, streamflow showed increasing volumes from mid-fall to early spring months (October–March) and a decreasing trend from mid-spring to early fall (April–September) (Figure A1). Results of the current investigation indicate that over the 21st century, the streamflow trend is projected to shift from historic trends to increasing flow volumes in late summer to mid-winter (August–January) and decreasing flow volumes in late winter to late mid-summer (February–July) (Figure 5). This shift from the historical trends was observed under RCP 4.5 and 8.5 for the entire future period (2031–2099). The highest streamflow was observed in October with approximately 75% to approximately 125% increase under the 2050s and 2070s, respectively. Such high streamflow may increase the occurrence of flow related extremes in DCW in the future, including flooding.
3.3.3. Evapotranspiration (ET)
The historical average from 1980–1999 for ET was 34.89 mm. SWAT generated predictions showed that ET will increase over the 21st century under both greenhouse gas emission scenarios (RCP 4.5 and 8.5) (Table 6, Figure 4). The average increases from the historic baseline were 2.38 mm (6.83%), 2.98 mm (8.55%), and 2.03 mm (5.83%) for the 2030s, 2050s, and 2070s under RCP 4.5, respectively. The RCP 8.5 pathway resulted in a projected increase of 2.73 mm (7.85%), 2.18 mm (6.25%), and 1.85 mm (5.3%) for the 2030s, 2050s, and 2070s, respectively. This rate of increase in ET surpassed the projected precipitation increase rate except for the 2070s under RCP 8.5 (Table 6). The primary attribution for increased ET in the future is increased temperature over the 21st century [17,26]. However, increased ET in the Appalachian region could also be connected to increased afforestation or lengthened growing season [5,70]. For example, from 1909 to 2012, dominant agricultural land (72%) in WV transitioned to native forest cover (79%) [5].
In the 2050s and 2070s, ET was higher under RCP 4.5 relative to RCP 8.5 (Table 6), which may be, at least in part, attributable to the decreasing stomatal conductance under elevated carbon dioxide concentration [64,71,72,73,74]. A decrease in ET was observed from the fall to winter months (September-March) and an increasing rate was observed in spring and summer months throughout the 21st century (Figure 6). However, the latter part of the 21st century showed a consistently higher increase with the greatest increase of approximately 125% in April 2070s. The high increase of ET before the summer months may be attributable to increasingly higher spring temperatures and subsequent early high(er) evaporation rates [2]. In addition, the gradual decrease of ET from April through the spring and summer months could be related to increased plant growth and canopy shading of the ground [75], or perhaps decreased stomatal conductance related to lower vapor pressure deficits as shown in recent work [4,13,14].
Figure 6.
Projected monthly changes in water balance components (a) evapotranspiration, (b) water yield in Deckers Creek Watershed, Morgantown, West Virginia, USA. Box and whisker plot represent ensemble percentage change for four GCMs under two RCPs (RCP 4.5 and RCP 8.5). Projections are for 3 future periods of 20-year interval (2030 = 2031−2050, 2050 = 2051−2070, 2070 = 2071−2090). The dotted line represents the historical baseline of 1980−1999.
3.3.4. Water Yield
Ensembles of projected mean water yield generated by the SWAT model showed an increasing trend in the future periods relative to the historical baseline (54.77 mm) except in the 2030s during which an average 1.64 mm to 2.19 mm (3–4%) water yield decrease was predicted. In addition, a maximum decrease of 9.6% (5.26 mm) was projected in the 2030s under RCP 8.5. After the 2030s a stable increasing trend was observed through the 2050s to the 2070s. Water yield was projected to increase 0.66 mm (1.2%) and 0.11 mm (0.2%) under RCP 4.5 for the 2050s and 2070s. Similarly, water yield was projected to increase by 0.99 mm (1.8%) and 4.16 mm (7.6%) under RCP 8.5 for the 2050s and 2070s. The most significant increase of 10.1% was projected in the 2070s under RCP 8.5.
Water yield showed a decreasing trend in spring and summer months (February–July) and an increasing trend in fall and winter months (August–January). These trends were consistent throughout the 21st century. The increasing trend was consistently higher from the 2030s to the 2070s (Figure 6). The decreased water yield in spring and summer was connected to projected increased ET, which surpassed the minor increase of precipitation resulting in decreased streamflow. Similarly, increased water yield in fall and winter was connected to projected decreases in ET and increases in precipitation. SWAT simulations showed that the largest contributor to water yield (average 54.8 mm for baseline period) was groundwater (GW) (average 35.45 mm baseline period: 65%), followed by surface runoff (SW) (average 13.77 mm baseline period: 25%) (Table 7), with a minor contribution from subsurface lateral flow. DCW was projected to be more GW-dominated (5% increase) and less SW (6% decrease) dominated in future periods (Table 7). Thus, GW was projected to follow a similar monthly trend as water yield showing a decrease in summer and spring and an increase in fall and winter months (Figure 7). However, SW showed a decreasing trend in all future months except for a significant increase in September and October (approximately 125–150% increase in the 2070s). SW increases in the early fall season may be related to ET decreases and precipitation increase in the future at the same time [9,24]. Overall, SWAT model predictions indicate that future climate change will result in high(er) water availability in fall and winter and less water in spring and summer. Results imply that land managers should begin to adjust practices now to mitigate for reduced water availability during the growing season in spring and summer, and water excess during the fall and winter months in the decades to come.
Table 7.
Surface runoff (mm) and groundwater contribution (mm) to water yield for historical baseline and three future periods (2030s, 2050s, 2070s) under two RCPs (4.5, 8.5) in Deckers Creek Watershed, Morgantown, West Virginia, USA. The number in the parentheses shows the percent contribution of surface runoff and groundwater to water yield.
Figure 7.
Projected monthly changes in groundwater and surface runoff in Deckers Creek Watershed, Morgantown, West Virginia, USA. Box and whisker plot represent ensemble percentage change for four GCMs under two RCPs (RCP 4.5 and RCP 8.5). Projections are for 3 future periods of 20-year interval (2030s = 2031−2050, 2050s = 2051−2070, 2070s = 2071−2090). The dotted line represents the historical baseline of 1980−1999.
3.4. Study Implications
Forcing watershed models with GCMs to assess impacts of climate change on water balance components involve challenges and uncertainties [59,76,77,78,79]. The disagreement between GCM resolutions, difference in statistical and dynamic downscaling methods may lead to unreliable future projections, which make selection of GCMs the greatest source of uncertainty in climate change research [62,66,80]. In addition, SWAT-simulated streamflow, ET, and water yield outputs can be affected by model parameterization uncertainties and input data quality. In the present study, GCM uncertainties were addressed by choosing four GCMs based on their broad applicability in the climate change assessment on water resources [62,63,64,65,66]. The results were illustrated as ensemble means of four GCMs for all future period-RCP scenarios to compensate for GCM uncertainties. In addition, the uncertainties in SWAT-simulated results were addressed by calibrating and validating simulated and observed streamflow with good agreement [61]. Future investigations may benefit from inclusion of additional GCMs to address many of these challenges. Regardless, methods of the current study could be applied to other complex mountainous watersheds and expanded by considering potential land-use changes and anthropogenic activities, at high resolution watershed levels.
4. Conclusions
Future climate change impacts on hydrologic components were investigated by forcing the physically processes-based SWAT model with four GCMs (miroc5.3, mpi-esm-lr3, noresm1-m, and mri-cgcm3.1) from downscaled climate data of the CMIP5 archive in a representative watershed of the Appalachian Mountains of the northeastern USA. Each GCM was simulated for three future periods 2030s (2031–2050), 2050s (2051–2070), 2070s (2071–2090) under two RCPs (RCP 4.5 and 8.5) and compared with the historic (observed) baseline of 1980–1999. The SWAT model was calibrated on a monthly time step with three fitness criteria (NSE, R2, and PBIAS) using a SUFI-2 calibration method. The fitness parameters showed good agreement between model simulated and observed streamflow for both calibration (NSE = 0.76, R2 = 0.77, and PBIAS = 7.1) and validation (NSE = 0.78, R2 = 0.8, and PBIAS = 8.8) [60,61]. Downscaled daily precipitation and maximum, and minimum temperature from the four GCMs were forced as input to the validated SWAT model.
Results indicate a warmer and wetter future condition consequent to increases in temperature and precipitation for the 2030s, 2050s, and 2070s under the RCP 4.5 and RCP 8.5 scenarios, relative to the baseline period. Additionally, ET increased throughout all future periods for both RCP scenarios. Seasonally, ET was predicted to rise from Spring to early Fall (March to August), with the highest ET in April (over 43.61 mm) in 2070s under RCP 8.5. These changes may increase periodic crop water requirements and probability of drought. ET maintained a decreasing trend for the rest of the year. Both streamflow and water yield followed a reverse monthly trend relative to ET. Water yield predictions showed a significant increase in the Fall, and the seasonal streamflow pattern was consistent with water yield. The projected shift in precipitation patterns would most likely impact floods and droughts by changes of timing and magnitude [81]. Thus, results indicate that the peak flow season may shift from Summer to Fall. This might increase probability of floods in Fall and Winter. Overall, Deckers Creek Watershed is projected to be wetter in the future due to increased precipitation, streamflow, and water yield, over the 21st century. Potential sensitivity of Appalachian mountainous watersheds to future climate perturbations identified by applying GCM projections constitute an important tool to preempt future water resource management of the region. This investigation provided quantitative evidence for the influence of climate change on annual and monthly precipitation, streamflow, ET, and water yield. Study results show a shift in peak flow and possible hydrological extremes, thereby providing water resource managers needed information to take early precautions to best allocate water resources. Finally, this attempt, using the SWAT model, to estimate future hydrologic processes in the Appalachians of West Virginia is a useful springboard to provide science-based information to better manage water resources in the Appalachians of the Eastern United States and similar complex mountainous systems globally.
Author Contributions
For the current work, author contributions were as follows: conceptualization, J.A.H., B.F.A. and L.J.; methodology, J.A.H., B.F.A. and L.J.; software, J.A.H.; validation, J.A.H., B.F.A. and L.J.; formal analysis, B.F.A. and L.J.; investigation, B.F.A. and L.J.; resources, J.A.H.; data curation, J.A.H., B.F.A. and L.J.; writing—original draft preparation, J.A.H., B.F.A. and L.J.; writing—review and editing, J.A.H. and B.F.A.; visualization, J.A.H., B.F.A. and L.J.; supervision, J.A.H.; project administration, J.A.H.; funding acquisition, J.A.H. All authors have read and agreed to the published version of the manuscript.
Funding
This work was supported by the USDA National Institute of Food and Agriculture, Hatch project accession number 1011536 and McIntire Stennis accession number 7003934, and the West Virginia Agricultural and Forestry Experiment Station. Additional funding was provided by the USDA Natural Resources Conservation Service, Soil and Water conservation, Environmental Quality Incentives Program No: 68-3D47-18-005 and a portion of this research was supported by Agriculture and Food Research Initiative Competitive Grant no. 2020-68012-31881 from the USDA National Institute of Food and Agriculture. Results presented may not reflect the views of the sponsors and no official endorsement should be inferred. The funders had no role in study design, data collection and analysis, decision to publish, or preparation of the manuscript.
Data Availability Statement
The data presented in this study are available on reasonable request from the corresponding author or are available through publicly available sources noted in text.
Acknowledgments
The authors appreciate the support of many scientists of the Interdisciplinary Hydrology Laboratory (https://www.researchgate.net/lab/The-Interdisciplinary-Hydrology-Laboratory-Jason-A-Hubbart; accessed on 20 September 2022). The authors also appreciate the feedback of anonymous reviewers whose constructive comments improved the article.
Conflicts of Interest
The authors declare no conflict of interest.
Appendix A
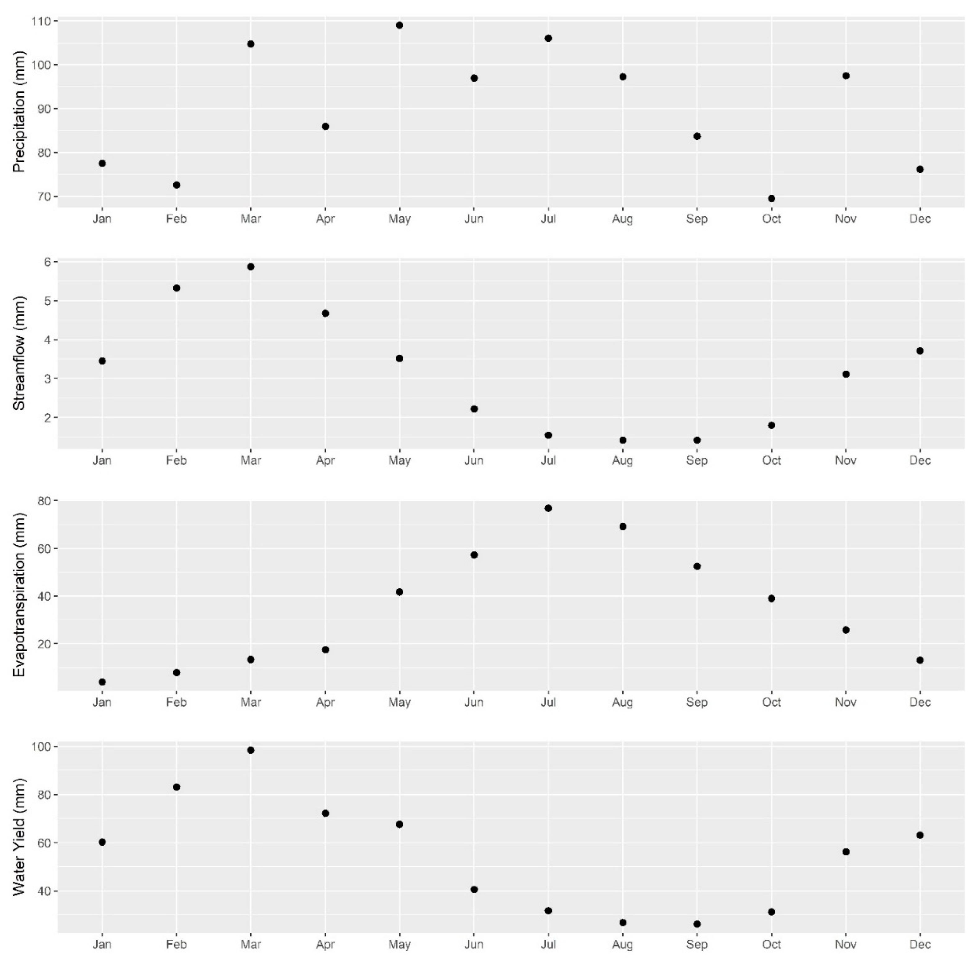
Figure A1.
Monthly average of hydrologic components for historical baseline of 1980–1999.
Figure A1.
Monthly average of hydrologic components for historical baseline of 1980–1999.

Figure A2.
Comparison between streamflow simulated by GCM historical data and the observed climate data (Morgantown Municipal Airport) from 1950–1980 at monthly scale.
Figure A2.
Comparison between streamflow simulated by GCM historical data and the observed climate data (Morgantown Municipal Airport) from 1950–1980 at monthly scale.

Figure A3.
Comparison between observed and GCM simulated precipitation, maximum temperature (Tmax), minimum temperature (Tmin), and streamflow. The observed values are illustrated as the blue circle and the box and whisker plot represents the GCM simulated results and the range of variability between four GCMs. Comparisons are conducted for 3 periods of 10-year interval (1950s = 1951–1960, 1960s =1961–1970, 1970s = 1971–1980).
Figure A3.
Comparison between observed and GCM simulated precipitation, maximum temperature (Tmax), minimum temperature (Tmin), and streamflow. The observed values are illustrated as the blue circle and the box and whisker plot represents the GCM simulated results and the range of variability between four GCMs. Comparisons are conducted for 3 periods of 10-year interval (1950s = 1951–1960, 1960s =1961–1970, 1970s = 1971–1980).

Figure A4.
Comparison between monthly average of observed and GCM simulated precipitation, maximum temperature (Tmax), minimum temperature (Tmin), and streamflow for 1950–1980. The observed values are illustrated as the blue circle and the box and whisker plot represents the GCM simulated results and the range of variability between four GCMs.
Figure A4.
Comparison between monthly average of observed and GCM simulated precipitation, maximum temperature (Tmax), minimum temperature (Tmin), and streamflow for 1950–1980. The observed values are illustrated as the blue circle and the box and whisker plot represents the GCM simulated results and the range of variability between four GCMs.

References
- IPCC. Climate Change 2013: The Physical Science Basis; Contribution of working group I to the fifth assessment report of the intergovernmental panel on climate change; IPCC: Geneva, Switzerland, 2013; p. 1535. [Google Scholar]
- EPA. What Climate Change Means for West Virginia; EPA 430-F-16-050; EPA: Washington, DC, USA, 2016. [Google Scholar]
- Huntington, T.G. Evidence for intensification of the global water cycle: Review and synthesis. J. Hydrol. 2006, 319, 83–95. [Google Scholar] [CrossRef]
- Kutta, E.; Hubbart, J. Climatic Trends of West Virginia: A Representative Appalachian Microcosm. Water 2019, 11, 1117. [Google Scholar] [CrossRef]
- Kutta, E.; Hubbart, J.A. Observed climatic changes in West Virginia and opportunities for agriculture. Reg. Environ. Chang. 2019, 19, 1087–1099. [Google Scholar] [CrossRef]
- Jha, M.K.; Gassman, P.W. Changes in hydrology and streamflow as predicted by a modelling experiment forced with climate models. Hydrol. Process. 2014, 28, 2772–2781. [Google Scholar] [CrossRef]
- Stewart, I.T.; Ficklin, D.L.; Carrillo, C.A.; McIntosh, R. 21st century increases in the likelihood of extreme hydrologic conditions for the mountainous basins of the Southwestern United States. J. Hydrol. 2015, 529, 340–353. [Google Scholar] [CrossRef]
- Shrestha, S.; Sharma, S.; Gupta, R.; Bhattarai, R. Impact of global climate change on stream low flows: A case study of the great Miami river watershed, Ohio, USA. Int. J. Agric. Biol. Eng. 2019, 12, 84–95. [Google Scholar] [CrossRef]
- Mengistu, D.; Bewket, W.; Dosio, A.; Panitz, H.-J. Climate change impacts on water resources in the Upper Blue Nile (Abay) River Basin, Ethiopia. J. Hydrol. 2021, 592, 125614. [Google Scholar] [CrossRef]
- Georgakakos, A.; Fleming, P.; Dettinger, M.; Peters-Lidard, C.; Richmond, T.; Reckhow, K.; White, K.; Yates, D. Water Resources—Climate Change Impacts in the United States: The Third National Climate Assessment; U.S. Global Change Research Program: Washington, DC, USA, 2014. [Google Scholar] [CrossRef]
- Sunde, M.G.; He, H.S.; Hubbart, J.A.; Urban, M.A. Integrating downscaled CMIP5 data with a physically based hydrologic model to estimate potential climate change impacts on streamflow processes in a mixed-use watershed. Hydrol. Process. 2017, 31, 1790–1803. [Google Scholar] [CrossRef]
- Ainsworth, E.A.; Rogers, A. The response of photosynthesis and stomatal conductance to rising [CO2]: Mechanisms and environmental interactions. Plant Cell Environ. 2007, 30, 258–270. [Google Scholar] [CrossRef]
- Hubbart, J.A.; Guyette, R.; Muzika, R.M. More than Drought: Precipitation Variance, Excessive Wetness, Pathogens and the Future of the Western Edge of the Eastern Deciduous Forest. Sci. Total Environ. 2016, 566–567, 463–467. [Google Scholar] [CrossRef]
- Kutta, E.; Hubbart, J. Changing Climatic Averages and Variance: Implications for Mesophication at the Eastern Edge of North America’s Eastern Deciduous Forest. Forests 2018, 9, 605. [Google Scholar] [CrossRef]
- Kutta, E.; Hubbart, J. Observed Mesoscale Hydroclimate Variability of North America’s Allegheny Mountains at 40.2° N. Climate 2019, 7, 91. [Google Scholar] [CrossRef]
- Betts, R.A.; Boucher, O.; Collins, M.; Cox, P.M.; Falloon, P.D.; Gedney, N.; Hemming, D.L.; Huntingford, C.; Jones, C.D.; Sexton, D.M.; et al. Projected increase in continental runoff due to plant responses to increasing carbon dioxide. Nature 2007, 448, 1037–1041. [Google Scholar] [CrossRef]
- Wilcox, B.P. Transformative ecosystem change and ecohydrology: Ushering in a new era for watershed management. Ecohydrology 2010, 3, 126–130. [Google Scholar] [CrossRef]
- Campbell, J.L.; Driscoll, C.T.; Pourmokhtarian, A.; Hayhoe, K. Streamflow responses to past and projected future changes in climate at the Hubbard Brook Experimental Forest, New Hampshire, United States. Water Resour. Res. 2011, 47, W02514. [Google Scholar] [CrossRef]
- Leta, O.; El-Kadi, A.; Dulai, H. Impact of Climate Change on Daily Streamflow and Its Extreme Values in Pacific Island Watersheds. Sustainability 2018, 10, 2057. [Google Scholar] [CrossRef]
- Young, D.; Zegre, N.; Edwards, P.; Fernandez, R. Assessing streamflow sensitivity of forested headwater catchments to disturbance and climate change in the central Appalachian Mountains region, USA. Sci. Total Environ. 2019, 694, 133382. [Google Scholar] [CrossRef]
- Caldwell, P.V.; Miniat, C.F.; Elliott, K.J.; Swank, W.T.; Brantley, S.T.; Laseter, S.H. Declining water yield from forested mountain watersheds in response to climate change and forest mesophication. Glob. Chang. Biol. 2016, 22, 2997–3012. [Google Scholar] [CrossRef]
- Zhou, G.; Wei, X.; Wu, Y.; Liu, S.; Huang, Y.; Yan, J.; Zhang, D.; Zhang, Q.; Liu, J.; Meng, Z.; et al. Quantifying the hydrological responses to climate change in an intact forested small watershed in Southern China. Glob. Chang. Biol. 2011, 17, 3736–3746. [Google Scholar] [CrossRef]
- Abbaspour, K.C.; Faramarzi, M.; Ghasemi, S.S.; Yang, H. Assessing the impact of climate change on water resources in Iran. Water Resour. Res. 2009, 45, W10434. [Google Scholar] [CrossRef]
- Ashu, A.B.; Lee, S.-I. Assessing Climate Change Effects on Water Balance in a Monsoon Watershed. Water 2020, 12, 2564. [Google Scholar] [CrossRef]
- Taylor, K.E.; Stouffer, R.J.; Meehl, G.A. An Overview of CMIP5 and the Experiment Design. Bull. Am. Meteorol. Soc. 2012, 93, 485–498. [Google Scholar] [CrossRef]
- Fentaw, F.; Hailu, D.; Nigussie, A.; Melesse, A.M. Climate Change Impact on the Hydrology of Tekeze Basin, Ethiopia: Projection of Rainfall-Runoff for Future Water Resources Planning. Water Conserv. Sci. Eng. 2018, 3, 267–278. [Google Scholar] [CrossRef]
- Olaoye, I.A.; Confesor, R.B.; Ortiz, J.D. Impact of Seasonal Variation in Climate on Water Quality of Old Woman Creek Watershed Ohio Using SWAT. Climate 2021, 9, 50. [Google Scholar] [CrossRef]
- Fernandez, R.; Zegre, N. Seasonal Changes in Water and Energy Balances over the Appalachian Region and Beyond throughout the Twenty-First Century. J. Appl. Meteorol. Climatol. 2019, 58, 1079–1102. [Google Scholar] [CrossRef]
- Gaertner, B.; Fernandez, R.; Zegre, N. Twenty-First Century Streamflow and Climate Change in Forest Catchments of the Central Appalachian Mountains Region, US. Water 2020, 12, 453. [Google Scholar] [CrossRef]
- Najjar, R.G.; Pyke, C.R.; Adams, M.B.; Breitburg, D.; Hershner, C.; Kemp, M.; Howarth, R.; Mulholland, M.R.; Paolisso, M.; Secor, D.; et al. Potential climate-change impacts on the Chesapeake Bay. Estuar. Coast. Shelf Sci. 2010, 86, 1–20. [Google Scholar] [CrossRef]
- Arias, R.; Rodríguez-Blanco, M.; Taboada-Castro, M.; Nunes, J.; Keizer, J.; Taboada-Castro, M. Water Resources Response to Changes in Temperature, Rainfall and CO2 Concentration: A First Approach in NW Spain. Water 2014, 6, 3049–3067. [Google Scholar] [CrossRef]
- Erol, A.; Randhir, T.O. Climatic change impacts on the ecohydrology of Mediterranean watersheds. Clim. Chang. 2012, 114, 319–341. [Google Scholar] [CrossRef]
- Lee, S.; Yeo, I.-Y.; Sadeghi, A.M.; McCarty, G.W.; Hively, W.D.; Lang, M.W.; Sharifi, A. Comparative analyses of hydrological responses of two adjacent watersheds to climate variability and change using the SWAT model. Hydrol. Earth Syst. Sci. 2018, 22, 689–708. [Google Scholar] [CrossRef]
- Marin, M.; Clinciu, I.; Tudose, N.C.; Ungurean, C.; Adorjani, A.; Mihalache, A.L.; Davidescu, A.A.; Davidescu, S.O.; Dinca, L.; Cacovean, H. Assessing the vulnerability of water resources in the context of climate changes in a small forested watershed using SWAT: A review. Environ. Res 2020, 184, 109330. [Google Scholar] [CrossRef]
- Senent-Aparicio, J.; Pérez-Sánchez, J.; Carrillo-García, J.; Soto, J. Using SWAT and Fuzzy TOPSIS to Assess the Impact of Climate Change in the Headwaters of the Segura River Basin (SE Spain). Water 2017, 9, 149. [Google Scholar] [CrossRef]
- FEMA. Understanding Flood Dangers in Central West Virginia; FEMA: Washington, DC, USA, 2018. [Google Scholar]
- Kellner, E.; Hubbart, J.; Stephan, K.; Morrissey, E.; Freedman, Z.; Kutta, E.; Kelly, C. Characterization of sub-watershed-scale stream chemistry regimes in an Appalachian mixed-land-use watershed. Environ. Monit. Assess. 2018, 190, 586. [Google Scholar] [CrossRef]
- Stewart, J.; Skousen, J. Water Quality Changes in a Polluted Stream over a Twenty-Five-Year Period. J. Environ. Qual. 2003, 32, 654. [Google Scholar] [CrossRef]
- Denicola, T.A. Updates to Deckers Creek Watershed; Friends of Deckers Creek, Inc.: Morgantown, WV, USA, 2015. [Google Scholar]
- Arnold, J.G.; Moriasi, D.N.; Gassman, P.W.; Abbaspour, K.C.; White, M.J.; Srinivasan, R.; Santhi, C.; Harmel, R.D.; van Griensven, A.; Van Liew, M.W.; et al. SWAT: Model Use, Calibration, and Validation. Trans. ASABE 2012, 55, 1491. [Google Scholar] [CrossRef]
- Gassman, P.W.; Reyes, M.R.; Green, C.H.; Arnold, J.G. The Soil and Water Assessment Tool: Historical Development, Applications, and Future Research Directions. Trans. ASABE 2007, 50, 1211–1250. [Google Scholar] [CrossRef]
- Neitsch, S.L.; Arnold, J.G.; Kiniry, J.R.; Williams, J.R. Soil and Water Assessment Tool Theoretical Documentation Version 2009; Texas A&M University, Texas Water Resources Institute: College Station, TX, USA, 2011; p. 647. [Google Scholar]
- Astuti, I.S.; Sahoo, K.; Milewski, A.; Mishra, D.R. Impact of Land Use Land Cover (LULC) Change on Surface Runoff in an Increasingly Urbanized Tropical Watershed. Water Resour. Manag. 2019, 33, 4087–4103. [Google Scholar] [CrossRef]
- Dakhlalla, A.O.; Parajuli, P.B. Evaluation of the Best Management Practices at the Watershed Scale to Attenuate Peak Streamflow Under Climate Change Scenarios. Water Resour. Manag. 2015, 30, 963–982. [Google Scholar] [CrossRef]
- Nguyen-Tien, V.; Elliott, R.J.R.; Strobl, E.A. Hydropower generation, flood control and dam cascades: A national assessment for Vietnam. J. Hydrol. 2018, 560, 109–126. [Google Scholar] [CrossRef]
- Sunde, M.G.; He, H.S.; Hubbart, J.A.; Urban, M.A. An integrated modeling approach for estimating hydrologic responses to future urbanization and climate changes in a mixed-use midwestern watershed. J. Environ. Manag. 2018, 220, 149–162. [Google Scholar] [CrossRef] [PubMed]
- Wellen, C.; Arhonditsis, G.B.; Long, T.; Boyd, D. Quantifying the uncertainty of nonpoint source attribution in distributed water quality models: A Bayesian assessment of SWAT ’s sediment export predictions. J. Hydrol. 2014, 519, 3353–3368. [Google Scholar] [CrossRef]
- Zhu, C.; Li, Y. Long-Term Hydrological Impacts of Land Use/Land Cover Change From 1984 to 2010 in the Little River Watershed, Tennessee. Int. Soil Water Conserv. Res. 2014, 2, 11–21. [Google Scholar] [CrossRef]
- Dessu, S.B.; Melesse, A.M. Modelling the rainfall–runoff process of the Mara River basin using the Soil and Water Assessment Tool. Hydrol. Process. 2012, 26, 4038–4049. [Google Scholar] [CrossRef]
- Wickham, J.; Stehman, S.V.; Sorenson, D.G.; Gass, L.; Dewitz, J.A. Thematic accuracy assessment of the NLCD 2016 land cover for the conterminous United States. Remote Sens. Environ. 2021, 257, 112357. [Google Scholar] [CrossRef]
- Cao, W.; Bowden, W.B.; Davie, T.; Fenemor, A. Multi-variable and multi-site calibration and validation of SWAT in a large mountainous catchment with high spatial variability. Hydrol. Process. 2006, 20, 1057–1073. [Google Scholar] [CrossRef]
- Mehan, S.; Neupane, R.P.; Kumar, S. Coupling of SUFI 2 and SWAT for Improving the Simulation of Streamflow in an Agricultural Watershed of South Dakota. Hydrol. Curr. Res. 2017, 8, 280. [Google Scholar] [CrossRef]
- Abbaspour, K.C. SWAT-CUP: SWAT Calibration and Uncertainty Programs—A User Manual; Eawag: Dübendorf, Switzerland, 2015; pp. 17–66. [Google Scholar]
- Abbaspour, K.C.; Yang, J.; Maximov, I.; Siber, R.; Bogner, K.; Mieleitner, J.; Zobrist, J.; Srinivasan, R. Modelling hydrology and water quality in the pre-alpine/alpine Thur watershed using SWAT. J. Hydrol. 2007, 333, 413–430. [Google Scholar] [CrossRef]
- Moriasi, D.N.; Wilson, B.N.; Douglas-Mankin, K.R.; Arnold, J.G.; Gowda, P.H. Hydrologic and Water Quality Models: Use, Calibration, and Validation. Trans. ASABE 2012, 55, 1241–1247. [Google Scholar] [CrossRef]
- van Griensven, A.; Meixner, T.; Grunwald, S.; Bishop, T.; Diluzio, M.; Srinivasan, R. A global sensitivity analysis tool for the parameters of multi-variable catchment models. J. Hydrol. 2006, 324, 10–23. [Google Scholar] [CrossRef]
- Malik, M.A.; Dar, A.Q.; Jain, M.K. Modelling streamflow using the SWAT model and multi-site calibration utilizing SUFI-2 of SWAT-CUP model for high altitude catchments, NW Himalaya’s. Model. Earth Syst. Environ. 2021, 8, 1203–1213. [Google Scholar] [CrossRef]
- Rouholahnejad, E.; Abbaspour, K.C.; Srinivasan, R.; Bacu, V.; Lehmann, A. Water resources of the Black Sea Basin at high spatial and temporal resolution. Water Resour. Res. 2014, 50, 5866–5885. [Google Scholar] [CrossRef]
- Yang, J.; Reichert, P.; Abbaspour, K.C.; Xia, J.; Yang, H. Comparing uncertainty analysis techniques for a SWAT application to the Chaohe Basin in China. J. Hydrol. 2008, 358, 1–23. [Google Scholar] [CrossRef]
- Moriasi, D.N.; Arnold, J.G.; Van Liew, M.W.; Bingner, R.L.; Harmel, R.D.; Veith, T.L. Model Evaluation Guidelines for Systematic Quantification of Accuracy in Watershed Simulations. Trans. ASABE 2007, 50, 885–900. [Google Scholar] [CrossRef]
- Moriasi, D.N.; Gitau, M.W.; Daggupati, P. Hydrologic and Water Quality Models: Performance Measures and Evaluation Criteria. Trans. ASABE 2015, 58, 1763–1785. [Google Scholar] [CrossRef]
- Ahmadalipour, A.; Rana, A.; Moradkhani, H.; Sharma, A. Multi-criteria evaluation of CMIP5 GCMs for climate change impact analysis. Theor. Appl. Climatol. 2017, 128, 71–87. [Google Scholar] [CrossRef]
- Baker, N.C.; Taylor, P.C. A Framework for Evaluating Climate Model Performance Metrics. J. Clim. 2016, 29, 1773–1782. [Google Scholar] [CrossRef]
- Ercan, M.B.; Maghami, I.; Bowes, B.D.; Morsy, M.M.; Goodall, J.L. Estimating Potential Climate Change Effects on the Upper Neuse Watershed Water Balance Using the SWAT Model. JAWRA J. Am. Water Resour. Assoc. 2020, 56, 53. [Google Scholar] [CrossRef]
- Clarke, G.K.C.; Radić, V. Evaluation of IPCC Models’ Performance in Simulating Late-Twentieth-Century Climatologies and Weather Patterns over North America. J. Clim. 2011, 24, 5257–5274. [Google Scholar] [CrossRef]
- Raju, K.S.; Kumar, D.N. Review of approaches for selection and ensembling of GCMs. J. Water Clim. Chang. 2020, 11, 577–599. [Google Scholar] [CrossRef]
- Maurer, E.P.; Hidalgo, H.G. Utility of daily vs. monthly large-scale climate data: An intercomparison of two statistical downscaling methods. Hydrol. Earth Syst. Sci. 2008, 12, 551–563. [Google Scholar] [CrossRef]
- Liu, Z.; Herman, J.D.; Huang, G.; Kadir, T.; Dahlke, H.E. Identifying climate change impacts on surface water supply in the southern Central Valley, California. Sci. Total Environ. 2021, 759, 143429. [Google Scholar] [CrossRef]
- Demaria, E.M.C.; Palmer, R.N.; Roundy, J.K. Regional climate change projections of streamflow characteristics in the Northeast and Midwest U.S. J. Hydrol. Reg. Stud. 2016, 5, 309–323. [Google Scholar] [CrossRef]
- Gaertner, B.A.; Zegre, N.; Warner, T.; Fernandez, R.; He, Y.; Merriam, E.R. Climate, forest growing season, and evapotranspiration changes in the central Appalachian Mountains, USA. Sci. Total Environ. 2019, 650, 1371–1381. [Google Scholar] [CrossRef]
- Battipaglia, G.; Saurer, M.; Cherubini, P.; Calfapietra, C.; McCarthy, H.R.; Norby, R.J.; Francesca Cotrufo, M. Elevated CO(2) increases tree-level intrinsic water use efficiency: Insights from carbon and oxygen isotope analyses in tree rings across three forest FACE sites. New Phytol. 2013, 197, 544–554. [Google Scholar] [CrossRef]
- Boettner, F.; Clingerman, J.; McIlmoil, R.; Hansen, E.; Hartz, L.; Hereford, A.; Vanderberg, M.; Arano, K.; Deng, J.; Strager, J.; et al. An Assessment of Natural Assets in the Appalachian Region: Water Resources; Appalachian Regional Commission: Washington, DC, USA, 2014. [Google Scholar]
- De Kauwe, M.G.; Medlyn, B.E.; Zaehle, S.; Walker, A.P.; Dietze, M.C.; Hickler, T.; Jain, A.K.; Luo, Y.; Parton, W.J.; Prentice, I.C.; et al. Forest water use and water use efficiency at elevated CO2: A model-data intercomparison at two contrasting temperate forest FACE sites. Glob. Chang. Biol. 2013, 19, 1759–1779. [Google Scholar] [CrossRef]
- Lammertsma, E.I.; de Boer, H.J.; Dekker, S.C.; Dilcher, D.L.; Lotter, A.F.; Wagner-Cremer, F. Global CO2 rise leads to reduced maximum stomatal conductance in Florida vegetation. Proc. Natl. Acad. Sci. USA 2011, 108, 4035–4040. [Google Scholar] [CrossRef]
- Allen, R.G.; Pereira, L.S.; Raes, D.; Smith, M. Crop Evapotranspiration—Guidelines for Computing Crop Water Requirements; FAO: Rome, Italy, 1998; p. 326. [Google Scholar]
- Fowler, H.J.; Blenkinsop, S.; Tebaldi, C. Linking climate change modelling to impacts studies: Recent advances in downscaling techniques for hydrological modelling. Int. J. Climatol. 2007, 27, 1547–1578. [Google Scholar] [CrossRef]
- Tang, X.; Zhang, J.; Wang, G.; Jin, J.; Liu, C.; Liu, Y.; He, R.; Bao, Z. Uncertainty Analysis of SWAT Modeling in the Lancang River Basin Using Four Different Algorithms. Water 2021, 13, 341. [Google Scholar] [CrossRef]
- Thompson, J.R.; Green, A.J.; Kingston, D.G.; Gosling, S.N. Assessment of uncertainty in river flow projections for the Mekong River using multiple GCMs and hydrological models. J. Hydrol. 2013, 486, 1–30. [Google Scholar] [CrossRef]
- Wilby, R.L.; Harris, I. A framework for assessing uncertainties in climate change impacts: Low-flow scenarios for the River Thames, UK. Water Resour. Res. 2006, 42, W02419. [Google Scholar] [CrossRef]
- Chen, J.; Brissette, F.P.; Poulin, A.; Leconte, R. Overall uncertainty study of the hydrological impacts of climate change for a Canadian watershed. Water Resour. Res. 2011, 47, W12509. [Google Scholar] [CrossRef]
- Marahatta, S.; Devkota, L.P.; Aryal, D. Application of SWAT in Hydrological Simulation of Complex Mountainous River Basin (Part I: Model Development). Water 2021, 13, 1546. [Google Scholar] [CrossRef]
Publisher’s Note: MDPI stays neutral with regard to jurisdictional claims in published maps and institutional affiliations. |
© 2022 by the authors. Licensee MDPI, Basel, Switzerland. This article is an open access article distributed under the terms and conditions of the Creative Commons Attribution (CC BY) license (https://creativecommons.org/licenses/by/4.0/).






