N2O Emission from Partial Nitrification and Full Nitrification in Domestic Wastewater Treatment Process
Abstract
1. Introduction
2. Methods
2.1. Sludge and Wastewater
2.2. Batch Test Rules
2.3. Detection Method
3. Results and Discussion
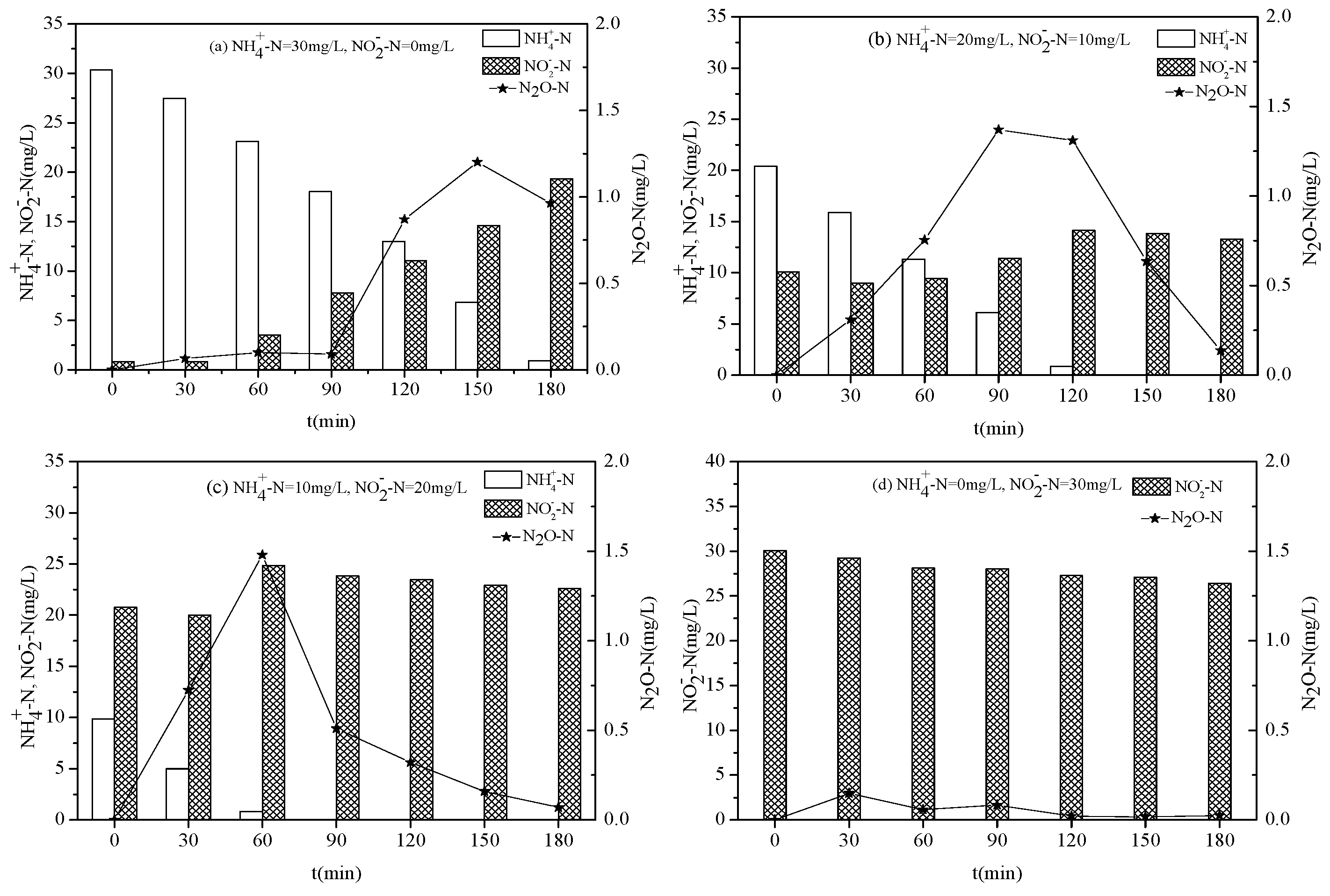
3.1. N2O Emission in Partial Nitrification Process
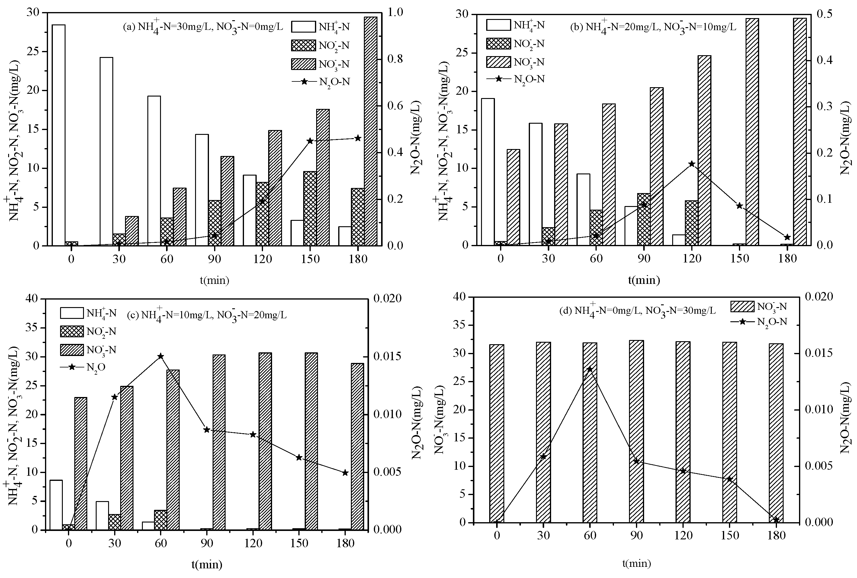
3.2. N2O Emission in Full Nitrification Process
4. Conclusions
Author Contributions
Funding
Data Availability Statement
Conflicts of Interest
References
- Masson-Delmotte, V.; Zhai, P.; Pirani, A.; Connors, S.L.; Péan, C.; Berger, S.; Zhou, B. IPCC Sixth Assessment Report, Climate Change 2021: The Physical Science Basis; Cambridge University Press: Cambridge, UK, 2021. [Google Scholar]
- Ying, L.I.; Niu, S.L.; Wang, Y.Z.; Han, K.H.; Zhou, W.B.; Jun, W. Mechanism of N2O reduction by biomass gasification gas reburning. J. Fuel Chem. Technol. 2021, 49, 1435–1443. [Google Scholar]
- Desloover, J.; Vlaeminck, S.E.; Clauwaert, P.; Verstraete, W.; Boon, N. Strategies to mitigate N2O emissions from biological nitrogen removal systems 2012 Current Opinion in Biotechnology. Curr. Opin. Biotechnol. 2012, 23, 474–482. [Google Scholar] [CrossRef]
- Law, Y.; Ye, L.; Pan, Y.; Yuan, Z. Nitrous oxide emissions from wastewater treatment processes. Philos. Trans. Soft Heroyal Soc. B-Biol. 2012, 367, 1265–1277. [Google Scholar] [CrossRef]
- Kampschreur, M.J.; Temmink, H.; Kleerebezem, R.; Jetten, M.S.; van Loosdrecht, M.C. Nitrous oxide emission during wastewater treatment. Water Res. 2009, 43, 4093–4103. [Google Scholar] [CrossRef]
- Ahn, J.H.; Kim, S.P.; Park, H.K.; Rahm, B.; Pagilla, K.; Chandran, K. N2O Emissions from activated sludge processes, 2008–2009: Results of a national monitoring survey in the United States. Environ. Sci. Technol. 2010, 44, 4505–4511. [Google Scholar] [CrossRef]
- Arp, D.J.; Stein, L.Y. Metabolism of inorganic N compounds by ammonia-oxidizing bacteria. Crit. Rev. Biochem. Mol. Biol. 2003, 38, 471–495. [Google Scholar] [CrossRef] [PubMed]
- Hooper, A.B.; Vannelli, T.; Bergmann, D.J.; Arciero, D.M. Enzymology of the oxidation of ammonia to nitrite by bacteria. Antonie Van Leeuwenhoek 1997, 71, 59–67. [Google Scholar] [CrossRef] [PubMed]
- Kim, S.W.; Miyahara, M.; Fushinobu, S.; Wakagi, T.; Shoun, H. Nitrous oxide emission from nitrifying activated sludge dependent on denitrification by ammonia-oxidizing bacteria. Bioresour. Technol. 2010, 101, 3958–3963. [Google Scholar] [CrossRef]
- Chandran, K.; Stein, L.Y.; Klotz, M.G.; van Loosdrecht, M.C. Nitrous oxide production by lithotrophic ammonia-oxidizing bacteria and implications for engineered nitrogen-removal systems. Biochem. Soc. Trans. 2011, 39, 1832–1837. [Google Scholar] [CrossRef] [PubMed]
- Ni, B.J.; Peng, L.; Law, Y.; Guo, J.; Yuan, Z. Modeling of Nitrous Oxide Production by Autotrophic Ammonia-Oxidizing Bacteria with Multiple Production Pathways. Environ. Sci. Technol. 2014, 48, 3916–3924. [Google Scholar] [CrossRef] [PubMed]
- Wunderlin, P.; Mohn, J.; Joss, A.; Emmenegger, L.; Siegrist, H. Mechanisms of N2O production in biological wastewater treatment under nitrifying and denitrifying conditions. Water Res. 2012, 46, 1027–1037. [Google Scholar] [CrossRef]
- Yang, Q.; Liu, X.; Peng, C.; Wang, S.; Sun, H.; Peng, Y. N2O production during nitrogen removal via nitrite from domestic wastewater: Main sources and control method. Environ. Sci. Technol. 2009, 43, 9400–9406. [Google Scholar] [CrossRef]
- Pan, Y.; Ni, B.J.; Bond, P.L.; Ye, L.; Yuan, Z. Electron competition among nitrogen oxides reduction during methanol-utilizing denitrification in wastewater treatment. Water Res. 2013, 47, 3273–3281. [Google Scholar] [CrossRef]
- Kampschreur, M.J.; Tan, N.C.G.; Kleerebezem, R.; Picioreanu, C.; Jetten, M.S.M.; van Loosdrecht, M.C.M. Effect of dynamic process conditions on nitrogen oxides emission from a nitrifying culture. Environ. Sci. Technol. 2008, 42, 429–435. [Google Scholar] [CrossRef]
- Ding, R.W.; Xu, X.; Ji, R.P. Study on the integrated Suspended Filler Bed-Artificial Wetland for rural sewage treatment. Technol. Water Treat. 2020, 46, 110–115 + 120. [Google Scholar]
- Gong, Y.K.; Feng, H.; Ren, L.F.; Li, M.L.; Sun, H.W. Utilization of pH to Regulate the PAOs-GAOs Competition and N2O Release in Denitrification Phosphorus Removal Process. Environ. Sci. Technol. 2021, 44, 145–153. [Google Scholar]
- Masuda, S.; Sano, I.; Hojo, T.; Li, Y.Y.; Nishimura, O. The comparison of greenhouse gas emissions in sewage treatment plants with different treatment processes. Chemosphere 2018, 193, 581–590. [Google Scholar] [CrossRef]
- Li, K.; Duan, H.; Liu, L.; Qiu, R.; van den Akker, B.; Ni, B.J.; Ye, L. An Integrated First Principal and Deep Learning Approach for Modeling Nitrous Oxide Emissions from Wastewater Treatment Plants. Environ. Sci. Technol. 2022, 56, 2816–2826. [Google Scholar] [CrossRef] [PubMed]
- Rassamee, V.; Sattayatewa, C.; Pagilla, K.; Chandran, K. Effect of oxic and anoxic conditions on nitrous oxide emissions from nitrification and denitrification. Biotechnol. Bioeng. 2011, 108, 2036–2045. [Google Scholar] [CrossRef]
- Pan, Y.T.; Ye, L.; Yuan, Z.G. Effect of H2S on N2O Reduction and Accumulation during Denitrification by Methanol Utilizing Denitrifies. Environ. Sci. Technol. 2013, 47, 8408–8415. [Google Scholar]
- APHA. Standard Methods for the Examination of Water and Wastewater; Port City Press: Baltimore, MD, USA, 1998. [Google Scholar]
- Zhao, W.; Wang, Y.; Liu, S.; Pan, M.; Yang, J.; Chen, S. Denitrification activities and N2O production under salt stress with varying COD/N ratios and terminal electron acceptors. Chem. Eng. J. 2013, 215–216, 252–260. [Google Scholar] [CrossRef]
- Quan, X.; Zhang, M.; Lawlor, P.G.; Yang, Z.; Zhan, X. Nitrous oxide emission and nutrient removal in aerobic granular sludge sequencing batch reactors. Water Res. 2012, 46, 4981–4990. [Google Scholar] [CrossRef] [PubMed]
- Yu, R.; Kampschreur, M.J.; van Loosdrecht, M.C.M.; Chandran, K. Mechanisms and specific directionality of autotrophic nitrous oxide and nitric oxide generation during transient anoxia. Environ. Sci. Technol. 2010, 44, 1313–1319. [Google Scholar] [CrossRef] [PubMed]




| COD (mg/L) | NH4+-N (mg/L) | NO2−-N (mg/L) | NO3−-N (mg/L) | TN (mg/L) | pH | Alkalinity | |
|---|---|---|---|---|---|---|---|
| minimum | 88 | 39.6 | 0 | 0 | 56.4 | 6.9 | 262 |
| maximum | 276 | 91.2 | 2.8 | 1.2 | 98.5 | 7.7 | 343 |
| average | 182 | 65.4 | 1.4 | 0.6 | 77.4 | 7.3 | 303 |
| Batch Test Number | Sludge—Water Mixture Type | Initial pH | Reaction Time (h) | NH4+-N (mg/L) | NO2−-N (mg/L) | NO3−-N (mg/L) | DO (mg/L) |
|---|---|---|---|---|---|---|---|
| 1 | partial nitrification sludge + effluent | 7.5 | 3 | 30 | 0 | 0.5 | |
| partial nitrification sludge + effluent | 7.5 | 3 | 20 | 10 | 0.5 | ||
| partial nitrification sludge + effluent | 7.5 | 3 | 10 | 20 | 0.5 | ||
| partial nitrification sludge + effluent | 7.5 | 3 | 0 | 30 | 0.5 | ||
| 2 | full nitrification sludge + effluent | 7.5 | 3 | 30 | 0 | 0.5 | |
| full nitrification sludge + effluent | 7.5 | 3 | 20 | 10 | 0.5 | ||
| full nitrification sludge + effluent | 7.5 | 3 | 10 | 20 | 0.5 | ||
| full nitrification sludge + effluent | 7.5 | 3 | 0 | 30 | 0.5 | ||
| 3 | full nitrification sludge + effluent | 7.5 | 3 | 20 | 0.5 | ||
| full nitrification sludge + effluent | 7.5 | 3 | 20 | 1 | |||
| full nitrification sludge + effluent | 7.5 | 3 | 20 | 2 | |||
| full nitrification sludge + effluent | 7.5 | 3 | 20 | 3 |
Publisher’s Note: MDPI stays neutral with regard to jurisdictional claims in published maps and institutional affiliations. |
© 2022 by the authors. Licensee MDPI, Basel, Switzerland. This article is an open access article distributed under the terms and conditions of the Creative Commons Attribution (CC BY) license (https://creativecommons.org/licenses/by/4.0/).
Share and Cite
Li, P.; Peng, Y.; Wang, S.; Liu, Y. N2O Emission from Partial Nitrification and Full Nitrification in Domestic Wastewater Treatment Process. Water 2022, 14, 3195. https://doi.org/10.3390/w14203195
Li P, Peng Y, Wang S, Liu Y. N2O Emission from Partial Nitrification and Full Nitrification in Domestic Wastewater Treatment Process. Water. 2022; 14(20):3195. https://doi.org/10.3390/w14203195
Chicago/Turabian StyleLi, Pengzhang, Yongzhen Peng, Shuying Wang, and Yue Liu. 2022. "N2O Emission from Partial Nitrification and Full Nitrification in Domestic Wastewater Treatment Process" Water 14, no. 20: 3195. https://doi.org/10.3390/w14203195
APA StyleLi, P., Peng, Y., Wang, S., & Liu, Y. (2022). N2O Emission from Partial Nitrification and Full Nitrification in Domestic Wastewater Treatment Process. Water, 14(20), 3195. https://doi.org/10.3390/w14203195
