Study on the Motion Characteristics of Particles Transported by a Horizontal Pipeline in Heterogeneous Flow
Abstract
1. Introduction
2. Horizontal Pipeline Particle Conveying Test Device
2.1. Model Design
2.2. Model Materials and Instruments
2.3. Test Method
2.4. Test Group
3. Results
3.1. Particle Velocity of Heterogeneous Flow in a Horizontal Pipeline
3.2. Analysis on Influencing Factors of Vertical Distribution of Particle Velocity in Horizontal Pipeline
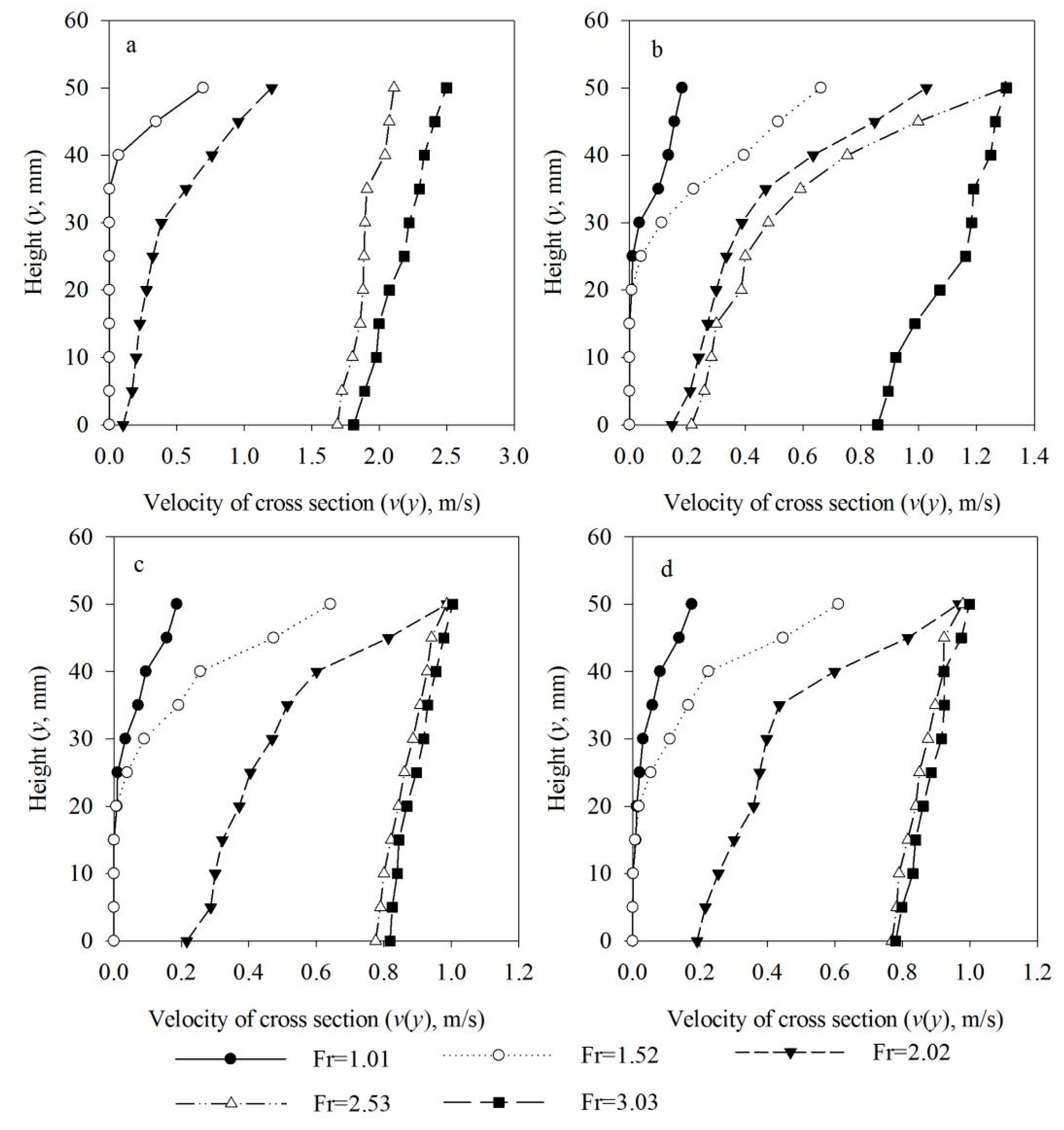
3.2.1. Influence of Particle Size and Vertical Distribution of Particle Velocity
3.2.2. Effects of Pipeline Velocity on the Vertical Velocity Distribution of the Particles
3.2.3. Effect of Sediment Transport Rate on Vertical Distribution of Particle Velocity
4. Discussions
4.1. Horizontal Pipes Transport Particles
4.2. Pipeline Particle Velocity
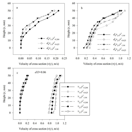
4.3. The Scale Effect
5. Conclusions
Author Contributions
Funding
Institutional Review Board Statement
Informed Consent Statement
Data Availability Statement
Acknowledgments
Conflicts of Interest
References
- Yang, T.; Zhou, Z. Dredging and Reclamation Engineering Construction Technology; China Water & Power Press: Beijing, China, 2019; pp. 6–8. [Google Scholar]
- Jing, E.; Cao, Y.; Li, J. Utilization of Reservoir Sediment Resources and River Health. In Proceedings of the 2012 Academic Annual Meeting of China Dam Association, Nanjing, China, 11–12 October 2012; pp. 47–53. [Google Scholar]
- Gao, G.; Tan, G.; Li, T. Research Prospects of Reservoir Sedimentation in Sediment-laden River. Zhejiang Hydrotech. 2014, 42, 42–46. [Google Scholar]
- Zhao, N. Sediment treatment measures for the reservoirs of muddy river in Xinjiang. Water Resour. Plan. Des. 2020, 147–151. [Google Scholar]
- Li, L. The Design of Qianzuzi Reservoir Reinforcement Scheme and the Analysis and Research of Related Problems. Ph.D. Thesis, Northwest A & F University, Xianyang, China, 2021. [Google Scholar]
- Thornton, E.; Sallenger, A.; Sesto, J.C.; Egley, L.; McGee, T.; Parsons, R. Sand mining impacts on long-term dune erosion in southern Monterey Bay. Mar. Geol. 2006, 229, 45–58. [Google Scholar] [CrossRef]
- Dwng, X. Dredging test of Yaguwa Reservoir in Japan. Yangtze River 1986, 57, 11–13. [Google Scholar]
- Shi, D.; Pan, J.; Wei, Y. Investigation report of Aswan High Dam project in Egypt. Yangtze River 1987, 6, 1–10. [Google Scholar]
- Zhou, L.; Zhang, Y. Summary of guanting Reservoir dredging emergency water supply project. Beijing Water Resour. 2003, 36, 9–12. [Google Scholar]
- Oroskarl, A.; Turian, R.M. The critical velocity in pipeline flow of slurries. AICHE J. 1980, 26, 550–558. [Google Scholar] [CrossRef]
- Walton, I. Eddy diffusivity of solid particles in a turbulent liquid flow in a horizontal pipe. AICHE J. 1995, 41, 1815–1820. [Google Scholar] [CrossRef]
- Davies, J. Calculation of critical velocities to maintain solids in suspension in horizontal pipes. Chem. Eng. Sci. 1987, 42, 1667–1670. [Google Scholar] [CrossRef]
- Subhash, S.N.; David, L. Critical velocity correlations for slurry transport with non-newtonian fluids. AICHE J. 1991, 37, 863–870. [Google Scholar]
- Ahmad, Z.; Azamathulla, H.M. Estimation of critical velocity for slurry transport through pipeline using ANFIS and GEP. J. Pipeline Syst. Eng. Pract. 2012, 4, 131–137. [Google Scholar]
- Lahiri, S.; Ghanta, K. Artificial neural network model with parameter tuning assisted by genetic algorithm technique: Study of critical velocity of slurry flow in pipeline. Asia Pac. J. Chem. Eng. 2010, 5, 763–777. [Google Scholar] [CrossRef]
- Matoutek, V. Pressure drop and flow patterns in sand-mixture pipes. Exp. Therm. Fluid Sci. 2002, 26, 693–702. [Google Scholar] [CrossRef]
- Kaushal, D.; Tomita, Y. Solids concerntration profiles and pressure drop in pipeline flow of multisized particulate slurries. Int. J. Multiph. Flow 2002, 28, 1697–1717. [Google Scholar] [CrossRef]
- Wu, D.; Yang, B.; Liu, Y. Transportability and pressure drop of fresh cemented coal gangue-fly ash backfill(CGFB) slurry in pipe loop. Powder Technol. 2015, 284, 218–224. [Google Scholar] [CrossRef]
- Li, H.; Mccarthy, J. Cohesive particle mixing and segregation under shear. Powder Technol. 2006, 164, 58–64. [Google Scholar] [CrossRef]
- MatouŠek, V.; Krupička, J.; Pěník, V. Distribution of Medium-to-Coarse Glass Beads in Slurry Pipe Flow: Evaluation of Measured Concentration Profiles. Part. Sci. Technol. 2014, 32, 11. [Google Scholar] [CrossRef]
- MatouŠek, V.; Vlasák, P.; Chára, Z. Experimental study of hydraulic transport of coarse basalt. Proceedings of the Institution of Civil Engineers. Marit. Eng. 2015, 168, 93–100. [Google Scholar] [CrossRef]
- Vlasák, P.; Kysela, B.; Chara, Z. Flow Structure of Coarse-grained Slurry in a Horizontal Pipe. J. Hydrol. Hydromech. 2012, 60, 115–124. [Google Scholar] [CrossRef]
- Spelay, R.; Gillies, R.; Hashemi, S. Effect of pipe inclination on the deposition velocity of settling slurries. Can. J. Chem. Eng. 2016, 94, 1032–1039. [Google Scholar] [CrossRef]
- Cao, B.; Xu, X.; Xia, J. Movement Status Change of Coarse Particlesand it’s Discriminant Parameter in Hydraulic Transporting Pipeline. J. Basic Sci. Eng. 2016, 24, 672–679. [Google Scholar]
- Xia, J.; Wu, Y.; Zou, Y. Experimental Study on the Concentration Distribution in Pipe Flow Based on PIV Technology. J. Basic Sci. Eng. 2017, 25, 1086–1093. [Google Scholar]
- Wu, Y.; Zou, Y.; Cao, B. Experimental study on coarse particles following behavior in pipeline flow based on PIV technique. J. Hydrodyn. 2017, 32, 739–746. [Google Scholar]
- Durand, R. The Hydraulic Transportation of Coal and Solid Material in Pipes; London Colloquium of the National Coal Board: London, UK, 1952; pp. 39–52. [Google Scholar]
- Fei, X. Study of nondeposit velocity in slurry pipeline. J. China Coal Soc. 1997, 22, 532–536. [Google Scholar]
- Xu, Z.; Cai, R.; Wu, R.; Wang, T. Experimental study on critical velocity of slurry pipeline transportation. Clean Coal Technol. 2018, 24, 139–143. [Google Scholar]
- Vlasák, P.; Chára, Z.; Krupička, J.; Konfršt, J. Experimental investigation of coarse particles-water mixture flow in horizontal and inclined pipes. J. Hydrol. Hydromech. 2014, 62, 241–247. [Google Scholar] [CrossRef]
- Alihosseini, M.; Thamsen, P.U. Analysis of sediment transport in sewer pipes using a coupled CFD-DEM model and experimental work. Urban Water J. 2019, 16, 10. [Google Scholar] [CrossRef]
- Fei, X. Hydraulics of Slurry and Granular Material Handling; Tsinghua University Press: Beijing, China, 1994. [Google Scholar]
- Ding, H. Hydraulic pipeline conveyance of seabed multi-metallic nodules. Hydraul. Coal Min. Pipeline Transp. 2006, 2, 3. [Google Scholar]
- Wang, S. The physical figure and mathematical model of slurry pipeline friction loss in turbulent flow area are discussed. Hydraul. Coal Min. Pipeline Transp. 1997, 2, 366–372. [Google Scholar]
- Cao, B.; Zou, Y.; Xia, J. Experimental study on the behavior of coarse particles in two phases flow during water hammer. Adv. Water Sci. 2017, 28, 38–45. [Google Scholar]
- Fu, Y.; Xiao, H.; Xia, J. Experimental study on minimal transporting velocity of long particles in vertical pipeline. Ocean. Eng. 2019, 37, 63–69. [Google Scholar]
- Changhee, K.; Mansoo, L.; Cheolheui, H. Hydraulic transport of sand-water mixtures in pipelines Part I. Experiment. J. Mech. Sci. Technol. 2008, 22, 2534–2541. [Google Scholar]
- Leporini, M.; Bonzanini, A.; Ferrari, M.; Poesio, P. The extension of the one-dimensional two-fluid slug capturing method to simulate slug flow in vertical pipes. J. Pet. Sci. Eng. 2019, 175, 519–535. [Google Scholar] [CrossRef]
- Leporini, M.; Terenzi, A.; Marchetti, B.; Giacchetta, G.; Corvaro, F. Experiences in numerical simulation of wax deposition in oil and multiphase pipelines: Theory versus reality. J. Pet. Sci. Eng. 2019, 174, 997–1008. [Google Scholar] [CrossRef]
- Fajemidupe, O.T.; Aliyu, A.M.; Baba, Y.D.; Archibong-Eso, A.; Yeung, H. Sand minimum transport conditions in gas-solid-liquid three-phase stratified flow in a horizontal pipe at low particle concentrations. Chem. Eng. Res. Des. 2019, 143, 114–126. [Google Scholar] [CrossRef]
- Dabirian, R.; Mohan, R.S.; Shoham, O.; Kouba, G. Sand flow regimes in slightly upward inclined gas-liquid stratified flow. In Proceedings of the ASME Fluids Engineering Division Summer Meeting, Washington, DC, USA, 10–14 July 2016; Volume 1B. [Google Scholar]
- Dabirian, R.; Mohan, R.S.; Shoham, O.; Kouba, G. Critical sand deposition velocity for gas-liquid stratified flow in horizontal pipes. J. Nat. Gas Sci. Eng. 2016, 33, 527–537. [Google Scholar] [CrossRef]
- Januário, J.R.; Maia, C.B. Cfd-dem simulation to predict the critical velocity of slurry flows. J. Appl. Fluid Mech. 2020, 13, 161–168. [Google Scholar] [CrossRef]
- Newit, D.M.; Richardson, J.F.; Abbot, M.; Harada, E.; Saruta, S.; Otomo, Y. Hydraulic conveying of solids in horizontal pipes. Trans. Inst. Chem. Eng. 1955, 33, 93–113. [Google Scholar]
- Luo, D. Experimental Study on the Sediment Flushing Characteristics with Pipeline. Master’s thesis, Tianjin University, Tianjin, China, 2009. [Google Scholar]











| Number | Particle Size (mm) | Particle Conveying Capacity (kg) | Particle Transport Rate (kg/s) | Pipeline Velocity (m/s) | Reynolds Number |
|---|---|---|---|---|---|
| 1 | 2/4/6/8/10 | 4.16 | 0.208 | 1.0 | 87,719 |
| 2 | 2/4/6/8/10 | 12.5 | 0.625 | 1.5 | 131,579 |
| 3 | 2/4/6/8/10 | 20.8 | 1.04 | 2.0 | 175,439 |
| 4 | 2/4/6/8/10 | 4.16 | 0.208 | 2.5 | 219,298 |
| 5 | 2/4/6/8/10 | 12.5 | 0.625 | 3.0 | 263,158 |
| 6 | 2/4/6/8/10 | 20.8 | 1.04 | 1.0 | 87,719 |
| 7 | 2/4/6/8/10 | 4.16 | 0.208 | 1.5 | 131,579 |
| 8 | 2/4/6/8/10 | 12.5 | 0.625 | 2.0 | 175,439 |
| 9 | 2/4/6/8/10 | 20.8 | 1.04 | 2.5 | 219,298 |
| 10 | 2/4/6/8/10 | 4.16 | 0.208 | 3.0 | 263,158 |
| 11 | 2/4/6/8/10 | 12.5 | 0.625 | 1.0 | 87,719 |
| 12 | 2/4/6/8/10 | 20.8 | 1.04 | 1.5 | 131,579 |
| 13 | 2/4/6/8/10 | 4.16 | 0.208 | 2.0 | 175,439 |
| 14 | 2/4/6/8/10 | 12.5 | 0.625 | 2.5 | 219,298 |
| 15 | 2/4/6/8/10 | 20.8 | 1.04 | 3.0 | 263,158 |
Publisher’s Note: MDPI stays neutral with regard to jurisdictional claims in published maps and institutional affiliations. |
© 2022 by the authors. Licensee MDPI, Basel, Switzerland. This article is an open access article distributed under the terms and conditions of the Creative Commons Attribution (CC BY) license (https://creativecommons.org/licenses/by/4.0/).
Share and Cite
Wang, J.; Li, Y.; Lai, Z.; Zhao, L.; Wang, Z. Study on the Motion Characteristics of Particles Transported by a Horizontal Pipeline in Heterogeneous Flow. Water 2022, 14, 3177. https://doi.org/10.3390/w14193177
Wang J, Li Y, Lai Z, Zhao L, Wang Z. Study on the Motion Characteristics of Particles Transported by a Horizontal Pipeline in Heterogeneous Flow. Water. 2022; 14(19):3177. https://doi.org/10.3390/w14193177
Chicago/Turabian StyleWang, Jiayi, Yitian Li, Zhiqiang Lai, Lianjun Zhao, and Zhongmei Wang. 2022. "Study on the Motion Characteristics of Particles Transported by a Horizontal Pipeline in Heterogeneous Flow" Water 14, no. 19: 3177. https://doi.org/10.3390/w14193177
APA StyleWang, J., Li, Y., Lai, Z., Zhao, L., & Wang, Z. (2022). Study on the Motion Characteristics of Particles Transported by a Horizontal Pipeline in Heterogeneous Flow. Water, 14(19), 3177. https://doi.org/10.3390/w14193177
