Testing Groundwater Quality in Jouamaa Hakama Region (North of Morocco) Using Water Quality Indices (WQIs) and Fuzzy Logic Method: An Exploratory Study
Abstract
1. Introduction
2. Materials and Methods
2.1. The Study Area
2.2. Water Quality Analysis
2.3. The WQI Approach
2.3.1. Chosen WQIs and Data Collection
- Each of the chosen equations belongs to an aggregation category of the WQI.
- The 5 equations can be compared to assess the quality of groundwater belonging to the study area.
- The chosen equations will help us to model and project a relevant method for the future monitoring and surveillance of ecosystems downstream of discharges of treated wastewater from industrial areas.
- Modeling from WQIs will provide decision-makers with a reliable and easy tool for controlling and monitoring water resources downstream of industrial areas.
- For the sampling and selection of samples, we targeted 9 wells on either side of the river downstream from the Chrafate wastewater treatment station to the dam. The choice of wells is for the purpose of monitoring whether there is groundwater degradation and whether there is longitudinal and transverse propagation of pollution.
- 1.
- Weighted Arithmetic Average: The First NSFWQI in 1971 [67]
- 2.
- Weighted Geometric Average: In 1973, the NSFWQI was updated for the second time. Brown et al. proposed another formula for calculating the WQI after discovering that the multiplicative formula was better suited to the judgments of experts. Researchers used the same scale of classification of water quality [23,74,75] and employed the geometric mean form of weighting in the WQI (Equation 6 and Table 6). Later, other researchers [76,77,78] also used a weighted geometric mean for aggregation [32].where qi is the quality class for the nth variable; Wi is the relative weight for the nth variable (∑Wi = 1). Brown et al. kept the same scale for the classification of water quality [32].WQI = ∏qiwi
- 3.
- Weighted and Unweighted Harmonic Square Average: Canadian Council of Ministers of the Environment (CCEM) 2001, Dojido et al. 1994 [48]
- 4.
- Logarithmic Aggregation: New Water Quality Index Proposed by Said et al. 2004 [39]
- 5.
- Fuzzy Logic: Icaga 2007 (Equation (9)) [40]
- Determination of the quality classes for the measured variables;
- Arrangement of the variables according to their classes into the four groups;
- Application of membership functions;
- Rule bases;
- Use of the fuzzy algorithm: In the fuzzy algorithm, the Mamdani [84] approach is used. Fuzzy inferences of the groups are determined using grades of membership functions of the variables;
- Defuzzification of the inferences using centroid methods, which calculate the center of gravity of the output function.
2.3.2. FL Formalism
2.3.3. Fuzzification
2.3.4. Evaluation of the Rule
2.3.5. Aggregation of Rule Outputs
2.3.6. Defuzzification
2.3.7. Membership Functions
2.3.8. Fuzzy Set Operations
2.4. Using Python Programming Language
2.5. Rules for Fuzzy Logic
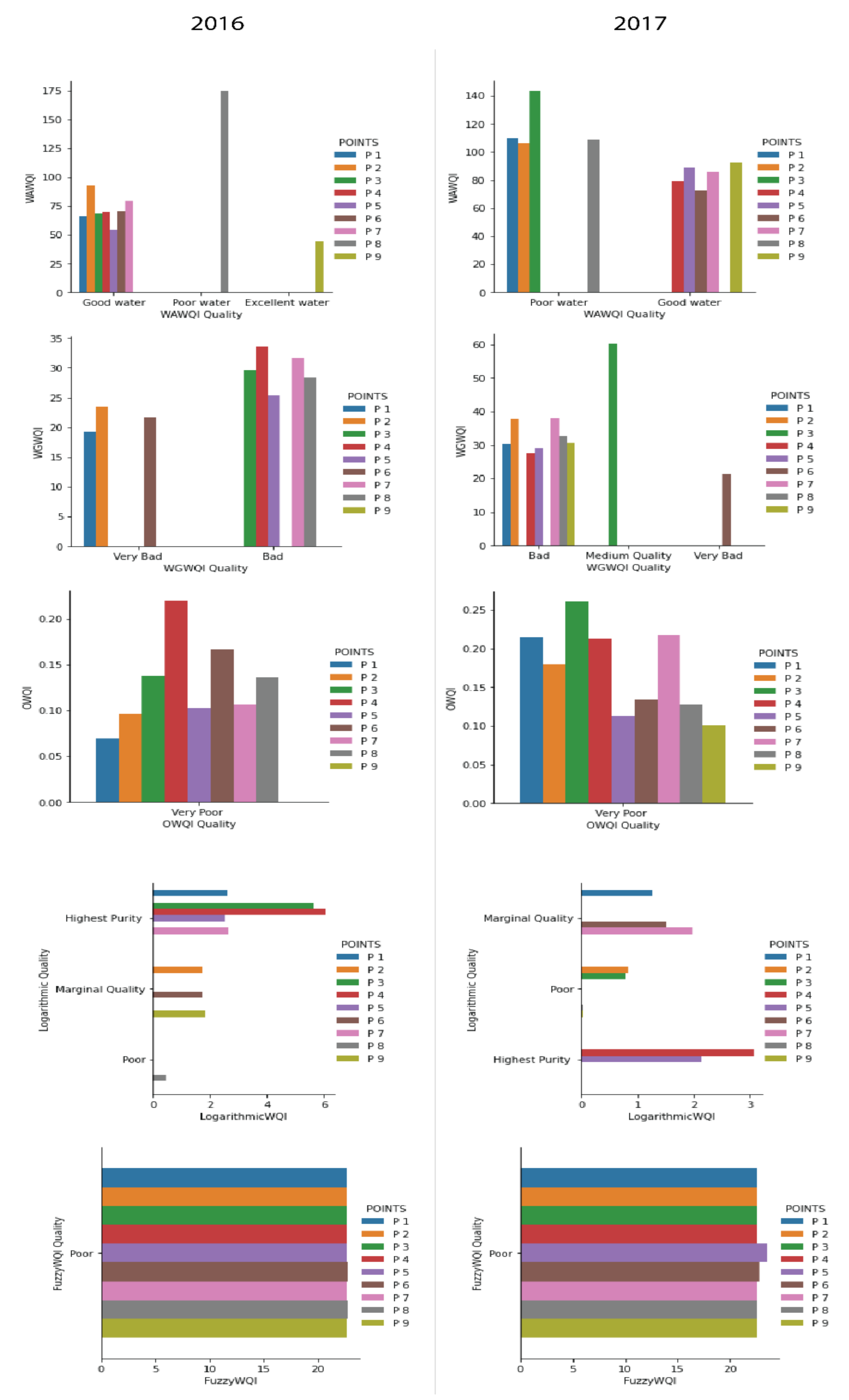
3. Results and Discussion
3.1. Physical–Chemical and Bacteriological Parameter Assessment
3.2. Evaluation of the Groundwater Quality Using Different WQIs
4. Conclusions
- -
- Didactical field sampling: two times per month to obtain more data.
- -
- Inclusion of more bacteriological parameters in WQIs, such as total coliforms and pathogens, hydrochemical analysis, and heavy-metal parameters, to enhance water quality assessment, because most nitrate, , and FC pollutants come from sewage water and industrial areas.
- -
- Control of the effectiveness of Charafate wastewater treatment plants, such as physical and chemical (jar test) analyses and bacteriological analysis, to confirm the source of pollution in this area.
- -
- Control of TAC wastewater quality and its compliance with Moroccan environmental regulations.
- -
- More studies on the techniques and methods of applying suitable treatment for liquid effluents from agriculture, industrial, and urban areas.
- -
- Establishment of the deep monitoring of the domestic water sanitation network in urban riparian areas to maintain its balance.
- -
- The adoption of machine-learning techniques for the prediction of important pollution indicators in our study area.
- -
- The development of a real-time model for groundwater monitoring based on the prediction of pollution indicators for supporting decision-makers in the north of Morocco.
Author Contributions
Funding
Acknowledgments
Conflicts of Interest
References
- Ramakrishnaiah, C.R.; Sadashivaiah, C.; Ranganna, G. Assessment of Water Quality Index for the Groundwater in Tumkur Taluk, Karnataka State, India. E J. Chem. 2009, 6, 523–530. [Google Scholar] [CrossRef]
- Benseddik, B.; El Mrabet, E.; El Mansouri, B.; Chao, J.; Kili, M. Delineation of Artificial Recharge Zones in Mnasra Aquifer (NW, Morocco). Model. Earth Syst. Environ. 2017, 3, 10. [Google Scholar] [CrossRef]
- Jayaprakash, M.; Giridharan, L.; Venugopal, T.; Krishna Kumar, S.P.; Periakali, P. Characterization and Evaluation of the Factors Affecting the Geochemistry of Groundwater in Neyveli, Tamil Nadu, India. Environ. Geol. 2008, 54, 855–867. [Google Scholar] [CrossRef]
- Alexakis, D.E. Meta-Evaluation of Water Quality Indices. Application into Groundwater Resources. Water 2020, 12, 1890. [Google Scholar] [CrossRef]
- Aghlmand, R.; Rasi Nezami, S.; Abbasi, A. Evaluation of Chemical Parameters of Urban Drinking Water Quality along with Health Risk Assessment: A Case Study of Ardabil Province, Iran. Int. J. Environ. Res. Public Health 2021, 18, 5179. [Google Scholar] [CrossRef] [PubMed]
- Bougarne, L.; Bouchamma, E.; Abbou, M.B.; Bouka, H. Assessment of the Water Quality of the Reservoir Bab Louta (Taza, Morocco). Mater. Environ. Sci. 2017, 8, 2296–2301. [Google Scholar]
- Baite, W.; Boukdir, A.; Zitouni, A.; Dahbi, S.D.; Mesmoudi, H.; Elissami, A.; Sabri, E.; Ikhmerdi, H. Diagnosis of the Ghiss Nekor Aquifer in Order to Elaborate the Aquifer Contract. In Proceedings of the E3S Web of Conferences; EDP Sciences: Les Ulis, France, 2018; Volume 37, p. 1006. [Google Scholar]
- Nouayti, A.; Khattach, D.; Hilali, M.; Nouayti, N.; Arabi, M. Assessment of Groundwater Quality Using Statistical Techniques in High Basin of Guir (Eastern High Atlas, Morocco). Mater. Today Proc. 2019, 13, 1084–1091. [Google Scholar] [CrossRef]
- Alexakis, D.; Tsihrintzis, V.A.; Tsakiris, G.; Gikas, G.D. Suitability of Water Quality Indices for Application in Lakes in the Mediterranean. Water Resour. Manag. 2016, 30, 1621–1633. [Google Scholar] [CrossRef]
- Ritchie, J.C.; Schiebe, F.R. Water Quality. In Remote Sensing in Hydrology and Water Management; Schultz, G.A., Engman, E.T., Eds.; Springer: Berlin/Heidelberg, Germany, 2000; pp. 287–303. ISBN 978-3-642-59583-7. [Google Scholar]
- Şener, Ş.; Varol, S.; Şener, E. Evaluation of Sustainable Groundwater Utilization Using Index Methods (WQI and IWQI), Multivariate Analysis, and GIS: The Case of Akşehir District (Konya/Turkey). Environ. Sci. Pollut. Res. 2021, 28, 47991–48010. [Google Scholar] [CrossRef]
- Adimalla, N.; Qian, H. Groundwater Quality Evaluation Using Water Quality Index (WQI) for Drinking Purposes and Human Health Risk (HHR) Assessment in an Agricultural Region of Nanganur, South India. Ecotoxicol. Environ. Saf. 2019, 176, 153–161. [Google Scholar] [CrossRef]
- Wills, M.; Irvine, K.N. Application of the National Sanitation Foundation Water Quality Index in Cazenovia Creek, NY, Pilot Watershed Management Project. Middle States Geogr. 1996, 1996, 95–104. [Google Scholar]
- Mădălina, P.; Breabăn, I. Water Quality Index—An Instrument for Water resources Management. In Proceedings of the Aerul si Apa Componente ale Mediului, Cluj Napoca, Rumunia, 20–21 March 2014. [Google Scholar] [CrossRef]
- Chaudhary, J.K. A Comparative Study of Fuzzy Logic and WQI for Groundwater Quality Assessment. Proc. Comput. Sci. 2020, 171, 1194–1203. [Google Scholar]
- Abba, S.I.; Abdulkadir, R.A.; Sammen, S.S.; Pham, Q.B.; Lawan, A.A.; Esmaili, P.; Malik, A.; Al-Ansari, N. Integrating Feature Extraction Approaches with Hybrid Emotional Neural Networks for Water Quality Index Modeling. Appl. Soft Comput. 2022, 114, 108036. [Google Scholar] [CrossRef]
- Bassi, N.; Kumar, M.D. Water Quality Index as a Tool for Wetland Restoration. Water Policy 2017, 19, 390–403. [Google Scholar] [CrossRef][Green Version]
- Gitau, M.W.; Chen, J.; Ma, Z. Water Quality Indices as Tools for Decision Making and Management. Water Resour. Manag. 2016, 30, 2591–2610. [Google Scholar] [CrossRef]
- Ocampo-Duque, W.; Osorio, C.; Piamba, C.; Schuhmacher, M.; Domingo, J.L. Water Quality Analysis in Rivers with Non-Parametric Probability Distributions and Fuzzy Inference Systems: Application to the Cauca River, Colombia. Environ. Int. 2013, 52, 17–28. [Google Scholar] [CrossRef]
- Nasiri, F.; Maqsood, I.; Huang, G.; Fuller, N. Water Quality Index: A Fuzzy River-Pollution Decision Support Expert System. J. Water Resour. Plan. Manag. 2007, 133, 95–105. [Google Scholar] [CrossRef]
- Dos Santos Simoes, F.; Moreira, A.B.; Bisinoti, M.C.; Gimenez, S.M.N.; Yabe, M.J.S. Water Quality Index as a Simple Indicator of Aquaculture Effects on Aquatic Bodies. Ecol. Indic. 2008, 8, 476–484. [Google Scholar] [CrossRef]
- Rickwood, C.J.; Carr, G.M. Development and Sensitivity Analysis of a Global Drinking Water Quality Index. Environ. Monit. Assess. 2009, 156, 73–90. [Google Scholar] [CrossRef]
- Sutadian, A.D.; Muttil, N.; Yilmaz, A.G.; Perera, B.J.C. Development of River Water Quality Indices—A Review. Environ. Monit Assess 2016, 188, 58. [Google Scholar] [CrossRef]
- Horton, R.K. An Index Number System for Rating Water Quality. J. Water Pollut. Control. Fed. 1965, 37, 300–306. [Google Scholar]
- Alves, M.T.R.; Teresa, F.B.; Nabout, J.C. A Global Scientific Literature of Research on Water Quality Indices: Trends, Biases and Future Directions. Acta Limnol. Bras. 2014, 26, 245–253. [Google Scholar] [CrossRef]
- Shah, K.A.; Joshi, G.S. Evaluation of Water Quality Index for River Sabarmati, Gujarat, India. Appl. Water Sci. 2017, 7, 1349–1358. [Google Scholar] [CrossRef]
- Brown, R.M.; McClelland, N.I.; Deininger, R.A.; Tozer, R.G. A Water Quality Index—Do We Dare. Water Sew. Work. 1970, 117, 339–343. [Google Scholar]
- Brown, R.M.; McClelland, N.I.; Deininger, R.A.; Landwehr, J.M. Validating the WQI. In Proceedings of the National Meeting of American Society of Civil Engineers on Water Resources Engineering, Washington, DC, USA, 29 January–2 February 1973; Volume 29. [Google Scholar]
- Prati, L.; Pavanello, R.; Pesarin, F. Assessment of Surface Water Quality by a Single Index of Pollution. Water Res. 1971, 5, 741–751. [Google Scholar] [CrossRef]
- Deininger, R.A.; Landwehr, J.M. A Water Quality Index for Public Water Supplies. Ph.D. Thesis, Department of Environment and Industrial Health, University of Michigan, Ann Arbor, MI, USA, 1971. [Google Scholar]
- Nemerow, N.L.; Sumitomo, H. Benefits of Water Quality Enhancement (Part A: Pollution Index for Benefits Analysis); Water Pollution Control Research Series N. 16110 DAJ 12/70; Environmental Protection Agency, Water Quality Office: New York, NY, USA, 1970. [Google Scholar]
- Kachroud, M.; Trolard, F.; Kefi, M.; Jebari, S.; Bourrié, G. Water Quality Indices: Challenges and Application Limits in the Literature. Water 2019, 11, 361. [Google Scholar] [CrossRef]
- Dinius, S.H. Social Accounting System for Evaluating Water Resources. Water Resour. Res. 1972, 8, 1159–1177. [Google Scholar] [CrossRef]
- Dinius, S.H. Design of an Index of Water Quality 1. JAWRA J. Am. Water Resour. Assoc. 1987, 23, 833–843. [Google Scholar] [CrossRef]
- Dalkey, N. Delphi the RAND Corporation; RAND Corporation: Santa Monica, CA, USA, 1967. [Google Scholar]
- House, M.A.; Newsome, D.H. Water Quality Indices for the Management of Surface Water Quality. In Urban Discharges and Receiving Water Quality Impacts; Elsevier: Amsterdam, The Netherlands, 1989; pp. 159–173. [Google Scholar]
- Sargaonkar, A.; Deshpande, V. Development of an Overall Index of Pollution for Surface Water Based on a General Classification Scheme in Indian Context. Environ. Monit. Assess. 2003, 89, 43–67. [Google Scholar] [CrossRef]
- Kim, A.G.; Cardone, C.R. Scatterscore: A Reconnaissance Method to Evaluate Changes in Water Quality. Environ. Monit. Assess. 2005, 111, 277–295. [Google Scholar] [CrossRef]
- Said, A.; Stevens, D.K.; Sehlke, G. An Innovative Index for Evaluating Water Quality in Streams. Environ. Manag. 2004, 34, 406–414. [Google Scholar] [CrossRef] [PubMed]
- Icaga, Y. Fuzzy Evaluation of Water Quality Classification. Ecol. Indic. 2007, 7, 710–718. [Google Scholar] [CrossRef]
- Silvert, W. Fuzzy Indices of Environmental Conditions. Ecol. Model. 2000, 130, 111–119. [Google Scholar] [CrossRef]
- Zadeh, L.A. Fuzzy Sets. Inf. Control 1965, 8, 338–353. [Google Scholar] [CrossRef]
- Stambuk-Giljanovic, N. Water Quality Evaluation by Index in Dalmatia. Water Res. 1999, 33, 3423–3440. [Google Scholar] [CrossRef]
- Pesce, S.F.; Wunderlin, D.A. Use of Water Quality Indices to Verify the Impact of Córdoba City (Argentina) on Suquía River. Water Res. 2000, 34, 2915–2926. [Google Scholar] [CrossRef]
- Yidana, S.M.; Yidana, A. Assessing Water Quality Using Water Quality Index and Multivariate Analysis. Environ. Earth Sci. 2010, 59, 1461–1473. [Google Scholar] [CrossRef]
- Swamee, P.K.; Tyagi, A. Describing Water Quality with Aggregate Index. J. Environ. Eng. 2000, 126, 451–455. [Google Scholar] [CrossRef]
- Smith, D.G. A Better Water Quality Indexing System for Rivers and Streams. Water Res. 1990, 24, 1237–1244. [Google Scholar] [CrossRef]
- Dojlido, J.; Raniszewski, J.; Woyciechowska, J. Water Quality Index-Application for Rivers in Vistula River Basin in Poland. Water Sci. Technol. 1994, 30, 57. [Google Scholar] [CrossRef]
- Singh, G.; Kamal, R.K. Application of Water Quality Index for Assessment of Surface Water Quality Status in Goa. Curr. World Environ. 2014, 9, 994. [Google Scholar] [CrossRef]
- Ochungo, E.A.; Ouma, G.O.; Obiero, J.P.O.; Odero, N.A. Water Quality Index for Assessment of Potability of Groundwater Resource in Langata Sub County, Nairobi-Kenya. Am. J. Water Resour. 2019, 7, 62–75. [Google Scholar] [CrossRef]
- Mourhir, A.; Rachidi, T.; Karim, M. River Water Quality Index for Morocco Using a Fuzzy Inference System. Environ. Syst. Res. 2014, 3, 21. [Google Scholar] [CrossRef]
- Soumaila, K.I.; Mustapha, N.; Mohamed, C. Assessment of Surface Water Quality Using Indices and Geographic Information System in the Sebou River Basin, Morocco. ESJ 2021, 17, 249. [Google Scholar] [CrossRef]
- Barakat, A.; Hilali, A.; Baghdadi, M.E.; Touhami, F. Assessment of Shallow Groundwater Quality and Its Suitability for Drinking Purpose near the Béni-Mellal Wastewater Treatment Lagoon (Morocco). Hum. Ecol. Risk Assess. Int. J. 2020, 26, 1476–1495. [Google Scholar] [CrossRef]
- Kacem, H.A.; Fal, S.; Karim, M.; Alaoui, H.M.; Rhinane, H.; Maanan, M. Application of Fuzzy Analytical Hierarchy Process for Assessment of Desertification Sensitive Areas in North West of Morocco. Geocarto Int. 2021, 36, 563–580. [Google Scholar] [CrossRef]
- Sarti, O.; Otal, E.; Morillo, J.; Ouassini, A. Integrated Assessment of Groundwater Quality beneath the Rural Area of R’mel, Northwest of Morocco. Groundw. Sustain. Dev. 2021, 14, 100620. [Google Scholar] [CrossRef]
- Kord, M.; Arshadi, B. Applying the Water Quality Index with Fuzzy Logic as a Way to Analyze Multiple Long-Term Groundwater Quality Data: A Case Study of Dehgolān Plain. Arab. J. Geosci. 2022, 15, 253. [Google Scholar] [CrossRef]
- Azzirgue, E.M.; Salmoun, F.; Cherif, E.K.; Ait Tchakoucht, T.; Mejjad, N. Using Machine Learning Approaches to Predict Water Quality of Ibn Battuta Dam (Tangier, Morocco). In Proceedings of the 2nd International Conference on Big Data, Modelling and Machine Learning; SCITEPRESS—Science and Technology Publications: Kenitra, Morocco, 2021; pp. 350–354. [Google Scholar]
- Azzirgue, E.M.; Farida, S.; El Khalil, C.; Mejjad, N. Determination of the Jouamaa Groundwater Quality Using Physico-Chemical Water Analysis and Geographic Information System. In Proceedings of the E3S Web of Conferences; EDP Sciences: Les Ulis, France, 2021; Volume 314, p. 07006. [Google Scholar]
- Azzirgue, E.M.; Salmoun, F. Assessment of the Physico-Chemical Quality of Water of Oued Ouljat Echatt and Dam Ibn Batouta-Tangier. IJASRE 2019, 5, 314–324. [Google Scholar] [CrossRef]
- Ahmed, A.T.; Emad, M.; Bkary, M.A. Impacts of Temperature Alteration on the Drinking Water Quality Stored in Plastic Bottles. Appl. Water Sci. 2021, 11, 167. [Google Scholar] [CrossRef]
- Soil, L.; District, W.C.; Clark, K. Cow Creek Water Quality Monitoring Report 2006–2008. 2008. Available online: https://scholar.google.com/scholar?hl=fr&as_sdt=0%2C5&q=Soil%2C+L.%3B+District%2C+W.C.%3B+Clark%2C+K.+Cow+Creek+Water+Quality+Monitoring+Report+2006%E2%80%932008%3B+&btnG= (accessed on 12 September 2022).
- Mahmud, Z.H.; Islam, M.S.; Imran, K.M.; Hakim, S.A.I.; Worth, M.; Ahmed, A.; Hossan, S.; Haider, M.; Islam, M.R.; Hossain, F. Occurrence of Escherichia coli and Faecal coliforms in Drinking Water at Source and Household Point-of-Use in Rohingya Camps, Bangladesh. Gut Pathog. 2019, 11, 52. [Google Scholar] [CrossRef]
- Wangsan, K.; Upaphong, P.; Assavanopakun, P.; Sapbamrer, R.; Sirikul, W.; Kitro, A.; Sirimaharaj, N.; Kuanprasert, S.; Saenpo, M.; Saetiao, S. Self-Reported Computer Vision Syndrome among Thai University Students in Virtual Classrooms during the COVID-19 Pandemic: Prevalence and Associated Factors. Int. J. Environ. Res. Public Health 2022, 19, 3996. [Google Scholar] [CrossRef]
- Rittmann, B.E.; McCarty, P.L. Environmental Biotechnology: Principles and Applications; McGraw-Hill Education: New York, NY, USA, 2001; ISBN 1-260-44059-1. [Google Scholar]
- Council, N.R.; Committee, S.D.W. Solid Particles in Suspension. In Drinking Water and Health: Volume 1; National Academies Press: Washington, DC, USA, 1977. [Google Scholar]
- NM03.7.001. 2006: Norme Marocaine Relative à La Qualité Des Eaux d’alimentation Humaine; Bulletin Officiel N° 5404; 16 March 2006. Available online: https://pdfcoffee.com/nm-037001-norme-maroccaine-eau-alimentation-4-pdf-free.html (accessed on 12 September 2022).
- Lumb, A.; Sharma, T.C.; Bibeault, J.-F. A Review of Genesis and Evolution of Water Quality Index (WQI) and Some Future Directions. Water Qual. Expo. Health 2011, 3, 11–24. [Google Scholar] [CrossRef]
- Tyagi, S.; Sharma, B.; Singh, P.; Dobhal, R. Water Quality Assessment in Terms of Water Quality Index. Am. J. Water Resour. 2013, 1, 34–38. [Google Scholar] [CrossRef]
- Effendi, H.; Romanto; Wardiatno, Y. Water Quality Status of Ciambulawung River, Banten Province, Based on Pollution Index and NSF-WQI. Proc. Environ. Sci. 2015, 24, 228–237. [Google Scholar] [CrossRef]
- Zeinalzadeh, K.; Rezaei, E. Determining Spatial and Temporal Changes of Surface Water Quality Using Principal Component Analysis. J. Hydrol. Reg. Stud. 2017, 13, 1–10. [Google Scholar] [CrossRef]
- Matta, G.; Nayak, A.; Kumar, A.; Kumar, P. Water Quality Assessment Using NSFWQI, OIP and Multivariate Techniques of Ganga River System, Uttarakhand, India. Appl. Water Sci. 2020, 10, 206. [Google Scholar] [CrossRef]
- Abbasnia, A.; Alimohammadi, M.; Mahvi, A.H.; Nabizadeh, R.; Yousefi, M.; Mohammadi, A.A.; Pasalari, H.; Mirzabeigi, M. Assessment of Groundwater Quality and Evaluation of Scaling and Corrosiveness Potential of Drinking Water Samples in Villages of Chabahr City, Sistan and Baluchistan Province in Iran. Data Brief 2018, 16, 182–192. [Google Scholar] [CrossRef]
- Nabizadeh, R.; Valadi Amin, M.; Alimohammadi, M.; Naddafi, K.; Mahvi, A.H.; Yousefzadeh, S. Development of Innovative Computer Software to Facilitate the Setup and Computation of Water Quality Index. J. Environ. Health Sci. Eng. 2013, 11, 1. [Google Scholar] [CrossRef]
- McClelland, N.I. Water Quality Index Application in the Kansas River Basin; US Environmental Protection Agency-Region VII: Lenexa, KS, USA, 1974; Volume 74. [Google Scholar]
- Banda, T.D.; Kumarasamy, M. Aggregation Techniques Applied in Water Quality Indices (WQIs). Pollut. Res 2020, 39, 400–441. [Google Scholar]
- Bhargava, D.S. Use of Water Quality Index for River Classification and Zoning of Ganga River. Environ. Pollut. Ser. B Chem. Phys. 1983, 6, 51–67. [Google Scholar] [CrossRef]
- Walski, T.M.; Parker, F.L. Consumers Water Quality Index. J. Environ. Eng. Div. 1974, 100, 593–611. [Google Scholar] [CrossRef]
- Landwehr, J.M.; Deininger, R.A. A Comparison of Several Water Quality Indexes. J. Water Pollut. Control Fed. 1976, 48, 954–958. [Google Scholar]
- Walsh, P.; Wheeler, W. Water Quality Index Aggregation and Cost Benefit Analysis; United States Enviromental Protection Agency: Washington, DC, USA, 2012. [Google Scholar]
- Dunnette, D.A. A Geographically Variable Water Quality Index Used in Oregon. J. Water Pollut. Control Fed. 1979, 51, 53–61. [Google Scholar]
- Cude, C.G. Oregon Water Quality Index a Tool for Evaluating Water Quality Management Effectiveness 1. JAWRA J. Am. Water Resour. Assoc. 2001, 37, 125–137. [Google Scholar] [CrossRef]
- Abbasi, T.; Abbasi, S.A. Why Water-Quality Indices. In Water Quality Indices; Elsevier: Amsterdam, The Netherlands, 2012; pp. 3–7. ISBN 978-0-444-54304-2. [Google Scholar]
- Fleming, S.W.; Wong, C.; Graham, G. The Unbearable Fuzziness of Being Sustainable: An Integrated, Fuzzy Logic-Based Aquifer Health Index. Hydrol. Sci. J. 2014, 59, 1154–1166. [Google Scholar] [CrossRef]
- Mamdani, E.H. Applications of Fuzzy Algorithms for Control of Simple Dynamic Plant. Proc. IEE 1974, 121, 1585–1588. [Google Scholar] [CrossRef]
- Gharibi, H.; Mahvi, A.H.; Nabizadeh, R.; Arabalibeik, H.; Yunesian, M.; Sowlat, M.H. A Novel Approach in Water Quality Assessment Based on Fuzzy Logic. J. Environ. Manag. 2012, 112, 87–95. [Google Scholar] [CrossRef]
- Can Fuzzy Logic Bring Complex Environmental Problems into Focus? Environ. Sci. Technol. 2005, 39, 42A–47A. [CrossRef]
- Sasikumar, K.; Mujumdar, P.P. Fuzzy Optimization Model for Water Quality Management. J. Water Resour. Plan. Manag. 1998, 124. [Google Scholar] [CrossRef]
- Lu, R.-S.; Lo, S.-L.; Hu, J.-Y. Analysis of Reservoir Water Quality Using Fuzzy Synthetic Evaluation. Stoch. Environ. Res. Risk Assess. 1999, 13, 327–336. [Google Scholar] [CrossRef]
- Chang, N.-B.; Chen, H.-W.; Ning, S.-K. Identification of River Water Quality Using the Fuzzy Synthetic Evaluation Approach. J. Environ. Manag. 2001, 63, 293–305. [Google Scholar] [CrossRef]
- Liou, S.-M.; Lo, S.-L.; Hu, C.-Y. Application of Two-Stage Fuzzy Set Theory to River Quality Evaluation in Taiwan. Water Res. 2003, 37, 1406–1416. [Google Scholar] [CrossRef]
- Zadeh, L.A. Outline of a New Approach to the Analysis of Complex Systems and Decision Processes. IEEE Trans. Syst. Man Cybern. 1973, SMC-3, 28–44. [Google Scholar] [CrossRef]
- Zadeh, L.A. Fuzzy Sets. In Fuzzy Sets, Fuzzy Logic, and Fuzzy Systems: Selected Papers by Lotfi A. Zadeh; World Scientific: Singapore, 1996; pp. 394–432. [Google Scholar]
- Turksen, I.B. Measurement of Membership Functions and Their Acquisition. Fuzzy Sets Syst. 1991, 40, 5–38. [Google Scholar] [CrossRef]
- Karr, C.L.; Gentry, E.J. Fuzzy Control of PH Using Genetic Algorithms. IEEE Trans. Fuzzy Syst. 1993, 1, 46. [Google Scholar] [CrossRef]
- Jang, J.-S.; Sun, C.-T. Neuro-Fuzzy Modeling and Control. Proc. IEEE 1995, 83, 378–406. [Google Scholar] [CrossRef]
- Shende, R.; Gupta, G.; Macherla, S. Determination of an Inflection Point for a Dosimetric Analysis of Unflattened Beam Using the First Principle of Derivatives by Python Code Programming. Rep. Pract. Oncol. Radiother. 2019, 24, 432–442. [Google Scholar] [CrossRef]
- Perez, F.; Granger, B.E.; Hunter, J.D. Python: An Ecosystem for Scientific Computing. Comput. Sci. Eng. 2010, 13, 13–21. [Google Scholar] [CrossRef]
- Lindstrom, G. Programming with Python. IT Prof. Mag. 2005, 7, 10. [Google Scholar] [CrossRef]
- Karssenberg, D.; de Jong, K.; van der Kwast, J. Modelling Landscape Dynamics with Python. Int. J. Geogr. Inf. Sci. 2007, 21, 483–495. [Google Scholar] [CrossRef]
- Scikit-Fuzzy. Available online: https://pythonhosted.org/scikit-fuzzy/overview.html (accessed on 12 September 2022).
- Tindall, J.A.; Petrusak, R.L.; McMahon, P.B. Nitrate transport and transformation process in unsaturated porous media. J. Hydrol. 1995, 169, 51–94. [Google Scholar] [CrossRef]
- Vilain, M. La Production Végétale; JB Baillère: Paris, France, 1987; ISBN 2-85206-425-1. [Google Scholar]
- Adimalla, N.; Li, P. Occurrence, Health Risks, and Geochemical Mechanisms of Fluoride and Nitrate in Groundwater of the Rock-Dominant Semi-Arid Region, Telangana State, India. Hum. Ecol. Risk Assess. Int. J. 2019, 25, 81–103. [Google Scholar] [CrossRef]
- Jalali, M. Nitrate Pollution of Groundwater in Toyserkan, Western Iran. Environ. Earth Sci. 2011, 62, 907–913. [Google Scholar] [CrossRef]
- Chen, J.; Wu, H.; Qian, H. Groundwater Nitrate Contamination and Associated Health Risk for the Rural Communities in an Agricultural Area of Ningxia, Northwest China. Expo. Health 2016, 8, 349–359. [Google Scholar] [CrossRef]
- Burow, K.R.; Nolan, B.T.; Rupert, M.G.; Dubrovsky, N.M. Nitrate in Groundwater of the United States, 1991−2003. Environ. Sci. Technol. 2010, 44, 4988–4997. [Google Scholar] [CrossRef]
- Wu, J.; Zhang, Y.; Zhou, H. Groundwater Chemistry and Groundwater Quality Index Incorporating Health Risk Weighting in Dingbian County, Ordos Basin of Northwest China. Geochemistry 2020, 80, 125607. [Google Scholar] [CrossRef]
- He, X.; Li, P.; Ji, Y.; Wang, Y.; Su, Z.; Elumalai, V. Groundwater Arsenic and Fluoride and Associated Arsenicosis and Fluorosis in China: Occurrence, Distribution and Management. Expo. Health 2020, 12, 355–368. [Google Scholar] [CrossRef]
- Wu, J.; Sun, Z. Evaluation of Shallow Groundwater Contamination and Associated Human Health Risk in an Alluvial Plain Impacted by Agricultural and Industrial Activities, Mid-West China. Expo. Health 2016, 8, 311–329. [Google Scholar] [CrossRef]
- Liou, S.M.; Lo, S.L.; Wang, S.H. A generalized water quality index for Taiwan. Environ. Monit. Assess. 2004, 96, 35–52. [Google Scholar] [CrossRef]
- Nguyễn, T.T.N.; Đồng, K.L.; Nguyễn, C.H. Development of Water Quality Index for Coastal Zone and Application in the Hạ Long Bay. VNU J. Sci. Earth Environ. Sci. 2013, 29, 43–52. [Google Scholar]
- Ross, T.J. Fuzzy Logic with Engineering Applications; John Wiley & Sons: Hoboken, NJ, USA, 2005; ISBN 0-470-86076-6. [Google Scholar]
- Marimon, W.; Jimenez, N.T.; Jimenez, C.; Chavarro, J.; Dominguez, E. Comparative Analysis of Water Quality Indices and Their Relationship with Anthropogenic Activities. Case Study: Bogotá River. Research Square 2021. Available online: https://assets.researchsquare.com/files/rs-471745/v1_covered.pdf?c=1631867851 (accessed on 12 September 2022). [CrossRef]
- Nayak, J.G.; Patil, L.G.; Patki, V.K. Development of water quality index for Godavari River (India) based on fuzzy inference system. Groundw. Sustain. Dev. 2020, 10, 100350. [Google Scholar] [CrossRef]








| Type of Parameter | Parameter | Reason for Choice | Reference |
|---|---|---|---|
| Physical–chemical | BOD5, COD, DO, pH, and T° EC TURB , , , , and SM | An increase in T° leads to a pH decrease. All parameters have an impact on DO and can lead to algal growth. Pure water is not a good conductor of electric current.
| [60,61,62,63,64,65]. |
| Bacteriologic | FC | Potential transmission of enteric pathogens such as Salmonella, Shigella, Vibrio cholerae, and E. coli. Potential transmission of enteric pathogens such as Salmonella, Shigella, Vibrio cholerae, and E. coli. |
| Parameters | Analytical Methods | Units | Moroccan Standards [66] | References |
|---|---|---|---|---|
| pH | pH meter in situ | --- | 6.5-8.5 | NM 03.7.009 |
| T° | Thermometer | °C | 30 | |
| EC | Conductimeter | µS/cm | 1300 | NM 03.7.011 |
| BOD5 | BOD5 m | mg/L | 3 | NF T90-103 |
| COD | COD meter | mg/L | 30 | NF T90-101 |
| DO | Oximeter | mg/L | 7 (90%) | |
| SM | Gravimetric | mg/L | 50 | NF T90-105-2 |
| TURB | Turbidimetry | NFU | 5 | NF T90-033 |
| Spectrophotometry | mg/L | 0.5 | NF T 90-040 | |
| Spectrophotometry | mg/L | 0.5 | ||
| Spectrophotometry | mg/L | 0.5 | ||
| Spectrophotometry | mg/L | 0.2–0.5 | ||
| FC | Water quality—Research and enumeration of Escherichia Coli and coliform bacteria; Part 1: Membrane filtration method | MPN/100 ml | ≤20 | NM 03.7.003 |
| Aggregation Methods | Equations |
|---|---|
| WAWQI | WQI = |
| WGWQI | WQI = ∏qiwi |
| OWQI | |
| Logarithmic aggregation | NewWQI = log () |
| Fuzzy logic | Fuzzy WQI= |
| Parameters | pH | T | COD | BOD5 | DO | EC | SM | TURB | FC | ||||
|---|---|---|---|---|---|---|---|---|---|---|---|---|---|
| Weight (wi) * | 4 | 2 | 3 | 3 | 5 | 4 | 2 | 2 | 4 | 5 | 3 | 4 | 5 |
| WQI Value | Class |
|---|---|
| Excellent water | <50 |
| Good water | 50–100 |
| Poor water | 100–200 |
| Very poor water | 200–300 |
| Unsuitable for drinking | >300 |
| Rating | Range |
|---|---|
| Excellent | 91–100 |
| Good | 71–90 |
| Medium | 51–70 |
| Bad | 26–50 |
| Very bad | 0–25 |
| Index Value Ranges | Classification |
|---|---|
| Highest purity | 3 |
| Marginal purity | <2 |
| Poor quality | <1 |
| Parameters | Units | Very low | Low | Medium | High | Very high | ||||||||||
|---|---|---|---|---|---|---|---|---|---|---|---|---|---|---|---|---|
| a = b | c | d | a | b | c | a | b | c | a | b | c | a | b | c | ||
| T° | °C | 0 | 5 | 10 | 5 | 10 | 15 | 10 | 15 | 20 | 15 | 20 | 25 | 20 | 25 | 30 |
| pH | --- | 0 | 3 | 5 | 3 | 5 | 7 | 5 | 7 | 9 | 7 | 9 | 11 | 9 | 11 | 14 |
| EC | µS/cm | 0 | 500 | 600 | 500 | 600 | 700 | 600 | 700 | 800 | 700 | 800 | 900 | 800 | 900 | 1500 |
| SM | mg/L | 0 | 25 | 50 | 50 | 100 | 1000 | 100 | 1000 | 2000 | 1000 | 2000 | 3000 | 2000 | 3000 | 6000 |
| DO | mg/L | 0 | 2 | 4 | 2 | 4 | 6 | 4 | 6 | 8 | 6 | 8 | 10 | 8 | 10 | 12 |
| BOD5 | mg/L | 0 | 1 | 2 | 1 | 2 | 3 | 2 | 3 | 4 | 3 | 4 | 5 | 4 | 5 | 6 |
| COD | mg/L | 0 | 10 | 20 | 10 | 20 | 30 | 20 | 30 | 40 | 30 | 40 | 50 | 40 | 50 | 60 |
| mg/L | 0 | 25 | 50 | 25 | 50 | 75 | 50 | 75 | 100 | 75 | 100 | 125 | 100 | 125 | 150 | |
| mg/L | 0 | 1 | 2 | 1 | 2 | 3 | 2 | 3 | 4 | 3 | 4 | 5 | 4 | 5 | 6 | |
| mg/L | 0 | 1 | 2 | 1 | 2 | 3 | 2 | 3 | 4 | 3 | 4 | 5 | 4 | 5 | 6 | |
| TURB | NTU | 0 | 1 | 2 | 1 | 2 | 3 | 2 | 3 | 4 | 3 | 4 | 5 | 4 | 5 | 6 |
| FC | MPN/100 mL | 0 | 10 | 20 | 10 | 20 | 100 | 20 | 100 | 1000 | 100 | 1000 | 2000 | 1000 | 2000 | 20,000 |
| Parameters | Range | Year: 2016Mean | Standard Deviation | Range | Year: 2017Mean | Standard Deviation | Moroccan Standards [66] |
|---|---|---|---|---|---|---|---|
| T (°C) | 18.8–20.9 | 20.36 | 0.68 | 19.9–20.7 | 20.34 | 0.27 | 30 |
| pH | 7.17–8.05 | 7.60 | 0.29 | 6.82–7.82 | 7.21 | 0.35 | 6.5–8.5 |
| EC (µS/cm) | 980–3100 | 1544.44 | 804 | 820–3250 | 1568 | 874.29 | 1300 |
| SM (mg/L) | 2–130 | 21.11 | 41.49 | 3–13 | 7.78 | 4.02 | 50 |
| DO (mg/L) | 2.08–7.56 | 5.52 | 1.83 | 1.59–6.40 | 4.20 | 1.46 | 7 (90%) |
| BOD5 (mg/L) | 2–29 | 7.55 | 8.62 | 7–20 | 12.44 | 4.67 | 3 |
| COD (mg/L) | 1.05–32 | 10.94 | 9.75 | 17.90–42.90 | 26.13 | 8.22 | 30 |
| (mg/L) | 0.13–26.6 | 5.05 | 8.56 | 0.13–12.42 | 3.26 | 4.20 | 50 |
| (mg/L) | 0.38–0.57 | 0.47 | 0.06 | 0.33–0.55 | 0.45 | 0.08 | 0.5 |
| (mg/L) | 0.07–0.99 | 0.37 | 0.28 | 0.41–3.48 | 1.29 | 1.15 | 0.4 |
| TURB (NTU) | 1.16–17.7 | 4.98 | 5.35 | 1.25–20 | 5.16 | 5.82 | 5 |
| FC (MPN/100 mL) | 83–1191 | 585.22 | 435.64 | 83–1190 | 585 | 435.64 | 20 |
| Year | POINTS | WAWQI | WAWQI Quality | WGWQI | WGWQI Quality | OWQI | OWQI Quality | Logarithmic WQI | Logarithmic Quality | Fuzzy WQI | Fuzzy WQI Quality |
|---|---|---|---|---|---|---|---|---|---|---|---|
| 2016 | P 1 | 66.41 | Good water | 19.24 | Very bad | 0.069 | Very poor | 2.62 | Highest purity | 22.59 | Poor |
| 2016 | P 2 | 92.95 | Good water | 23.55 | Very bad | 0.096 | Very poor | 1.73 | Marginal quality | 22.59 | Poor |
| 2016 | P 3 | 68.36 | Good water | 29.65 | Bad | 0.138 | Very poor | 5.66 | Highest purity | 22.59 | Poor |
| 2016 | P 4 | 69.75 | Good water | 33.65 | Bad | 0.220 | Very poor | 6.07 | Highest purity | 22,59 | Poor |
| 2016 | P 5 | 54.22 | Good water | 25.30 | Bad | 0.103 | Very poor | 2.52 | Highest purity | 22.59 | Poor |
| 2016 | P 6 | 70.38 | Good water | 21.69 | Very bad | 0.166 | Very poor | 1.71 | Marginal quality | 22.69 | Poor |
| 2016 | P 7 | 79.16 | Good water | 31.67 | Bad | 0.106 | Very poor | 2.65 | Highest purity | 22.59 | Poor |
| 2016 | P 8 | 174.57 | Poor water | 28.35 | Bad | 0.136 | Very poor | 0.45 | Poor | 22.68 | Poor |
| 2016 | P 9 | 43.89 | Excellent water | 0.00 | Very bad | 0.000 | Very poor | 1.84 | Marginal quality | 22.59 | Poor |
| 2017 | P 1 | 109.90 | Poor water | 30.26 | Bad | 0.215 | Very poor | 1.25 | Marginal quality | 22.59 | Poor |
| 2017 | P 2 | 106.44 | Poor water | 37.67 | Bad | 0.179 | Very poor | 0.83 | Poor | 22.59 | Poor |
| 2017 | P 3 | 143.47 | Poor water | 60.14 | Medium quality | 0.261 | Very poor | 0.78 | Poor | 22.59 | Poor |
| 2017 | P 4 | 79.39 | Good water | 27.62 | Bad | 0.213 | Very poor | 3.07 | Highest purity | 22.59 | Poor |
| 2017 | P 5 | 88.60 | Good water | 29.21 | Bad | 0.113 | Very poor | 2.13 | Highest purity | 23.47 | Poor |
| 2017 | P 6 | 72.33 | Good water | 21.17 | Very bad | 0.134 | Very poor | 1.52 | Marginal quality | 22.79 | Poor |
| 2017 | P 7 | 86.00 | Good water | 38.05 | Bad | 0.217 | Very poor | 1.98 | Marginal quality | 22.59 | Poor |
| 2017 | P 8 | 108.78 | Poor water | 32.69 | Bad | 0.127 | Very poor | 0.03 | Poor | 22.59 | Poor |
| 2017 | P 9 | 92.18 | Good water | 30.62 | Bad | 0.101 | Very poor | 0.04 | Poor | 22.59 | Poor |
Publisher’s Note: MDPI stays neutral with regard to jurisdictional claims in published maps and institutional affiliations. |
© 2022 by the authors. Licensee MDPI, Basel, Switzerland. This article is an open access article distributed under the terms and conditions of the Creative Commons Attribution (CC BY) license (https://creativecommons.org/licenses/by/4.0/).
Share and Cite
Azzirgue, E.M.; Cherif, E.K.; Tchakoucht, T.A.; Azhari, H.E.; Salmoun, F. Testing Groundwater Quality in Jouamaa Hakama Region (North of Morocco) Using Water Quality Indices (WQIs) and Fuzzy Logic Method: An Exploratory Study. Water 2022, 14, 3028. https://doi.org/10.3390/w14193028
Azzirgue EM, Cherif EK, Tchakoucht TA, Azhari HE, Salmoun F. Testing Groundwater Quality in Jouamaa Hakama Region (North of Morocco) Using Water Quality Indices (WQIs) and Fuzzy Logic Method: An Exploratory Study. Water. 2022; 14(19):3028. https://doi.org/10.3390/w14193028
Chicago/Turabian StyleAzzirgue, El Mustapha, El Khalil Cherif, Taha Ait Tchakoucht, Hamza El Azhari, and Farida Salmoun. 2022. "Testing Groundwater Quality in Jouamaa Hakama Region (North of Morocco) Using Water Quality Indices (WQIs) and Fuzzy Logic Method: An Exploratory Study" Water 14, no. 19: 3028. https://doi.org/10.3390/w14193028
APA StyleAzzirgue, E. M., Cherif, E. K., Tchakoucht, T. A., Azhari, H. E., & Salmoun, F. (2022). Testing Groundwater Quality in Jouamaa Hakama Region (North of Morocco) Using Water Quality Indices (WQIs) and Fuzzy Logic Method: An Exploratory Study. Water, 14(19), 3028. https://doi.org/10.3390/w14193028

