Effects of Climatic Variability on Soil Water Content in an Alpine Kobresia Meadow, Northern Qinghai–Tibetan Plateau, China
Abstract
1. Introduction
2. Materials and Methods
2.1. Site Description
2.2. Data Collection
2.3. Statistical Analysis
3. Results
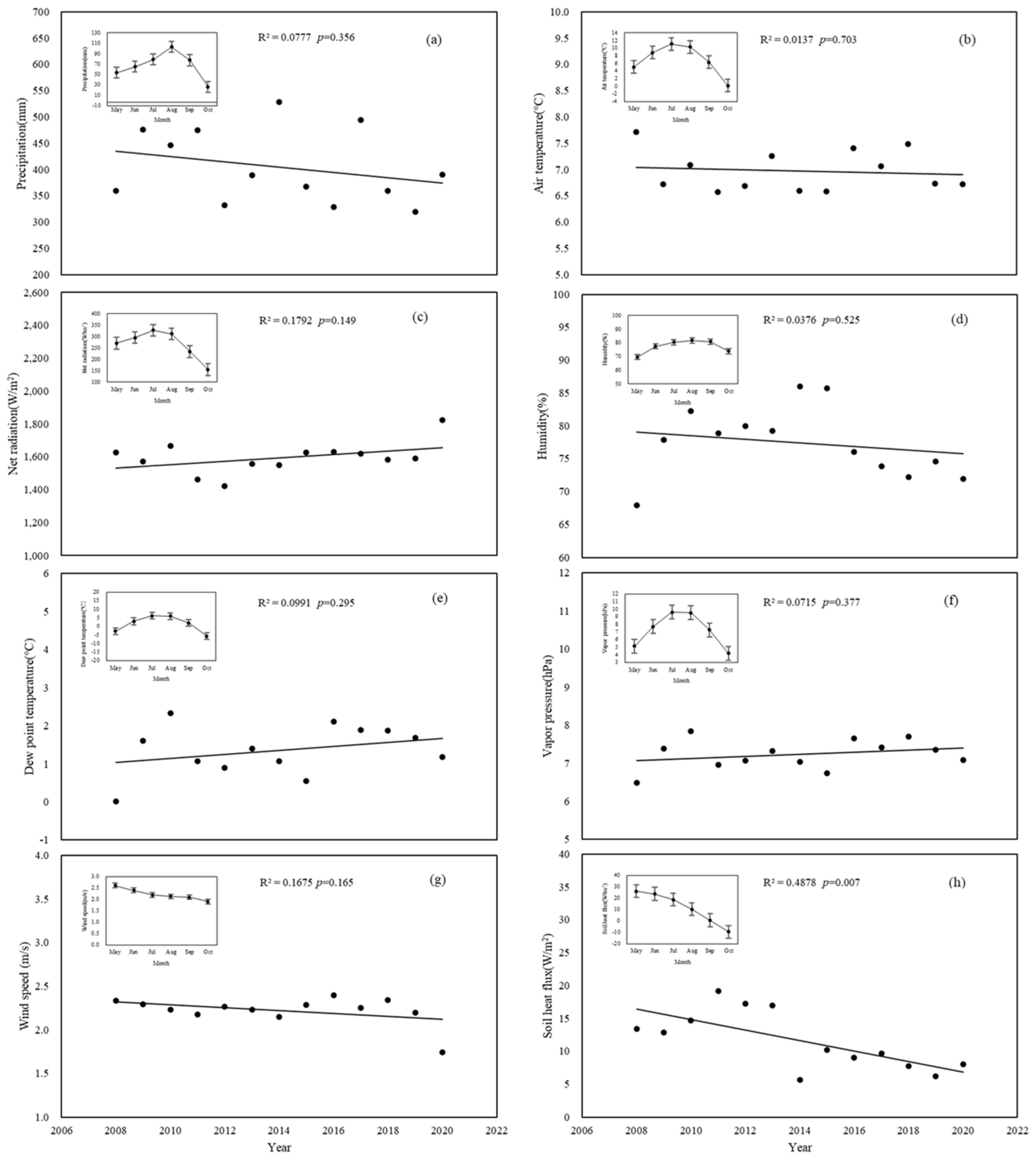
3.1. Meteorological Factors Change Characteristics
3.2. Soil Moisture Variability Characteristics
3.3. Variation Characteristics of Evapotranspiration and Drought Index
3.4. Response of Soil Moisture Content to Single Rainfall Practices
3.5. Effect of Environmental Factors on Soil Moisture Variability
4. Discussion
4.1. Effects of Meteorological Factors on Soil Moisture Variability in This Study
4.2. Response of Above- and Below-Ground Vegetation to Soil Moisture Variability
5. Conclusions
Author Contributions
Funding
Institutional Review Board Statement
Informed Consent Statement
Data Availability Statement
Acknowledgments
Conflicts of Interest
References
- Seneviratne, S.I.; Corti, T.; Davin, E.L.; Hirschi, M.; Jaeger, E.B.; Lehner, I.; Orlowsky, B.; Teuling, A.J. Investigating soil moisture–climate interactions in a changing climate: A review. Earth-Sci. Rev. 2010, 99, 125–161. [Google Scholar] [CrossRef]
- Sitch, S.; Smith, B.; Prentice, I.C.; Arneth, A.; Bondeau, A.; Cramer, W.; Kaplan, J.O.; Levis, S.; Lucht, W.; Sykes, M.T.; et al. Evaluation of ecosystem dynamics, plant geography and terrestrial carbon cycling in the LPJ dynamic global vegetation model. Glob. Chang. Biol. 2003, 9, 161–185. [Google Scholar] [CrossRef]
- Tyagi, J.V.; Qazi, N.; Rai, S.P.; Singh, M.P. Analysis of soil moisture variation by forest cover structure in lower western Himalayas, India. J. For. Res. 2013, 24, 317–324. [Google Scholar] [CrossRef]
- Xie, Q.; Li, J.; Zhao, Y. Effects of Air Temperature and Precipitation on Soil Moisture on the Qinghai-Tibet Plateau during the 2015 Growing Season. Adv. Meteorol. 2020, 2020, 4918945. [Google Scholar] [CrossRef]
- Albergel, C.; de Rosnay, P.; Gruhier, C.; Muñoz-Sabater, J.; Hasenauer, S.; Isaksen, L.; Kerr, Y.; Wagner, W. Evaluation of remotely sensed, modelled soil moisture products using global ground-based in situ observations. Remote Sens. Environ. 2012, 118, 215–226. [Google Scholar] [CrossRef]
- Dai, A. Increasing drought under global warming in observations, models. Nat. Clim. Chang. 2013, 3, 52–58. [Google Scholar] [CrossRef]
- Döll, P.; Fiedler, K.; Zhang, J. Global-scale analysis of river flow alterations due to water withdrawals, reservoirs. Hydrol. Earth Syst. Sci. 2009, 6, 126505–126506. [Google Scholar] [CrossRef]
- Wada, Y.; van Beek, L.P.H.; Wanders, N.; Bierkens, M.F.P. Human water consumption intensifies hydrological drought worldwide. Environ. Res. Lett. 2013, 8, 034036. [Google Scholar] [CrossRef]
- Wisser, D.; Fekete, B.M.; Vörösmarty, C.J.; Schumann, A.H. Reconstructing 20th century global hydrography: A contribution to the Global Terrestrial Network- Hydrology (GTN-H). Hydrol. Earth Syst. Sci. 2010, 14, 1–24. [Google Scholar] [CrossRef]
- Zhan, X.; Zheng, W.; Fang, L.; Liu, J.; Hain, C.; Yin, J.; Ek, M. A Preliminary Assessment of the Impact of SMAP Soil Moisture on Numerical Weather Forecasts from GFS and NUWRF Models; IEEE: Beijing, China, 2016; pp. 5229–5232. [Google Scholar]
- Feng, H. Individual contributions of climate and vegetation change to soil moisture trends across multiple spatial scales. Sci. Rep. 2016, 6, 32782. [Google Scholar] [CrossRef]
- Wentz, F.J.; Ricciardulli, L.; Kyle Hilburn, C.M. How Much More Rain Will Global Warming Bring? Science 2007, 317, 233–235. [Google Scholar] [CrossRef] [PubMed]
- Gao, Y.; Gao, J.; Wen, C.; Zhang, W. The Relationship between the Soil Water Condition and Vegetation Distribution Pattern in Yanchi. J. Northwest For. Coll. 2016, 21, 1–4. [Google Scholar]
- Guo, X.; Dai, L.; Li, Q.; Qian, D.; Cao, G.; Zhou, H.; Du, Y. Light Grazing Significantly Reduces Soil Water Storage in Alpine Grasslands on the Qinghai-Tibet Plateau. Sustainability 2020, 12, 2523. [Google Scholar] [CrossRef]
- Huang, Y.; Li, B.; Biswas, A.; Li, Z. Factors dominating the horizontal and vertical variability of soil water vary with climate and plant type in loess deposits. Sci. Total Environ. 2022, 811, 152172. [Google Scholar] [CrossRef]
- Han, G.; Wang, J.; Pan, Y.; Huang, N.; Zhang, Z.; Peng, R.; Wang, Z.; Sun, G.; Liu, C.; Ma, S.; et al. Temporal and Spatial Variation of Soil Moisture and Its Possible Impact on Regional Air Temperature in China. Water 2020, 12, 1807. [Google Scholar] [CrossRef]
- Zhang, S.-Y.; Li, X.-Y. Soil moisture and temperature dynamics in typical alpine ecosystems: A continuous multi-depth measurements-based analysis from the Qinghai-Tibet Plateau, China. Hydrol. Res. 2017, 49, 194–209. [Google Scholar] [CrossRef]
- Su, Z.; Wen, J.; Dente, L.; van der Velde, R.; Wang, L.; Ma, Y.; Yang, K.; Hu, Z. The Tibetan Plateau observatory of plateau scale soil moisture and soil temperature (Tibet-Obs) for quantifying uncertainties in coarse resolution satellite and model products. Hydrol. Earth Syst. Sci. 2011, 15, 2303–2316. [Google Scholar] [CrossRef]
- Liu, Y.; Liu, F.; Xu, Z.; Zhang, J.; Wang, L.; An, S. Variations of soil water isotopes and effective contribution times of precipitation and throughfall to alpine soil water, in Wolong Nature Reserve, China. Catena 2015, 126, 201–208. [Google Scholar] [CrossRef]
- Song, Y.; Lu, Y.; Guo, Z.; Xu, X.; Liu, T.; Wang, J.; Wang, W.; Hao, W.; Wang, J. Variations in Soil Water Content and Evapotranspiration in Relation to Precipitation Pulses within Desert Steppe in Inner Mongolia, China. Water 2019, 11, 198. [Google Scholar] [CrossRef]
- Yao, S.X.; Zhao, C.C.; Zhang, T.H.; Liu, X.P. Response of the soil water content of mobile dunes to precipitation patterns in Inner Mongolia, northern China. J. Arid. Environ. 2013, 97, 92–98. [Google Scholar] [CrossRef]
- Hao, L.; Sun, G.; Liu, Y.; Zhou, G.; Wan, J.; Zhang, L.; Niu, J.; Sang, Y.; He, J. Evapotranspiration and Soil Moisture Dynamics in a Temperate Grassland Ecosystem in Inner Mongolia, China. Trans. ASABE 2016, 59, 577–590. [Google Scholar]
- Wang, Y.; Zhang, Y.; Yu, X.; Jia, G.; Liu, Z.; Sun, L.; Zheng, P.; Zhu, X. Grassland soil moisture fluctuation and its relationship with evapotranspiration. Ecol. Indic. 2021, 131, 108196. [Google Scholar] [CrossRef]
- Chow, K.C.; Chan, J.C.L.; Shi, X.; Liu, Y.; Ding, Y. Time-lagged effects of spring Tibetan Plateau soil moisture on the monsoon over China in early summer. Int. J. Climatol. 2008, 28, 55–67. [Google Scholar] [CrossRef]
- Lin, X.; Zhao, H.; Zhang, S.; Li, X.; Gao, W.; Ren, Z.; Luo, M. Effects of animal grazing on vegetation biomass and soil moisture on a typical steppe in Inner Mongolia, China. Ecohydrology 2022, 15, e2350. [Google Scholar] [CrossRef]
- Liu, H.; Wu, J.; Tian, X.; Du, W. Dynamic of aboveground biomass and soil moisture as affected by short-term grazing exclusion on eastern alpine meadow of Qinghai-Tibet plateau, China. Chil. J. Agric. Res. 2016, 76, 321–329. [Google Scholar] [CrossRef][Green Version]
- Yang, M.; Yao, T.; Gou, X.; Koike, T.; He, Y. The soil moisture distribution, thawing–freezing processes and their effects on the seasonal transition on the Qinghai–Xizang (Tibetan) plateau. J. Asian Earth Sci. 2003, 21, 457–465. [Google Scholar] [CrossRef]
- Wu, X.; Liu, G.; Li, X.; Ji, G.; Li, L.; Mao, N.; Xu, H.; Wu, X. Variation of Soil Moisture and Its Relation with Precipitation of Permafrost and Seasonally Frozen Soil Regions on the Qinghai-Tibet Plateau. J. China Hydrol. 2021, 41, 73–78, 101. [Google Scholar]
- Genxu, W.; Hongchang, H.; Guangsheng, L.; Na, L. Impacts of changes in vegetation cover on soil water heat coupling in an alpine meadow of the Qinghai-Tibet Plateau, China. Hydrol. Earth Syst. Sci. 2009, 13, 327–341. [Google Scholar] [CrossRef]
- Genxu, W.; Guangsheng, L.; Chunjie, L. Effects of changes in alpine grassland vegetation cover on hillslope hydrological processes in a permafrost watershed. J. Hydrol. 2012, 444–445, 22–33. [Google Scholar] [CrossRef]
- Sun, S.; Che, T.; Li, H.; Wang, T.; Ma, C.; Liu, B.; Wu, Y.; Song, Z. Water and carbon dioxide exchange of an alpine meadow ecosystem in the northeastern Tibetan Plateau is energy-limited. Agric. For. Meteorol. 2019, 275, 283–295. [Google Scholar] [CrossRef]
- Zhao, D.; Wu, S. Responses of vegetation distribution to climate change in China. Theor. Appl. Climatol. 2014, 117, 15–28. [Google Scholar] [CrossRef]
- Porporato, A.; Daly, E.; Rodriguez-Iturbe, I. Soil Water Balance and Ecosystem Response to Climate Change. Am. Nat. 2004, 164, 625–632. [Google Scholar] [CrossRef] [PubMed]
- Xue, X.; Peng, F.; You, Q.; Xu, M.; Dong, S. Belowground carbon responses to experimental warming regulated by soil moisture change in an alpine ecosystem of the Qinghai–Tibet Plateau. Ecol. Evol. 2015, 5, 4063–4078. [Google Scholar] [CrossRef]
- Chen, Y.; Wang, K.; Lin, Y.; Shi, W.; Song, Y.; He, X. Balancing green and grain trade. Nat. Geosci. 2015, 8, 739–741. [Google Scholar] [CrossRef]
- Wang, J.; Fu, B.; Qiu, Y.; Chen, L.; Wang, Z. Geostatistical analysis of soil moisture variability on Da Nangou catchment of the loess plateau, China. Environ. Geol. 2001, 41, 113–120. [Google Scholar] [CrossRef]
- Zhu, Q.; Lin, H. Influences of soil, terrain, and crop growth on soil moisture variation from transect to farm scales. Geoderma 2011, 163, 45–54. [Google Scholar] [CrossRef]
- Fang, X.; Zhao, W.; Wang, L.; Feng, Q.; Ding, J.; Liu, Y.; Zhang, X. Variations of deep soil moisture under different vegetation types and influencing factors in a watershed of the Loess Plateau, China. Hydrol. Earth Syst. Sci. 2016, 20, 3309–3323. [Google Scholar] [CrossRef]
- Suo, L.; Huang, M.; Zhang, Y.; Duan, L.; Shan, Y. Soil moisture dynamics and dominant controls at different spatial scales over semiarid and semi-humid areas. J. Hydrol. 2018, 562, 635–647. [Google Scholar] [CrossRef]
- Jiao, L.; An, W.; Li, Z.; Gao, G.; Wang, C. Regional variation in soil water and vegetation characteristics in the Chinese Loess Plateau. Ecol. Indic. 2020, 115, 106399. [Google Scholar] [CrossRef]
- Li, H.; Shen, W.; Zou, C.; Jiang, J.; Fu, L.; She, G. Spatio-temporal variability of soil moisture and its effect on vegetation in a desertified aeolian riparian ecotone on the Tibetan Plateau, China. J. Hydrol. 2013, 479, 215–225. [Google Scholar] [CrossRef]
- Zhang, T.; Xu, M.; Zhang, Y.; Zhao, T.; An, T.; Li, Y.; Sun, Y.; Chen, N.; Zhao, T.; Zhu, J.; et al. Grazing-induced increases in soil moisture maintain higher productivity during droughts in alpine meadows on the Tibetan Plateau. Agric. For. Meteorol. 2019, 269–270, 249–256. [Google Scholar] [CrossRef]
- Dai, L.; Guo, X.; Du, Y.; Ke, X.; Cao, Y.; Li, Y.; Cao, G.; Zhang, F. Thirteen-year variation in biomass allocation under climate change in an alpine Kobresia meadow, northern Qinghai–Tibetan Plateau. Grass Forage Sci. 2019, 74, 476–485. [Google Scholar] [CrossRef]
- Azen, R.; Traxel, N. Using Dominance Analysis to Determine Predictor Importance in Logistic Regression. J. Educ. Behav. Stat. 2009, 34, 319–347. [Google Scholar] [CrossRef]
- De Boeck, H.J.; Lemmens, C.M.H.M.; Gielen, B.; Bossuyt, H.; Malchair, S.; Carnol, M.; Merckx, R.; Ceulemans, R.; Nijs, I. Combined effects of climate warming and plant diversity loss on above- and below-ground grassland productivity. Environ. Exp. Bot. 2007, 60, 95–104. [Google Scholar] [CrossRef]
- Wang, X.; Yi, S.; Wu, Q.; Yang, K.; Ding, Y. The role of permafrost and soil water in distribution of alpine grassland and its NDVI dynamics on the Qinghai-Tibetan Plateau. Glob. Planet. Chang. 2016, 147, 40–53. [Google Scholar] [CrossRef]
- Hohenegger, C.; Brockhaus, P.; Bretherton, C.S.; Schär, C. The Soil Moisture–Precipitation Feedback in Simulations with Explicit and Parameterized Convection. J. Clim. 2009, 22, 5003–5020. [Google Scholar] [CrossRef]
- Zhang, Q.; Fan, K.; Singh, V.P.; Song, C.; Xu, C.-Y.; Sun, P. Is Himalayan-Tibetan Plateau “drying”? Historical estimations and future trends of surface soil moisture. Sci. Total Environ. 2019, 658, 374–384. [Google Scholar] [CrossRef]
- Cheng, S.; Guan, X.; Huang, J.; Ji, F.; Guo, R. Long-term trend and variability of soil moisture over East Asia. J. Geophys. Res. Atmos. 2015, 120, 8658–8670. [Google Scholar] [CrossRef]
- Deng, Y.; Wang, S.; Bai, X.; Luo, G.; Wu, L.; Chen, F.; Wang, J.; Li, Q.; Li, C.; Yang, Y.; et al. Spatiotemporal dynamics of soil moisture in the karst areas of China based on reanalysis and observations data. J. Hydrol. 2020, 585, 124744. [Google Scholar] [CrossRef]
- Luo, X.; Li, J.; Zhang, Y.; Jing, L.; Wang, Y.; Zhang, J. Response of Spatial and Temporal Variation of Soil Moisture to Precipitation Change in Desert Steppe. Res. Soil Water Conserv. 2021, 28, 142–150, 158. [Google Scholar]
- Zhang, W.; Yi, S.; Qin, Y.; Sun, Y.; Shangguan, D.; Meng, B.; Li, M.; Zhang, J. Effects of Patchiness on Surface Soil Moisture of Alpine Meadow on the Northeastern Qinghai-Tibetan Plateau: Implications for Grassland Restoration. Remote Sens. 2020, 12, 4121. [Google Scholar] [CrossRef]
- Ivancic, T.J.; Shaw, S.B. A U.S.-based analysis of the ability of the Clausius-Clapeyron relationship to explain changes in extreme rainfall with changing temperature. J. Geophys. Res. Atmos. 2016, 121, 3066–3078. [Google Scholar] [CrossRef]
- Zhang, H.; Dou, R. Interannual and seasonal variability in evapotranspiration of alpine meadow in the Qinghai-Tibetan Plateau. Arab. J. Geosci. 2020, 13, 968. [Google Scholar] [CrossRef]
- Wu, X.; Li, X.; Chen, Y.; Bai, Y.; Yaqin, T.; Wang, P.; Liu, H.; Wang, M.; Fangzhong, S.; Zhang, C.; et al. Atmospheric Water Demand Dominates Daily Variations in Water Use Efficiency in Alpine Meadows, Northeastern Tibetan Plateau. J. Geophys. Res. Biogeosci. 2019, 124, 2174–2185. [Google Scholar] [CrossRef]
- Sohrabi, M.M.; Ryu, J.H.; Abatzoglou, J.; Tracy, J. Development of Soil Moisture Drought Index to Characterize Droughts. J. Hydrol. Eng. 2015, 20, 04015025. [Google Scholar] [CrossRef]
- Vicente-Serrano, S.M.; Beguería, S.; López-Moreno, J.I. A Multiscalar Drought Index Sensitive to Global Warming: The Standardized Precipitation Evapotranspiration Index. J. Clim. 2010, 23, 1696–1718. [Google Scholar] [CrossRef]
- Mishra, A.K.; Singh, V.P. A review of drought concepts. J. Hydrol. 2010, 391, 202–216. [Google Scholar] [CrossRef]
- Zargar, A.; Sadiq, R.; Naser, B.; Khan, F.I. A review of drought indices. Environ. Rev. 2011, 19, 333–349. [Google Scholar] [CrossRef]
- Cheng, G.; Wu, T. Responses of permafrost to climate change and their environmental significance, Qinghai-Tibet Plateau. J. Geophys. Res. Earth Surf. 2007, 112. [Google Scholar] [CrossRef]
- Li, X.; Jin, R.; Pan, X.; Zhang, T.; Guo, J. Changes in the near-surface soil freeze–thaw cycle on the Qinghai-Tibetan Plateau. Int. J. Appl. Earth Obs. Geoinf. 2012, 17, 33–42. [Google Scholar] [CrossRef]
- Wu, Q.; Zhang, T.; Liu, Y. Permafrost temperatures and thickness on the Qinghai-Tibet Plateau. Glob. Planet. Chang. 2010, 72, 32–38. [Google Scholar] [CrossRef]
- Genxu, W.; Guangsheng, L.; Chunjie, L.; Yan, Y. The variability of soil thermal and hydrological dynamics with vegetation cover in a permafrost region. Agric. For. Meteorol. 2012, 162–163, 44–57. [Google Scholar] [CrossRef]
- Liang, J.; Zhang, B.; Ma, B.; Wei, H.; Zhang, J.; Ma, S. Drought evolution characteristics on the Tibetan Plateau based on daily standardized precipitation evapotranspiration index. J. Glaciol. Geocryol. 2018, 40, 1100–1109. [Google Scholar]
- Yuan-shou, L.I.; Gen-xu, W.; Lin, Z.; Qing-bai, W.U.; Yi-bo, W.; Ren-he, Z. Response of Soil Moisture in the Permafrost Active Layer to the Change of Alpine Meadow Coverage on the Tibetan Plateau. J. Glaciol. Geocryol. 2010, 32, 157–165. [Google Scholar]
- Gu, Y.; Li, D.; Hou, F. Relationship between soil moisture and biomass in grazing land of wapiti on an alpine steppe. Pratacultural Sci. 2019, 36, 1490–1497. [Google Scholar]
- He, Y. Changes of Biomass and Soil Nutrients in the Differently Degraded Alpine Salix paraqplesia Shrub Meadows. Acat Agric. Boreali-Occident. Sin. 2014, 23, 184–190. [Google Scholar]
- Wang, H.; Sun, J.; Li, W.; Wu, J.; Chen, Y.; Liu, W. Effects of soil nutrients and climate factors on belowground biomass in an alpine meadow in the source region of the Yangtze-Yellow rivers, Tibetan Plateau of China. J. Arid. Land 2016, 8, 881–889. [Google Scholar] [CrossRef]
- Lin, L.; Cao, G.; Xu, X.; Li, C.; Fan, B.; Li, B.; Lan, Y.; Si, M.; Dai, L. Changes and Relationships between Components in the Plant-Soil System and the Dominant Plant Functional Groups in Alpine Kobresia Meadows Due to Overgrazing. Diversity 2022, 14, 183. [Google Scholar] [CrossRef]
- Zhao, D.-D.; Ma, H.-Y.; Li, Y.; Wei, J.-P.; Wang, Z.-C. Effects of water and nutrient additions on functional traits and aboveground biomass of Leymus chinensis. Chin. J. Plant Ecol. 2019, 43, 501–511. [Google Scholar] [CrossRef]
- Ma, X.; Yan, Y.; Lu, X.; Wang, X. Dynamics of Belowground Biomass and Its Relationship with Soil Moisture in Alpine Grassland on the North Tibetan Plateau. Ecol. Environ. Sci. 2016, 25, 189–195. [Google Scholar]
- Frindte, K.; Pape, R.; Werner, K.; Löffler, J.; Knief, C. Temperature and soil moisture control microbial community composition in an arctic–alpine ecosystem along elevational and micro-topographic gradients. ISME J. 2019, 13, 2031–2043. [Google Scholar] [CrossRef] [PubMed]












| Date | Soil Depth | Precipitation | Initial Soil Water Content | Soil Moisture Increment |
|---|---|---|---|---|
| cm | mm | (cm3/cm3) | (cm3/cm3) | |
| 23–24 July 2017 | 5 | 63.3 | 0.167 | 0.242 |
| 10 | 0.248 | 0.140 | ||
| 15 | 0.156 | 0.122 | ||
| 20 | 0.318 | 0.090 | ||
| 30 | 0.274 | 0.080 | ||
| 40 | 0.331 | 0.053 | ||
| 31 July–1 August 2017 | 5 | 34.5 | 0.291 | 0.116 |
| 10 | 0.31 | 0.069 | ||
| 15 | 0.208 | 0.060 | ||
| 20 | 0.367 | 0.038 | ||
| 28–29 July 2019 | 5 | 24.0 | 0.215 | 0.154 |
| 10 | 0.28 | 0.089 | ||
| 15 | 0.172 | 0.093 | ||
| 20 | 0.327 | 0.040 | ||
| 12–13 August 2019 | 5 | 28.8 | 0.146 | 0.184 |
| 10 | 0.252 | 0.116 | ||
| 15 | 0.148 | 0.138 | ||
| 20 | 0.308 | 0.074 |
Publisher’s Note: MDPI stays neutral with regard to jurisdictional claims in published maps and institutional affiliations. |
© 2022 by the authors. Licensee MDPI, Basel, Switzerland. This article is an open access article distributed under the terms and conditions of the Creative Commons Attribution (CC BY) license (https://creativecommons.org/licenses/by/4.0/).
Share and Cite
Si, M.; Guo, X.; Lan, Y.; Fan, B.; Cao, G. Effects of Climatic Variability on Soil Water Content in an Alpine Kobresia Meadow, Northern Qinghai–Tibetan Plateau, China. Water 2022, 14, 2754. https://doi.org/10.3390/w14172754
Si M, Guo X, Lan Y, Fan B, Cao G. Effects of Climatic Variability on Soil Water Content in an Alpine Kobresia Meadow, Northern Qinghai–Tibetan Plateau, China. Water. 2022; 14(17):2754. https://doi.org/10.3390/w14172754
Chicago/Turabian StyleSi, Mengke, Xiaowei Guo, Yuting Lan, Bo Fan, and Guangmin Cao. 2022. "Effects of Climatic Variability on Soil Water Content in an Alpine Kobresia Meadow, Northern Qinghai–Tibetan Plateau, China" Water 14, no. 17: 2754. https://doi.org/10.3390/w14172754
APA StyleSi, M., Guo, X., Lan, Y., Fan, B., & Cao, G. (2022). Effects of Climatic Variability on Soil Water Content in an Alpine Kobresia Meadow, Northern Qinghai–Tibetan Plateau, China. Water, 14(17), 2754. https://doi.org/10.3390/w14172754

