Changes in Soil Moisture, Temperature, and Salt in Rainfed Haloxylon ammodendron Forests of Different Ages across a Typical Desert–Oasis Ecotone
Abstract
:1. Introduction
2. Materials and Methods
2.1. Study Area
2.2. Sampling
2.3. Data Analysis
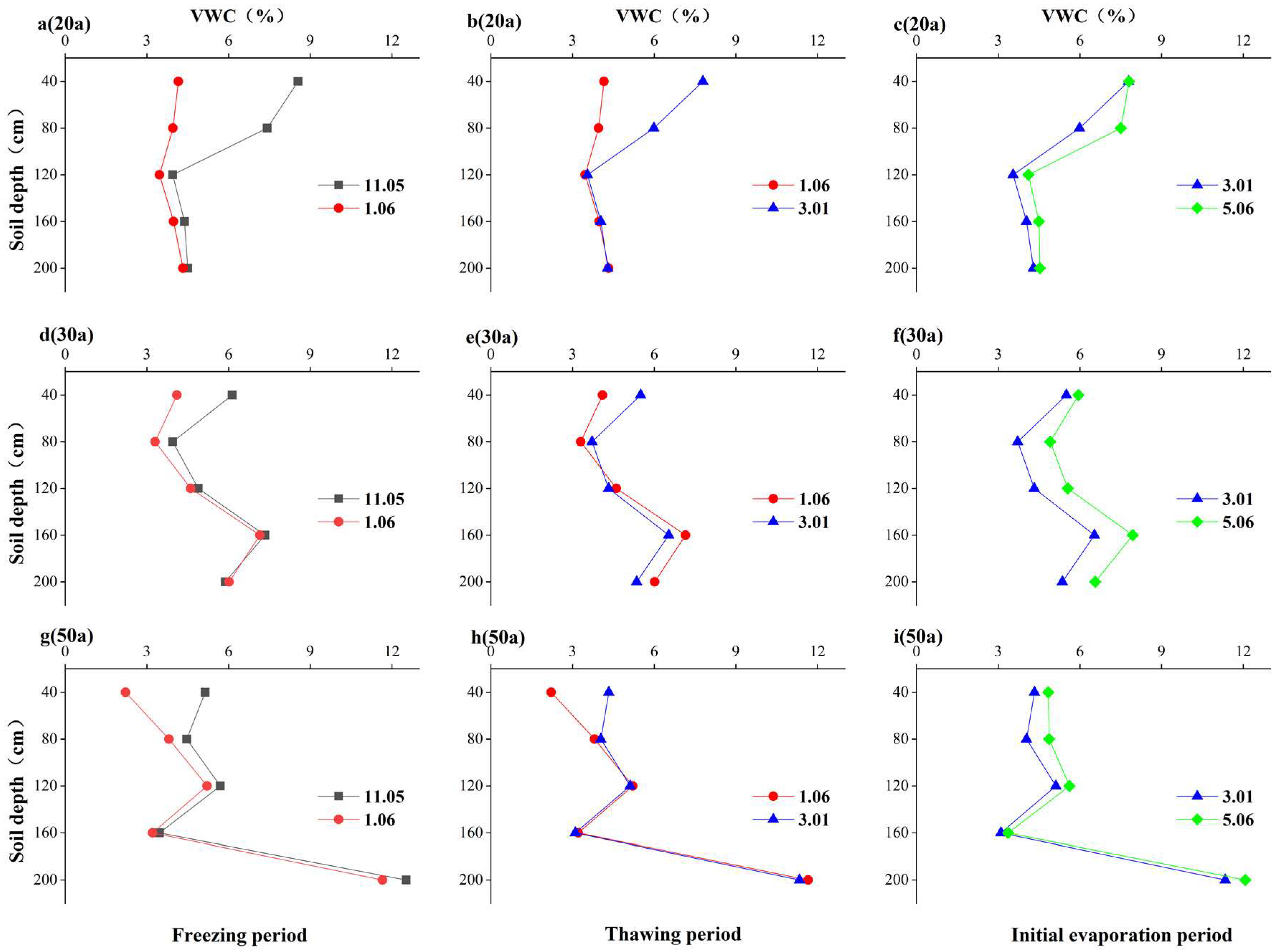
3. Results
3.1. Variation in Soil Moisture, Temperature, and Salt by Forest Age
3.1.1. Soil Temperatures in H. ammodendron Forests
3.1.2. Soil Moisture and Salt in H. ammodendron Forests
3.2. Coupling between Soil Water, Temperature, and Salt with Forest Age
3.2.1. Correlation Analysis of Soil Water, Temperature, and Salt in Different Soil Layers
3.2.2. Regression Analysis of Soil Water, Temperature, and Salt in Different Soil Layers
4. Discussion
5. Conclusions
Supplementary Materials
Author Contributions
Funding
Institutional Review Board Statement
Informed Consent Statement
Data Availability Statement
Acknowledgments
Conflicts of Interest
References
- Chen, Y.; Li, Z.; Fan, Y.; Wang, H.; Fang, G. Research progress on the impact of climate change on water resources in the arid region of Northwest China. Acta Geogr. Sin. 2014, 69, 1295–1304. (In Chinese) [Google Scholar]
- Chen, Y.; Yang, Q.; Luo, Y.; Shen, Y.; Pan, X.; Li, L.; Li, Z. Ponder on the issues of water resources in the arid region of northwest China. Arid. Land. Geogr. 2012, 35, 1–9. (In Chinese) [Google Scholar]
- Zhao, W.; Chang, X. Effect of hydrologic process changes on NDVI in desert–oasis ecotone of Hexi Corridor. Sci. Sin. 2014, 44, 1561–1571. (In Chinese) [Google Scholar] [CrossRef]
- Yang, X.; Li, L. Countermeasure of ecological recovery and ecological and environmental problems in the northwest region. Res. Soil Water Conserv. 2005, 12, 98–106. (In Chinese) [Google Scholar]
- Ma, S.; Wang, G.; Yang, S. Land desertification control and ecological restoration in Northwestern China. Bull. Soil Water Conserv. 2004, 24, 105–108. (In Chinese) [Google Scholar]
- Tian, C.; Zhou, H.; Liu, G. Research suggestions on regulation of soil salinization and sustainable agricultural development in Xinjiang in the 21st Century. Arid. Land Geogr. 2000, 23, 177–181. (In Chinese) [Google Scholar]
- Yang, J. Development and prospect of the research on salt-affected soils in China. Acta Pedol. Sin. 2008, 45, 837–845. (In Chinese) [Google Scholar]
- Du, X.; Zuo, B.; Xu, K.; Wang, S.; Gao, Z.; Ren, X.; Hu, S.; Yun, W. Research progress on water–salt transport theories and models in saline–alkali soil. Chin. J. Soil Sci. 2021, 52, 713–721. (In Chinese) [Google Scholar]
- Cooke, R.U.; Smalley, I.J. Salt weathering in deserts. Nature 1968, 220, 1226–1227. (In Chinese) [Google Scholar] [CrossRef]
- Lin, C. Soil Science (Northern Edition); Agricultural Press: Beijing, China, 1983; pp. 73–79. (In Chinese) [Google Scholar]
- Jin, Z.; Tumarbay, H.; Mou, H.; Mujiang, M.; Li, W. Soil water and salt migration in contton field under soil freezing-thawing temperature. Arid. Zone Res. 2013, 30, 623–627. (In Chinese) [Google Scholar]
- Tumarbay, H.; Wu, Z.; Su, L.; Mou, H. Numerical simulation of soil water-salt movement on drip irrigation cotton under film. Soils 2012, 44, 665–670. (In Chinese) [Google Scholar]
- Li, R.; Shi, H.; Akae, T.; Zhang, Y. Study on water-temperature-salt transfer in soil freezing-thawing based on Simultaneous Temperature and Water model. J. Hydraul. Eng. 2009, 40, 403–412. (In Chinese) [Google Scholar]
- Li, R.; Shi, H.; Akae, T.; Zhang, Y. Characteristics of air temperature and water-salt transfer during freezing and thawing period. Trans. CSAE 2007, 23, 70–74. (In Chinese) [Google Scholar]
- Li, Z. Coupled Soil Moisture, Temperature and Salinity Dynamics in Salined Land during Seasonal Freezing-Thawing Period: A Case Study in 142nd Corp of Manas River Watershed; Lanzhou University: Lanzhou, China, 2011. (In Chinese) [Google Scholar]
- Liu, X.; Liu, Q.; Liu, T.; Duan, L.; Yue, C. Rules of the dynamic water-temperature—Salt transfer in soil of Horqin meadow during freezing and thawing period. Adv. Water Sci. 2015, 26, 331–339. (In Chinese) [Google Scholar]
- Gao, L.; Tian, F.; Ni, G.; Hu, H. Experimental study on soil water-salt movement and irrigation scheduling for cotton under mulched drip irrigation condition. J. Hydraul. Eng. 2010, 41, 1483–1490. (In Chinese) [Google Scholar]
- Gong, L.; Han, L.; Ren, M.; Gui, D. Spatial variability of soil water-salt in a typical oasis on the upper reaches of the Tarim River. J. Soil Water Conserv. 2012, 26, 251–255 + 278. (In Chinese) [Google Scholar]
- Li, X.; Li, G.; Wang, Z.; Shan, S.; Zhang, J.; Li, S.; Fan, J. Soil water and salt with different water table depths along the Tarim Desert Highway. Arid. Land Geogr. 2013, 36, 393–399. (In Chinese) [Google Scholar]
- Liu, J.; Wang, Y.; Yang, X.; Wang, B. Genetic variation in seed and seedling traits of six Haloxylon ammodendron shrub provenances in desert areas of China. Agrofor. Syst. 2011, 81, 135–146. [Google Scholar] [CrossRef]
- Su, Y.; Zhao, W.; Su, P.; Zhang, Z.; Wang, T.; Ram, R. Ecological effects of desertification control and desertified land reclamation in an oasis–desert ecotone in an arid region: A case study in Hexi Corridor, northwest China. Ecol. Eng. 2007, 29, 117–124. [Google Scholar] [CrossRef]
- Yang, W.; Feng, W.; Jia, Z.; Zhu, Y.; Guo, J. Soil water threshold for the growth of Haloxylon ammodendron in the Ulan Buh desert in arid northwest China. South Afr. J. Bot. 2014, 92, 53–58. [Google Scholar] [CrossRef]
- Su, Y.; Liu, T. Soil Evolution Processes Following Establishment of Artificial Sandy-fixing Haloxylon ammodendron Forest. Acta Pedol. Sin. 2020, 57, 84–91. (In Chinese) [Google Scholar]
- Su, P.; Yan, Q. Photosynthetic characteristics of C4 desert species Haloxylon ammodendron and Calligonum mongolicum under different moisture conditions. Acta Ecol. Sin. 2006, 26, 75–82. (In Chinese) [Google Scholar]
- Li, J.; Zhao, C.; Zhu, H.; Li, Y.; Wang, F. Effect of plant species on shrub fertile island at an oasis–desert ecotone in the South Junggar Basin, China. J. Arid. Environ. 2007, 71, 350–361. [Google Scholar] [CrossRef]
- Xu, H.; Li, Y.; Zou, T.; Xie, J.; Jiang, X. Ecophysiological response and morphological adjustment of Haloxylon ammodendron towards variation in summer precipitation. Acta Ecol. Sin. 2007, 27, 5019–5028. (In Chinese) [Google Scholar]
- Wang, G.; Zhao, W.; Liu, H.; Zhang, G.; Li, F. Changes in soil and vegetation with stabilization of dunes in a desert–oasis ecotone. Ecol. Res. 2015, 30, 639–650. [Google Scholar] [CrossRef]
- Wang, G. Sand-Fixing Vegetation Restoration and Its Ecological Effects in a Desert Oasis Ecotone; Meteorological Press: Beijing, China, 2022; pp. 32–40. (In Chinese) [Google Scholar]
- Wu, Q.; Mo, J.; Cheng, S.; Li, P.; Li, Z. Study on the correlation between soil moisture and temperature of different land uses in the loess area during a freezing-thawing period. Arid. Zone Res. 2020, 37, 627–635. (In Chinese) [Google Scholar]
- Zhou, H.; Zhao, W.; Yang, Q. Root biomass distribution of planted Haloxylon ammodendron in a duplex soil in an oasis: Desert boundary area. Ecol. Res. 2016, 31, 673–681. [Google Scholar] [CrossRef]
- Zhou, H.; Zhao, W.; Zhang, G. Varying water utilization of Haloxylon ammodendron plantations in a desert–oasis ecotone. Hydrol. Processes 2017, 31, 825–835. [Google Scholar] [CrossRef]
- R Core Team. R: A Language and Environment for Statistical Computing; R Foundation for Statistical Computing: Vienna, Austria, 2022; Available online: https://www.R-project.org/ (accessed on 20 March 2022).
- Wei, T.; Simko, V. R Package ‘Corrplot’: Visualization of a Correlation Matrix (Version 0.92). 2021. Available online: https://github.com/taiyun/corrplot (accessed on 20 March 2022).
- Zhang, D.; Zheng, Q.; Dong, Z. Mechanism of Soil Salt-moisture Transfer Under Freeze–thawing Condition. Bull. Soil Water Conserv. 2005, 25, 14–18. (In Chinese) [Google Scholar]
- Meng, X.; Zhou, J.; Wei, C.; Zhang, K.; Shen, Z.; Yang, Z. Effects of salinity on soil freezing temperature and unfrozen water content. Rock Soil Mech. 2020, 41, 952–960. (In Chinese) [Google Scholar]
- Zhang, D.; Zheng, Q. Simulation of Water-salt Movement Law Under the Freeze–thawing Condition. Prog. Geogr. 2005, 24, 46–55. (In Chinese) [Google Scholar]
- Medina, J.; Camacho, E.; Reca, J.; López, R.; Roldán, J. Determination and analysis of regional evapotranspiration in Southern Spain based on remote sensing and GIS. Phys. Chem. Earth 1998, 4, 427–432. [Google Scholar] [CrossRef]
- Chang, X.; Zhao, W.; Zhang, Z. Water consumption characteristic of Haloxylon ammodendron for sand binding in desert area. Acta Ecol. Sin. 2007, 27, 1826–1837. (In Chinese) [Google Scholar]
- Xi, J.; Zhang, F.; Chen, Y.; Mao, D.; Yin, C.; Tian, C. A preliminary study on salt contents of soil in root-canopy area of halophytes. Chin. J. Appl. Ecol. 2004, 15, 53–58. (In Chinese) [Google Scholar]
- Cui, H.; Zhang, B.; Feng, X.; Gao, X. Soil water-holding properties of different soil body configuration. Agric. Res. Arid. Areas 2016, 34, 1–5. (In Chinese) [Google Scholar]
- Sun, C.; Zhao, W.; Yang, Q. Water retention of the clay interlayer of dunes at the edge of an oasis. Acta Ecol. Sin. 2018, 38, 3879–3888. (In Chinese) [Google Scholar]
- Sun, F.; Chen, W.; Yuan, H.; Dou, Y.; Bing, D.; Feng, Y.; Wu, T. Spatial Heterogeneity of Soil Moisture and Related Factors in Desert-Wetland Ecosystem Enclosed in Dunhuang Xihu, Gansu, China. Acta Bot. Boreali Occident. Sin. 2016, 36, 165–173. (In Chinese) [Google Scholar]
- Ding, X.; Zhou, Z.; Xu, X.; Wang, Y.; Jiang, Y.; Lu, J.; Chang, Q. Dynamics of soil water and salt in soil under artiifcial plantation shelterbelt drip-irrigated with saline water in the center of the Taklimakan Desert. Acta Pedol. Sin. 2016, 53, 103–116. (In Chinese) [Google Scholar]
- Yang, Y.; Zhou, H.; Xu, L. Dynamic variations of soil moisture in Haloxylon ammodendron root zone in Gurbantunggut Desert. Chin. J. Appl. Ecol. 2011, 22, 1711–1716. (In Chinese) [Google Scholar]
- Li, X.; Liu, L.; Gao, S.; Ma, Y.; Yang, Z. Stemflow in three shrubs and its effect on soil water enhancement in semiarid loess region of China. Agric. For. Meteorol. 2008, 148, 1501–1507. [Google Scholar] [CrossRef]
- Levia, D.F., Jr.; Frost, E.E. A review and evaluation of stemflow literature in the hydrologic and biogeochemical cycles of forested and agricultural ecosystems. J. Hydrol. 2003, 274, 1–29. [Google Scholar] [CrossRef]
- Yi, J.; Zhao, Y.; Shao, M.; Zhang, J.; Cui, L.; Si, B. Soil freezing and thawing processes affected by the different landscapes in the middle reaches of Heihe River Basin, Gansu, China. J. Hydrol. 2014, 519, 1328–1338. [Google Scholar] [CrossRef]
- Zhu, H.; Hu, S.; Liu, X.; Li, H.; Li, Y. Spatio-temporal variations of soil moisture in the root zone of Haloxylon ammodendron at different life stages. Acta Ecol. Sin. 2017, 37, 860–867. (In Chinese) [Google Scholar]
- Ehleringer, J.R.; Dawson, T.E. Water uptake by plants: Perspectives from stable isotope composition. Plant Cell Environ. 1992, 15, 1073–1082. [Google Scholar] [CrossRef]
- Li, D.; Zhang, B.; Dai, S.; Lv, Y.; Zhou, W. Comparison of soil fertility and physical properties of farmland, wasteland and returning farmland to forest in Minqin Oasis. Soils 2011, 43, 398–405. (In Chinese) [Google Scholar]
- Chen, N.; Song, P.; Li, J. Research on soil water and salt transportation characteristics under the effect of freezing and thawing. Water Sav. Irrig. 2014, 39, 52–54. (In Chinese) [Google Scholar]












| Age (Years) | Profile (cm) | Bulk Density (g/cm3) | Porosity (%) | Clay Content (%) | Silt Content (%) | Sand Content (%) | Texture |
|---|---|---|---|---|---|---|---|
| 20 | 0–40 | 1.41 | 46.17 | 0.42 | 4.72 | 94.86 | Sand |
| 40–80 | 1.45 | 45.28 | 0.64 | 5.84 | 93.52 | Sand | |
| 80–120 | 1.46 | 45.27 | 0.89 | 5.35 | 93.76 | Sand | |
| 120–160 | 1.48 | 43.77 | 0.91 | 5.36 | 93.73 | Sand | |
| 160–200 | 1.54 | 43.75 | 0.97 | 6.12 | 92.91 | Sand | |
| 30 | 0–40 | 1.43 | 46.04 | 0.44 | 4.92 | 94.64 | Sand |
| 40–80 | 1.44 | 45.29 | 0.74 | 5.33 | 93.93 | Sand | |
| 80–120 | 1.48 | 44.15 | 0.91 | 5.32 | 93.77 | Sand | |
| 120–160 | 1.49 | 43.79 | 1.02 | 6.15 | 92.83 | Sand | |
| 160–200 | 1.57 | 44.11 | 0.94 | 5.43 | 93.63 | Sand | |
| 50 | 0–40 | 1.4 | 47.15 | 0.47 | 5.31 | 94.22 | Sand |
| 40–80 | 1.42 | 46.42 | 0.59 | 5.36 | 94.05 | Sand | |
| 80–120 | 1.45 | 44.91 | 0.96 | 5.42 | 93.62 | Sand | |
| 120–160 | 1.47 | 44.53 | 1.05 | 5.74 | 93.21 | Sand | |
| 160–200 | 1.33 | 49.81 | 9.32 | 45.81 | 44.87 | Loam |
Publisher’s Note: MDPI stays neutral with regard to jurisdictional claims in published maps and institutional affiliations. |
© 2022 by the authors. Licensee MDPI, Basel, Switzerland. This article is an open access article distributed under the terms and conditions of the Creative Commons Attribution (CC BY) license (https://creativecommons.org/licenses/by/4.0/).
Share and Cite
Gou, Q.; Shen, C.; Wang, G. Changes in Soil Moisture, Temperature, and Salt in Rainfed Haloxylon ammodendron Forests of Different Ages across a Typical Desert–Oasis Ecotone. Water 2022, 14, 2653. https://doi.org/10.3390/w14172653
Gou Q, Shen C, Wang G. Changes in Soil Moisture, Temperature, and Salt in Rainfed Haloxylon ammodendron Forests of Different Ages across a Typical Desert–Oasis Ecotone. Water. 2022; 14(17):2653. https://doi.org/10.3390/w14172653
Chicago/Turabian StyleGou, Qianqian, Changsheng Shen, and Guohua Wang. 2022. "Changes in Soil Moisture, Temperature, and Salt in Rainfed Haloxylon ammodendron Forests of Different Ages across a Typical Desert–Oasis Ecotone" Water 14, no. 17: 2653. https://doi.org/10.3390/w14172653
APA StyleGou, Q., Shen, C., & Wang, G. (2022). Changes in Soil Moisture, Temperature, and Salt in Rainfed Haloxylon ammodendron Forests of Different Ages across a Typical Desert–Oasis Ecotone. Water, 14(17), 2653. https://doi.org/10.3390/w14172653
