Understanding the Effect of Hydro-Climatological Parameters on Dam Seepage Using Shapley Additive Explanation (SHAP): A Case Study of Earth-Fill Tarbela Dam, Pakistan
Abstract
1. Introduction
2. Materials and Methods
2.1. Study Area
2.2. Data Collection
2.3. Algorithm Selection for Experiments
2.3.1. Artificial Neural Network (ANN)
2.3.2. Random Forest
2.3.3. Support Vector Machine
2.3.4. CatBoost
| Algorithm 1: CatBoost |
| Input: |
2.4. Model Sensitivity
2.5. Data Preparation
2.6. Descriptive Statistic
2.7. Model Evaluation Metrics
3. Results and Discussion
3.1. Correlation Matrix (Heat Map)
3.2. Model Accuracy
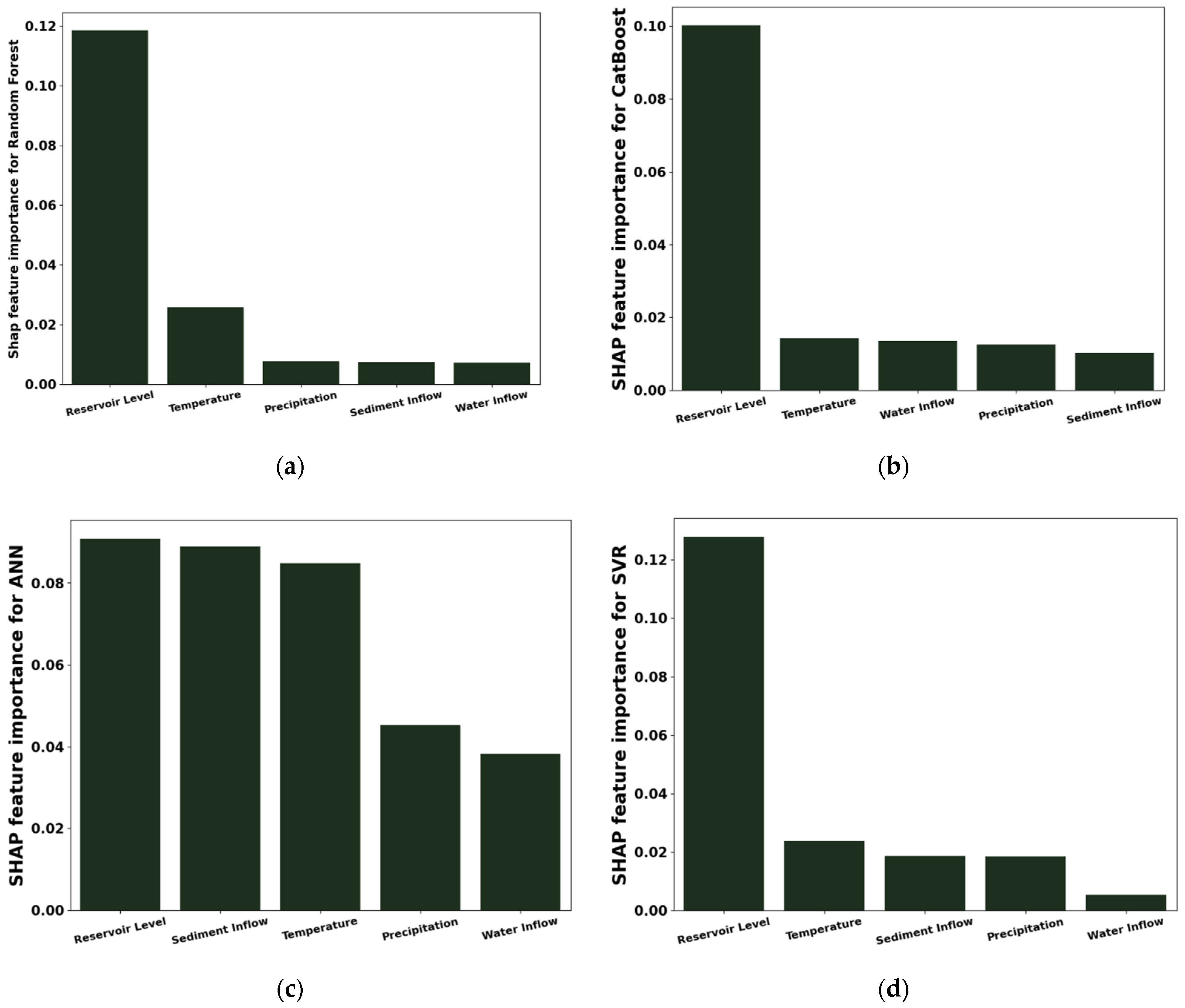
3.3. Feature Importance
3.3.1. Reservoir Level
3.3.2. Temperature
3.3.3. Precipitation
3.3.4. Water Inflow
3.3.5. Sediment Inflow
4. Conclusions
Author Contributions
Funding
Institutional Review Board Statement
Informed Consent Statement
Data Availability Statement
Acknowledgments
Conflicts of Interest
References
- Adebiyi, J.A.; Olabisi, L.S.; Liu, L.; Jordan, D.J.E. Development; Sustainability. Water–food–energy–climate nexus and technology productivity: A Nigerian case study of organic leafy vegetable production. Environ. Dev. Sustain. 2021, 23, 6128–6147. [Google Scholar] [CrossRef]
- Shen, D. The Strictest Water Resources Management Strategy and Its Three Red Lines. In Water Resources Management of the People’s Republic of China; Springer: Berlin/Heidelberg, Germany, 2021; pp. 253–274. [Google Scholar]
- Demir, İ.; Kiliçkan, A. Renewable Energy Storage Methods. Int. Sci. J. 2018, 64, 103–107. [Google Scholar]
- Rezaee, A.; Bozorg-Haddad, O.; Singh, V.P. Water and society. In Economical, Political, and Social Issues in Water Resources; Elsevier: Amsterdam, The Netherlands, 2021; pp. 257–271. [Google Scholar]
- Kahlown, M.A.; Majeed, A. Water-resources situation in Pakistan: Challenges and future strategies. In Water Resources in the South: Present Scenario and Future Prospects; Commission on Science and Technology for Sustainable Development in the South: Islamabad, Pakistan, 2003; Volume 20, pp. 33–45. [Google Scholar]
- Ishfaque, M.; Dai, Q.; Haq, N.u.; Jadoon, K.; Shahzad, S.M.; Janjuhah, H.T. Use of Recurrent Neural Network with Long Short-Term Memory for Seepage Prediction at Tarbela Dam, KP, Pakistan. Energies 2022, 15, 3123. [Google Scholar] [CrossRef]
- Manivannan, S.; Thilagam, V.K.; Yaligar, R. Climate change impact on water resources in Indian river basins: A review. J. Soil Water Conserv. 2022, 21, 76–85. [Google Scholar] [CrossRef]
- Lessard, J.; Hicks, D.M.; Snelder, T.H.; Arscott, D.B.; Larned, S.T.; Booker, D.; Suren, A.M. Dam design can impede adaptive management of environmental flows: A case study from the Opuha Dam, New Zealand. Environ. Manag. 2013, 51, 459–473. [Google Scholar] [CrossRef]
- Rice, J.D.; Duncan, J.M. Findings of case histories on the long-term performance of seepage barriers in dams. J. Geotech. Geoenviron. Eng. 2010, 136, 2–15. [Google Scholar] [CrossRef]
- Omofunmi, O.E.; Kolo, J.G.; Oladipo, A.S.; Diabana, P.D.; Ojo, A.S. A review on effects and control of seepage through earth-fill dam. Curr. J. Appl. Sci. Technol. 2017, 22, 1–11. [Google Scholar] [CrossRef]
- Chen, G.; Jin, D.; Mao, J.; Gao, H.; Wang, Z.; Jing, L.; Li, Y.; Li, X. Seismic damage and behavior analysis of earth dams during the 2008 Wenchuan earthquake, China. Eng. Geol. 2014, 180, 99–129. [Google Scholar] [CrossRef]
- Kayode, O.; Odukoya, A.M.; Adagunodo, T.; Adeniji, A. Monitoring of seepages around dams using geophysical methods: A brief review. IOP Conf. Ser. Earth Environ. Sci. 2018, 173, 012026. [Google Scholar] [CrossRef]
- Zhao, E.; Jiang, Y. Seepage Evolution Model of the Fractured Rock Mass under High Seepage Pressure in Dam Foundation. Adv. Civ. Eng. 2021, 2021, 8832774. [Google Scholar] [CrossRef]
- Himi, M.; Casado, I.; Sendros, A.; Lovera, R.; Rivero, L.; Casas, A. Assessing preferential seepage and monitoring mortar injection through an earthen dam settled over a gypsiferous substrate using combined geophysical methods. Eng. Geol. 2018, 246, 212–221. [Google Scholar] [CrossRef]
- Coulibaly, Y.; Belem, T.; Cheng, L. Numerical analysis and geophysical monitoring for stability assessment of the Northwest tailings dam at Westwood Mine. Int. J. Min. Sci. Technol. 2017, 27, 701–710. [Google Scholar] [CrossRef]
- Dahlin, T. Geoelectrical monitoring of embankment dams for detection of anomalous seepage and internal erosion—Experiences and work in progress in Sweden. In Proceedings of the Fifth International Conference on Engineering Geophysics (ICEG), Al Ain, United Arab Emirates, 21–24 October 2019; pp. 207–210. [Google Scholar]
- Komasi, M.; Beiranvand, B. Seepage and Stability Analysis of the Eyvashan Earth Dam under Drawdown Conditions. Civ. Eng. Infrastruct. J. 2021, 54, 205–223. [Google Scholar]
- Fang, C.; Duan, Y. Statistical analysis of dam-break incidents and its cautions. Yangtze River 2010, 41, 97–100. [Google Scholar]
- Jiang, X.; Wei, Y.; Wu, L.; Hu, K.; Zhu, Z.; Zou, Z.; Xiao, W. Laboratory experiments on failure characteristics of non-cohesive sediment natural dam in progressive failure mode. Environ. Earth Sci. 2019, 78, 538. [Google Scholar] [CrossRef]
- Liu, L.-L.; Cheng, Y.-M.; Jiang, S.-H.; Zhang, S.-H.; Wang, X.-M.; Wu, Z.-H. Effects of spatial autocorrelation structure of permeability on seepage through an embankment on a soil foundation. Comput. Geotech. 2017, 87, 62–75. [Google Scholar] [CrossRef]
- Adamo, N.; Al-Ansari, N.; Sissakian, V.; Laue, J.; Knutsson, S.; Engineering, G. Geophysical Methods and their Applications in Dam Safety Monitoring. J. Earth Sci. Geotech. Eng. 2021, 11, 291–345. [Google Scholar] [CrossRef]
- Cui, H.D.; Chen, L.; Wang, J.L.; Zhang, W. Study on anti-seepage treatment and seepage control effect of core dam foundation curtain of the fault fracture zone in Xinjiang province. IOP Conf. Ser. Earth Environ. Sci. 2020, 643, 012108. [Google Scholar] [CrossRef]
- Zhang, C.; Chai, J.; Cao, J.; Xu, Z.; Qin, Y.; Lv, Z. Numerical Simulation of Seepage and Stability of Tailings Dams: A Case Study in Lixi, China. Water 2020, 12, 742. [Google Scholar] [CrossRef]
- Coppens, J.; Trolle, D.; Jeppesen, E.; Beklioğlu, M. The impact of climate change on a Mediterranean shallow lake: Insights based on catchment and lake modelling. Reg. Environ. Chang. 2020, 20, 62. [Google Scholar] [CrossRef]
- Xu, S.; Chen, C.; Xu, F.; Li, J.; Zhang, Z.; Xu, T.; Zhu, L. Modeling Analysis of the Upper Limit Water Level Mechanism in the Upstream Reservoir of a Dam Embankment. Adv. Civ. Eng. 2020, 2020, 8850681. [Google Scholar] [CrossRef]
- Beiranvand, B.; Komasi, M. An Investigation on performance of the cut off wall and numerical analysis of seepage and pore water pressure of Eyvashan earth dam. Iran. J. Sci. Technol. Trans. Civ. Eng. 2021, 45, 1723–1736. [Google Scholar] [CrossRef]
- Wang, T.; Chen, J.; Li, P.; Yin, Y.; Shen, C. Natural tracing for concentrated leakage detection in a rockfill dam. Eng. Geol. 2019, 249, 1–12. [Google Scholar] [CrossRef]
- Al-Fares, W. Application of electrical resistivity tomography technique for characterizing leakage problem in Abu Baara earth dam, Syria. Int. J. Geophys. 2014, 2014, 368128. [Google Scholar] [CrossRef]
- Neyamadpour, A.; Abbasinia, M. Application of electrical resistivity tomography technique to delineate a structural failure in an embankment dam: Southwest of Iran. Arab. J. Geosci. 2019, 12, 420. [Google Scholar] [CrossRef]
- Okpoli, C.; Tijani, R. Electromagnetic profiling of Owena Dam, Southwestern Nigeria, using very-low-frequency radio fields. Mater. Geoenviron. 2016, 63, 237–250. [Google Scholar] [CrossRef]
- Ahmed, A.S.; Revil, A.; Bolève, A.; Steck, B.; Vergniault, C.; Courivaud, J.; Jougnot, D.; Abbas, M. Determination of the permeability of seepage flow paths in dams from self-potential measurements. Eng. Geol. 2020, 268, 105514. [Google Scholar] [CrossRef]
- Li, X.; Fan, L.; Huang, H.; Hao, J.; Li, M. Application of Ground Penetrating Radar in Leakage Detection of Concrete Face Rockfill Dam. IOP Conf. Ser. Earth Environ. Sci. 2018, 189, 022044. [Google Scholar] [CrossRef]
- Raji, W.O.; Aluko, K.O. Investigating the cause of excessive seepage in a dam foundation using seismic and electrical surveys—A case study of Asa Dam, West Africa. Bull. Eng. Geol. Environ. 2021, 80, 6445–6455. [Google Scholar] [CrossRef]
- Al-Janabi, A.M.S.; Ghazali, A.H.; Ghazaw, Y.M.; Afan, H.A.; Al-Ansari, N.; Yaseen, Z.M. Experimental and numerical analysis for earth-fill dam seepage. Sustainability 2020, 12, 2490. [Google Scholar] [CrossRef]
- Li, G.C.; Desai, C.S. Stress and seepage analysis of earth dams. J. Geotech. Eng. 1983, 109, 946–960. [Google Scholar] [CrossRef]
- Finn, W.D.L. Finite-element analysis of seepage through dams. J. Soil Mech. Found. Div. 1967, 93, 41–48. [Google Scholar] [CrossRef]
- Neuman, S.P.; Witherspoon, P.A. Finite element method of analyzing steady seepage with a free surface. Water Resour. Res. 1970, 6, 889–897. [Google Scholar] [CrossRef]
- Bathe, K.J.; Khoshgoftaar, M.R. Finite element free surface seepage analysis without mesh iteration. Int. J. Numer. Anal. Methods Geomech. 1979, 3, 13–22. [Google Scholar] [CrossRef]
- Ng, A.K.; Small, J.C. A case study of hydraulic fracturing using finite element methods. Can. Geotech. J. 1999, 36, 861–875. [Google Scholar] [CrossRef]
- Callari, C.; Abati, A. Finite element methods for unsaturated porous solids and their application to dam engineering problems. Comput. Struct. 2009, 87, 485–501. [Google Scholar] [CrossRef]
- Kazemzadeh-Parsi, M.J.; Daneshmand, F. Unconfined seepage analysis in earth dams using smoothed fixed grid finite element method. Int. J. Numer. Anal. Methods Geomech. 2012, 36, 780–797. [Google Scholar] [CrossRef]
- Olonade, K.A.; Agbede, O.A. A study of seepage through oba dam using finite element method. Civ. Environ. Res. 2013, 3, 53–60. [Google Scholar]
- Athani, S.S.; Shivamanth; Solanki, C.; Dodagoudar, G. Seepage and stability analyses of earth dam using finite element method. Aquat. Procedia 2015, 4, 876–883. [Google Scholar] [CrossRef]
- Jamel, A.A.J. Analysis and estimation of seepage through homogenous earth dam without filter. Diyala J. Eng. Sci. 2016, 9, 38–49. [Google Scholar] [CrossRef]
- Khassaf, S.I.; Madhloom, A.M. Effect of impervious core on seepage through zoned earth dam (case study: Khassa Chai dam). Int. J. Sci. Eng. Res. 2017, 8, 1053–1064. [Google Scholar]
- Liu, C.; Shen, Z.; Gan, L.; Xu, L.; Zhang, K.; Jin, T. The seepage and stability performance assessment of a new drainage system to increase the height of a tailings dam. Appl. Sci. 2018, 8, 1840. [Google Scholar] [CrossRef]
- Athani, S.S.; Solanki, C.; Dodagoudar, G.R.; Shukla, S.K. Finite-element analysis of strains in seepage barriers of the earth dam. Dams Reserv. 2019, 29, 87–96. [Google Scholar] [CrossRef]
- Al-Nedawi, N.M. Finite element analysis of seepage for Hemrin earth dam using Geo-Studio software. Diyala J. Eng. Sci. 2020, 13, 66–76. [Google Scholar] [CrossRef]
- Bai, C.; Chai, J.; Xu, Z.; Qin, Y. Numerical Simulation of Drainage Holes and Performance Evaluation of the Seepage Control of Gravity Dam: A Case Study of Heihe Reservoir in China. Arab. J. Sci. Eng. 2021, 47, 4801–4819. [Google Scholar] [CrossRef]
- Tarinejad, R.; Alizadeh-Arasi, O.; Isari, M.; Foumani, R.S. Investigation of Sabalan Earth Dam Settlement at First Filling by Finite Difference Method. Transp. Infrastruct. Geotechnol. 2021, 8, 473–490. [Google Scholar] [CrossRef]
- Aghdam, A.T.; Salmasi, F.; Abraham, J.; Arvanaghi, H. Effect of Drain Pipes on Uplift Force and Exit Hydraulic Gradient and the Design of Gravity Dams Using the Finite Element Method. Geotech. Geol. Eng. 2021, 39, 3383–3399. [Google Scholar] [CrossRef]
- Yuan, S.; Zhong, H. Three dimensional analysis of unconfined seepage in earth dams by the weak form quadrature element method. J. Hydrol. 2016, 533, 403–411. [Google Scholar] [CrossRef]
- Jing, T.; Yongbiao, L. Penalty function element free method to solve complex seepage field of earth fill dam. IERI Procedia 2012, 1, 117–123. [Google Scholar] [CrossRef][Green Version]
- Fallah, A.; Jabbari, E.; Babaee, R. Development of the Kansa method for solving seepage problems using a new algorithm for the shape parameter optimization. Comput. Math. Appl. 2019, 77, 815–829. [Google Scholar] [CrossRef]
- Sharghi, E.; Nourani, V.; Behfar, N. Implementation of Data Jittering Technique for Seepage Analysis of Earth fill Dam Using Ensemble of AI Models. Water Soil Sci. 2020, 30, 29–41. [Google Scholar]
- Sharghi, E.; Nourani, V.; Behfar, N. Earthfill dam seepage analysis using ensemble artificial intelligence based modeling. J. Hydroinform. 2018, 20, 1071–1084. [Google Scholar] [CrossRef]
- Rehamnia, I.; Benlaoukli, B.; Heddam, S. Modeling of Seepage Flow Through Concrete Face Rockfill and Embankment Dams Using Three Heuristic Artificial Intelligence Approaches: A Comparative Study. Environ. Process. 2020, 7, 367–381. [Google Scholar] [CrossRef]
- Alocén, P.; Fernández-Centeno, M.Á.; Toledo, M.Á. Prediction of Concrete Dam Deformation through the Combination of Machine Learning Models. Water 2022, 14, 1133. [Google Scholar] [CrossRef]
- Ibañez, S.C.; Dajac, C.V.G.; Liponhay, M.P.; Legara, E.F.T.; Esteban, J.M.H.; Monterola, C.P. Forecasting reservoir water levels using deep neural networks: A case study of Angat Dam in the Philippines. Water 2021, 14, 34. [Google Scholar] [CrossRef]
- Jiang, D.; Xu, Y.; Lu, Y.; Gao, J.; Wang, K. Forecasting Water Temperature in Cascade Reservoir Operation-Influenced River with Machine Learning Models. Water 2022, 14, 2146. [Google Scholar] [CrossRef]
- Choi, H.S.; Kim, J.H.; Lee, E.H.; Yoon, S.-K. Development of a Revised Multi-Layer Perceptron Model for Dam Inflow Prediction. Water 2022, 14, 1878. [Google Scholar] [CrossRef]
- Zhang, X.; Chen, X.; Li, J. Improving dam seepage prediction using back-propagation neural network and genetic algorithm. Math. Probl. Eng. 2020, 2020, 1404295. [Google Scholar] [CrossRef]
- Nouri, M.; Salmasi, F. Predicting Seepage of Earth Dams using Artificial Intelligence Techniques. J. Irrig. Sci. Eng. 2019, 42, 83–97. [Google Scholar]
- Nourani, V.; Sharghi, E.; Aminfar, M.H. Integrated ANN model for earthfill dams seepage analysis: Sattarkhan Dam in Iran. Artif. Intell. Res. 2012, 1, 22–37. [Google Scholar] [CrossRef]
- Yaseen, Z.M.; Naghshara, S.; Salih, S.Q.; Kim, S.; Malik, A.; Ghorbani, M.A. Lake water level modeling using newly developed hybrid data intelligence model. Theor. Appl. Climatol. 2020, 141, 1285–1300. [Google Scholar] [CrossRef]
- Parsaie, A.; Haghiabi, A.H.; Latif, S.D.; Tripathi, R.P. Predictive modelling of piezometric head and seepage discharge in earth dam using soft computational models. Environ. Sci. Pollut. Res. 2021, 28, 60842–60856. [Google Scholar] [CrossRef] [PubMed]
- Sani, H.; Roushangar, K.; Ghasempour, R. Comparative study of the performance of finite element method and evolutionary model in seepage discharge predicting from the body of an earth dam. Civ. Infrastruct. Res. 2019, 4, 1–15. [Google Scholar]
- Roushangar, K.; Garekhani, S.; Alizadeh, F. Forecasting daily seepage discharge of an earth dam using wavelet–mutual information–Gaussian process regression approaches. Geotech. Geol. Eng. 2016, 34, 1313–1326. [Google Scholar] [CrossRef]
- Chen, S.; Gu, C.; Lin, C.; Wang, Y.; Hariri-Ardebili, M.A. Prediction, monitoring, and interpretation of dam leakage flow via adaptative kernel extreme learning machine. Measurement 2020, 166, 108161. [Google Scholar] [CrossRef]
- Zhao, M.; Jiang, H.; Chen, S.; Bie, Y. Prediction of Seepage Pressure Based on Memory Cells and Significance Analysis of Influencing Factors. Complexity 2021, 2021, 5576148. [Google Scholar] [CrossRef]
- El Bilali, A.; Moukhliss, M.; Taleb, A.; Nafii, A.; Alabjah, B.; Brouziyne, Y.; Mazigh, N.; Teznine, K.; Mhamed, M. Predicting daily pore water pressure in embankment dam: Empowering Machine Learning-based modeling. Environ. Sci. Pollut. Res. 2022, 29, 47382–47398. [Google Scholar] [CrossRef]
- Rehamnia, I.; Benlaoukli, B.; Jamei, M.; Karbasi, M.; Malik, A. Simulation of seepage flow through embankment dam by using a novel extended Kalman filter based neural network paradigm: Case study of Fontaine Gazelles Dam, Algeria. Measurement 2021, 176, 109219. [Google Scholar] [CrossRef]
- Khan, N.M.; Tingsanchali, T. Optimization and simulation of reservoir operation with sediment evacuation: A case study of the Tarbela Dam, Pakistan. Hydrol. Process. 2009, 23, 730–747. [Google Scholar] [CrossRef]
- Rafique, A.; Burian, S.; Hassan, D.; Bano, R. Analysis of Operational Changes of Tarbela Reservoir to Improve the Water Supply, Hydropower Generation, and Flood Control Objectives. Sustainability 2020, 12, 7822. [Google Scholar] [CrossRef]
- Roca, M. Tarbela Dam in Pakistan. Case study of reservoir sedimentation. In River Flow 2012: Proceedings of the International Conference on Fluvial Hydraulics, San José, Costa Rica, 5–7 September 2012; HR Wallingford: Wallingford, UK, 2012. [Google Scholar]
- Murphy, K.P. Probabilistic Machine Learning: An Introduction; MIT Press: Cambridge, MA, USA, 2022. [Google Scholar]
- Salem, H.; Kabeel, A.; El-Said, E.M.; Elzeki, O.M. Predictive modelling for solar power-driven hybrid desalination system using artificial neural network regression with Adam optimization. Desalination 2022, 522, 115411. [Google Scholar] [CrossRef]
- Karami, H.; DadrasAjirlou, Y.; Jun, C.; Bateni, S.M.; Band, S.S.; Mosavi, A.; Moslehpour, M.; Chau, K.-W. A novel approach for estimation of sediment load in Dam reservoir with hybrid intelligent algorithms. Front. Environ. Sci. 2022, 165. [Google Scholar] [CrossRef]
- Breiman, L. Random forests. Mach. Learn. 2001, 45, 5–32. [Google Scholar] [CrossRef]
- Were, K.; Bui, D.T.; Dick, Ø.B.; Singh, B.R. A comparative assessment of support vector regression, artificial neural networks, and random forests for predicting and mapping soil organic carbon stocks across an Afromontane landscape. Ecol. Indic. 2015, 52, 394–403. [Google Scholar] [CrossRef]
- Oliveira, S.; Oehler, F.; San-Miguel-Ayanz, J.; Camia, A.; Pereira, J.M. Modeling spatial patterns of fire occurrence in Mediterranean Europe using Multiple Regression and Random Forest. For. Ecol. Manag. 2012, 275, 117–129. [Google Scholar] [CrossRef]
- Naghibi, S.A.; Ahmadi, K.; Daneshi, A. Application of support vector machine, random forest, and genetic algorithm optimized random forest models in groundwater potential mapping. Water Resour. Manag. 2017, 31, 2761–2775. [Google Scholar] [CrossRef]
- Al-Abadi, A.M.; Shahid, S. Spatial mapping of artesian zone at Iraqi southern desert using a GIS-based random forest machine learning model. Modeling Earth Syst. Environ. 2016, 2, 96. [Google Scholar] [CrossRef]
- Huang, N.; Lu, G.; Xu, D. A permutation importance-based feature selection method for short-term electricity load forecasting using random forest. Energies 2016, 9, 767. [Google Scholar] [CrossRef]
- Vapnik, V.N. The Nature of Statistical Learning; Springer: Berlin/Heidelberg, Germany, 1995. [Google Scholar]
- Ke, G.; Meng, Q.; Finley, T.; Wang, T.; Chen, W.; Ma, W.; Ye, Q.; Liu, T.-Y. Lightgbm: A highly efficient gradient boosting decision tree. Adv. Neural Inf. Process. Syst. 2017, 30, 3149–3157. [Google Scholar]
- Dhieb, N.; Ghazzai, H.; Besbes, H.; Massoud, Y. Extreme gradient boosting machine learning algorithm for safe auto insurance operations. In Proceedings of the 2019 IEEE International Conference on Vehicular Electronics and Safety (ICVES), Cairo, Egypt, 4–6 September 2019; pp. 1–5. [Google Scholar]
- Dorogush, A.V.; Ershov, V.; Gulin, A. CatBoost: Gradient boosting with categorical features support. arXiv 2018, arXiv:1810.11363. [Google Scholar]
- Prokhorenkova, L.; Gusev, G.; Vorobev, A.; Dorogush, A.V.; Gulin, A. CatBoost: Unbiased boosting with categorical features. Adv. Neural Inf. Process. Syst. 2018, 31. [Google Scholar] [CrossRef]
- Dorogush, A.V.; Gulin, A.; Gusev, G.; Kazeev, N.; Prokhorenkova, L.O.; Vorobev, A. Fighting biases with dynamic boosting. arXiv 2017, arXiv:1706.09516. [Google Scholar]
- Lundberg, S.M.; Lee, S.-I. A unified approach to interpreting model predictions. Adv. Neural Inf. Process. Syst. 2017, 30. [Google Scholar] [CrossRef]
- Bataineh, M.; Steenhard, D.; Singh, H. Feature Impact for Prediction Explanation. In Proceedings of the ICDM (Posters), New York, NY, USA, 17–21 July 2019; pp. 160–167. [Google Scholar]
- Tallón-Ballesteros, A.; Chen, C. Explainable AI: Using Shapley value to explain complex anomaly detection ML-based systems. In Machine Learning and Artificial Intelligence; IOS Press: Amsterdam, The Netherlands, 2020; Volume 332, p. 152. [Google Scholar]
- Wieland, R.; Lakes, T.; Nendel, C. Using SHAP to interpret XGBoost predictions of grassland degradation in Xilingol, China. Geosci. Model Dev. Discuss. 2020, 2020, 1–28. [Google Scholar]
- Štrumbelj, E.; Kononenko, I. Explaining prediction models and individual predictions with feature contributions. Knowl. Inf. Syst. 2014, 41, 647–665. [Google Scholar] [CrossRef]
- Legates, D.R.; McCabe Jr, G.J. Evaluating the use of "goodness-of-fit" measures in hydrologic and hydroclimatic model validation. Water Resour. Res. 1999, 35, 233–241. [Google Scholar] [CrossRef]
- Moghimi, M.M.; Zarei, A.R. Evaluating performance and applicability of several drought indices in arid regions. Asia-Pac. J. Atmos. Sci. 2021, 57, 645–661. [Google Scholar] [CrossRef]
- Akhter, M. Dams as a climate change adaptation strategy: Geopolitical implications for Pakistan. Strateg. Anal. 2015, 39, 744–748. [Google Scholar] [CrossRef]
- Hewitt, K.; Wake, C.P.; Young, G.; David, C. Hydrological investigations at Biafo Glacier, Karakoram Range, Himalaya; An important source of water for the Indus River. Ann. Glaciol. 1989, 13, 103–108. [Google Scholar] [CrossRef]
- Yaseen, M.; Latif, Y.; Waseem, M.; Leta, M.K.; Abbas, S.; Akram Bhatti, H. Contemporary Trends in High and Low River Flows in Upper Indus Basin, Pakistan. Water 2022, 14, 337. [Google Scholar] [CrossRef]













| S. No | Input Parameters | Unit | Duration | Output |
|---|---|---|---|---|
| 1 | Water Inflow | ft3/s | 2003–2015 | Average Seepage (m3/s) |
| 2 | Temperature | °C | 2003–2015 | |
| 3 | Precipitation | Inches | 2003–2015 | |
| 4 | Reservoir Level | Feet | 2003–2015 | |
| 5 | Sediment Inflow | Tons | 2003–2015 |
| Algorithms | Python Module | Function | Symbols |
|---|---|---|---|
| Random Forest | sklearn. ensemble | Random Forest Regressor | RF |
| CatBoost | CatBoost. regression | Catboost Regressor | CB |
| Artificial Neural Network | keras. models. Sequential | Dense | ANN |
| Support Vector Machine | sklearn.SVC | SVR | SVR |
| Water Inflow | Reservoir Level | Temperature | Sediment Inflow | Precipitation | Average Seepage | |
|---|---|---|---|---|---|---|
| (ft3/s) | (ft) | (°C) | (Tn) | (In) | (m3/s) | |
| Training Data | ||||||
| Count | 109 | 109 | 109 | 109 | 109 | 109 |
| Mean | 72.17 | 1449.13 | 18.34 | 9,363,574.31 | 82.64 | 8.17 |
| Std | 74.68 | 51.83 | 7.18 | 19,964,062.22 | 76.41 | 3.63 |
| Min | 13.21 | 1368.22 | 7.2 | 23,250.51 | 2.6 | 2.49 |
| Max | 277.08 | 1549.79 | 29.6 | 137,865,137.40 | 391 | 23.11 |
| Validation Data | ||||||
| Count | 24 | 24 | 24 | 24 | 24 | 24 |
| Mean | 115.57 | 1494.62 | 21.96 | 23,653,407.21 | 119.14 | 10.18 |
| Std | 93.30 | 50.78 | 6.33 | 44,614,740.11 | 120.67 | 3.66 |
| Min | 16.57 | 1386.45 | 8.1 | 63,171.09 | 20.4 | 3.35 |
| Max | 357.51 | 1549.92 | 28.2 | 167,516,137.8 | 491.6 | 17.33 |
| Testing Data | ||||||
| Count | 23 | 23 | 23 | 23 | 23 | 23 |
| Mean | 94.03 | 1466.60 | 22.29 | 9,694,283.85 | 86.06 | 9.28 |
| Std | 82.97 | 63.05 | 5.49 | 14,439,229.52 | 63.65 | 4.94 |
| Min | 16.72 | 1365.32 | 9.7 | 43,243.74 | 1.3 | 3.04 |
| Max | 296.30 | 1547.92 | 29 | 48,530,269.8 | 268.9 | 21.95 |
| Model | R2 Training | R2 Validation | R2 Testing | RMSE Training | RMSE Validation | RMSE Testing |
|---|---|---|---|---|---|---|
| (m3/h) | (m3/h) | (m3/h) | (m3/h) | (m3/h) | (m3/h) | |
| Random Forest Regression | 0.884 | 0.801 | 0.782 | 0.059 | 0.077 | 0.109 |
| Catboost Regression | 0.978 | 0.805 | 0.773 | 0.025 | 0.076 | 0.111 |
| Artificial Neural Network | 0.981 | 0.835 | 0.715 | 0.245 | 0.249 | 0.297 |
| Support Vector Regression | 0.591 | 0.794 | 0.783 | 0.111 | 0.078 | 0.108 |
| Nash-Sutcliffe Efficiency | Random Forest | CatBoost | SVR | ANN |
|---|---|---|---|---|
| Training | 0.884 | 0.884 | 0.592 | −212.980 |
| Validation | 0.803 | 0.806 | 0.799 | −48.289 |
| Testing | 0.783 | 0.775 | 0.784 | −34.416 |
Publisher’s Note: MDPI stays neutral with regard to jurisdictional claims in published maps and institutional affiliations. |
© 2022 by the authors. Licensee MDPI, Basel, Switzerland. This article is an open access article distributed under the terms and conditions of the Creative Commons Attribution (CC BY) license (https://creativecommons.org/licenses/by/4.0/).
Share and Cite
Ishfaque, M.; Salman, S.; Jadoon, K.Z.; Danish, A.A.K.; Bangash, K.U.; Qianwei, D. Understanding the Effect of Hydro-Climatological Parameters on Dam Seepage Using Shapley Additive Explanation (SHAP): A Case Study of Earth-Fill Tarbela Dam, Pakistan. Water 2022, 14, 2598. https://doi.org/10.3390/w14172598
Ishfaque M, Salman S, Jadoon KZ, Danish AAK, Bangash KU, Qianwei D. Understanding the Effect of Hydro-Climatological Parameters on Dam Seepage Using Shapley Additive Explanation (SHAP): A Case Study of Earth-Fill Tarbela Dam, Pakistan. Water. 2022; 14(17):2598. https://doi.org/10.3390/w14172598
Chicago/Turabian StyleIshfaque, Muhammad, Saad Salman, Khan Zaib Jadoon, Abid Ali Khan Danish, Kifayat Ullah Bangash, and Dai Qianwei. 2022. "Understanding the Effect of Hydro-Climatological Parameters on Dam Seepage Using Shapley Additive Explanation (SHAP): A Case Study of Earth-Fill Tarbela Dam, Pakistan" Water 14, no. 17: 2598. https://doi.org/10.3390/w14172598
APA StyleIshfaque, M., Salman, S., Jadoon, K. Z., Danish, A. A. K., Bangash, K. U., & Qianwei, D. (2022). Understanding the Effect of Hydro-Climatological Parameters on Dam Seepage Using Shapley Additive Explanation (SHAP): A Case Study of Earth-Fill Tarbela Dam, Pakistan. Water, 14(17), 2598. https://doi.org/10.3390/w14172598

