Characteristic Analysis of the Spatio-Temporal Distribution of Key Variables of the Soil Freeze–Thaw Processes over Heilongjiang Province, China
Abstract
1. Introduction
2. Study Area, Data Sources, and Methods
2.1. Study Area
2.2. Data Sources
2.3. Analytical Methods
3. Results
3.1. Spatial Distribution Characteristics of Key Variables of Soil Freezing and Thawing
3.2. Interannual Distribution Characteristics of Key Variables of Soil Freezing and Thawing
4. Discussion
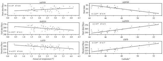
4.1. Correlation of Key Variables of Soil Freezing and Thawing with Temperature and Latitude
4.2. Characteristics of Changes in Key Variables of Soil Freezing and Thawing Processes under Different Vegetation Types
4.3. Changes in Surface Temperature during Freeze–Thaw Cycles at Representative Sites
5. Conclusions
- The spatial distribution of key variables of the soil permafrost process in Heilongjiang Province showed a trend of delayed FSD, earlier FED, and shorter FD from north to south, with a clear latitudinal trend. During the study period, the FSD was postponed by 8.1 d at a rate of 1.66 d/10 a, the FED was advanced by 15.5 d at a rate of 3.17 d/10 a, and the FD was shortened by 23.6 d at a rate of 4.79 d/10 a;
- The soil freeze–thaw processes in Heilongjiang Province are significantly correlated with temperature and latitude. For every 1 °C rise in temperature, the FSD is delayed by about 1.6 d, the FED is advanced by about 3 d, and the FD is shortened by about 4.6 d; for every 1° rise in latitude, the FSD is advanced by 2.6 d, the FED is delayed by 2.8 d, and the FD is shortened by 5.4 d;
- The trends in soil key variables under meadow cover were the most obvious, changing by 9.65, 16.86, and 26.51 d, respectively. The spatial variation in key variables of the soil freeze–thaw processes under the same vegetation was closely related to latitude and altitude; the lower the latitude and altitude, the more obvious the variation trend was, among which, the variation in key variables of soil freezing and thawing was the most significant in Sanjiang Plain and Songnen Plain of Heilongjiang Province;
- The freeze–thaw process under all five vegetation types can be divided into a non-freezing period, unstable freeze–thaw period, and stable freeze–thaw period. Due to the different heat insulation and thermal insulation effects of different vegetation types, the unstable freeze–thaw period of coniferous forest is the longest and the stable freeze–thaw period is the shortest, while the unstable freeze–thaw period of meadows is the shortest and the stable freeze–thaw period is the longest. Correspondingly, the minimum negative temperature of coniferous forest is the highest, and that of meadows is the lowest.
Author Contributions
Funding
Institutional Review Board Statement
Informed Consent Statement
Data Availability Statement
Conflicts of Interest
References
- Pavlova, V. Current changes of climate and permafrost in the arctic and sub-arctic of Russia. Permafr. Periglac. Processes 1994, 5, 101–110. [Google Scholar]
- Obu, J.; Westermann, S.; Bartsch, A.; Berdnikov, N.; Christiansen, H.H.; Dashtseren, A.; Delaloye, R.; Elberling, B.; Etzelmüller, B.; Kholodov, A.; et al. Northern Hemisphere permafrost map based on TTOP modelling for 2000–2016 at 1 km2 scale. Earth-Sci. Rev. 2019, 193, 299–316. [Google Scholar]
- Chen, R.; Yang, M.; Wan, G.; Wang, X. Soil freezing-thawing processes on the Tibetan Plateau, A review based on hydrothermal dynamics. Prog. Geogr. 2020, 39, 1944–1958. [Google Scholar]
- Saito, K.; Zhang, T.; Yang, D.; Marchenko, S.; Barry, R.G.; Romanovsky, V.; Hinzman, L. Influence of the physical terrestrial Arctic in the eco-climate system. Ecol. Appl. 2013, 23, 1778–1797. [Google Scholar] [CrossRef] [PubMed]
- Zhang, T.; Armstrong, R.L.; Smith, J. Investigation of the near-surface soil freeze-thaw cycle in the contiguous United States, Algorithm development and validation. J. Geophys. Res. Atmos. 2003, 108, 8860. [Google Scholar] [CrossRef]
- Yang, M.; Yao, T.; Gou, X.; Koike, T.; He, Y. The soil moisture distribution, thawing–freezing processes and their effects on the seasonal transition on the Qinghai–Xizang (Tibetan) plateau. J. Asian Earth Sci. 2003, 21, 457–465. [Google Scholar] [CrossRef]
- Guo, D.; Yang, M.; Wang, H. Characteristics of land surface heat and water exchange under different soil freeze/thaw conditions over the central Tibetan Plateau. Hydrol. Processes 2011, 25, 2531–2541. [Google Scholar] [CrossRef]
- Genxu, W.; Tianxu, M.; Juan, C.; Chunlin, S.; Kewei, H. Processes of runoff generation operating during the spring and autumn seasons in a permafrost catchment on semi-arid plateaus. J. Hydrol. 2017, 550, 307–317. [Google Scholar]
- Chang, J.; Wang, G.; Li, C.; Mao, T. Seasonal dynamics of suprapermafrost groundwater and its response to the freeing-thawing processes of soil in the permafrost region of Qinghai-Tibet Plateau. Sci. China Earth Sci. 2015, 58, 727–738. [Google Scholar] [CrossRef]
- Hinkel, K.M.; Paetzold, F.; Nelson, F.E.; Bockheim, J.G. Patterns of soil temperature and moisture in the active layer and upper permafrost at Barrow, Alaska, 1993–1999. Glob. Planet. Chang. 2001, 29, 293–309. [Google Scholar] [CrossRef]
- Henry, H.A.L. Climate change and soil freezing dynamics, historical trends and projected changes. Clim. Chang. 2008, 87, 421–434. [Google Scholar] [CrossRef]
- Genxu, W.; Guangsheng, L.; Chunjie, L.; Yan, Y. The variability of soil thermal and hydrological dynamics with vegetation cover in a permafrost region. Agric. For. Meteorol. 2012, 162, 44–57. [Google Scholar] [CrossRef]
- Kreyling, J.; Beierkuhnlein, C.; Jentsch, A. Effects of soil freeze–thaw cycles differ between experimental plant communities. Basic Appl. Ecol. 2010, 11, 65–75. [Google Scholar] [CrossRef]
- Xie, Z.; Song, L.; Feng, X. A moving boundary problem derived from heat and water transfer processes in frozen and thawed soils and its numerical simulation. Science in China Series A, Mathematics. Sci. China Ser. A Math. 2008, 51, 1510–1521. [Google Scholar] [CrossRef]
- Sinha, T.; Cherkauer, K.A. Time Series Analysis of Soil Freeze and Thaw Processes in Indiana. J. Hydrometeorol. 2008, 9, 936–950. [Google Scholar] [CrossRef]
- Wang, K.; Zhang, T.; Zhong, X. Changes in the timing and duration of the near-surface soil freeze/thaw status from 1956 to 2006 across China. Cryosphere 2015, 9, 1321–1331. [Google Scholar] [CrossRef]
- Gao, R.; Wei, Z.; Dong, W. Interannual Variation of the Beginning Date and the Ending Date of Soil Freezing in the Tibetan Plateau. J. Glaciol. Geocryol. 2003, 25, 49–54. [Google Scholar]
- Peng, X.; Frauenfeld, O.W.; Cao, B.; Wang, K.; Wang, H.; Su, H.; Huang, Z.; Yue, D.; Zhang, T. Response of changes in seasonal soil freeze/thaw state to climate change from 1950 to 2010 across china. J. Geophys. Res. Earth Surf. 2016, 121, 1984–2000. [Google Scholar] [CrossRef]
- Menzel, A.; Jakobi, G.; Ahas, R.; Scheifinger, H.; Estrella, N. Variations of the climatological growing season (1951–2000) in Germany compared with other countries. Int. J. Climatol. 2003, 23, 793–812. [Google Scholar] [CrossRef]
- Henry, H.A.L. Soil Freezing Dynamics in a Changing Climate, Implications for Agriculture. In Proceedings of the Plant and Microbe Adaptations to Cold in a Changing World, New York, NY, USA, 14 September 2013; Springer: New York, NY, USA, 2013. [Google Scholar]
- Wu, T.; Wang, Q.; Zhao, L.; Batkhishig, O.; Watanabe, M. Observed trends in surface freezing/thawing index over the period 1987–2005 in Mongolia. Cold Reg. Sci. Technol. 2011, 69, 105–111. [Google Scholar] [CrossRef]
- Yang, M.; Yao, T.; Gou, X.; Hirose, N.; Fujii, H.Y.; Hao, L.; Levia, D.F. Diurnal freeze/thaw cycles of the ground surface on the Tibetan Plateau. Chin. Sci. Bull. 2007, 52, 136–139. [Google Scholar] [CrossRef]
- Guo, D.; Wang, H. Simulated change in the near-surface soil freeze/thaw cycle on the Tibetan Plateau from 1981 to 2010. Chin. Sci. Bull. 2014, 59, 2439–2448. [Google Scholar] [CrossRef]
- Zhang, T. Historical Overview of Permafrost Studies in China. Phys. Geogr. 2005, 26, 279–298. [Google Scholar] [CrossRef]
- Jin, R.; Li, X.; Che, T. A decision tree algorithm for surface soil freeze/thaw classification over China using SSM/I brightness temperature. Remote Sens. Environ. 2009, 113, 2651–2660. [Google Scholar] [CrossRef]
- Li, X.; Jin, R.; Pan, X.; Zhang, T.; Guo, J. Changes in the near-surface soil freeze–thaw cycle on the Qinghai-Tibetan Plateau. Int. J. Appl. Earth Obs. Geoinf. 2012, 17, 33–42. [Google Scholar] [CrossRef]
- Mcdonald, K.; Kimball, J.; Njoku, E.; Zimmermann, R.; Zhao, M. Variability in Springtime Thaw in the Terrestrial High Latitudes, Monitoring a Major Control on the Biospheric Assimilation of Atmospheric CO2 with Spaceborne Microwave Remote Sensing. Earth Interact. 2004, 8, 1–23. [Google Scholar] [CrossRef]
- Zhao, T.; Shi, J.; Hu, T.; Zhao, L.; Zou, D.; Wang, T.; Ji, D.; Li, R.; Wang, P. Estimation of high-resolution near-surface freeze/thaw state by the integration of microwave and thermal infrared remote sensing data on the Tibetan Plateau. Earth Space Sci. 2017, 4, 472–484. [Google Scholar] [CrossRef]
- Jin, R.; Zhang, T.; Li, X.; Yang, X.; Ran, Y. Mapping Surface Soil Freeze-Thaw Cycles in China Based on SMMR and SSM/I Brightness Temperatures from 1978 to 2008. Arct. Antarct. Alp. Res. 2015, 47, 213–229. [Google Scholar] [CrossRef]
- Frauenfeld, O.W.; Zhang, T.; Mccreight, J.L. Northern Hemisphere freezing/thawing index variations over the twentieth century. Int. J. Climatol. 2007, 27, 47–63. [Google Scholar] [CrossRef]
- Liu, W.; Wen, J.; Chen, J.; Wang, Z.; Lu, X.; Wu, Y.; Jiang, Y. Characteristic analysis of the spatio-temporal distribution of key variables of the soil freeze-thaw processes over the Qinghai-Tibetan Plateau. Cold Reg. Sci. Technol. 2022, 197, 103526. [Google Scholar] [CrossRef]
- Han, L.; Tsunekawa, A.; Tsubo, M. Monitoring near-surface soil freeze–thaw cycles in northern China and Mongolia from 1998 to 2007. Int. J. Appl. Earth Obs. Geoinf. 2010, 12, 375–384. [Google Scholar] [CrossRef]
- Gao, H.; Nie, N.; Zhang, W.; Chen, H. Monitoring the spatial distribution and changes in permafrost with passive microwave remote sensing. ISPRS J. Photogramm. Remote Sens. 2020, 170, 142–155. [Google Scholar] [CrossRef]
- Chen, S.; Ouyang, W.; Hao, F.; Zhao, X. Combined impacts of freeze–thaw processes on paddy land and dry land in Northeast China. Sci. Total Environ. 2013, 456–457, 24–33. [Google Scholar] [CrossRef]
- Dong, X.; Liu, C.; Li, M.; Ma, D.; Chen, Q.; Zang, S. Variations in active layer soil hydrothermal dynamics of typical wetlands in permafrost region in the Great Hing’an Mountains, northeast China. Ecol. Indic. 2021, 129, 107880. [Google Scholar] [CrossRef]
- Xu, S.; Fu, Q.; Li, T.; Meng, F.; Liu, D.; Hou, R.; Li, M.; Li, Q. Spatiotemporal characteristics of the soil freeze-thaw state and its variation under different land use types—A case study in Northeast China. Agric. For. Meteorol. 2022, 312, 108737. [Google Scholar] [CrossRef]
- Xu, S.; Liu, D.; Li, T.; Fu, Q.; Liu, D.; Hou, R.; Meng, F.; Li, M.; Li, Q. Spatiotemporal evolution of the maximum freezing depth of seasonally frozen ground and permafrost continuity in historical and future periods in Heilongjiang Province, China. Atmos. Res. 2022, 274, 106195. [Google Scholar] [CrossRef]
- Cui, H.; Jiang, L.; Du, J.; Zhao, S.; Wang, G.; Lu, Z.; Wang, J. Evaluation and analysis of AMSR-2, SMOS, and SMAP soil moisture products in the Genhe area of China. J. Geophys. Res. Atmos. 2017, 122, 8650–8666. [Google Scholar] [CrossRef]
- Chang, Z.; Qi, P.; Zhang, G.; Sun, Y.; Tang, X.; Jiang, M.; Sun, J.; Li, Z. Latitudinal characteristics of frozen soil degradation and their response to climate change in a high-latitude water tower. Catena 2022, 214, 106272. [Google Scholar] [CrossRef]
- Ouyang, W.; Wu, Y.; Hao, Z.; Zhang, Q.; Bu, Q.; Gao, X. Combined impacts of land use and soil property changes on soil erosion in a mollisol area under long-term agricultural development. Sci. Total Environ. 2018, 613–614, 798–809. [Google Scholar] [CrossRef]
- Yu, Z.; Guo, X.; Zeng, Y.; Koga, M.; Vejre, H. Variations in land surface temperature and cooling efficiency of green space in rapid urbanization, The case of Fuzhou city, China. Urban For. Urban Green. 2018, 29, 113–121. [Google Scholar] [CrossRef]
- Shiklomanov, N.I. Non-climatic factors and long-term, continental-scale changes in seasonally frozen ground. Environ. Res. Lett. 2012, 7, 011003. [Google Scholar] [CrossRef][Green Version]
- Wei, Z.; Jin, H.; Zhang, J.; Yu, S.; Han, X.; Ji, Y.; He, R.; Chang, X. Prediction of permafrost changes in Northeastern China under a changing climate. Sci. China Earth Sci. 2011, 54, 924–935. [Google Scholar] [CrossRef]
- Fu, Q.; Zhou, Z.; Li, T.; Liu, D.; Hou, R.; Cui, S.; Yan, P. Spatiotemporal characteristics of droughts and floods in northeastern China and their impacts on agriculture. Stoch. Environ. Res. Risk Assess. 2018, 32, 2913–2931. [Google Scholar] [CrossRef]
- Zhou, Z.; Ding, Y.; Shi, H.; Cai, H.; Fu, Q.; Liu, S.; Li, T. Analysis and prediction of vegetation dynamic changes in China, Past, present and future. Ecol. Indic. 2020, 117, 106642. [Google Scholar] [CrossRef]
- Liu, C.; Zhang, L.; Li, F.; Jin, X. Spatial modeling of the carbon stock of forest trees in Heilongjiang Province, China. J. For. Res. 2014, 25, 269–280. [Google Scholar] [CrossRef]
- Pei, W.; Fu, Q.; Liu, D.; Li, T.-x.; Cheng, K.; Cui, S. Spatiotemporal analysis of the agricultural drought risk in Heilongjiang Province, China. Theor. Appl. Climatol. 2018, 133, 151–164. [Google Scholar] [CrossRef]
- Zhou, Z.; Shi, H.; Fu, Q.; Li, T.; Gan, T.Y.; Liu, S.; Liu, K. Is the cold region in Northeast China still getting warmer under climate change impact? Atmos. Res. 2020, 237, 104864. [Google Scholar] [CrossRef]
- Jin, H.; Li, S.; Cheng, G.; Shaoling, W.; Li, X. Permafrost and climatic change in China. Glob. Planet. Chang. 2000, 26, 387–404. [Google Scholar] [CrossRef]
- Wang, X.; Sun, J.; Tong, J.; Guan, X.; Bian, C.; Xia, S. Paper-Based Sensor Chip for Heavy Metal Ion Detection by SWSV. Micromachines 2018, 9, 150. [Google Scholar] [CrossRef]
- Anandhi, A.; Perumal, S.; Gowda, P.H.; Knapp, M.; Hutchinson, S.; Harrington, J.; Murray, L.; Kirkham, M.B.; Rice, C.W. Long-term spatial and temporal trends in frost indices in Kansas, USA. Clim. Chang. 2013, 120, 169–181. [Google Scholar] [CrossRef]
- Wang, Y.; Liu, H.; Chung, H.; Yu, L.; Mi, Z.; Geng, Y.; Jing, X.; Wang, S.; Zeng, H.; Cao, G.; et al. Non-growing-season soil respiration is controlled by freezing and thawing processes in the summer monsoon-dominated Tibetan alpine grassland. Glob. Biogeochem. Cycles 2014, 28, 1081–1095. [Google Scholar] [CrossRef]
- Shi, Y.; Niu, F.; Lin, Z.; Luo, J. Freezing/thawing index variations over the circum-Arctic from 1901 to 2015 and the permafrost extent. Sci. Total Environ. 2019, 660, 1294–1305. [Google Scholar] [CrossRef]
- Gocic, M.; Trajkovic, S. Analysis of changes in meteorological variables using Mann-Kendall and Sen’s slope estimator statistical tests in Serbia. Glob. Planet. Chang. 2013, 100, 172–182. [Google Scholar] [CrossRef]
- Ly, S.; Charles, C.; Degre, A. Different methods for spatial interpolation of rainfall data for operational hydrology and hydrological modeling at watershed scale. A review. Biotechnol. Agron. Soc. Environ. 2013, 17, 392–406. [Google Scholar]
- Longo-Minnolo, G.; Vanella, D.; Consoli, S.; Pappalardo, S.; Ramírez-Cuesta, J.M. Assessing the use of ERA5-Land reanalysis and spatial interpolation methods for retrieving precipitation estimates at basin scale. Atmos. Res. 2022, 271, 106131. [Google Scholar] [CrossRef]
- Hijmans, R.J.; Cameron, S.E.; Parra, J.L.; Jones, P.G.; Jarvis, A. Very high resolution interpolated climate surfaces for global land areas. Int. J. Climatol. 2005, 25, 1965–1978. [Google Scholar] [CrossRef]
- Hutchinson, M.F. Interpolating mean rainfall using thin plate smoothing splines. Int. J. Geogr. Inf. Syst. 1995, 9, 385–403. [Google Scholar] [CrossRef]
- Zhang, Z.; Hou, M.; Wu, Q.; Gao, S. Historical changes in the depth of seasonal freezing of “Xing’anling-Baikal” permafrost in China. Reg. Environ. Chang. 2019, 19, 451–460. [Google Scholar] [CrossRef]
- Liu, L.; Luo, D.; Wang, L.; Huang, Y.; Chen, F. Variability of soil freeze depth in association with climate change from 1901 to 2016 in the upper Brahmaputra River Basin, Tibetan Plateau. Theor. Appl. Climatol. 2020, 142, 19–28. [Google Scholar] [CrossRef]
- Alamusa Niu, C.; Zong, Q. Temporal and Spatial Changes of Freeze-Thaw Cycles in Ulan’aodu Region of Horqin Sandy Land, Northern China in a Changing Climate. Sci. Soc. Am. J. 2014, 78, 89–96. [Google Scholar] [CrossRef]
- Cannone, N.; Ellis Evansj, C.; Strachan, R.; Guglielmin, M. Interactions between climate, vegetation and the active layer in soils at two Maritime Antarctic sites. Antarct. Sci. 2006, 18, 323–333. [Google Scholar] [CrossRef]
- Kelley, A.M.; Epstein, H.E.; Walker, D.A. Role of vegetation and climate in permafrost active layer depth in arctic tundra of northern Alaska and Canada. J. Glaciol. Geocryol. 2004, 26, 269–274. [Google Scholar]
- Fedorov, A.N.; Konstantinov, P.Y.; Vasilyev, N.F.; Shestakova, A.A. The influence of boreal forest dynamics on the current state of permafrost in Central Yakutia. Polar Sci. 2019, 22, 100483. [Google Scholar] [CrossRef]
- Anderson, J.E.; Douglas, T.A.; Barbato, R.A.; Saari, S.; Edwards, J.D.; Jones, R.M. Linking vegetation cover and seasonal thaw depths in interior Alaska permafrost terrains using remote sensing. Remote Sens. Environ. 2019, 233, 111363. [Google Scholar] [CrossRef]
- Li, Y.N.; Guan, D.G.; Zhao, L.; Gu, S.; Zhao, X.Q. Seasonal frozen soil and its effect on vegetation production in Haibei alpine meadow. J. Glaciol. Geocryol. 2005, 27, 311–319. [Google Scholar]
- Cannone, N.; Guglielmin, M. Influence of vegetation on the ground thermal regime in continental Antarctica. Geoderma 2009, 151, 215–223. [Google Scholar] [CrossRef]
- Guglielmin, M.; Ellis Evans, C.J.; Cannone, N. Active layer thermal regime under different vegetation conditions in permafrost areas. A case study at Signy Island (Maritime Antarctica). Geoderma 2008, 144, 73–85. [Google Scholar]
- Guo, D.; Yang, M.; Wang, H. Sensible and latent heat flux response to diurnal variation in soil surface temperature and moisture under different freeze/thaw soil conditions in the seasonal frozen soil region of the central Tibetan Plateau. Environ. Earth Sci. 2011, 63, 97–107. [Google Scholar] [CrossRef]
- Jorgenson, M.; Romanovsky, V.; Harden, J.; Shur, Y.; O’Donnell, J.; Schuur, E.; Kanevskiy, M.; Marchenko, S. Resilience and Vulnerability of Permafrost to Climate Change. Can. J. For. Res. 2010, 40, 1219–1236. [Google Scholar] [CrossRef]
- Qin, Y.; Bai, Y.; Chen, G.; Liang, Y.; Li, X.; Wen, B.; Lu, X.; Li, X. The effects of soil freeze–thaw processes on water and salt migrations in the western Songnen Plain, China. Sci. Rep. 2021, 11, 3888. [Google Scholar] [CrossRef]
- Gao, Z.; Hu, X.; Li, X.-Y.; Li, Z.-C. Effects of freeze-thaw cycles on soil macropores and its implications on formation of hummocks in alpine meadows in the Qinghai Lake watershed, northeastern Qinghai-Tibet Plateau. J. Soils Sediments 2021, 21, 245–256. [Google Scholar] [CrossRef]









| Vegetation Type | Station |
|---|---|
| Coniferous forest | Boli, Jiagedaqi, Huzhong, Tahe, Mohe |
| Broadleaf forest | Suifenhe, Mudanjiang, Yichun, Aihui, Huma |
| Meadows | Hulin, Yilan, Tieli, Fuyu, Keshan, Beian, Sunwu |
| Scrub | Jixi, Xinlin |
| Cultivated vegetation | Shangzhi, Zhaozhou, Tonghe, Harbin, Anda, Baoqing, Tailai, Beilin, Jiamusi, Minshui, Fujin, Qiqihar, Hailun, Longjiang, Nengjiang |
| Station | Vegetation Type | Latitude/° | Unstable Freeze Period | Stable Freeze Period | Unstable Melting Period | |||
|---|---|---|---|---|---|---|---|---|
| Hours | Time/d | Hours | Time/d | Hours | Time/d | |||
| Buri | Coniferous forest | 45.75 | 10.40–12.16 | 74 | 12.17–2.10 | 56 | 2.11–5.40 | 84 |
| Mudanjiang | Broadleaf forest | 44.5 | 10.60–12.10 | 66 | 12.11–3.17 | 98 | 3.18–4.29 | 43 |
| Hulin | Meadow | 45.77 | 10.50–11.14 | 41 | 11.15–3.14 | 121 | 3.15–4.28 | 45 |
| Harbin | Cultivated vegetation | 45.93 | 10.50–11.29 | 56 | 11.30–3.09 | 101 | 3.10–4.29 | 51 |
| Jixi | Scrub | 45.3 | 10.50–11.15 | 42 | 11.15–3.14 | 121 | 3.14–4.29 | 45 |
Publisher’s Note: MDPI stays neutral with regard to jurisdictional claims in published maps and institutional affiliations. |
© 2022 by the authors. Licensee MDPI, Basel, Switzerland. This article is an open access article distributed under the terms and conditions of the Creative Commons Attribution (CC BY) license (https://creativecommons.org/licenses/by/4.0/).
Share and Cite
Song, C.; Dai, C.; Wang, C.; Yu, M.; Gao, Y.; Tu, W. Characteristic Analysis of the Spatio-Temporal Distribution of Key Variables of the Soil Freeze–Thaw Processes over Heilongjiang Province, China. Water 2022, 14, 2573. https://doi.org/10.3390/w14162573
Song C, Dai C, Wang C, Yu M, Gao Y, Tu W. Characteristic Analysis of the Spatio-Temporal Distribution of Key Variables of the Soil Freeze–Thaw Processes over Heilongjiang Province, China. Water. 2022; 14(16):2573. https://doi.org/10.3390/w14162573
Chicago/Turabian StyleSong, Chengjie, Changlei Dai, Chuang Wang, Miao Yu, Yaqi Gao, and Weiming Tu. 2022. "Characteristic Analysis of the Spatio-Temporal Distribution of Key Variables of the Soil Freeze–Thaw Processes over Heilongjiang Province, China" Water 14, no. 16: 2573. https://doi.org/10.3390/w14162573
APA StyleSong, C., Dai, C., Wang, C., Yu, M., Gao, Y., & Tu, W. (2022). Characteristic Analysis of the Spatio-Temporal Distribution of Key Variables of the Soil Freeze–Thaw Processes over Heilongjiang Province, China. Water, 14(16), 2573. https://doi.org/10.3390/w14162573

