Relative Energy Variation Characteristics Considering Interaction between Waves and Vegetation Structure
Abstract
:1. Introduction
2. Experimental Set-Up and Instrumentation
3. Results
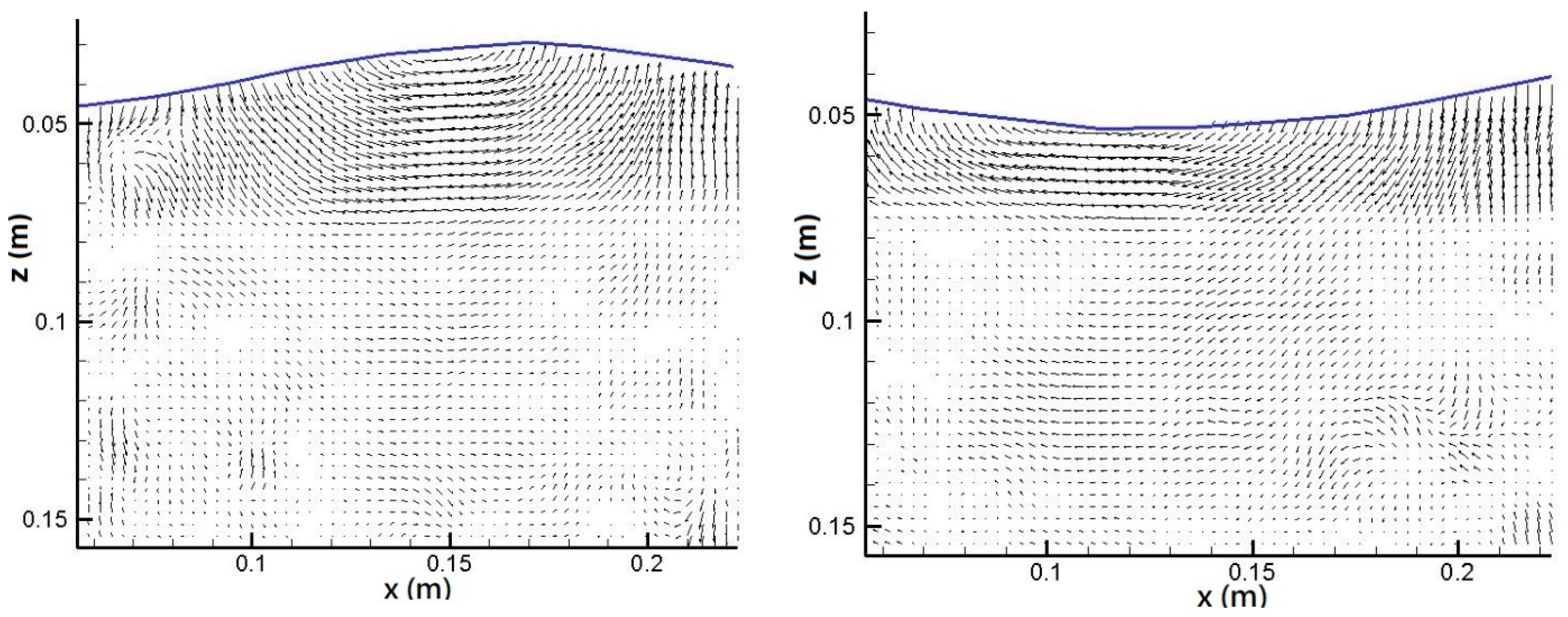
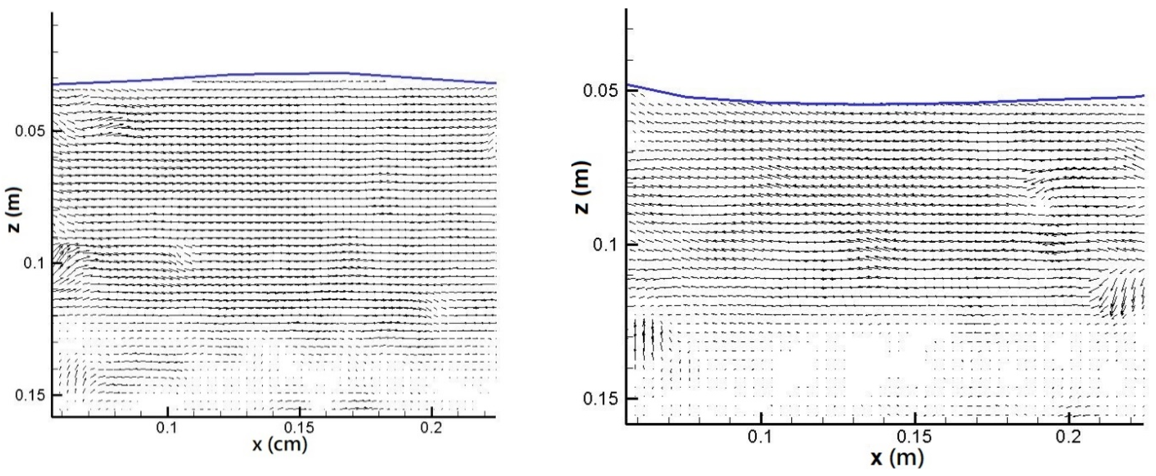
3.1. Instantaneous Velocity Field Distribution and Intensity Variation
3.2. Effects and Variation Characteristics on Kinetic Energy Induced by Various Vegetation Structures
4. Discussion
5. Conclusions
- Under constant diameter but different heights, the kinetic energy measured through the vegetation area decreased with an increase in vegetation height. The wave kinetic energy was larger within low vegetation. On the contrary, as larger vegetation structures block most waves from passing through, the kinetic energy was smaller than that measured with lower vegetation. The velocity distribution field showed that no eddy current or a chaotic flow field was observed above the vegetation. The flow field velocity inside the vegetation was relatively slow.
- Under the same wave conditions, as the bamboo diameter was reduced, which resulted in a higher water permeability, the velocity distribution on the vegetation decreased. In contrast, the velocity above the vegetation area was larger due to vegetation occlusion, and the velocity in the inner area was relatively small. Therefore, the reverse velocity above the vegetation area was relatively high.
- The resistance and friction effect due to vegetation is inversely proportional to stem size. The kinetic energy variations calculated according to the velocity distribution and vegetation stem thickness were mainly owing to the larger frictional resistance of the thick vegetation and the relatively fast flow velocity above the vegetation. Therefore, the overall kinetic energy was slightly larger than that of vegetation thinner stems. However, the overall tendency of energy changes remained consistent.
- Under the same planting conditions, evident discrepancies in kinetic energy variations were observed, which were caused by varying vegetation heights. The total kinetic energy of long-period waves under the same vegetation frictional resistance was considerably affected by vegetation height. Contrarily, the influence of different vegetation heights on short-period wave was small. However, the impact on energy reduction was smaller. For long-period waves, the vegetation height significantly reduced the kinetic energy.
Author Contributions
Funding
Institutional Review Board Statement
Informed Consent Statement
Data Availability Statement
Conflicts of Interest
References
- Fox-Kemper, B.; Hewitt, H.T.; Xiao, C.; Aðalgeirsdóttir, G.; Drijfhout, S.S.; Edwards, T.L.; Golledge, N.R.; Hemer, M.; Kopp, R.E.; Krinner, G.; et al. Ocean, Cryosphere and Sea Level Change. In Climate Change 2021: The Physical Science Basis. Contribution of Working Group I to the Sixth Assessment Report of the Intergovernmental Panel on Climate Change; Cambridge University Press: Cambridge, UK; New York, NY, USA, 2021; pp. 1211–1362. [Google Scholar]
- Ranasinghe, R.; Ruane, A.C.; Vautard, R.; Arnell, N.; Coppola, E.; Cruz, F.A.; Dessai, S.; Islam, A.S.; Rahimi, M.; Carrascal, D.R.; et al. Climate Change Information for Regional Impact and for Risk Assessment. In Climate Change 2021: The Physical Science Basis. Contribution of Working Group I to the Sixth Assessment Report of the Intergovernmental Panel on Climate Change; Cambridge University Press: Cambridge, UK; New York, NY, USA, 2021; pp. 1767–1926. [Google Scholar]
- Vona, I.; Gray, M.W.; Nardin, W. The Impact of Submerged Breakwaters on Sediment Distribution along Marsh Boundaries. Water 2020, 12, 1016. [Google Scholar] [CrossRef] [Green Version]
- Koftis, T.; Prinos, P.; Stratigaki, V. Wave damping over artificial Posidonia oceanica meadow: A large-scale experimental study. Coast. Eng. 2013, 73, 71–83. [Google Scholar] [CrossRef]
- Lara, J.L.; Maza, M.; Ondiviela, B.; Trinogga, J.; Losada, I.J.; Bouma, T.J.; Gordejuela, N. Large-scale 3-D experiments of wave and current interaction with real vegetation. Part 1: Guidelines for physical modeling. Coast. Eng. 2016, 107, 70–83. [Google Scholar] [CrossRef]
- Maza, M.; Lara, J.L.; Losada, I.J.; Ondiviela, B.; Trinogga, J.; Bouma, T.J. Large-scale 3-D experiments of wave and current interaction with real vegetation. Part 2: Experimental analysis. Coast. Eng. 2015, 106, 73–86. [Google Scholar] [CrossRef]
- Wu, W.C.; Ma, G.F.; Cox, G.T. Modeling wave attenuation induced by the vertical density variations of vegetation. Coast. Eng. 2016, 112, 17–27. [Google Scholar] [CrossRef]
- Anderson, M.E.; Smith, J.M. Wave attenuation by flexible, idealized salt marsh vegetation. Coast. Eng. 2014, 83, 82–92. [Google Scholar] [CrossRef]
- Huang, Z.; Yao, Y.; Sim, S.Y.; Yao, Y. Interaction of solitary waves with emergent, rigid vegetation. Ocean Eng. 2011, 38, 1080–1088. [Google Scholar] [CrossRef]
- Augustin, L.N.; Irish, J.L.; Lynett, P. Laboratory and numerical studies of wave damping by emergent and near-emergent wetland vegetation. Coast. Eng. 2009, 56, 332–340. [Google Scholar] [CrossRef]
- Ma, G.; Shi, F.; Kirby, J.T. Shock-capturing non-hydrostatic model for fully dispersive surface wave processes. Ocean Model. 2012, 43–44, 22–35. [Google Scholar] [CrossRef]
- Lin, P.; Liu, P. A numerical study of breaking waves in the surf zone. J. Fluid Mech. 1998, 359, 239–264. [Google Scholar] [CrossRef]
- Lin, P.; Liu, P.L.-F. Turbulence transport, vorticity dynamics, and solute mixing under plunging breaking waves in surf zone. J. Geophys. Res. 1998, 1031, 15677–15694. [Google Scholar] [CrossRef]
- Rupprecht, F.; Möller, I.; Evans, B.; Spencer, T.; Jensena, K. Biophysical properties of salt marsh canopies—Quantifying plant stem flexibility and above ground biomass. Coast. Eng. 2015, 100, 48–57. [Google Scholar] [CrossRef] [Green Version]
- van Veelen, T.J.; Fairchild, T.P.; Reeve, D.E.; Karunarathna, H. Experimental study on vegetation flexibility as control parameter for wave damping and velocity structure. Coast. Eng. 2020, 157, 103648. [Google Scholar] [CrossRef]
- Lynett, P.; Liu, P.L.-F. A two-dimensional, depth-integrated model for internal wave propagation. Wave Motion 2002, 36, 221–240. [Google Scholar] [CrossRef]
- Maza, M.; Lara, J.L.; Losada, I.J. A coupled model of submerged vegetation under oscillatory flow using Navier–Stokes equations. Coast. Eng. 2013, 80, 16–34. [Google Scholar] [CrossRef]
- Li, C.W.; Yan, K. Numerical investigation of wave–current–vegetation interaction. J. Hydraul. Eng. 2007, 133, 794–803. [Google Scholar] [CrossRef]
- Paul, M.; Bouma, T.J.; Amos, C.L. Wave attenuation by submerged vegetation: Combining the effect of organism traits and tidal current. Mar. Ecol. Prog. Ser. 2012, 444, 31–41. [Google Scholar] [CrossRef] [Green Version]
- Zhan, H.; Tomohiro, S.; Tjerk, Z.; Wim, U.; Marcel, S. Laboratory study on wave dissipation by vegetation in combined current–wave flow. Coast. Eng. 2014, 88, 131–142. [Google Scholar]
- Paul, M.; Rupprecht, F.; Möller, I.; Bouma, T.J.; Spencer, T.; Kudella, M.; Wolters, G.; Wesenbeeck, B.K.; Jensen, K.; Miranda-Lange, M.; et al. Plant stiffness and biomass as drivers for drag forces under extreme wave loading: A flume study on mimics. Coast. Eng. 2016, 117, 70–78. [Google Scholar] [CrossRef] [Green Version]
- Maza, M.; Lara, J.L.; Losada, I.J. Experimental analysis of wave attenuation and drag forces in a realistic fringe Rhizophora mangrove forest. Adv. Water Resour. 2019, 131, 103376. [Google Scholar] [CrossRef]
- Liu, P.; Liu, H.; Jin, J.; Li, J. Water wave visualization simulation using feedback of image texture analysis. Multimed. Tools Appl. 2015, 74, 8379–8400. [Google Scholar] [CrossRef]
- Umeyama, M. Investigation of Single and Multiple Solitary Waves Using Superresolution PIV. J. Waterw. Port Coast. Ocean Eng. 2013, 139, 304–313. [Google Scholar] [CrossRef]
- Li, C.Y.; Shih, R.S.; Weng, W.K.; Liao, T.W. Analysis of Vortex Formation and Energy Dissipation during Interaction of Solitary-like Waves with Submerged Breakwaters Based on Particle Image Velocimetry. Appl. Ocean. Res. 2021, 110, 102579. [Google Scholar] [CrossRef]
- Zhu, H.; Lin, C.; Wang, L.; Kao, M.; Tang, H.; Williams, J.J. Numerical investigation of internal solitary waves of elevation type propagating on a uniform slope. Phys. Fluids 2018, 30, 116602. [Google Scholar] [CrossRef]
- Thielicke, W.; Stamhuis, E.J. PIVlab-Towards User-friendly, Affordable and Accurate Digital Particle Image Velocimetry in MATLAB. J. Open Res. Softw. 2014, 2, e30. [Google Scholar] [CrossRef] [Green Version]
- Mori, N.; Chang, C.W.; Inoue, T.; Akaji, Y.; Hinokidani, K.; Baba, S.; Takagi, M.; Mori, S.; Koike, H.; Miyauchi, M.; et al. Parameterization of Mangrove Root Structure of Rhizophora stylosa in Coastal Hydrodynamic Model. Front. Built Environ. 2022, 7, 782219. [Google Scholar] [CrossRef]





















| Wave Period, T (s) | Wave Length, L (m) | Wave Number, k (1/m) | h/L |
|---|---|---|---|
| Transitional water wave (0.05 < h/L < 0.5) | |||
| 0.50 | 0.384 | 16.354 | 0.390 |
| 0.56 | 0.471 | 13.326 | 0.318 |
| 0.63 | 0.574 | 10.941 | 0.261 |
| 0.71 | 0.690 | 9.105 | 0.217 |
| 0.83 | 0.859 | 7.314 | 0.174 |
| 1.00 | 1.090 | 5.765 | 0.138 |
| 1.11 | 1.235 | 5.086 | 0.121 |
| 1.25 | 1.417 | 4.433 | 0.106 |
| 1.43 | 1.648 | 3.812 | 0.091 |
| 1.67 | 1.951 | 3.220 | 0.077 |
| 2.00 | 2.364 | 2.658 | 0.063 |
| Shallow water wave (h/L < 0.05) | |||
Publisher’s Note: MDPI stays neutral with regard to jurisdictional claims in published maps and institutional affiliations. |
© 2022 by the authors. Licensee MDPI, Basel, Switzerland. This article is an open access article distributed under the terms and conditions of the Creative Commons Attribution (CC BY) license (https://creativecommons.org/licenses/by/4.0/).
Share and Cite
Shih, R.-S.; Li, C.-Y.; Weng, W.-K.; Lin, C.-H. Relative Energy Variation Characteristics Considering Interaction between Waves and Vegetation Structure. Water 2022, 14, 2567. https://doi.org/10.3390/w14162567
Shih R-S, Li C-Y, Weng W-K, Lin C-H. Relative Energy Variation Characteristics Considering Interaction between Waves and Vegetation Structure. Water. 2022; 14(16):2567. https://doi.org/10.3390/w14162567
Chicago/Turabian StyleShih, Ruey-Syan, Chi-Yu Li, Wen-Kai Weng, and Chih-Hung Lin. 2022. "Relative Energy Variation Characteristics Considering Interaction between Waves and Vegetation Structure" Water 14, no. 16: 2567. https://doi.org/10.3390/w14162567
APA StyleShih, R.-S., Li, C.-Y., Weng, W.-K., & Lin, C.-H. (2022). Relative Energy Variation Characteristics Considering Interaction between Waves and Vegetation Structure. Water, 14(16), 2567. https://doi.org/10.3390/w14162567

