Effects of Algae on the Formation of Black Blooms and Bacterial Community Structure Changes in Sediments and Black Floats
Abstract
1. Introduction
2. Materials and Methods
2.1. Site Description and Sample Collection
2.2. Experimental Design
2.3. Analysis Methods
2.4. 16S rRNA Gene Amplicon Sequencing
2.5. Sequencing Data Analysis
3. Results and Discussion
3.1. Black Bloom Simulation Using In-Situ Cores
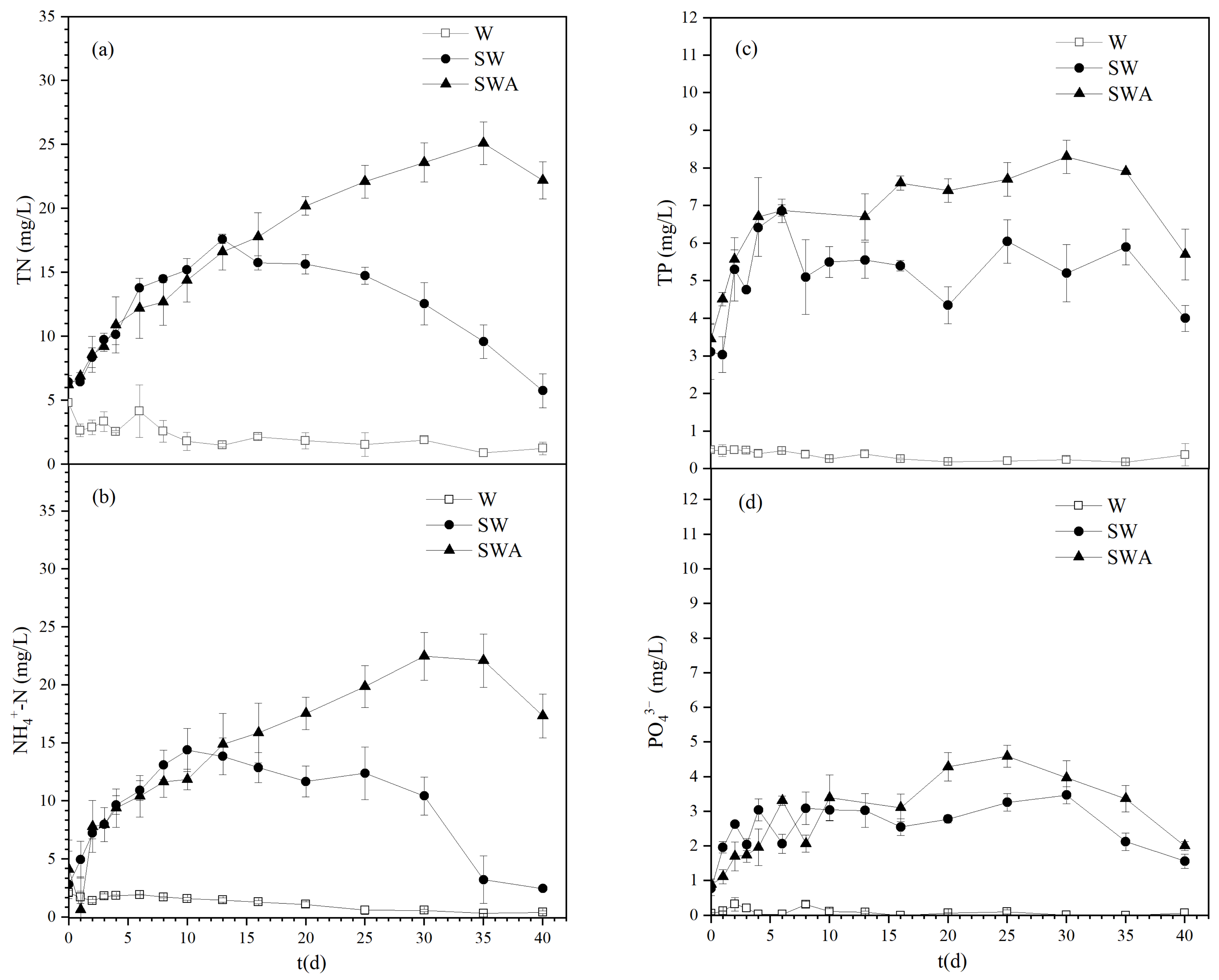
3.2. Changes of the Chemical and Physical Parameters
3.3. Characteristics of the Microbial Communities in the Sediments and Black Floats
3.3.1. Analysis of Microbial Diversity in the Sediments and Black Floats
3.3.2. Dominant Microbial Communities in the Sediments and Black Floats
4. Conclusions
Supplementary Materials
Author Contributions
Funding
Institutional Review Board Statement
Informed Consent Statement
Data Availability Statement
Acknowledgments
Conflicts of Interest
References
- Yang, M.; Yu, J.; Li, Z.; Guo, Z.; Lin, T.F. Taihu Lake Not to Blame for Wuxi’s Woes. Science 2008, 319, 158. [Google Scholar] [CrossRef] [PubMed]
- Lu, G.; Ma, Q. Monitoring and analysis on “Black Water Aggregation” in Lake Taihu, 2009. J. Lake Sci. 2010, 22, 481–487. [Google Scholar] [CrossRef]
- Sugiura, N.; Nakano, K. Causative microorganisms for musty odor occurrence in the eutrophic Lake Kasumigaura. Hydrobiologia 2000, 434, 145–150. [Google Scholar] [CrossRef]
- Duval, B.; Ludlam, S.D. The Black Water Chemocline of Meromictic Lower Mystic Lake, Massachusetts, U.S.A. Int. Rev. Hydrobiol. 2001, 86, 165–181. [Google Scholar] [CrossRef]
- Pucciarelli, S.; Buonanno, F.; Pellegrini, G.; Pozzi, S.; Ballarini, P.; Miceli, C. Biomonitoring of Lake Garda: Identification of ciliate species and symbiotic algae responsible for the “black-spot” bloom during the summer of 2004. Environ. Res. 2008, 107, 194–200. [Google Scholar] [CrossRef] [PubMed]
- Zhang, D.; Yang, H.; Lan, S.; Wang, C.; Xie, Y. Evolution of urban black and odorous water: The characteristics of microbial community and driving-factors. J. Environ. Sci. 2022, 112, 94–105. [Google Scholar] [CrossRef]
- Shen, Q.; Liu, C.; Zhou, Q.; Shang, J.; Zhang, L.; Fan, C. Effects of physical and chemical characteristics of surface sediments in the formation of shallow lake algae-induced black bloom. J. Environ. Sci. 2013, 25, 2353–2360. [Google Scholar] [CrossRef]
- Lu, G.; Ma, Q. Analysis on the causes of forming black water cluster in Taihu Lake. Adv. Water Sci. 2009, 20, 438–442. [Google Scholar]
- Liu, C.; Shen, Q.; Zhou, Q.; Fan, C.; Shao, S. Precontrol of algae-induced black blooms through sediment dredging at appropriate depth in a typical eutrophic shallow lake. Ecol. Eng. 2015, 77, 139–145. [Google Scholar] [CrossRef]
- Shen, Q.; Fan, C.; Liu, C.; Chen, C. The Limiting Factor to the Outbreak of Lake Black Bloom: Roles of Ferrous Iron and Sulfide Ions. Clean-Soil Air Water 2018, 46, 1800305. [Google Scholar] [CrossRef]
- Zhou, C.; Miao, T.; Jiang, L.; Zhang, H.; Zhang, X. Conditions that promote the formation of black bloom in aquatic microcosms and its effects on sediment bacteria related to iron and sulfur cycling. Sci. Total Environ. 2020, 751, 141869. [Google Scholar] [CrossRef] [PubMed]
- Chen, J.; Xie, P.; Yu, D.; Xie, L. Dynamic Change of Sedimental Microbial Community During Black Bloom-an In Situ Enclosure Simulation Study. Microb. Ecol. 2021, 81, 304–313. [Google Scholar] [CrossRef] [PubMed]
- Xie, L.; Yu, D.; Zeng, C.; Shen, H. The response of bacterial community composition to the decomposition of Microcystis blooms. Lake Sci. 2016, 28, 22–30. [Google Scholar] [CrossRef][Green Version]
- Gardner, W.S.; Mccarthy, M.J.; Carini, S.A.; Souza, A.C.; Hou, L.; Mcneal, K.S.; Puckett, M.K.; Pennington, J. Collection of intact sediment cores with overlying water to study nitrogen- and oxygen-dynamics in regions with seasonal hypoxia. Cont. Shelf Res. 2009, 29, 2207–2213. [Google Scholar] [CrossRef]
- Wang, G.; Li, X.; Fang, Y.; Huang, R. Analysis on the formation condition of the algae-induced odorous black water agglomerate. Saudi J. Biol. Sci. 2014, 21, 597–604. [Google Scholar] [CrossRef] [PubMed]
- Yin, H.; Wu, Y. Factors Affecting the Production of Volatile Organic Sulfur Compounds (VOSCs) from Algal-Induced Black Water Blooms in Eutrophic Freshwater Lakes. Water Air Soil Pollut. 2016, 227, 1–11. [Google Scholar] [CrossRef]
- Feng, Z.; Fan, C.; Huang, W.; Ding, S. Microorganisms and typical organic matter responsible for lacustrine “black bloom”. Sci. Total Environ. 2014, 470, 1–8. [Google Scholar] [CrossRef]
- Louati, I.; Pascault, N.; Debroas, D.; Bernard, C.; Humbert, J.F.; Leloup, J. Structural Diversity of Bacterial Communities Associated with Bloom-Forming Freshwater Cyanobacteria Differs According to the Cyanobacterial Genus. PLoS ONE 2015, 10, e0140614. [Google Scholar] [CrossRef]
- Chen, S.; He, H.; Zong, R.; Liu, K.; Miao, Y. Geographical Patterns of Algal Communities Associated with Different Urban Lakes in China. Int. J. Environ. Res. Public Health 2020, 17, 1009. [Google Scholar] [CrossRef]
- Wang, X.; Yin, G.; Liu, Q. The Monitoring and Analysis Methods of Water and Wastewater, 4th ed.; China Environmental Protection Agency: Beijing, China, 2002. [Google Scholar]
- He, W.; Shang, J.; Lu, X.; Fan, C. Effects of sludge dredging on the prevention and control of algae-caused black bloom in Taihu Lake, China. J. Environ. Sci. 2013, 25, 430–440. [Google Scholar] [CrossRef]
- Yu, D.; Xie, P.; Zeng, C.; Xie, L.; Chen, J. In situ enclosure experiments on the occurrence, development and decline of black bloom and the dynamics of its associated taste and odor compounds. Ecol. Eng. 2016, 87, 246–253. [Google Scholar] [CrossRef]
- Shen, Q.; Zhou, Q.; Shang, J.; Shao, S.; Lei, Z.; Fan, C. Beyond hypoxia: Occurrence and characteristics of black blooms due to the decomposition of the submerged plant Potamogeton crispus in a shallow lake. J. Environ. Sci. 2014, 26, 281–288. [Google Scholar] [CrossRef]
- He, Y.; Song, N.; Jiang, H.L. Effects of dissolved organic matter leaching from macrophyte litter on black water events in shallow lakes. Environ. Sci. Pollut. Res. 2018, 25, 9928–9939. [Google Scholar] [CrossRef] [PubMed]
- Li, B.; Feng, M.; Chen, X.; Wang, Y.; Wu, Q.L. Abundant sediment organic matter potentially facilitates chemical iron reduction and surface water blackness in a Chinese deep lake. Environ. Pollut. 2021, 272, 116002. [Google Scholar] [CrossRef]
- Chen, M.; Zhang, Y.; Krumholz, L.R.; Zhao, L.; Yan, Z.; Yang, Y.; Li, Z.; Hayat, F.; Chen, H.; Huang, R. Black blooms-induced adaptive responses of sulfate reduction bacteria in a shallow freshwater lake. Environ. Res. 2022, 209, 112732. [Google Scholar] [CrossRef]
- Cai, P.; Wu, Y.; Liu, X.; Yin, H. The contribution of sediment and algal to the formation of black bloom and their potential to supply the black substance in waters in Lake Taihu. J. Lake Sci. 2015, 27, 575–582. [Google Scholar] [CrossRef]
- Sheng, D.; Xu, Z.; Gao, Y. Cause and impact analysis of black water cluster in Taihu Lake. Water Resour. Prot. 2010, 26, 41–44. [Google Scholar] [CrossRef]
- Zhou, Y.; Jiang, H.; Cai, H. To prevent the occurrence of black water agglomerate through delaying decomposition of cyanobacterial bloom biomass by sediment microbial fuel cell. J. Hazard. Mater. 2015, 287, 7–15. [Google Scholar] [CrossRef]
- Deng, X.; Liang, G.; Chen, J.; Qi, M.; Xie, P. Simultaneous determination of eight common odors in natural water body using automatic purge and trap coupled to gas chromatography with mass spectrometry. J. Chromatogr. A 2011, 1218, 3791–3798. [Google Scholar] [CrossRef]
- Chen, J.; Xie, P.; Ma, Z.; Niu, Y.; Tao, M.; Deng, X.; Wang, Q. A systematic study on spatial and seasonal patterns of eight taste and odor compounds with relation to various biotic and abiotic parameters in Gonghu Bay of Lake Taihu, China. Sci. Total Environ. 2010, 409, 314–325. [Google Scholar] [CrossRef]
- Li, H.; Gu, X.; Chen, H. Co-occurrence of multiple cyanotoxins and taste-and-odor compounds in the large eutrophic Lake Taihu, China: Dynamics, driving factors, and challenges for risk assessment. Environ. Pollut. 2022, 294, 118594. [Google Scholar] [CrossRef] [PubMed]
- Harris, J.M.; Vinobaba, P.; Kularatne, R.K.A. Spatial and temporal distribution of cyanobacteria in Batticaloa Lagoon. J. Environ. Sci. 2016, 47, 211–218. [Google Scholar] [CrossRef] [PubMed]
- Shi, L.; Huang, Y.; Zhang, M.; Yu, Y.; Lu, Y.; Kong, F. Bacterial community dynamics and functional variation during the long-term decomposition of cyanobacterial blooms in-vitro. Sci. Total Environ. 2017, 598, 77–86. [Google Scholar] [CrossRef]
- Shen, Q.; Shao, S.; Wang, Z.; Zhang, L.; Hu, H.; Fan, C. Fade and recovery process of algae-induced black bloom in Lake Taihu under different wind conditions. Chin. Sci. Bull. 2012, 57, 1060–1066. [Google Scholar] [CrossRef]
- Wood, E. Biochemistry (3rd ed.). Biochem. Mol. Biol. Educ. 2004, 32, 421–423. [Google Scholar] [CrossRef]
- Wu, J.; Hong, Y.; Ye, J. Diversity of anammox bacteria and contribution to the nitrogen loss in surface sediment. Int. Biodeterior. Biodegrad. 2019, 142, 227–234. [Google Scholar] [CrossRef]
- Su, Y.; Hu, M.; Wang, Y. Identifying key drivers of harmful algal blooms in a tributary of the Three Gorges Reservoir between different seasons: Causality based on data-driven methods. Environ. Pollut. 2022, 297, 118759. [Google Scholar] [CrossRef]
- Chen, M.; Ding, S.; Chen, X.; Sun, Q.; Fan, X.; Lin, J.; Ren, M.; Yang, L.; Zhang, C. Mechanisms driving phosphorus release during algal blooms based on hourly changes in iron and phosphorus concentrations in sediments. Water Res. 2018, 133, 153–164. [Google Scholar] [CrossRef]
- Li, H.; Xing, P.; Chen, M. Short-term bacterial community composition dynamics in response to accumulation and breakdown of Microcystis blooms. Water Res. 2011, 45, 1702–1710. [Google Scholar] [CrossRef]
- Qian, H.; Zhu, Y.; Chen, S.; Jin, Y.; Lavoie, M.; Ke, M.; Fu, Z. Interacting effect of diclofop-methyl on the rice rhizosphere microbiome and denitrification. Pestic. Biochem. Physiol. 2018, 146, 90–96. [Google Scholar] [CrossRef]
- Bouzat, J.L.; Hoostal, M.J.; Looft, T. Spatial patterns of bacterial community composition within Lake Erie sediments. J. Great Lakes Res. 2013, 39, 344–351. [Google Scholar] [CrossRef]
- Sinkko, H.; Lukkari, K.; Sihvonen, L.M.; Sivonen, K.; Leivuori, M.; Rantanen, M.; Paulin, L.; Lyra, C. Bacteria contribute to sediment nutrient release and reflect progressed eutrophication-driven hypoxia in an organic-rich continental sea. PLoS ONE 2013, 8, e67061. [Google Scholar] [CrossRef]
- Zhu, J.; Zhang, J.; Li, Q.; Han, T.; Xie, J.; Hu, Y.; Chai, L. Phylogenetic analysis of bacterial community composition in sediment contaminated with multiple heavy metals from the Xiangjiang River in China. Mar. Pollut. Bull. 2013, 70, 134–139. [Google Scholar] [CrossRef]
- Speirs, L.; Rice, D.T.; Petrovski, S.; Seviour, R.J. The phylogeny, biodiversity, and ecology of the Chloroflexi in activated sludge. Front. Microbiol. 2019, 10, 2015. [Google Scholar] [CrossRef] [PubMed]
- Goffredi, S.K.; Orphan, V.J. Bacterial community shifts in taxa and diversity in response to localized organic loading in the deep sea. Environ. Microbiol. 2010, 12, 344–363. [Google Scholar] [CrossRef] [PubMed]
- Huan, W.; Jiang, X. Profiling of Sediment Microbial Community in Dongting Lake before and after Impoundment of the Three Gorges Dam. Int. J. Environ. Res. Public Health 2016, 13, 617. [Google Scholar] [CrossRef]
- Li, H.; Peng, X.; Wu, Q.L. Characterization of the bacterial community composition in a hypoxic zone induced by Microcystis blooms in Lake Taihu, China. FEMS Microbiol. Ecol. 2011, 79, 773–784. [Google Scholar] [CrossRef]
- Zhang, H.; Liu, F.; Zheng, S. The differentiation of iron-reducing bacterial community and iron-reduction activity between riverine and marine sediments in the Yellow River estuary. Mar. Life Sci. Technol. 2020, 2, 87–96. [Google Scholar] [CrossRef]
- Li, X.; Zeng, X.; Zhang, Z.; Shao, Z. Characteristics of different iron oxides reduction by a thermophilic dissimilatory iron reducing bacterium Caloranaerobacter ferrireducens DY22619T from deep sea. Haiyang Xuebao 2016, 38, 83–92. [Google Scholar] [CrossRef]
- Kielak, A.M.; Barreto, C.C.; Kowalchuk, G.A.; Van Veen, J.A.; Kuramae, E.E. The ecology of Acidobacteria: Moving beyond genes and genomes. Front. Microbiol. 2016, 7, 744. [Google Scholar] [CrossRef] [PubMed]
- Wang, Z.; Akbar, S.; Sun, Y.; Gu, L.; Zhang, L.; Lyu, K.; Huang, Y.; Yang, Z. Cyanobacterial dominance and succession: Factors, mechanisms, predictions, and managements. J. Environ. Manag. 2021, 297, 113281. [Google Scholar] [CrossRef] [PubMed]
- Lürling, M.; Eshetu, F.; Faassen, E.J.; Kosten, S.; Huszar, V.L. Comparison of cyanobacterial and green algal growth rates at different temperatures. Freshw. Biol. 2013, 58, 552–559. [Google Scholar] [CrossRef]
- Salcher, M.M.; Pernthaler, J.; Posch, T. Spatiotemporal distribution and activity patterns of bacteria from three phylogenetic groups in an oligomesotrophic lake. Limnol. Oceanogr. 2010, 55, 846–856. [Google Scholar] [CrossRef]
- Newton, R.J.; Jones, S.E.; Eiler, A.; Mcmahon, K.D.; Bertilsson, S. A guide to the natural history of freshwater lake bacteria. Microbiol. Mol. Rev. 2011, 75, 14–49. [Google Scholar] [CrossRef] [PubMed]
- Allen, J.P.; Atekwana, E.A.; Atekwana, E.A.; Duris, J.W.; Werkema, D.D.; Rossbach, S. The Microbial Community Structure in Petroleum-Contaminated Sediments Corresponds to Geophysical Signatures. Appl. Environ. Microbiol. 2007, 73, 2860–2870. [Google Scholar] [CrossRef]
- Feng, S.; Yuan, B.; Wang, B. Changes in physical and chemical properties of water and bacterial community when black bloom occurs. Ecol. Sci. 2017, 36, 25–34. [Google Scholar] [CrossRef]
- Ghai, R.; Mizuno, C.M.; Picazo, A.; Camacho, A.; Rodriguezvalera, F. Key roles for freshwater Actinobacteria revealed by deep metagenomic sequencing. Mol. Ecol. 2015, 23, 6073–6090. [Google Scholar] [CrossRef]
- Parulekar, N.N.; Kolekar, P.; Jenkins, A.; Kleiven, S.; Utkilen, H.; Johansen, A.; Sawant, S.; Kulkarni-Kale, U.; Kale, M.; Sæbø, M. Characterization of bacterial community associated with phytoplankton bloom in a eutrophic lake in South Norway using 16S rRNA gene amplicon sequence analysis. PLoS ONE 2017, 12, e0173408. [Google Scholar] [CrossRef]
- Wang, M.; Shang, H.; Hao, C. Diversity and bacteria community structure of activated carbon used in advanced drinking water treatment. Environ. Sci. 2011, 32, 1497–1504. [Google Scholar] [CrossRef]
- Wang, F.; Xu, C.; Liu, Y. Effect of Start-up Conditions on Proteobacteria Community Structure. J. Tongji Univ. 2007, 35, 949–953. [Google Scholar] [CrossRef]
- Etchebehere, C.; Errazquin, M.I.; Dabert, P.; Muxí, L. Community analysis of a denitrifying reactor treating landfill leachate. FEMS Microbiol. Ecol. 2002, 40, 97–106. [Google Scholar] [CrossRef] [PubMed]






| Day | 0 | 1 | 2 | 3 | 4 | 6 | 8 | 10 | 13 | 16 | 20 | 25 | 30 | 35 | 40 | |
|---|---|---|---|---|---|---|---|---|---|---|---|---|---|---|---|---|
| Samples | ||||||||||||||||
| W | 0 | 0 | 0 | 0 | 0 | 0 | 0 | 0 | 0 | 0 | 0 | 0 | 1 | 1 | 1 | |
| SW | 0 | 0 | 0 | 0 | 0 | 0 | 0 | 0 | 1 | 2 | 2 | 3 | 3 | 3 | 4 | |
| SWA | 0 | 0 | 0 | 0 | 0 | 0 | 0 | 1 | 2 | 3 | 3 | 3 | 4 | 4 | 4 | |
Publisher’s Note: MDPI stays neutral with regard to jurisdictional claims in published maps and institutional affiliations. |
© 2022 by the authors. Licensee MDPI, Basel, Switzerland. This article is an open access article distributed under the terms and conditions of the Creative Commons Attribution (CC BY) license (https://creativecommons.org/licenses/by/4.0/).
Share and Cite
Tang, T.; Ma, Y.; Shen, W.; Li, Z.; Dai, R.; Ye, J. Effects of Algae on the Formation of Black Blooms and Bacterial Community Structure Changes in Sediments and Black Floats. Water 2022, 14, 2348. https://doi.org/10.3390/w14152348
Tang T, Ma Y, Shen W, Li Z, Dai R, Ye J. Effects of Algae on the Formation of Black Blooms and Bacterial Community Structure Changes in Sediments and Black Floats. Water. 2022; 14(15):2348. https://doi.org/10.3390/w14152348
Chicago/Turabian StyleTang, Tingting, Yingxiao Ma, Wendi Shen, Zihao Li, Ruihua Dai, and Jianfeng Ye. 2022. "Effects of Algae on the Formation of Black Blooms and Bacterial Community Structure Changes in Sediments and Black Floats" Water 14, no. 15: 2348. https://doi.org/10.3390/w14152348
APA StyleTang, T., Ma, Y., Shen, W., Li, Z., Dai, R., & Ye, J. (2022). Effects of Algae on the Formation of Black Blooms and Bacterial Community Structure Changes in Sediments and Black Floats. Water, 14(15), 2348. https://doi.org/10.3390/w14152348
