Site-Specific Evaluation of Canopy Resistance Models for Estimating Evapotranspiration over a Drip-Irrigated Potato Crop in Southern Chile under Water-Limited Conditions
Abstract
:1. Introduction
2. Materials and Methods
2.1. Site Description
2.2. Deficit Irrigation Treatments and Irrigation Management
2.3. Soil Moisture and Plant Measurements
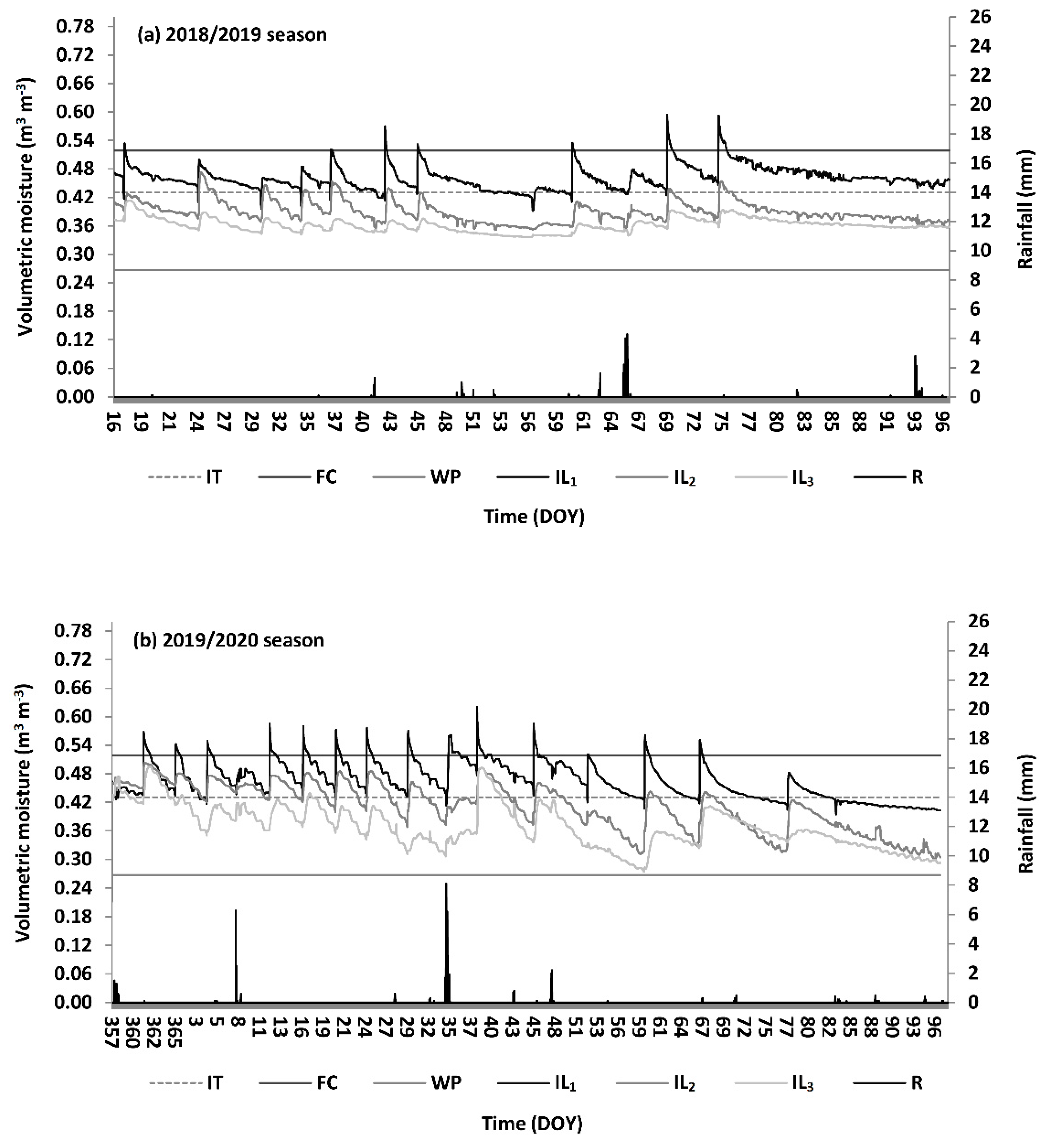
2.3.1. Soil Moisture Monitoring
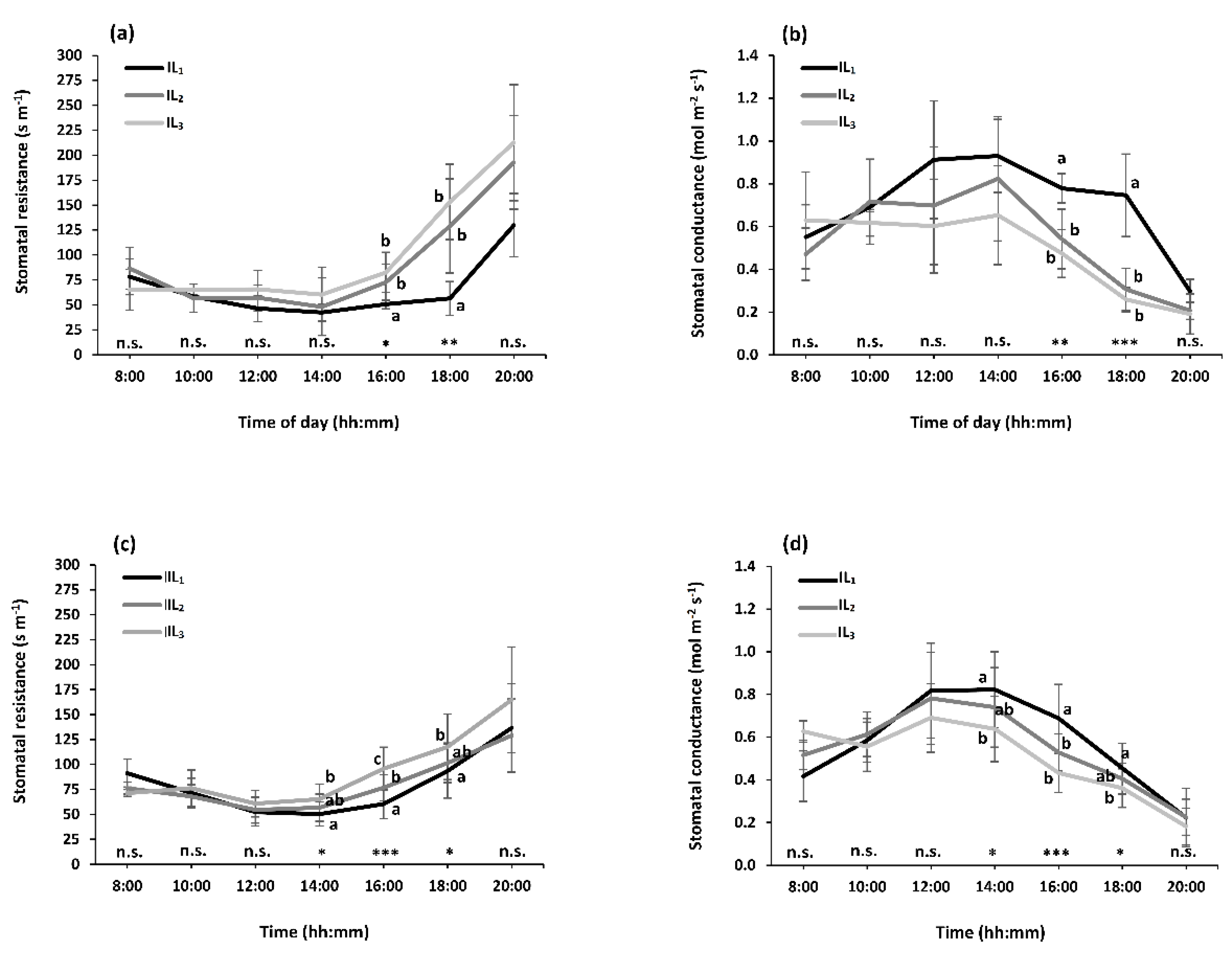
2.3.2. Stomatal Conductance
2.3.3. Leaf Area Index (LAI) and Phenology
2.4. Micrometeorological and Meteorological Measurements
2.5. Statistical Analysis
3. Biophysical Algorithms Implemented
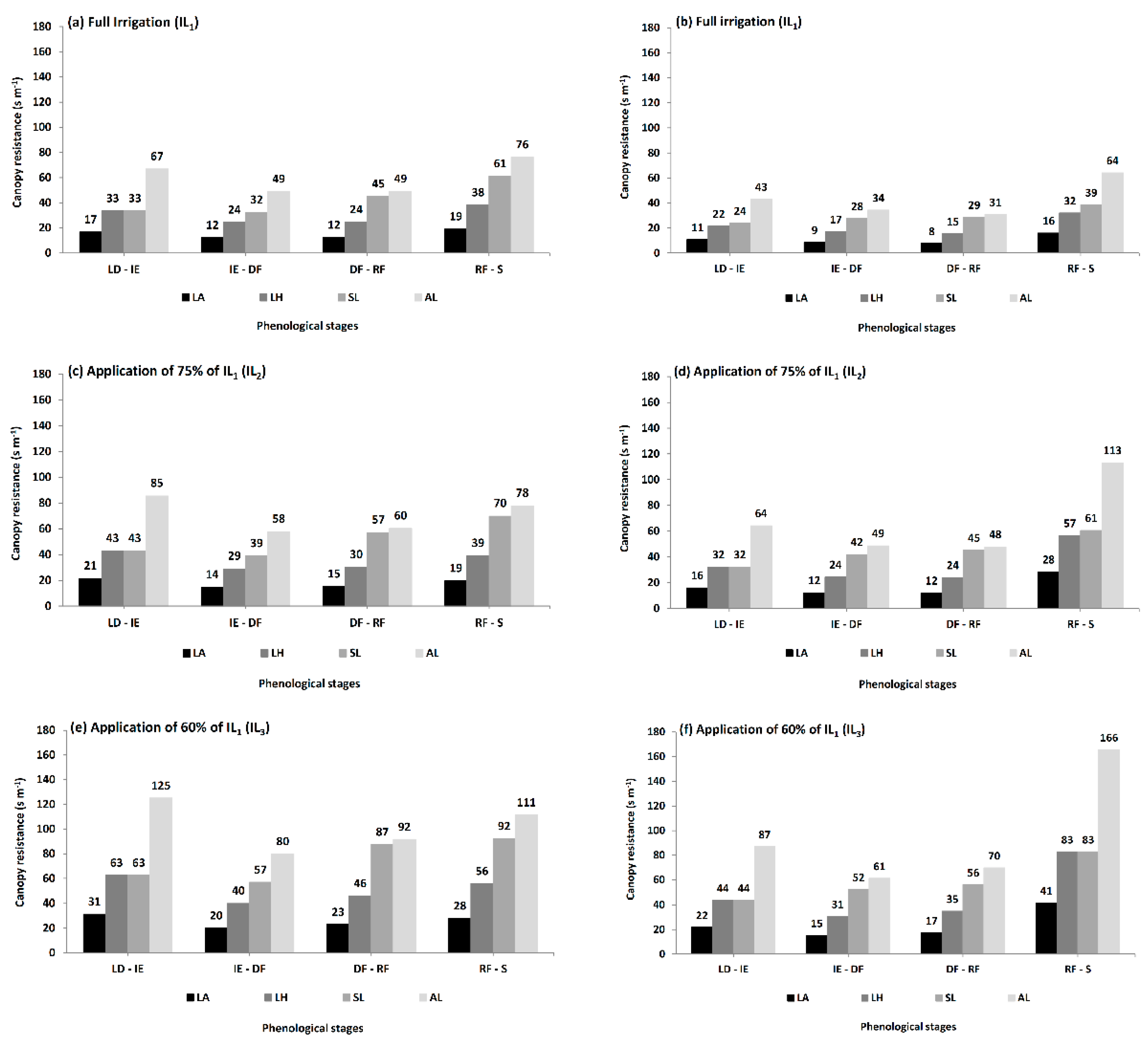
3.1. Canopy Resistance Approaches ()
3.1.1. SL Approach
3.1.2. AL Approach
3.1.3. L Approach
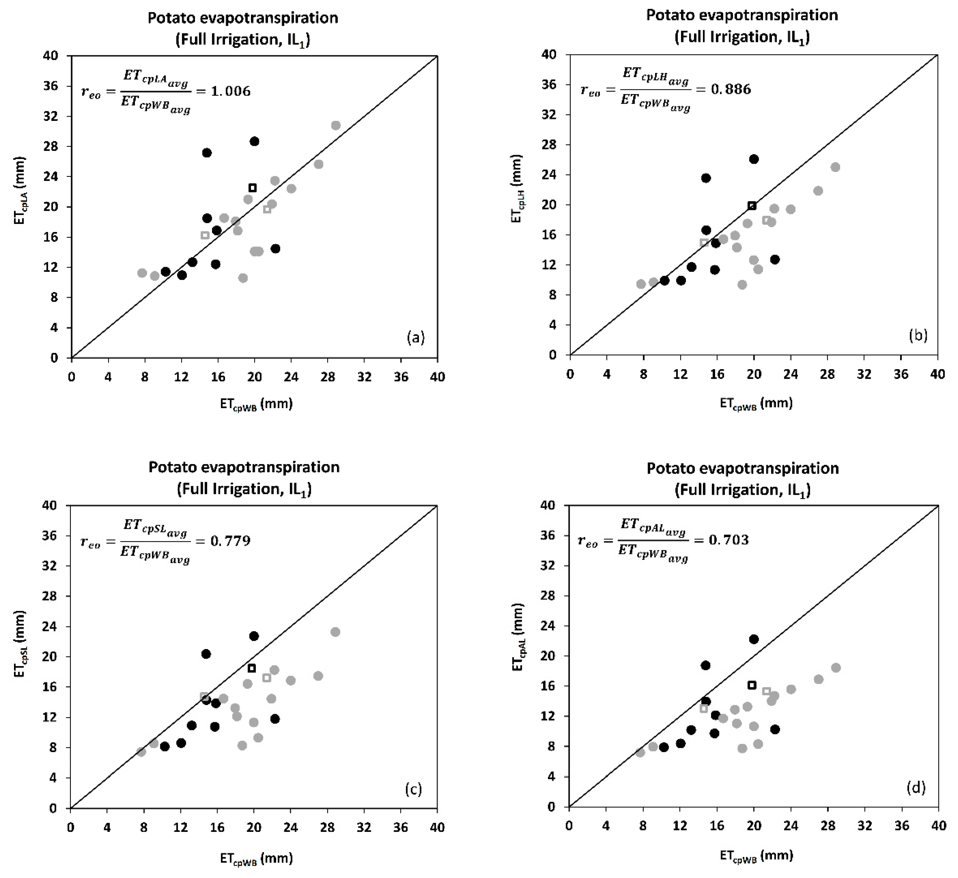
3.2. Evaluation of the Models through ET Calculation
4. Results and Discussion
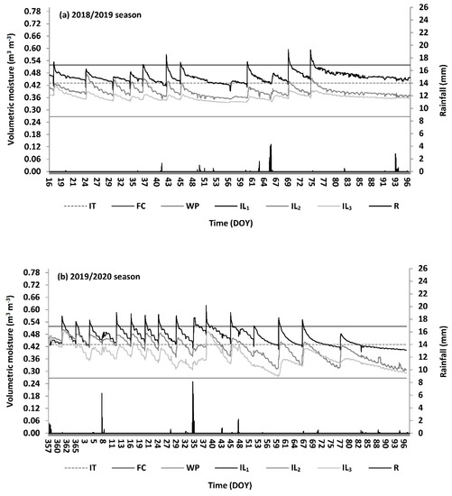
4.1. Meteorological Measurements and Soil Moisture Conditions
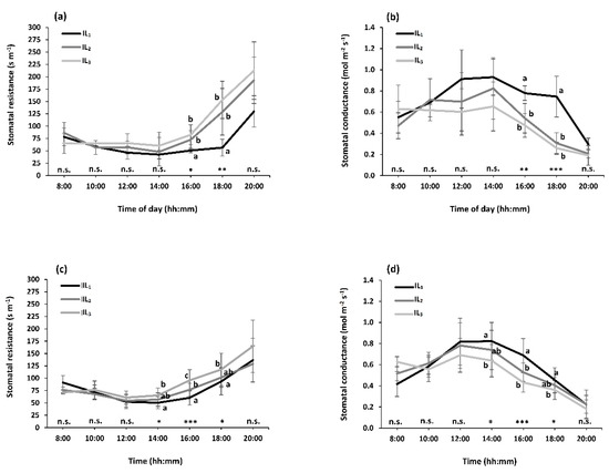
4.2. Stomatal Resistance Patterns under Irrigation Levels
4.3. Canopy Resistance Patterns and Estimation
Estimation of Using LA and LH Approach
5. Conclusions
Author Contributions
Funding
Institutional Review Board Statement
Informed Consent Statement
Data Availability Statement
Acknowledgments
Conflicts of Interest
References
- FAO. World Food and Agriculture—Statistical Yearbook 2021; FAO: Rome, Italy, 2021. [Google Scholar] [CrossRef]
- Bártová, V.; Bárta, J.; Brabcová, A.; Zdráhal, Z.; Horáčková, V. Amino acid composition and nutritional value of four cultivated South American potato species. J. Food Compos. Anal. 2015, 40, 78–85. [Google Scholar] [CrossRef]
- Devaux, A.; Kromann, P.; Ortiz, O. Potatoes for Sustainable Global Food Security. Potato Res. 2014, 57, 185–199. [Google Scholar] [CrossRef]
- INE. Statistical Database of Agricultural, Forest and Livestock 2021. Available online: https://www.ine.cl/estadisticas/economia/agricultura-agroindustria-y-pesca (accessed on 25 May 2022).
- Valdés-Pineda, R.; Pizarro, R.; García-Chevesich, P.; Valdés, J.B.; Olivares, C.; Vera, M.; Balocchi, F.; Pérez, F.; Vallejos, C.; Fuentes, R.; et al. Water governance in Chile: Availability, management and climate change. J. Hydrol. 2014, 519, 2538–2567. [Google Scholar] [CrossRef]
- López-Olivari, R. Manejo y Uso Eficiente del Agua de Riego Intrapredial Para el Sur de Chile: Conceptos y Consideraciones Básicas en Métodos y Programación de Riego para Optimizar el Recurso Hídrico, 1st ed.; Instituto de Investigaciones Agropecuarias (INIA-Chile), Centro Regional Carillanca-Temuco: Temuco, Chile, 2016; pp. 6–10. [Google Scholar]
- Liu, F.; Shahnazari, A.; Andersen, M.N.; Jacobsen, S.-E.; Jensen, C.R. Physiological responses of potato (Solanum tuberosum L.) to partial root-zone drying: ABA signalling, leaf gas exchange, and water use efficiency. J. Exp. Bot. 2006, 57, 3727–3735. [Google Scholar] [CrossRef] [Green Version]
- El Bergui, O.; Abouabdillah, A.; Bouabid, R.; El Jaouhari, N.; Brouziyne, Y.; Bourioug, M. Agro-physiological response of potato to “sustainable” deficit irrigation in the plain of Saïs, Morocco. E3S Web Conf. 2020, 183, 03001. [Google Scholar] [CrossRef]
- Chai, Q.; Gan, Y.; Zhao, C.; Xu, H.-L.; Waskom, R.M.; Niu, Y.; Siddique, K.H.M. Regulated deficit irrigation for crop production under drought stress. A review. Agron. Sustain. Dev. 2016, 36, 1–21. [Google Scholar] [CrossRef] [Green Version]
- Yactayo, Y.; Ramírez, D.A.; Gutiérrez, R.; Mares, V.; Posadas, A.; Quiroz, R. Effect of partial root-zone drying irrigation timing on potato tuber yield and water use efficiency. Agric. Water Manag. 2013, 123, 65–70. [Google Scholar] [CrossRef]
- Yuan, B.-Z.; Nishiyama, S.; Kang, Y. Effects of different irrigation regimes on the growth and yield of drip-irrigated potato. Agric. Water Manag. 2003, 63, 153–167. [Google Scholar] [CrossRef]
- Onder, S.; Caliskan, M.E.; Onder, D.; Caliskan, S. Different irrigation methods and water stress effects on potato yield and yield components. Agric. Water Manag. 2005, 73, 73–86. [Google Scholar] [CrossRef]
- Shahnazari, A.; Liu, F.; Andersen, M.N.; Jacobsen, S.-E.; Jensen, C.R. Effects of partial root-zone drying on yield, tuber size and water use efficiency in potato under field conditions. Field Crops Res. 2007, 100, 117–124. [Google Scholar] [CrossRef]
- Ierna, A.; Mauromicale, G. Tuber yield and irrigation water productivity in early potatoes as affected by irrigation regime. Agric. Water Manag. 2012, 115, 276–284. [Google Scholar] [CrossRef]
- Alva, A.K.; Moore, A.D.; Collins, H.P. Impact of Deficit Irrigation on Tuber Yield and Quality of Potato Cultivars. J. Crop Improv. 2012, 26, 211–227. [Google Scholar] [CrossRef]
- Ahmadi, S.H.; Agharezaee, M.; Kamgar-Haghighi, A.A.; Sepaskhah, A.R. Effects of dynamic and static deficit and partial root zone drying irrigation strategies on yield, tuber sizes distribution, and water productivity of two field grown potato cultivars. Agric. Water Manag. 2014, 134, 126–136. [Google Scholar] [CrossRef]
- Carli, C.; Yuldashev, F.; Khalikov, D.; Condori, B.; Mares, V.; Monneveux, P. Effect of different irrigation regimes on yield, water use efficiency and quality of potato (Solanum tuberosum L.) in the lowlands of Tashkent, Uzbekistan: A field and modeling perspective. Field Crops Res. 2014, 163, 90–99. [Google Scholar] [CrossRef]
- Gordon, R.; Brown, D.M.; Madani, A.; Dixon, M.A. An assessment of potato sap flow as affected by soil water status, solar radiation and vapour pressure deficit. Can. J. Soil Sci. 1999, 79, 245–253. [Google Scholar] [CrossRef]
- Rana, G.; Katerji, N. Measurement and estimation of actual evapotranspiration in the field under Mediterranean climate: A review. Eur. J. Agron. 2000, 13, 125–153. [Google Scholar] [CrossRef]
- Zhang, L.; Dawes, W.R.; Walker, G.R. Response of mean annual evapotranspiration to vegetation changes at catchment scale. Water Resour. Res. 2001, 37, 701–708. [Google Scholar] [CrossRef]
- Amer, K.H.; Hatfield, J.L. Canopy Resistance as Affected by Soil and Meteorological Factors in Potato. Agron. J. 2004, 96, 978–985. [Google Scholar] [CrossRef] [Green Version]
- Farahani, H.J.; Howell, T.A.; Shuttleworth, W.J.; Bausch, W.C. Evapotranspiration: Progress in measurement and modeling in agriculture. Trans. ASABE 2007, 50, 1627–1638. [Google Scholar] [CrossRef]
- Jung, M.; Reichstein, M.; Ciais, P.; Seneviratne, S.I.; Sheffield, J.; Goulden, M.L.; Bonan, G.; Cescatti, A.; Chen, J.; De Jeu, R.; et al. Recent decline in the global land evapotranspiration trend due to limited moisture supply. Nature 2010, 467, 951–954. [Google Scholar] [CrossRef]
- Bastiaanssen, W.G.M.; Cheema, M.J.M.; Immerzeel, W.W.; Miltenburg, I.J.; Pelgrum, H. Surface energy balance and actual evapotranspiration of the transboundary Indus Basin estimated from satellite measurements and the ETLook model. Water Resour. Res. 2012, 48, 1–16. [Google Scholar] [CrossRef] [Green Version]
- Li, S.; Kang, S.; Zhang, L.; Li, F.; Hao, X.; Ortega-Farias, S.; Guo, W.; Ji, S.; Wang, J.; Jiang, X. Quantifying the combined effects of climatic, crop and soil factors on surface resistance in a maize field. J. Hydrol. 2013, 489, 124–134. [Google Scholar] [CrossRef]
- Petropoulos, G.P.; Srivastava, P.K.; Piles, M.; Pearson, S. Earth Observation-Based Operational Estimation of Soil Moisture and Evapotranspiration for Agricultural Crops in Support of Sustainable Water Management. Sustainability 2018, 10, 181. [Google Scholar] [CrossRef] [Green Version]
- Ma, N.; Szilagyi, J.; Zhang, Y. Calibration-Free Complementary Relationship Estimates Terrestrial Evapotranspiration Globally. Water Resour. Res. 2021, 57, e2021WR029691. [Google Scholar] [CrossRef]
- Allen, R.; Pereira, L.; Smith, M. Crop Evapotranspiration-Guidelines for Computing Crop Water Requirements-FAO Irrigation and Drainage; FAO: Rome, Italy, 1998; Volume 56. [Google Scholar]
- Kashyap, P.S.; Panda, R.K. Evaluation of evapotranspiration estimation methods and development of crop-coefficients for potato crop in a sub-humid region. Agric. Water Manag. 2001, 50, 9–25. [Google Scholar] [CrossRef]
- Kadam, S.A.; Gorantiwar, S.D.; Mandre, N.P.; Tale, D.P. Crop Coefficient for Potato Crop Evapotranspiration Estimation by Field Water Balance Method in Semi-Arid Region, Maharashtra, India. Potato Res. 2021, 64, 421–433. [Google Scholar] [CrossRef]
- Ortega-Farias, S.; Irmak, S.; Cuenca, R.H. Editorial: Special issue on evapotranspiration measurement and modeling. Irrig. Sci. 2009, 28, 1–3. [Google Scholar] [CrossRef] [Green Version]
- Ortega-Farias, S.; Olioso, A.; Antonioletti, R.; Brisson, N. Evaluation of the Penman-Monteith model for estimating soybean evapotranspiration. Irrig. Sci. 2004, 23, 1–9. [Google Scholar] [CrossRef]
- Jarvis, P.G. The interpretation of the variations in leaf water potential and stomatal conductance found in canopies in the field. Philos. Trans. R. Soc. B Biol. Sci. 1976, 273, 593–610. [Google Scholar] [CrossRef]
- Katerji, N.; Perrier, A. Modélisation de l’évapotranspiration réelle d’uneparcelle de luzerne: Rôle d’un coefficient cultural. Agronomie 1983, 3, 513–521. [Google Scholar] [CrossRef] [Green Version]
- Stewart, J.B. Modeling surface conductance of pine forest. Agric. For. Meteorol. 1988, 43, 19–35. [Google Scholar] [CrossRef]
- Shuttleworth, W.J.; Gurney, R.J. The theoretical relationship between foliage temperature and canopy resistance in sparse crops. Q. J. R. Meteorol. Soc. 1990, 116, 497–519. [Google Scholar] [CrossRef]
- Massman, W.J. A surface energy balance method for partitioning evapotranspiration data into plant and soil components for a surface with partial canopy cover. Water Resour. Res. 1992, 28, 1723–1732. [Google Scholar] [CrossRef]
- Stannard, D.I. Comparison of Penman–Monteith, Shuttleworth-Wallace, and modified Priestley–Taylor evapotranspiration models for wildland vegetation in semiarid rangeland. Water Resour. Res. 1993, 29, 1379–1392. [Google Scholar] [CrossRef]
- Todorovic, M. Single-layer evapotranspiration model with variable canopy resistance. J. Irrig. Drain. 1999, 125, 35–245. [Google Scholar] [CrossRef]
- Leuning, R.; Zhang, Y.Q.; Rajaud, A.; Cleugh, H.; Tu, K. A simple surface conductance model to estimate regional evaporation using MODIS leaf area index and the Penman–Monteith equation. Water Resour. Res. 2008, 44, W10419. [Google Scholar] [CrossRef]
- García-Santos, G.; Bruijnzeel, L.A.; Dolman, A.J. Modelling canopy conductance under wet and dry conditions in a subtropical cloud forest. Agric. For. Meteorol. 2009, 149, 1565–1572. [Google Scholar] [CrossRef]
- Irmak, S.; Mutiibwa, D. On the dynamics of canopy resistance: Generalized linear estimation and relationships with primary micrometeorological variables. Water Resour. Res. 2010, 46, W08526. [Google Scholar] [CrossRef] [Green Version]
- Li, S.; Zhang, L.; Kang, S.; Tong, L.; Du, T.; Hao, X.; Zhao, P. Comparison of several surface resistance models for estimating crop evapotranspiration over the entire growing season in arid regions. Agric. For. Meteorol. 2015, 208, 1–15. [Google Scholar] [CrossRef]
- Li, S.; Hao, X.; Du, T.; Tong, L.; Zhang, J.; Kang, S. A coupled surface resistance model to estimate crop evapotranspiration in arid region of northwest China. Hydrol. Process. 2014, 28, 2312–2323. [Google Scholar] [CrossRef]
- Kalazich, J.; Uribe, M.; Santos, J.; López, H.; Acuña, I.; Orena, S.; Catalán, P.; Winkler, A. Puyehue-INIA: Variedad de Papa de Alto Rendimiento, Piel Roja, Pulpa Amarilla y Gran Calidad Para Consumo Fresco; Informativo INIA Remehue: Osorno, Chile, 2013; No. 111. [Google Scholar]
- López-Olivari, R.; Ortega-Klose, F. Response of red clover to deficit irrigation: Dry matter yield, populations, and irrigation water use efficiency in southern Chile. Irrig. Sci. 2021, 39, 173–189. [Google Scholar] [CrossRef]
- CIREN Descripciones de Suelos, Materiales y Símbolos. Estudio Agrológico IX Región; Publicación N° 122; Centro de Información de Recursos Naturales (CIREN): Santiago, Chile, 2002; 360p.
- Suleiman, A.A.; Tojo Soler, C.M.; Hoogenboom, J. Evaluation of FAO-56 crop coefficient procedures for deficit irrigation management of cotton in a humid climate. Agric. Water Manag. 2007, 91, 33–42. [Google Scholar] [CrossRef]
- Fouli, Y.; Duiker, S.W.; Fritton, D.D.; Hall, M.H.; Watsond, J.E.; Johnsone, D.H. Double cropping effects on forage yield and the field water balance. Agric. Water Manag. 2012, 115, 104–117. [Google Scholar] [CrossRef]
- Taghvaeian, S.; Chávez, J.L.; Bausch, W.C.; DeJonge, K.C.; Trout, T.J. Minimizing instrumentation requirement for estimating crop water stress index and transpiration of maize. Irrig. Sci. 2014, 32, 53–65. [Google Scholar] [CrossRef]
- Schneider, C.; Rasband, W.; Eliceiri, K. NIH Image to ImageJ: 25 years of image analysis. Nat. Methods 2012, 9, 671–675. [Google Scholar] [CrossRef]
- Rolando, J.L.; Ramírez, D.A.; Yactayo, W.; Monneveux, P.; Quiroz, R. Leaf greenness as a drought tolerance related trait in potato (Solanum tuberosum L.). Environ. Exp. Bot. 2015, 110, 27–35. [Google Scholar] [CrossRef]
- Hack, H.; Gall, H.; Klemke, T.; Klose, R.; Meier, U.; Stauss, R.; Witzenberger, A. Phänologische Entwicklungsstadien der Kartoffel (Solanum tuberosum L.). Codierung und Beschreibung nach der erweiterten BBCH-Skala mit Abbildungen. Nachrichtenbl. Deut. Pflanzenschutzd. 1993, 45, 11–19. [Google Scholar]
- Poblete-Echeverría, C.; Ortega-Farias, S. Estimation of actual evapotranspiration for a drip-irrigated Merlot vineyard using a three-source model. Irrig. Sci. 2009, 28, 65–78. [Google Scholar] [CrossRef]
- Agam, N.; Kustas, W.P.; Alfieri, J.G.; Gao, F.; McKee, L.M.; Prueger, J.H.; Hipps, L.E. Micro-scale spatial variability in soil heat flux (SHF) in a wine-grape vineyard. Irrig. Sci. 2019, 37, 253–268. [Google Scholar] [CrossRef]
- Higashi, A. On the Thermal Conductivity of Soil. J. Fac. Sci. Hokkaido Univ. Ser. 2 1951, 4, 21–29. [Google Scholar]
- Kasubuchi, T. Twin isothermal calorimeter method for the determination of specific heat of soil. Soil Sci. Plant Nutr. 1975, 21, 73–77. [Google Scholar] [CrossRef]
- Maeda, T.; Takenaka, H.; Warkentin, B.P. Physical Properties of Allophane Soils. Adv. Agron. 1977, 29, 229–264. [Google Scholar] [CrossRef]
- Mayer, D.G.; Butler, D.G. Statistical validation. Ecol. Model. 1993, 68, 21–31. [Google Scholar] [CrossRef]
- Stone, R.J. Improved statistical procedure for the evaluation of solar radiation estimation models. Sol. Energy 1993, 51, 289–291. [Google Scholar] [CrossRef]
- Willmott, C.J. On the validation of models. Phys. Geogr. 1981, 2, 184–194. [Google Scholar] [CrossRef]
- Szeicz, G.; Long, I.F. Surface resistance of crop canopies. Water Resour. Res. 1969, 5, 622–633. [Google Scholar] [CrossRef]
- Lhomme, J.P.; Montes, C.; Jacob, F.; Prévot, L. Evaporation from Heterogeneous and Sparse Canopies: On the Formulations Related to Multi-Source Representations. Bound-Lay Meteorol. 2012, 144, 243–262. [Google Scholar] [CrossRef]
- Tech, C. Introduction to Mathematical Modeling of Crop Growth: How the Equations are Derived and Assembled into a Computer Program; Brown Walker Press: Boca Raton, FL, USA, 2006; 256p. [Google Scholar]
- Pachepsky, L.R.; Muschak, M.; Acock, R.; Kobmann, J.; Blechschmidt-Schneider, S.; Willmitzer, L.; Fisahn, J. Calculating leaf boundary layer parameters with the two-dimensional model 2DLEAF comparing transpiration rates of normal (cv. Desiree) and transgenic (sucrose transport antisense) potato plants. Biotronics 1998, 27, 41–52. [Google Scholar]
- Wang, Q.; Fleisher, D.H.; Timlin, D.; Reddy, V.R.; Chun, J.A. Quantifying the measurement errors in a portable open gas-exchange system and their effects on the parameterization of Farquhar et al. model for C3 leaves. Photosynthetica 2012, 50, 223–238. [Google Scholar] [CrossRef]
- Miskoska-Milevska, E.; Dimovska, D.; Popovski, Z.T.; Iljovski, I. Influence of the fertilizers Slavol and Biohumus on potato leaf area and stomatal density. Acta Agric. Serbica 2020, 25, 13–17. [Google Scholar] [CrossRef]
- Katerji, N.; Rana, G. Modelling evapotranspiration of six irrigated crops under Mediterranean climate conditions. Agric. For. Meteorol. 2006, 138, 142–155. [Google Scholar] [CrossRef]
- Pereira, L.S.; Alves, I. Crop water requirements. In Encyclopedia of Soils in the Environment, 1st ed.; Hillel, D., Ed.; Elsevier: London, UK; New York, NY, USA, 2005; pp. 322–334. [Google Scholar] [CrossRef]
- Vachaud, G.; Vauclin, M.; Riou, C.; Chaabouni, Z. Evapotranspiration en zone semi-aride de deux couverts veÂgeÂtaux (gazon, bleÂ) obtenue par plusieurs meÂthodes II. MeÂthodes neutroniques et tensiomeÂtriques. Agronomie 1985, 5, 267–274. [Google Scholar] [CrossRef]
- Franco, J.A.; Abrisqueta, J.M.; Hernansáez, A.; Moreno, F. Water balance in a young almond orchard under drip irrigation with water of low quality. Agric. Water Manag. 2000, 43, 75–98. [Google Scholar] [CrossRef]
- Wang, F.-X.; Kang, Y.; Liu, S.-P. Effects of drip irrigation frequency on soil wetting pattern and potato growth in North China Plain. Agric. Water Manag. 2006, 79, 248–264. [Google Scholar] [CrossRef]
- Harms, T.E.; Konschuh, M.N. Water savings in irrigated potato production by varying hill–furrow or bed–furrow configuration. Agric. Water Manag. 2010, 97, 1399–1404. [Google Scholar] [CrossRef]
- Wen, A.; Zhang, H.; Zhang, J. Photosynthetic Physiology Characteristics of Potato (Solanum Tuberosum) at Tuber Initiation Responses to Water Deficit Regulated with Mulched Drip Irrigation. Adv. Mat. Res. 2014, 838–841, 2370–2373. [Google Scholar] [CrossRef]
- Wheeler, R.M.; Fitzpatrick, A.H.; Tibbitts, T.W. Potatoes as a Crop for Space Life Support: Effect of CO2, Irradiance, and Photoperiod on Leaf Photosynthesis and Stomatal Conductance. Front. Plant Sci. 2019, 10, 1632. [Google Scholar] [CrossRef]
- Hill, D.; Nelson, D.; Hammond, J.; Bell, L. Morphophysiology of Potato (Solanum tuberosum) in Response to Drought Stress: Paving the Way Forward. Front. Plant Sci. 2021, 11, 597554. [Google Scholar] [CrossRef]
- Sun, Y.; Yan, F.; Cui, X.; Liu, F. Plasticity in stomatal size and density of potato leaves under different irrigation and phosphorus regimes. J. Plant Physiol. 2014, 171, 1248–1255. [Google Scholar] [CrossRef]
- Sam, O.; Jeréz, E.; García, D.; Estévez, A.; Falcón, V.; de la Rosa, M.C. Anatomical characteristics of the leaf epidermis of potato plants (Solanum tuberosum L.) under water deficit conditions. Rev. Cultiv. Trop. 1997, 18, 31–37. [Google Scholar]
- Kjelgaard, J.F.; Stockle, C.O. Evaluating surface resistance for estimating corn and potato evapotranspiration with the Penman-Monteith model. Trans. ASAE 2001, 44, 797–805. [Google Scholar] [CrossRef]
- Monteith, J.L. Accomodation between transpiring vegetation and the convective boundary layer. J. Hydrol. 1995, 166, 251–263. [Google Scholar] [CrossRef]
- Alves, I.; Pereira, L.S. Modeling surface resistance from climatic variables? Agric. Water Manag. 2000, 42, 371–385. [Google Scholar] [CrossRef]
- Lecina, S.; Martinez-Cob, A.; Ṕerez, P.G.; Villalobos, F.J.; Baselga, J.J. Fixed versus bulk canopy resistance for reference evapotranspiration estimation using the Penman–Monteith equation under semiarid conditions. Agric. Water Manag. 2003, 60, 181–198. [Google Scholar] [CrossRef] [Green Version]
- Gharsallah, O.; Facchi, A.; Gandolfi, C. Comparison of six evapotranspiration models for a surface irrigated maize agro-ecosystem in Northern Italy. Agric. Water Manag. 2013, 130, 119–130. [Google Scholar] [CrossRef]
- Srivastava, R.K.; Panda, R.K.; Chakraborty, A.; Halder, D. Comparison of actual evapotranspiration of irrigated maize in a sub-humid region using four different canopy resistance based approaches. Agric. Water Manag. 2018, 202, 156–165. [Google Scholar] [CrossRef]
- Hatfield, J.L. Wheat canopy resistance determined by energy balance techniques. Agron. J. 1985, 77, 279–283. [Google Scholar] [CrossRef]
- Rana, G.; Katerji, N.; Mastrorilli, M. Canopy resistance modelling for crops in contrasting water conditions. Phys. Chem. Earth 1998, 23, 433–438. [Google Scholar] [CrossRef]
- Katerji, N.; Rana, G.; Fahed, S. Parameterizing canopy resistance using mechanistic and semi-empirical estimates of hourly evapotranspiration: Critical evaluation for irrigated crops in the Mediterranean. Hydrol. Process 2011, 25, 117–129. [Google Scholar] [CrossRef]
- Bhagsari, A.S.; Webb, R.E.; Phatak, S.C.; Jaworski, C.A. Canopy photosynthesis, stomatal conductance and yield of Solanum tuberosum grown in a warm climate. Am. Potato J. 1988, 65, 393–406. [Google Scholar] [CrossRef]
- Rana, G.; Katerji, N.; Mastorilli, M.; El Moujabber, M. A model for predicting actual evapotranspiration under water stress conditions in a Mediterranean region. Theor. Appl. Climatol. 1997, 56, 45–55. [Google Scholar] [CrossRef]












| Full Irrigation (IL1) | ||||||||||||
|---|---|---|---|---|---|---|---|---|---|---|---|---|
| LA | LH | SL | AL | |||||||||
| Phenological Stages | LAI (m2 m−2) | rst (s m−1) | rc (s m−1) | LAI (m2 m−2) | rst (s m−1) | rc (s m−1) | LAIm (m2 m−2) | rst (s m−1) | rc (s m−1) | LAI (m2 m−2) | rst (s m−1) | rc (s m−1) |
| LD—IE | 1.56 | 38.0 | 13.7 | 1.56 | 38.0 | 27.5 | 2.51 | 38.0 | 28.7 | 1.56 | 38.0 | 55.0 |
| IE—DF | 2.78 | 55.3 | 10.4 | 2.78 | 55.3 | 20.8 | 3.74 | 55.3 | 30.0 | 2.78 | 55.3 | 41.6 |
| DF—RF | 3.45 | 66.6 | 10.0 | 3.45 | 66.6 | 19.9 | 3.74 | 66.6 | 36.8 | 3.45 | 66.6 | 39.9 |
| RF—FS | 2.57 | 90.0 | 17.5 | 2.57 | 90.0 | 35.1 | 3.74 | 90.0 | 49.8 | 2.57 | 90.0 | 70.1 |
| Application of 75% of IL1 (IL2) | ||||||||||||
| LA | LH | SL | AL | |||||||||
| Phenological Stages | LAI (m2 m−2) | rst (s m−1) | rc (s m−1) | LAI (m2 m−2) | rst (s m−1) | rc (s m−1) | LAIm (m2 m−2) | rst (s m−1) | rc (s m−1) | LAI (m2 m−2) | rst (s m−1) | rc (s m−1) |
| LD—IE | 1.26 | 44.6 | 18.7 | 1.26 | 44.6 | 37.4 | 1.26 | 44.6 | 37.4 | 1.26 | 44.6 | 74.9 |
| IE—DF | 2.44 | 63.7 | 13.3 | 2.44 | 63.7 | 26.6 | 3.15 | 63.7 | 40.3 | 2.44 | 63.7 | 53.3 |
| DF—RF | 2.98 | 79.4 | 13.5 | 2.98 | 79.4 | 27.0 | 3.15 | 79.4 | 51.2 | 2.98 | 79.4 | 54.0 |
| RF—FS | 2.19 | 101.7 | 23.9 | 2.19 | 101.7 | 47.7 | 3.15 | 101.7 | 65.2 | 2.19 | 101.7 | 95.4 |
| Application of 60% of IL1 (IL3) | ||||||||||||
| LA | LH | SL | AL | |||||||||
| Phenological Stages | LAI (m2 m−2) | rst (s m−1) | rc (s m−1) | LAI (m2 m−2) | rst (s m−1) | rc (s m−1) | LAIm (m2 m−2) | rst (s m−1) | rc (s m−1) | LAI (m2 m−2) | rst (s m−1) | rc (s m−1) |
| LD—IE | 0.98 | 48.3 | 26.5 | 0.98 | 48.3 | 53.1 | 0.98 | 48.3 | 53.1 | 0.98 | 48.3 | 106.1 |
| IE—DF | 2.21 | 75.8 | 17.7 | 2.21 | 75.8 | 35.3 | 2.79 | 75.8 | 54.6 | 2.21 | 75.8 | 70.6 |
| DF—RF | 2.43 | 97.3 | 20.2 | 2.43 | 97.3 | 40.4 | 2.79 | 97.3 | 71.8 | 2.43 | 97.3 | 80.8 |
| RF—FS | 1.71 | 114.7 | 34.6 | 1.71 | 114.7 | 69.3 | 1.92 | 114.7 | 87.5 | 1.71 | 114.7 | 138.6 |
| ET Models | Irrigation Condition | Total Days (n) | Irrigation Event Ranges (n) & | RMSE (mm) | MAE (mm) | t-Statistic * | Z-Test | ||
|---|---|---|---|---|---|---|---|---|---|
| ETcpLA | IL1 | 177 | 26 | 4.42 | 3.24 | 0.82 | 0.13 | 1.00 | V |
| ETcpLH | IL1 | 177 | 26 | 4.75 | 3.73 | 0.77 | 2.66 | 0.88 | F |
| ETcpSL | IL1 | 177 | 26 | 5.70 | 4.63 | 0.69 | 4.87 | 0.78 | F |
| ETcpAL | IL1 | 177 | 26 | 6.77 | 5.80 | 0.60 | 6.37 | 0.70 | F |
| ETcpLA | IL2 | 177 | 26 | 3.24 | 2.58 | 0.87 | 1.72 | 1.07 | V |
| ETcpLH | IL2 | 177 | 26 | 3.29 | 2.69 | 0.89 | 2.80 | 0.89 | F |
| ETcpSL | IL2 | 177 | 26 | 4.69 | 3.64 | 0.74 | 5.28 | 0.78 | F |
| ETcpAL | IL2 | 177 | 26 | 5.71 | 4.85 | 0.66 | 7.66 | 0.69 | F |
| ETcpLA | IL3 | 177 | 26 | 8.02 | 5.94 | 0.55 | 1.29 | 0.87 | F |
| ETcpLH | IL3 | 177 | 26 | 9.45 | 6.61 | 0.52 | 3.07 | 0.69 | F |
| ETcpSL | IL3 | 177 | 26 | 9.62 | 7.14 | 0.53 | 3.72 | 0.64 | F |
| ETcpAL | IL3 | 177 | 26 | 11.72 | 8.58 | 0.48 | 4.89 | 0.48 | F |
| Approaches | Irrigation Condition | 2018/2019 Season | 2019/2020 Season | ||||
|---|---|---|---|---|---|---|---|
| RMSE (mm d−1) | MAE (mm d−1) | RMSE (mm d−1) | MAE (mm d−1) | ||||
| LA | IL1 | 0.74 | 0.60 | 0.98 | 0.82 | 0.57 | 0.93 |
| LH | IL1 | 0.83 | 0.59 | 0.88 | 1.06 | 0.78 | 0.80 |
| SL | IL1 | 0.95 | 0.71 | 0.80 | 1.35 | 1.03 | 0.71 |
| AL | IL1 | 1.14 | 0.88 | 0.73 | 1.54 | 1.27 | 0.64 |
| LA | IL2 | 0.45 | 0.41 | 0.96 | 0.56 | 0.44 | 1.04 |
| LH | IL2 | 0.65 | 0.49 | 0.85 | 0.75 | 0.57 | 0.86 |
| SL | IL2 | 0.84 | 0.64 | 0.77 | 1.09 | 0.81 | 0.73 |
| AL | IL2 | 1.08 | 0.85 | 0.69 | 1.25 | 1.02 | 0.64 |
| LA | IL3 | 0.63 | 0.55 | 0.96 | 0.68 | 0.56 | 1.09 |
| LH | IL3 | 0.80 | 0.63 | 0.80 | 0.83 | 0.61 | 0.84 |
| SL | IL3 | 1.03 | 0.77 | 0.68 | 1.11 | 0.84 | 0.71 |
| AL | IL3 | 1.21 | 0.94 | 0.61 | 1.27 | 1.03 | 0.57 |
| Phenological Stages | Irrigation Levels | 2018/2019 Season | 2019/2020 Season | ||||||||||||
|---|---|---|---|---|---|---|---|---|---|---|---|---|---|---|---|
| ETcpWB | ETcpLA | ETcpLH | ETcpSL | ETcpAL | IR | Ppe | ETcpWB | ETcpLA | ETcpLH | ETcpSL | ETcpAL | IR | Ppe | ||
| LD—IE | IL1 | - | - | - | - | - | - | - | 38.3 * | 41.9 * | 38.6 * | 37.9 * | 33.5 * | 79.5 | 0.0 |
| IE—DF | IL1 | 86.9 | 78.9 | 70.6 | 66.1 | 58.4 | 103.4 | 0.0 | 87.8 | 71.1 | 61.5 | 53.2 | 49.0 | 100.4 | 2.3 |
| DF—RF | IL1 | 63.2 | 70.7 | 64.3 | 55.2 | 53.7 | 93.1 | 4.6 | 96.9 | 92.1 | 79.9 | 65.4 | 63.6 | 106.2 | 14.0 |
| RF—S | IL1 | 25.8 | 30.9 | 27.2 | 23.8 | 22.0 | 23.7 | 0.0 | 59.8 | 68.7 | 56.8 | 53.1 | 42.7 | 79.7 | 0.0 |
| Total | IL1 | 175.9 | 180.5 | 162.1 | 145.1 | 134.1 | 220.2 | 4.6 | 282.8 | 273.8 | 236.8 | 209.6 | 188.8 | 365.8 | 16.3 |
| LD—IE | IL2 | - | - | - | - | - | - | - | 28.4 * | 37.5 * | 32.9 * | 32.9 * | 26.6 * | 59.6 | 0.0 |
| IE—DF | IL2 | 74.5 | 76.8 | 67.4 | 62.5 | 54.4 | 77.5 | 0.0 | 68.5 | 66.0 | 55.3 | 45.2 | 42.3 | 75.0 | 2.3 |
| DF—RF | IL2 | 57.2 | 70.5 | 62.6 | 52.5 | 51.5 | 69.8 | 4.6 | 70.7 | 81.7 | 66.7 | 50.4 | 48.9 | 79.3 | 14.0 |
| RF—S | IL2 | 23.2 | 28.9 | 25.2 | 21.0 | 20.2 | 16.1 | 0.0 | 73.8 | 52.3 | 38.8 | 37.4 | 25.6 | 59.4 | 0.0 |
| Total | IL2 | 154.9 | 176.2 | 155.2 | 136.0 | 126.1 | 165.1 | 4.6 | 241.4 | 237.5 | 193.7 | 165.9 | 143.4 | 273.3 | 16.3 |
| LD—IE | IL3 | - | - | - | - | - | - | - | 38.0 * | 33.4 * | 27.7 * | 27.7 * | 20.7 * | 47.7 | 0.0 |
| IE—DF | IL3 | 69.7 | 65.2 | 54.3 | 47.4 | 41.0 | 62.0 | 0.0 | 65.5 | 56.7 | 45.1 | 35.6 | 32.9 | 60.0 | 2.3 |
| DF—RF | IL3 | 57.7 | 62.4 | 52.3 | 40.8 | 39.8 | 55.9 | 4.6 | 60.6 | 69.1 | 52.2 | 40.5 | 35.4 | 63.4 | 14.0 |
| RF—S | IL3 | 14.2 | 25.0 | 20.6 | 16.8 | 15.3 | 14.2 | 0.0 | 50.3 | 41.4 | 28.0 | 28.0 | 17.1 | 47.6 | 0.0 |
| Total | IL3 | 141.6 | 152.6 | 127.2 | 105.0 | 96.1 | 132.1 | 4.6 | 214.4 | 200.6 | 153.0 | 131.8 | 106.1 | 218.7 | 16.3 |
Publisher’s Note: MDPI stays neutral with regard to jurisdictional claims in published maps and institutional affiliations. |
© 2022 by the authors. Licensee MDPI, Basel, Switzerland. This article is an open access article distributed under the terms and conditions of the Creative Commons Attribution (CC BY) license (https://creativecommons.org/licenses/by/4.0/).
Share and Cite
López-Olivari, R.; Fuentes, S.; Poblete-Echeverría, C.; Quintulen-Ancapi, V.; Medina, L. Site-Specific Evaluation of Canopy Resistance Models for Estimating Evapotranspiration over a Drip-Irrigated Potato Crop in Southern Chile under Water-Limited Conditions. Water 2022, 14, 2041. https://doi.org/10.3390/w14132041
López-Olivari R, Fuentes S, Poblete-Echeverría C, Quintulen-Ancapi V, Medina L. Site-Specific Evaluation of Canopy Resistance Models for Estimating Evapotranspiration over a Drip-Irrigated Potato Crop in Southern Chile under Water-Limited Conditions. Water. 2022; 14(13):2041. https://doi.org/10.3390/w14132041
Chicago/Turabian StyleLópez-Olivari, Rafael, Sigfredo Fuentes, Carlos Poblete-Echeverría, Valeria Quintulen-Ancapi, and Leovijildo Medina. 2022. "Site-Specific Evaluation of Canopy Resistance Models for Estimating Evapotranspiration over a Drip-Irrigated Potato Crop in Southern Chile under Water-Limited Conditions" Water 14, no. 13: 2041. https://doi.org/10.3390/w14132041
APA StyleLópez-Olivari, R., Fuentes, S., Poblete-Echeverría, C., Quintulen-Ancapi, V., & Medina, L. (2022). Site-Specific Evaluation of Canopy Resistance Models for Estimating Evapotranspiration over a Drip-Irrigated Potato Crop in Southern Chile under Water-Limited Conditions. Water, 14(13), 2041. https://doi.org/10.3390/w14132041

