Study of the Effects of Ten-Year Microclimate Regulation Based on Different Vegetation Type Combinations in a City Riparian Zone
Abstract
:1. Introduction
2. Materials and Methods
2.1. Study Area
2.2. Monitoring Method
2.3. Analysis Method
3. Results
3.1. Temperature Regulatory Function
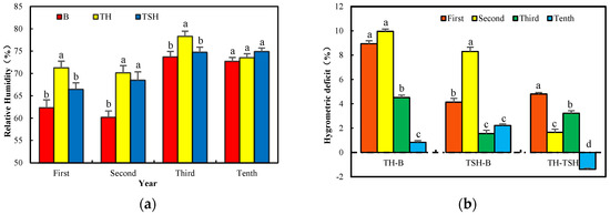
3.2. Relative Humidity Regulatory Function
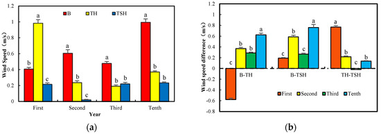
3.3. Wind speed regulatory function
3.4. Human Comfort Index
4. Discussion
4.1. Temperature
4.2. Relative Humidity
4.3. Wind Speed
4.4. Human Comfort Level
5. Conclusions
Author Contributions
Funding
Institutional Review Board Statement
Informed Consent Statement
Data Availability Statement
Conflicts of Interest
References
- Zelnik, I.; Mavrič Klenovšek, V.; Gaberščik, A. Complex Undisturbed Riparian Zones Are Resistant to Colonisation by Invasive Alien Plant Species. Water 2020, 12, 345. [Google Scholar] [CrossRef] [Green Version]
- Olokeogun, O.S.; Kumar, M. An indicator based approach for assessing the vulnerability of riparian ecosystem under the influence of urbanization in the Indian Himalayan city, Dehradun. Ecol. Indic. 2020, 119, 106796. [Google Scholar] [CrossRef]
- Palmer, M.; Ruhi, A. Linkages between flow regime, biota, and ecosystem processes: Implications for river restoration. Science 2019, 365, eaaw2087. [Google Scholar] [CrossRef] [PubMed] [Green Version]
- Bai, X.Y.; Zhu, X.F.; Jiang, H.B.; Wang, Z.Q.; He, C.G.; Sheng, L.X.; Zhuang, J. Purification Effect of Sequential Constructed Wetland for the Polluted Water in Urban River. Water 2020, 12, 1054. [Google Scholar] [CrossRef] [Green Version]
- Åberg, E.U.; Tapsell, S. Revisiting the River Skerne: The long-term social benefits of river rehabilitation. Landsc. Urban Plan. 2013, 113, 94–103. [Google Scholar] [CrossRef]
- Chen, D.S.; Pan, Y.Q.; Jin, X.L.; Du, H.Y.; Li, M.C.; Jiang, P.H. The delineation of ecological redline area for catchment sustainable management from the perspective of ecosystem services and social needs: A case study of the Xiangjiang watershed, China. Ecol. Indic. 2021, 121, 107130. [Google Scholar] [CrossRef]
- Li, K.; Zhang, Z.X.; Yang, H.J.; Bian, H.F.; Jiang, H.B.; Sheng, L.X.; He, C.G. Effects of instream restoration measures on the physical habitats and benthic macroinvertebrates in an agricultural headwater stream. Ecol. Eng. 2018, 122, 252–262. [Google Scholar] [CrossRef]
- Wang, W.D.; Yang, T.; Guan, W.B.; Peng, W.X.; Wu, P.; Zhong, B.; Zhou, C.D.; Chen, Q.H.; Zhang, R.B.; Xu, K.W.; et al. Ecological wetland paradigm drives water source improvement in the stream network of Yangtze River Delta. J. Environ. Sci. 2021, 110, 55–72. [Google Scholar] [CrossRef]
- Wang, Y.; Dewancker, B.J.; Qi, Q.L. Citizens’ preferences and attitudes towards urban waterfront spaces: A case study of Qiantang riverside development. Environ. Sci. Pollut. Res. 2020, 27, 45787–45801. [Google Scholar] [CrossRef]
- Zhao, Y.W.; Zhou, L.Q.; Dong, B.Q.; Dai, C. Health assessment for urban rivers based on the pressure, state and response framework—A case study of the Shiwuli River. Ecol. Indic. 2019, 99, 324–331. [Google Scholar] [CrossRef]
- Capon, S.J.; Chambers, L.E.; Mac Nally, R.; Naiman, R.J.; Davies, P.; Marshall, N.; Pittock, J.; Reid, M.; Capon, T.; Douglas, M.; et al. Riparian Ecosystems in the 21st Century: Hotspots for Climate Change Adaptation? Ecosystems 2013, 16, 359–381. [Google Scholar] [CrossRef]
- Wohl, E.; Lane, S.N.; Wilcox, A.C. The science and practice of river restoration. Water Resour. Res. 2015, 51, 5974–5997. [Google Scholar] [CrossRef] [Green Version]
- Palmer, M.A.; Hondula, K.L.; Koch, B.J. Ecological Restoration of Streams and Rivers: Shifting Strategies and Shifting Goals. Annu. Rev. Ecol. Evol. Syst. 2014, 45, 247–269. [Google Scholar] [CrossRef] [Green Version]
- Barradas, V.L.; Esperon-Rodriguez, M. Ecophysiological Vulnerability to Climate Change in Mexico City’s Urban Forest. Front. Ecol. Evol. 2021, 9, 732250. [Google Scholar] [CrossRef]
- Skelhorn, C.; Lindley, S.; Levermore, G. The impact of vegetation types on air and surface temperatures in a temperate city: A fine scale assessment in Manchester, UK. Landsc. Urban Plan. 2014, 121, 129–140. [Google Scholar] [CrossRef]
- Leal Filho, W.; Wolf, F.; Castro-Díaz, R.; Li, C.L.; Ojeh, V.N.; Gutiérrez, N.; Nagy, G.J.; Savić, S.; Natenzon, C.E.; Al-Amin, A.Q.; et al. Addressing the urban heat islands effect: A cross-country assessment of the role of green infrastructure. Sustainability 2021, 13, 753. [Google Scholar] [CrossRef]
- Li, Y.L.; Fan, S.X.; Li, K.; Zhang, Y.; Kong, L.X.; Xie, Y.F.; Dong, L. Large urban parks summertime cool and wet island intensity and its influencing factors in Beijing, China. Urban For. Urban Green. 2013, 113, 94–103. [Google Scholar] [CrossRef]
- Lemonsu, A.; Amosse, A.; Chouillou, D.; Gaudio, N.; Haoues-Jouve, S.; Hidalgo, J.; Le Bras, J.; Legain, D.; Marchandise, S.; Tudoux, B. Comparison of microclimate measurements and perceptions as part of a global evaluation of environmental quality at neighbourhood scale. Int. J. Biometeorol. 2020, 64, 265–276. [Google Scholar] [CrossRef] [Green Version]
- Voogt, J.A.; Oke, T.R. Thermal remote sensing of urban climates. Remote Sens. Environ. 2003, 86, 370–384. [Google Scholar] [CrossRef]
- Ciobotaru, A.M.; Andronache, I.; Dey, N.; Petralli, M.; Daneshvar, M.R.M.; Wang, Q.; Radulovic, M.; Pintilii, R.D. Temperature-Humidity Index described by fractal Higuchi Dimension affects tourism activity in the urban environment of Focşani City (Romania). Arch. Meteorol. Geophys. Bioclimatol. Ser. B 2019, 136, 1009–1019. [Google Scholar] [CrossRef]
- Chow, W.T.L.; Akbar, S.N.; Assyakirin, B.A.; Heng, S.L.; Roth, M. Assessment of measured and perceived microclimates within a tropical urban forest. Urban For. Urban Green. 2016, 16, 62–75. [Google Scholar] [CrossRef] [Green Version]
- John, R.M. Climatology Fundamentals and Applications; McGraw-Hill Book: New York, NY, USA, 1974. [Google Scholar]
- Lin, B.B.; Egerer, M.H.; Liere, H.; Jha, S.; Bichier, P.; Philpott, S.M. Local- and landscape-scale land cover affects microclimate and water use in urban gardens. Sci. Total Environ. 2018, 610, 570–575. [Google Scholar] [CrossRef] [PubMed]
- Sodoudi, S.; Zhang, H.W.; Chi, X.L.; Mueller, F.; Li, H.D. The influence of spatial configuration of green areas on microclimate and thermal comfort. Urban For. Urban Green. 2018, 34, 85–96. [Google Scholar] [CrossRef]
- Thorsson, S.; Honjo, T.; Lindberg, F.; Eliasson, I.; Lim, E.M. Thermal comfort and outdoor activity in Japanese urban public places. Environ. Behav. 2007, 39, 660–684. [Google Scholar] [CrossRef]
- Wang, Y.R.; Duan, M.J.; Wang, Q.; Xie, J.F.; Yang, C. Ecological health care effect of healthy greenways in urban community belt parks. Landsc. Ecol. Eng. 2022, 25, 1–16. [Google Scholar] [CrossRef]
- Kovács, B.; Tinya, F.; Ódor, P. Stand structural drivers of microclimate in mature temperate mixed forests. Agric. For. Meteorol. 2017, 234, 11–21. [Google Scholar] [CrossRef] [Green Version]
- Wang, C.; Liang, W.; Yan, J.; Jin, Z.; Zhang, W.; Li, X. Effects of vegetation restoration on local microclimate on the Loess Plateau. J. Geogr. Sci. 2022, 32, 291–316. [Google Scholar] [CrossRef]
- Barčić, D.; Habjanec, V.; Španjol, Ž.; Šango, M. Analysis of raising windbreaks on the mediterranean Karst of Croatia. Sumar. List 2021, 145, 175–183. [Google Scholar] [CrossRef]
- Liu, B.Y.; Lian, Z.F.; Brown, R.D. Effect of Landscape Microclimates on Thermal Comfort and Physiological Wellbeing. Sustainability 2019, 11, 5387. [Google Scholar] [CrossRef] [Green Version]
- Johansson, E.; Yahia, M.W.; Arroyo, I.; Bengs, C. Outdoor thermal comfort in public space in warm-humid Guayaquil, Ecuador. Int. J. Biometeorol. 2018, 62, 387–399. [Google Scholar] [CrossRef] [Green Version]
- Yan, H.Y.; Liu, Q.Q.; Zhao, W.; Pang, C.M.; Dong, M.R.; Zhang, H.; Gao, J.Y.; Wang, H.Y.; Hu, B.; Yang, L.; et al. The coupled effect of temperature, humidity, and air movement on human thermal response in hot–humid and hot–arid climates in summer in China. Build. Environ. 2020, 177, 106898. [Google Scholar] [CrossRef]









| Evaluation Grade | THI | Human Comfort Level |
|---|---|---|
| 1 | ≤21.1 | High comfortable |
| 2 | >21.1~23.8 | Comfortable |
| 3 | >23.8~26.6 | Average comfortable |
| 4 | >26.6~29.4 | Uncomfortable |
| 5 | >29.4 | Extraordinary uncomfortable |
Publisher’s Note: MDPI stays neutral with regard to jurisdictional claims in published maps and institutional affiliations. |
© 2022 by the authors. Licensee MDPI, Basel, Switzerland. This article is an open access article distributed under the terms and conditions of the Creative Commons Attribution (CC BY) license (https://creativecommons.org/licenses/by/4.0/).
Share and Cite
Gao, J.; Li, D.; Jiang, H.; Wen, Y.; Deng, G.; Wang, X.; Zhang, C.; He, C. Study of the Effects of Ten-Year Microclimate Regulation Based on Different Vegetation Type Combinations in a City Riparian Zone. Water 2022, 14, 1932. https://doi.org/10.3390/w14121932
Gao J, Li D, Jiang H, Wen Y, Deng G, Wang X, Zhang C, He C. Study of the Effects of Ten-Year Microclimate Regulation Based on Different Vegetation Type Combinations in a City Riparian Zone. Water. 2022; 14(12):1932. https://doi.org/10.3390/w14121932
Chicago/Turabian StyleGao, Jie, Dehao Li, Haibo Jiang, Yang Wen, Guangyi Deng, Xue Wang, Chaofan Zhang, and Chunguang He. 2022. "Study of the Effects of Ten-Year Microclimate Regulation Based on Different Vegetation Type Combinations in a City Riparian Zone" Water 14, no. 12: 1932. https://doi.org/10.3390/w14121932
APA StyleGao, J., Li, D., Jiang, H., Wen, Y., Deng, G., Wang, X., Zhang, C., & He, C. (2022). Study of the Effects of Ten-Year Microclimate Regulation Based on Different Vegetation Type Combinations in a City Riparian Zone. Water, 14(12), 1932. https://doi.org/10.3390/w14121932
