Effect of Shelterbelt Construction on Soil Water Characteristic Curves in an Extreme Arid Shifting Desert
Abstract
1. Introduction
2. Materials and Methods
2.1. Study Area
2.2. Sample Collection and Determination
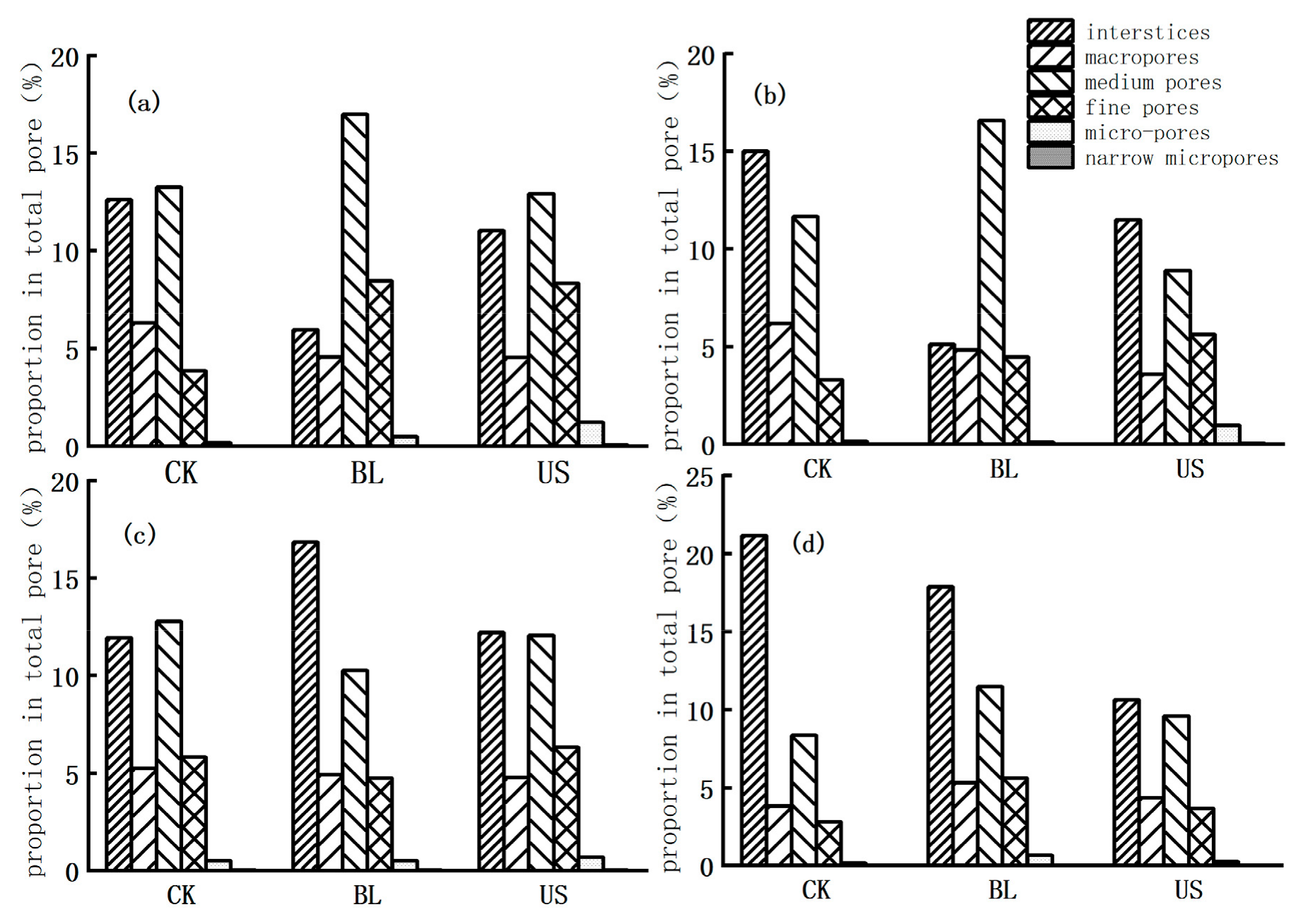
2.3. Calculations of Soil Equivalent Pore Sizes and Moisture Constants
2.4. SWCC Modeling
2.5. SWCC Model Fitting Accuray Assesments
3. Results
3.1. Effects of Artificial Shelterbelt Construction on Soil Physiochemical Properties
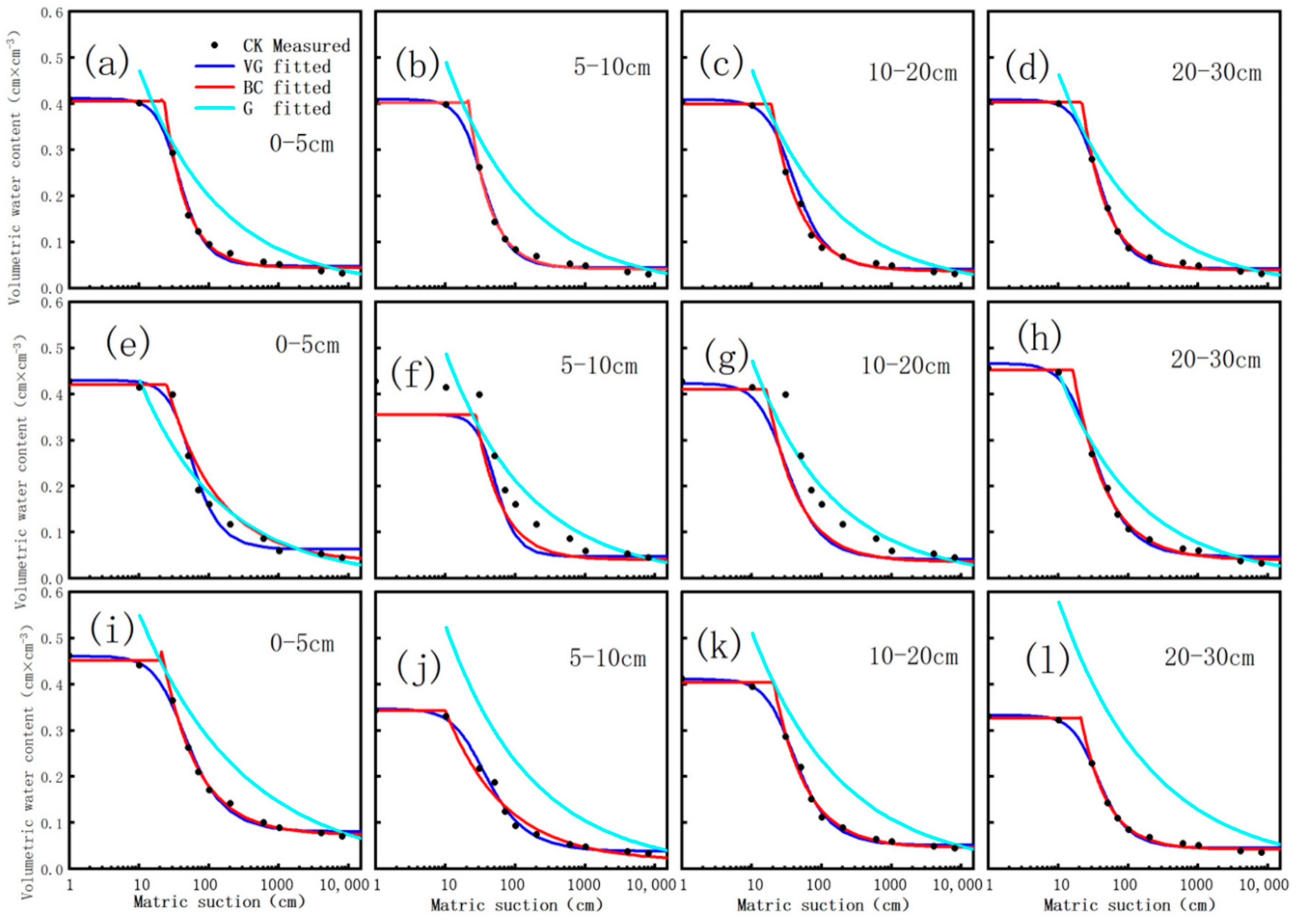
3.2. Screening of Soil Water Characteristic Curve Models
3.3. Effects of Artificial Shelterbelt Construction on Soil Water Retention Performance
4. Discussion
4.1. Artificial Shelterbelt Construction Greatly Changed the Soil Physiochemical Properties
4.2. Artificial Shelterbelt Construction Increased the Soil Water-Holding Capacity
4.3. Screening of SWCC Models for Artificial Shelterbelt
5. Conclusions
Author Contributions
Funding
Institutional Review Board Statement
Informed Consent Statement
Data Availability Statement
Conflicts of Interest
References
- Kaisermann, A.; de Vries, F.T.; Griffiths, R.I.; Bardgett, R.D. Legacy effects of drought on plant–soil feedbacks and plant–plant interactions. New Phytol. 2017, 215, 1413–1424. [Google Scholar] [CrossRef]
- Zhang, Q.; Shao, M.; Jia, X.; Wei, X. Changes in soil physical and chemical properties after short drought stress in semi-humid forests. Geoderma 2019, 338, 170–177. [Google Scholar] [CrossRef]
- Mantovani, D.; Veste, M.; Boldt-Burisch, K.; Fritsch, S.; Koning, L.A.; Freese, D. Carbon allocation, nodulation, and biological nitrogen fixation of black locust (Robinia pseudoacacia L.) under soil water limitation. Ann. For. Res. 2015, 58, 259–274. [Google Scholar] [CrossRef]
- Yu, T.; Feng, Q.; Si, J.; Xi, H.; Li, Z.; Chen, A. Hydraulic redistribution of soil water by roots of two desert riparian phreatophytes in northwest China’s extremely arid region. Plant Soil 2013, 372, 297–308. [Google Scholar] [CrossRef]
- Deng, L.; Wang, K.; Li, J.; Zhao, G.; Shang, G.Z. Effect of soil moisture and atmospheric humidity on both plant productivity and diversity of native grasslands across the Loess Plateau, China. Ecol. Eng. 2016, 94, 525–531. [Google Scholar] [CrossRef]
- Li, X.R.; Ma, F.Y.; Xiao, H.L.; Wang, X.P.; Kim, K.C. Long-term effects of revegetation on soil water content of sand dunes in arid region of Northern China. J. Arid Environ. 2004, 57, 1–16. [Google Scholar] [CrossRef]
- Lei, J.Q.; Li, S.Y.; Jin, Z.Z.; Fan, J.L.; Wang, H.F.; Fan, D.D.; Zhou, H.W.; Gu, F.; Qiu, Y.Z.; Xu, B. Comprehensive eco-environmental effects of the shelter-forest ecological engineering along the Tarim Desert Highway. Chin. Sci. Bull. 2008, 53, 190–202. [Google Scholar] [CrossRef]
- Li, C.; Shi, X.; Mohamad, O.A.; Gao, J.; Xu, X.; Xie, Y. Moderate irrigation intervals facilitate establishment of two desert shrubs in the Taklimakan Desert Highway Shelterbelt in China. PLoS ONE 2017, 12, e0180875. [Google Scholar] [CrossRef]
- Dai, Y.; Zheng, X.J.; Tang, L.S.; Li, Y. Stable oxygen isotopes reveal distinct water use patterns of two Haloxylon species in the Gurbantonggut Desert. Plant Soil 2015, 389, 73–87. [Google Scholar] [CrossRef]
- Zhang, J.G.; Xu, X.W.; Lei, J.Q.; Sun, S.G.; Fan, J.L.; Li, S.Y.; Qiu, Y.Z.; Xu, B. The salt accumulation at the shifting aeolian sandy soil surface with high salinity groundwater drip irrigation in the hinterland of the Taklimakan Desert. Chin. Sci. Bull. 2008, 53, 63–70. [Google Scholar] [CrossRef][Green Version]
- Feikema, P.M.; Morris, J.D.; Connell, L.D. The water balance and water sources of a Eucalyptus plantation over shallow saline groundwater. Plant Soil 2010, 332, 429–449. [Google Scholar] [CrossRef]
- Zhang, J.; Xu, X.; Li, S.; Zhao, Y.; Zhang, A.; Zhang, T.; Jiang, R. Is the Taklimakan Desert Highway Shelterbelt Sustainable to Long-Term Drip Irrigation with High Saline Groundwater? PLoS ONE 2016, 11, e0164106. [Google Scholar] [CrossRef]
- Li, C.; Lei, J.; Zhao, Y.; Xu, X.; Li, S. Effect of saline water irrigation on soil development and plant growth in the Taklimakan Desert Highway shelterbelt. Soil Tillage Res. 2015, 146, 99–107. [Google Scholar] [CrossRef]
- Wang, R.; Kang, Y.; Wan, S.; Hu, W.; Liu, S.; Liu, S. Salt distribution and the growth of cotton under different drip irrigation regimes in a saline area. Agric. Water Manag. 2011, 100, 58–69. [Google Scholar] [CrossRef]
- Zhang, J.G.; Xu, X.W.; Lei, J.Q.; Li, S.Y.; Hill, R.L.; Zhao, Y. The effects of soil salt crusts on soil evaporation and chemical changes in different ages of Taklimakan Desert Shelterbelts. J. Soil Sci. Plant Nutr. 2013, 13, 1019–1028. [Google Scholar] [CrossRef]
- Likos, W.J.; Yao, J. Effects of constraints on van Genuchten parameters for modeling soil-water characteristic curves. J. Geotech. Geoenviron. Eng. 2014, 140, 06014013. [Google Scholar] [CrossRef]
- Guo, Z.Q.; Lai, Y.M.; Jin, J.F.; Zhou, J.R.; Sun, Z.; Zhao, K. Effect of Particle Size and Solution Leaching on Water Retention Behavior of Ion-Absorbed Rare Earth. Geofluids 2020, 2020, 4921807. [Google Scholar] [CrossRef]
- Raghuram, A.S.S.; Basha, B.M.; Moghal, A.A.B. Effect of Fines Content on the Hysteretic Behavior of Water-Retention Characteristic Curves of Reconstituted Soils. J. Mater. Civ. Eng. 2020, 32, 04020057. [Google Scholar] [CrossRef]
- Wang, M.; Liu, H.; Lennartz, B. Small-scale spatial variability of hydro-physical properties of natural and degraded peat soils. Geoderma 2021, 399, 115123. [Google Scholar] [CrossRef]
- Kalhoro, S.A.; Xu, X.; Ding, K.; Chen, W.; Shar, A.G.; Rashid, M. The effects of different land uses on soil hydraulic properties in the Loess Plateau, Northern China. Land Degrad. Dev. 2018, 29, 3907–3916. [Google Scholar] [CrossRef]
- Zhou, H.; Mooney, S.J.; Peng, X. Bimodal Soil Pore Structure Investigated by a Combined Soil Water Retention Curve and X-Ray Computed Tomography Approach. Soil Sci. Soc. Am. J. 2017, 81, 1270–1278. [Google Scholar] [CrossRef]
- Alves, R.D.; Gitirana, G.F.N., Jr.; Vanapalli, S.K. Advances in the modeling of the soil–water characteristic curve using pore-scale analysis. Comput. Geotech. 2020, 127, 103766. [Google Scholar] [CrossRef]
- Guo, Z.Q.; Zhou, J.R.; Zhou, K.F.; Jin, J.F.; Wang, X.J.; Kui, Z. Soil-water characteristics of weathered crust elution-deposited rare earth ores. Trans. Nonferrous Met. Soc. China 2021, 31, 1452–1464. [Google Scholar] [CrossRef]
- Zhao, G.; Zou, W.; Han, Z.; Wang, D.X.; Wang, X.Q. Evolution of soil-water and shrinkage characteristics of an expansive clay during freeze-thaw and drying-wetting cycles. Cold Reg. Sci. Technol. 2021, 186, 103275. [Google Scholar] [CrossRef]
- Wu, T.N.; Wu, G.L.; Wang, D.; Shi, Z.H. Soil-hydrological properties response to grazing exclusion in a steppe grassland of the Loess Plateau. Environ. Earth Sci. 2013, 71, 745–752. [Google Scholar] [CrossRef]
- Matlan, S.J.; Taha, M.R.; Mukhlisin, M. Assessment of model consistency for determination of soil–water characteristic curves. Arab. J. Sci. Eng. 2016, 41, 1233–1240. [Google Scholar] [CrossRef]
- Genuchten, V.; Th, M.A. Closed-form equation for predicting the hydraulic conductivity of unsaturated soils. Soil Sci. Soc. Am. J. 1980, 44, 892–898. [Google Scholar] [CrossRef]
- Gardner, W.R. Some steady-state solutions of the unsaturated moisture flow equation with application to evaporation from a water table. Soil Sci. 1958, 85, 228–232. [Google Scholar] [CrossRef]
- Brooks, R.H.; Corey, A.T. Hydraulic Properties of Porous Media; Colorado State University Hydrology Paper No. 3 (March); Colorado State University: Fort Collins, CO, USA, 1964. [Google Scholar]
- Libutti, A.; Francavilla, M.; Monteleone, M. Hydrological Properties of a Clay Loam Soil as Affected by Biochar Application in a Pot Experiment. Agronomy 2021, 11, 489. [Google Scholar] [CrossRef]
- John, A.; Fuentes, H.R.; George, F. Characterization of the water retention curves of Everglades wetland soils. Geoderma 2021, 381, 114724. [Google Scholar] [CrossRef]
- Gao, Z.; Hu, X.; Li, X.Y. Changes in soil water retention and content during shrub encroachment process in Inner Mongolia, northern China. Catena 2021, 206, 105528. [Google Scholar] [CrossRef]
- Cao, B.; Tian, Y.; Gui, R.; Liu, Y. Experimental Study on the Effect of Key Factors on the Soil–Water Characteristic Curves of Fine-Grained Tailings. Front. Environ. Sci. 2021, 9, 710986. [Google Scholar] [CrossRef]
- Ren, X.; Kang, J.; Ren, J.; Chen, X.; Zhang, M. A method for estimating soil water characteristic curve with limited experimental data. Geoderma 2020, 360, 114013. [Google Scholar] [CrossRef]
- Andrabi, S.G.; Ghazanfari, E.; Vahedifard, F. An empirical relationship between Brooks–Corey and Fredlund–Xing soil water retention models. J. Porous Media 2019, 22, 1423–1437. [Google Scholar] [CrossRef]
- Jahara, M.S.; Muhammad, M.; Raihan, T.M. Performance evaluation of four-parameter models of the soil-water characteristic curve. Sci. World J. 2014, 2014, 569851. [Google Scholar]
- Zhou, J.; Yu, J.L. Influences affecting the soil-water characteristic curve. J. Zhejiang Univ. Sci. A 2005, 6, 797–804. [Google Scholar] [CrossRef]
- Lai, J.; Wang, Q. Comparison of Soil Water Retention Curve Model. J. Soil Water Conserv. 2003, 17, 137–140. [Google Scholar]
- Dang, M.; Chai, J.; Xu, Z.; Qin, Y.; Cao, J.; Liu, F. Soil water characteristic curve test and saturated-unsaturated seepage analysis in Jiangcungou municipal solid waste landfill, China. Eng. Geol. 2020, 264, 105374. [Google Scholar] [CrossRef]
- Jiang, X.; Wu, L.; Wei, Y. Influence of Fine Content on the Soil–Water Characteristic Curve of Unsaturated Soils. Geotech. Geol. Eng. 2019, 38, 1371–1378. [Google Scholar] [CrossRef]
- Lu, Y.; Abuel-Naga, H.; Leong, E.C.; Bouazza, A.; Lock, P. Effect of water salinity on the water retention curve of geosynthetic clay liners. Geotext. Geomembr. 2018, 46, 707–714. [Google Scholar] [CrossRef]
- Xing, X.; Ma, X. Differences in loam water retention and shrinkage behavior: Effects of various types and concentrations of salt ions. Soil Tillage Res. 2017, 167, 61–72. [Google Scholar] [CrossRef]
- Dong, Y.Y.; Zhao, C.; Yu, Z.T.; Wang, D.D.; Ban, C.G. Characteristic Curves and Models Analysis of Soil Water in Interdune at the Southern Edge of Gurbantunggut Desert. J. Soil Water Conserv. 2017, 31, 166–171, (In Chinese with English Abstract). [Google Scholar]
- Ding, X.Y.; Zhou, Z.B.; Lei, J.Q.; Wang, Y.D.; Lu, J.J.; Li, X.J. Analysis and comparison of models for soil water characteristic curves of Tarim Desert Highway Shelterbelt. Arid Land Geogr. 2015, 38, 985–993, (In Chinese with English Abstract). [Google Scholar]
- Bayat, H.; Ebrahimi, E. Effects of various input levels and different soil water retention curve models on water content estimation using different statistical methods. Hydrol. Res. 2016, 47, 312–332. [Google Scholar] [CrossRef]
- Li, S.; Xie, Y.; Xin, Y.; Liu, G.; Wang, W.; Gao, X.; Zhai, J.R.; Li, J. Validation and Modification of the Van Genuchten Model for Eroded Black Soil in Northeastern China. Water 2020, 12, 2678. [Google Scholar] [CrossRef]
- Sun, F.; Xiao, B.; Li, S.; Kidron, G.J. Towards moss biocrust effects on surface soil water holding capacity: Soil water retention curve analysis and modeling. Geoderma 2021, 399, 115120. [Google Scholar] [CrossRef]
- Soil Survey Staff. Kellogg Soil Survey Laboratory Methods Manual; Soil Survey Investigations Report No. 42, Version 5.0; Burt, R., Soil Survey Staff, Eds.; USDA Natural Resources Conservation Service: Lincoln, NE, USA, 2014.
- Chen, J.; Chai, H.; Gillerman, L.; Liu, C.; Zhang, L. Impact of treated waste water quality on repellent and wettable soil water characteristic curve. Trans. Chin. Soc. Agric. Eng. 2018, 34, 121–127, (In Chinese with English Abstract). [Google Scholar]
- Gao, H.; Guo, S.; Liu, W.; Li, M.; Zhang, J. Spatial Variability of Soil Water Retention Curve under Fertilization Practices in Arid-highland of the Loess Plateau. Trans. Chin. Soc. Agric. Mach. 2014, 45, 161–165+176, (In Chinese with English Abstract). [Google Scholar]
- Zhang, J.; Wang, Q.; Wang, W.; Zhang, X. The dispersion mechanism of dispersive seasonally frozen soil in western Jilin Province. Bull. Eng. Geol. Environ. 2021, 80, 5493–5503. [Google Scholar] [CrossRef]
- Li, S.; Lu, L.; Gao, Y.; Zhang, Y.; Shen, D. An Analysis on the Characteristics and Influence Factors of Soil Salinity in the Wasteland of the Kashgar River Basin. Sustainability 2022, 14, 3500. [Google Scholar] [CrossRef]
- Zhang, G.S.; Chan, K.Y.; Oates, A.; Heenan, D.P.; Huang, G.B. Relationship between soil structure and runoff/soil loss after 24 years of conservation tillage. Soil Tillage Res. 2007, 92, 122–128. [Google Scholar] [CrossRef]
- Lipiec, J.; Walczak, R.; Witkowska-Walczak, B.; Nosalewicz, A.; Słowińska-Jurkiewicz, A.; Sławiński, C. The effect of aggregate size on water retention and pore structure of two silt loam soils of different genesis. Soil Tillage Res. 2007, 97, 239–246. [Google Scholar] [CrossRef]
- Lan, Z.; Zhao, Y.; Zhang, J.; Yang, X.; Sial, T.A.; Khan, M.N. Effects of the long-term fertilization on pore and physicochemical characteristics of loess soil in Northwest China. Agron. J. 2020, 112, 4741–4751. [Google Scholar] [CrossRef]
- Zhang, J.; Zuo, X.; Zhou, X.; Lv, P.; Lian, J.; Yue, X. Long-term grazing effects on vegetation characteristics and soil properties in a semiarid grassland, northern China. Environ. Monit. Assess. 2017, 189, 216. [Google Scholar] [CrossRef]
- Keesstra, S.; Pereira, P.; Novara, A.; Brevik, E.C.; Azorin-Molina, C.; Parras-Alcántara, L.; Jordán, A.; Cerdà, A. Effects of soil management techniques on soil water erosion in apricot orchards. Sci. Total Environ. 2016, 551, 357–366. [Google Scholar] [CrossRef] [PubMed]
- Yuan, C.; Feng, S.; Wang, J.; Huo, Z.; Ji, Q. Effects of irrigation water salinity on soil salt content distribution, soil physical properties and water use efficiency of maize for seed production in arid Northwest China. Int. J. Agric. Biol. Eng. 2018, 11, 137–145. [Google Scholar] [CrossRef]
- Cheng, M.; Wang, H.; Fan, J.; Wang, X.; Sun, X.; Yang, L.; Zhang, S.; Xiang, Y.; Zhang, F. Crop yield and water productivity under salty water irrigation: A global meta-analysis. Agric. Water Manag. 2021, 256, 107105. [Google Scholar] [CrossRef]
- Jia, X.H.; Xin-Rong, L.I.; Wang, X.P.; Fan, H.W.; Zhao, J.L. Primary study of spatial heteroge-neity of soil property in processes of shifting sand fixation in south-easter Tengger Desert. J. Soil Water Conserv. 2003, 17, 46–49, (In Chinese with English Abstract). [Google Scholar]
- Zhang, S.; Ding, G.D.; Yu, M.H.; Gao, G.L.; Zhao, Y.Y.; Wu, G.H.; Wang, L. Effect of straw checkerboards on wind proofing, sand fixation, and ecological restoration in shifting sandy land. Int. J. Environ. Res. Public Health 2018, 15, 2184. [Google Scholar] [CrossRef]
- Shi, Z.J.; Xu, L.H.; Wang, Y.H.; Yang, X.H.; Jia, Z.Q.; Guo, H.; Xiong, W.; Yu, P.T. Effect of rock fragments on macropores and water effluent in a forest soil in the stony mountains of the Loess Plateau, China. Afr. J. Biotechnol. 2012, 11, 9350–9361. [Google Scholar]
- Xu, L.H.; Shi, Z.J.; Wang, Y.H.; Chu, X.Z.; Yu, P.T.; Xiong, W. Contribution of rock fragments on formation of forest soil macropores in the stoney mountains of the Loess Plateau, China. J. Food Agric. Environ. 2012, 10, 1220–1226. [Google Scholar]
- Wang, Z.; Li, G.; Li, X.; Shan, S.; Zhang, J.; Li, S.; Fan, J. Characteristics of moisture and salinity of soil in Taklimakan Desert, China. Water Sci. Technol. 2012, 66, 1162–1170. [Google Scholar] [CrossRef] [PubMed][Green Version]
- Webb, N.P.; Strong, C.L.; Chappell, A.; Marx, S.K.; McTainsh, G.H. Soil organic carbon enrichment of dust emissions: Magnitude, mechanisms and its implications for the carbon cycle. Earth Surf. Process. Landf. 2013, 38, 1662–1671. [Google Scholar] [CrossRef]
- Du, H.; Li, S.; Webb, N.P.; Zuo, X.; Liu, X. Soil organic carbon (SOC) enrichment in aeolian sediments and SOC loss by dust emission in the desert steppe, China. Sci. Total Environ. 2021, 798, 149189. [Google Scholar] [CrossRef] [PubMed]
- Chen, S.Y.; Huang, J.P.; Li, J.X.; Jia, R.; Jiang, N.X.; Kang, L.T.; Ma, X.J.; Xie, T.T. Comparison of dust emissions, transport, and deposition between the Taklimakan Desert and Gobi Desert from 2007 to 2011. Sci. China Earth Sci. 2017, 60, 1338–1355. [Google Scholar] [CrossRef]
- Hu, C.; Wang, H.; Wu, Y.; Lu, J.; Liu, C. Difference of Soil Water Characteristic Curves of Subtropical Soils with NaCl Solutions Treatments and Models Optimization. Trans. Chin. Soc. Agric. Mach. 2018, 49, 290–296+329, (In Chinese with English Abstract). [Google Scholar]
- Wei, Y.; Wang, H.; Yu, W.U.; Jia, R.; Jiang, N.; Kang, L.; Ma, X.; Xie, T. Effect of Biochar on Soil Hydrodynamic Parameters under Different Slopes. Trans. Chin. Soc. Agric. Mach. 2019, 50, 231–240, (In Chinese with English Abstract). [Google Scholar]
- Sun, X.; Fang, K.; Fei, Y.; She, D. Structure and Hydraulic Characteristics of Saline Soil Improved by Applying Biochar Based on Micro-CT Scanning. Trans. Chin. Soc. Agric. Mach. 2019, 50, 242–249, (In Chinese with English Abstract). [Google Scholar]
- Ortiz, A.C.; Jin, L. Chemical and hydrological controls on salt accumulation in irrigated soils of southwestern U.S. Geoderma 2021, 391, 114976. [Google Scholar] [CrossRef]
- Cox, C.; Jin, L.; Ganjegunte, G.; Borrok, D.; Lougheed, V.; Ma, L. Soil quality changes due to flood irrigation in agricultural fields along the Rio Grande in western Texas. Appl. Geochem. 2018, 90, 87–100. [Google Scholar] [CrossRef]
- Ferretti, G.; Di, G.D.; Faccini, B.; Coltorti, M. Mitigation of sodium risk in a sandy agricultural soil by the use of natural zeolites. Environ. Monit. Assess. 2018, 190, 646. [Google Scholar] [CrossRef]
- Qi, Z.; Feng, H.; Zhao, Y.; Zhang, T.; Yang, A.; Zhang, Z. Spatial distribution and simulation of soil moisture and salinity under mulched drip irrigation combined with tillage in an arid saline irrigation district, northwest China. Agric. Water Manag. 2018, 201, 219–231. [Google Scholar] [CrossRef]
- Thyagaraj, T.; Salini, U. Effect of pore fluid osmotic suction on matric and total suctions of compacted clay. Geotechnique 2015, 65, 952–960. [Google Scholar] [CrossRef]
- Yang, G.; Liu, S.; Yan, K.; Tian, L.; Li, P.; Li, X.; He, X. Effect of Drip Irrigation with Brackish Water on the Soil Chemical Properties for a Typical Desert Plant (Haloxylon Ammodendron) in the Manas River Basin. Irrig. Drain. 2020, 69, 460–471. [Google Scholar] [CrossRef]
- Abbasi, Y.; Ghanbarian-Alavijeh, B.; Liaghat, A.M. Evaluation of Pedotransfer Functions for Estimating Soil Water Retention Curve of Saline and Saline-Alkali Soils of Iran. Pedosphere 2011, 21, 230–237. [Google Scholar] [CrossRef]
- Nuth, M.; Laloui, L. Advances in modelling hysteretic water retention curve in deformable soils. Comput. Geotech. 2008, 35, 835–844. [Google Scholar] [CrossRef]






| Soil Depth (cm) | Location | Bulk Density (g/cm3) | EC (µS/cm) | pH | Organic Carbon (g/kg) | Soil Mechanical Composition (%) | Soil Texture | ||
|---|---|---|---|---|---|---|---|---|---|
| Sand (0.05–2 mm) | Silt (0.002–0.05 mm) | Clay (0–0.002 mm) | |||||||
| 0–5 | CK | 1.55 a | 451 c | 9.39 a | 0.208 c | 89.05 | 2.83 | 8.12 | Sandy |
| BL | 1.43 b | 19,215 a | 8.73 a | 1.765 b | 82.38 | 9.01 | 8.61 | Loamy sand | |
| US | 1.25 c | 10,175 b | 9.15 a | 3.222 a | 65.33 | 25.46 | 9.21 | Sandy loam | |
| 5–10 | CK | 1.49 b | 762 c | 8.69 a | 0.379 a | 89.34 | 2.73 | 7.93 | Sandy |
| BL | 1.53 a | 4340 b | 8.8 a | 1.15 a | 86.92 | 4.81 | 8.27 | Loamy sand | |
| US | 1.44 c | 6680 a | 8.95 a | 1.715 a | 87.94 | 4.36 | 7.7 | Loamy sand | |
| 10–20 | CK | 1.47c | 2455 a | 8.62 b | 0.788 a | 90.17 | 1.84 | 7.99 | Sandy |
| BL | 1.51a | 854.5 c | 8.71 b | 1.058 a | 86.09 | 4.63 | 9.28 | Loamy sand | |
| US | 1.5b | 1157 b | 9.6 a | 1.182 a | 88.48 | 3.34 | 8.18 | Loamy sand | |
| 20–30 | CK | 1.47 b | 3240 a | 8.82 c | 0.83 ab | 87.97 | 4.87 | 7.16 | Sandy |
| BL | 1.6 a | 265 c | 9.52 b | 0.412 b | 87.49 | 2.7 | 9.81 | Loamy sand | |
| US | 1.44 c | 951.5 b | 10.11 a | 0.912 a | 88.09 | 1.31 | 10.6 | Loamy sand | |
| Location | Soil Depth (cm) | VG Model | BC Model | G Model | |||
|---|---|---|---|---|---|---|---|
| R2 | RMSE (%) | R2 | RMSE (%) | R2 | RMSE (%) | ||
| CK | 0–5 | 0.994 | 0.0102 | 0.997 | 0.0079 | 0.919 | 0.0682 |
| 5–10 | 0.996 | 0.0082 | 0.998 | 0.0071 | 0.906 | 0.0862 | |
| 10–20 | 0.998 | 0.0150 | 0.996 | 0.0090 | 0.917 | 0.0710 | |
| 20–30 | 0.998 | 0.0631 | 0.998 | 0.0059 | 0.908 | 0.0636 | |
| BL | 0–5 | 0.987 | 0.0165 | 0.977 | 0.0259 | 0.944 | 0.0395 |
| 5–10 | 0.997 | 0.0067 | 0.992 | 0.0117 | 0.884 | 0.0787 | |
| 10–20 | 0.997 | 0.0078 | 0.998 | 0.0054 | 0.935 | 0.0704 | |
| 20–30 | 0.995 | 0.0100 | 0.997 | 0.0082 | 0.948 | 0.0431 | |
| US | 0–5 | 0.996 | 0.0086 | 0.998 | 0.0050 | 0.934 | 0.0765 |
| 5–10 | 0.993 | 0.0089 | 0.984 | 0.0147 | 0.934 | 0.1133 | |
| 10–20 | 0.997 | 0.0073 | 0.995 | 0.0095 | 0.913 | 0.0822 | |
| 20–30 | 0.997 | 0.0060 | 0.998 | 0.0048 | 0.908 | 0.1576 | |
| mean | 0.9955 | 0.0140 | 0.9941 | 0.0096 | 0.9206 | 0.0792 | |
| Location | Soil Depth (cm) | VG Model | BC Model | G Model | ||||||||
|---|---|---|---|---|---|---|---|---|---|---|---|---|
| θr (%) | θs (%) | a (cm−1) | n | θr (%) | θs (%) | a (cm−1) | λ | a | b | a × b | ||
| CK | 0–5 | 0.048 | 0.411 | 0.032 | 2.841 | 0.044 | 0.405 | 0.044 | 0.728 | 0.375 | 0.728 | 0.273 |
| 5–10 | 0.044 | 0.409 | 0.036 | 2.805 | 0.041 | 0.402 | 0.047 | 0.663 | 0.373 | 0.663 | 0.247 | |
| 10–20 | 0.041 | 0.409 | 0.033 | 2.428 | 0.036 | 0.400 | 0.053 | 0.708 | 0.379 | 0.708 | 0.268 | |
| 20–30 | 0.042 | 0.409 | 0.033 | 2.690 | 0.039 | 0.403 | 0.046 | 0.733 | 0.383 | 0.733 | 0.281 | |
| BL | 0–5 | 0.063 | 0.430 | 0.022 | 2.670 | 0.043 | 0.421 | 0.040 | 0.990 | 0.366 | 0.990 | 0.362 |
| 5–10 | 0.047 | 0.355 | 0.022 | 3.291 | 0.040 | 0.355 | 0.037 | 0.710 | 0.363 | 0.710 | 0.258 | |
| 10–20 | 0.041 | 0.423 | 0.044 | 2.302 | 0.036 | 0.409 | 0.062 | 0.711 | 0.379 | 0.711 | 0.269 | |
| 20–30 | 0.047 | 0.467 | 0.044 | 2.257 | 0.040 | 0.452 | 0.062 | 0.826 | 0.381 | 0.826 | 0.315 | |
| US | 0–5 | 0.080 | 0.461 | 0.031 | 2.160 | 0.073 | 0.451 | 0.045 | 0.774 | 0.290 | 0.774 | 0.224 |
| 5–10 | 0.038 | 0.347 | 0.040 | 2.074 | 0.016 | 0.343 | 0.101 | 0.616 | 0.352 | 0.616 | 0.217 | |
| 10–20 | 0.051 | 0.411 | 0.034 | 2.295 | 0.046 | 0.403 | 0.049 | 0.711 | 0.339 | 0.711 | 0.241 | |
| 20–30 | 0.045 | 0.333 | 0.035 | 2.552 | 0.043 | 0.326 | 0.047 | 0.521 | 0.328 | 0.521 | 0.171 | |
| Correlation Degree | pH | EC (µS/cm) | Organic Carbon (g/kg) | Bulk Density (g/cm3) | Sand (0.05–2 mm) | Slit (0.002–0.05 mm) | Clay (0–0.002 mm) |
|---|---|---|---|---|---|---|---|
| a | 0.925 | 0.684 | 0.783 | 0.930 | 0.926 | 0.744 | 0.917 |
| n | 0.939 | 0.694 | 0.794 | 0.952 | 0.948 | 0.781 | 0.922 |
| Depth | Location | θs (%) | θf (%) | θr (%) | θa (%) | θra (%) |
|---|---|---|---|---|---|---|
| 0–5 | CK | 40.92 | 13.89 | 4.75 | 9.13 | 9.13 |
| BL | 42.73 | 23.46 | 6.31 | 17.15 | 17.14 | |
| US | 46.11 | 23.67 | 8.05 | 15.61 | 15.56 | |
| 5–10 | CK | 40.67 | 12.21 | 4.40 | 7.80 | 7.80 |
| BL | 35.80 | 16.46 | 4.74 | 11.72 | 11.72 | |
| US | 34.32 | 14.39 | 3.82 | 10.56 | 10.51 | |
| 10–20 | CK | 40.36 | 15.90 | 4.06 | 11.84 | 11.83 |
| BL | 41.41 | 13.65 | 4.13 | 9.53 | 9.51 | |
| US | 41.20 | 17.51 | 5.14 | 12.38 | 12.35 | |
| 20–30 | CK | 40.57 | 14.07 | 4.24 | 9.83 | 9.83 |
| BL | 45.67 | 15.84 | 4.70 | 11.14 | 11.12 | |
| US | 39.59 | 12.38 | 4.54 | 8.59 | 8.52 |
Publisher’s Note: MDPI stays neutral with regard to jurisdictional claims in published maps and institutional affiliations. |
© 2022 by the authors. Licensee MDPI, Basel, Switzerland. This article is an open access article distributed under the terms and conditions of the Creative Commons Attribution (CC BY) license (https://creativecommons.org/licenses/by/4.0/).
Share and Cite
Ma, C.; Tang, L.; Chang, W.; Jaffar, M.T.; Zhang, J.; Li, X.; Chang, Q.; Fan, J. Effect of Shelterbelt Construction on Soil Water Characteristic Curves in an Extreme Arid Shifting Desert. Water 2022, 14, 1803. https://doi.org/10.3390/w14111803
Ma C, Tang L, Chang W, Jaffar MT, Zhang J, Li X, Chang Q, Fan J. Effect of Shelterbelt Construction on Soil Water Characteristic Curves in an Extreme Arid Shifting Desert. Water. 2022; 14(11):1803. https://doi.org/10.3390/w14111803
Chicago/Turabian StyleMa, Chuanyu, Luobin Tang, Wenqian Chang, Muhammad Tauseef Jaffar, Jianguo Zhang, Xiong Li, Qing Chang, and Jinglong Fan. 2022. "Effect of Shelterbelt Construction on Soil Water Characteristic Curves in an Extreme Arid Shifting Desert" Water 14, no. 11: 1803. https://doi.org/10.3390/w14111803
APA StyleMa, C., Tang, L., Chang, W., Jaffar, M. T., Zhang, J., Li, X., Chang, Q., & Fan, J. (2022). Effect of Shelterbelt Construction on Soil Water Characteristic Curves in an Extreme Arid Shifting Desert. Water, 14(11), 1803. https://doi.org/10.3390/w14111803

