Evaluating the Influence of Deficit Irrigation on Fruit Yield and Quality Indices of Tomatoes Grown in Sandy Loam and Silty Loam Soils
Abstract
:1. Introduction
2. Materials and Methods
2.1. Experimental Site and Procedure
2.2. Soil and Water Quality Data
2.3. Irrigation Water Application
2.4. Evapotranspiration Estimation (Hargreaves Model)
- ETo—anticipated daily evapotranspiration in millimeters per day (mm/day)
- Λ—Latent heat of vaporization (MJ kg−1)
- Ra—Solar radiation (MJ m−2 day−1)
- Tmax—Maximum daily air temperature (°C)
- Tmin—Minimum daily air temperature (°C)
- Tmean—Mean daily air temperature (°C)
2.5. Data Collection
2.5.1. Biomass, Chlorophyll, Fruit Bottom Temperature, and Marketable Yield Measurement
2.5.2. Fruit Quality Characteristics Induced by Water Stress
2.5.3. Extraction Solvents
2.5.4. Apparatus
2.5.5. Lycopene Extraction
2.6. Analyzed Data
3. Results
3.1. Measurement of Soil Water Content
3.2. Evapotranspiration ETo and Moisture Content in the Soil
3.3. Correlation between HS-Based Evapotranspiration and TDR-Based Soil Water Content
3.4. Effect of Water Above-Ground Biomass, Below-Ground Biomass, and Chlorophyll
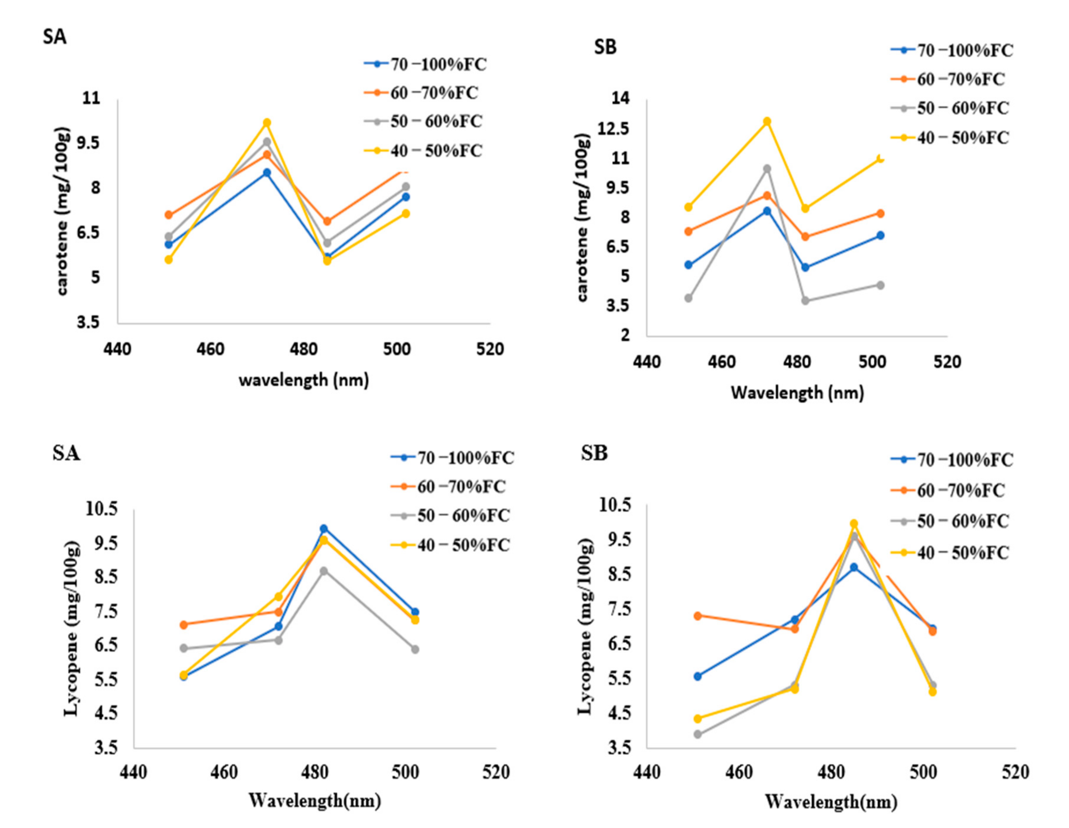
3.5. Absorption Spectra
3.6. Fruit Quality Characteristics Induced by Water Stress
3.7. Water Stress vs. Marketable Yield
4. Discussion
5. Conclusions
Author Contributions
Funding
Institutional Review Board Statement
Informed Consent Statement
Data Availability Statement
Acknowledgments
Conflicts of Interest
References
- Kiple, K.F.; Coneè, O.K. The Cambridge World History of Food; Cambridge University Press: Cambridge, UK, 2000; Volume 1, ISBN 978-0-521-40214-9. [Google Scholar]
- Basit, A.; Hassnain, M.A.; Ullah, I.; Shah, S.T.; Zuhair, S.A.; Ullah, I. Quality Indices of Tomato Plant as Affected by Water Stress Conditions and Chitosan Application. Pure Appl. Biol. 2020, 9, 1364–1375. [Google Scholar] [CrossRef]
- Koh, E.; Charoenprasert, S.; Mitchell, A.E. Effect of Industrial Tomato Paste Processing on Ascorbic Acid, Flavonoids and Carotenoids and Their Stability over One-Year Storage. J. Sci. Food Agric. 2012, 92, 23–28. [Google Scholar] [CrossRef] [PubMed]
- Klunklin, W.; Savage, G. Effect on Quality Characteristics of Tomatoes Grown under Well-Watered and Drought Stress Conditions. Foods 2017, 6, 56. [Google Scholar] [CrossRef] [PubMed] [Green Version]
- Bojórquez, R.M.C.; Gallego, J.G.; Collado, P.S. Functional Properties and Health Benefits of Lycopene. Nutr. Hosp. 2013, 28, 6–15. [Google Scholar]
- Melfi, M.T.; Nardiello, D.; Cicco, N.; Candido, V.; Centonze, D. Simultaneous Determination of Water- and Fat-Soluble Vitamins, Lycopene and Beta-Carotene in Tomato Samples and Pharmaceutical Formulations: Double Injection Single Run by Reverse-Phase Liquid Chromatography with UV Detection. J. Food Compos. Anal. 2018, 70, 9–17. [Google Scholar] [CrossRef]
- George, B.; Kaur, C.; Khurdiya, D.S.; Kapoor, H.C. Antioxidants in Tomato (Lycopersicum esculentum) as a Function of Genotype. Food Chem. 2004, 84, 45–51. [Google Scholar] [CrossRef]
- Katsoulas, N.; Kittas, C.; Dimokas, G.; Lykas, C.H. Effect of Irrigation Frequency on Rose Flower Production and Quality. Bios. Eng. 2006, 93, 237–244. [Google Scholar] [CrossRef]
- Rosales, M.A.; Ruiz, J.M.; Hernandez, J.; Soriano, T.; Castilla, N.; Romero, L.; Rosales, M.A.; Ruiz, J.M.; Hernandez, J.; Soriano, T.; et al. Antioxidant Content and Ascorbate Metabolism in Cherry Tomato Exocarp in Relation to Temperature and Solar Radiation. J. Sci. Food Agric. 2006, 86, 1545–1551. [Google Scholar] [CrossRef]
- Murshed, R.; Lopez-Lauri, F.; Sallanon, H. Effect of Water Stress on Antioxidant Systems and Oxidative Parameters in Fruits of Tomato (Solanum Lycopersicon L., Cv. Micro-Tom). Physiol. Mol. Biol. Plants 2013, 19, 363–378. [Google Scholar] [CrossRef] [Green Version]
- Zhang, H.; Xiong, Y.; Huang, G.; Xu, X.; Huang, Q. Effects of Water Stress on Processing Tomatoes Yield, Quality and Water Use Efficiency with Plastic Mulched Drip Irrigation in Sandy Soil of the Hetao Irrigation District. Agric. Water Manag. 2017, 179, 205–214. [Google Scholar] [CrossRef]
- Idso, S.B. Non-Water Stressed Baselines: A Key to Measuring and Interpreting Plant Water Stress. Agric. Meteorol. 1982, 27, 59–70. [Google Scholar] [CrossRef]
- Giuliani, M.M.; Nardella, E.; Gagliardi, A.; Gatta, G. Deficit Irrigation and Partial Root-Zone Drying Techniques in Processing Tomato Cultivated under Mediterranean Climate Condition. Sustainability 2017, 9, 2197. [Google Scholar] [CrossRef] [Green Version]
- Zhang, H.; Han, M.; Chavez, J.L.; Lan, Y. Improvement in Estimation of Soil Water Deficit by Integrating Airborne Imagery Data into a Soil Water Balance Model. Int. J. Agric. Biol. Eng. 2017, 10, 37–46. [Google Scholar]
- Quinet, M.; Angosto, T.; Yuste-Lisbona, F.J.; Blanchard-Gros, R.; Bigot, S.; Martinez, J.P.; Lutts, S. Tomato Fruit Development and Metabolism. Front. Plant Sci. 2019, 10, 1554. [Google Scholar] [CrossRef] [Green Version]
- Conti, V.; Romi, M.; Guarnieri, M.; Cantini, C.; Cai, G. Italian Tomato Cultivars under Drought Stress Show Different Content of Bioactives in Pulp and Peel of Fruits. Foods 2022, 11, 270. [Google Scholar] [CrossRef]
- Isah, T. Stress and Defense Responses in Plant Secondary Metabolites Production. Biol. Res. 2019, 52, 39. [Google Scholar] [CrossRef] [Green Version]
- Yin, Y.G.; Kobayashi, Y.; Sanuki, A.; Kondo, S.; Fukuda, N.; Ezura, H.; Sugaya, S.; Matsukura, C. Salinity Induces Carbohydrate Accumulation and Sugar-Regulated Starch Biosynthetic Genes in Tomato (Solanum lycopersicum L. Cv. ‘Micro Tom’) Fruits in an ABA- and Osmotic Stress-Independent Manner. J. Exp. Bot. 2010, 61, 563–574. [Google Scholar] [CrossRef]
- Helyes, L.; Szuvandzsiev, P.; Neményi, A.; Pék, Z.; Lugasi, A. Different Water Supply and Stomatal Conductance Correlates with Yield Quantity and Quality Parameters. Acta Hortic. 2013, 971, 119–126. [Google Scholar] [CrossRef]
- Nemeskéri, E.; Neményi, A.; Bocs, A.; Pék, Z.; Helyes, L. Physiological Factors and Their Relationship with the Productivity of Processing Tomato under Different Water Supplies. Water 2019, 11, 586. [Google Scholar] [CrossRef] [Green Version]
- Ihuoma, S.O.; Madramootoo, C.A. Sensitivity of Spectral Vegetation Indices for Monitoring Water Stress in Tomato Plants. Comput. Electron. Agric. 2019, 163, 104860. [Google Scholar] [CrossRef]
- Jackson, R.D.; Idso, S.B.; Reginato, R.J.; Pinter, P.J. Canopy Temperature as a Crop Water Stress Indicator. Water Resour. Res. 1981, 17, 1133–1138. [Google Scholar] [CrossRef]
- Idso, S.B.; Jackson, R.D.; Pinter, P.J.; Hatfield, J.H. Normalizing the Stress Degree-Day Parameter for Environmental Variability. Agric. Meteorol. 1981, 24, 45–55. [Google Scholar] [CrossRef]
- Sepaskhah, A.R.; Kashefipour, S.M. Relationships between Leaf Water Potential, CWSI, Yield and Fruit Quality of Sweet Lime under Drip Irrigation. Agric. Water Manag. 1994, 25, 13–21. [Google Scholar] [CrossRef]
- Alordzinu, K.E.; Li, J.; Lan, Y.; Appiah, S.A.; Al Aasmi, A.; Wang, H. Rapid Estimation of Crop Water Stress Index on Tomato Growth. Sensors 2021, 21, 5142. [Google Scholar] [CrossRef] [PubMed]
- Cantore, V.; Lechkar, O.; Karabulut, E.; Sellami, M.H.; Albrizio, R.; Boari, F.; Todorovic, M. Combined Effect of Deficit Irrigation and Strobilurin Application on Yield, Fruit Quality and Water Use Efficiency of “Cherry” Tomato (Solanum lycopersicum L.). Agric. Water Manag. 2016, 167, 53–61. [Google Scholar] [CrossRef]
- Zinkernagel, J.; Maestre-Valero, J.F.; Seresti, S.Y.; Intrigliolo, D.S. New Technologies and Practical Approaches to Improve Irrigation Management of Open Field Vegetable Crops. Agric. Water Manag. 2020, 242, 106404. [Google Scholar] [CrossRef]
- El-Marsafawy, S.M.; Swelam, A.; Ghanem, A. Evolution of Crop Water Productivity in the Nile Delta over Three Decades (1985–2015). Water 2018, 10, 1168. [Google Scholar] [CrossRef] [Green Version]
- Martínez-Fernández, J.; González-Zamora, A.; Sánchez, N.; Gumuzzio, A. A Soil Water Based Index as a Suitable Agricultural Drought Indicator. J. Hydrol. 2015, 522, 265–273. [Google Scholar] [CrossRef]
- Zotarelli, L.; Dukes, M.D.; Scholberg, J.M.S.; Munoz-Carpena, R. Tomato Nitrogen Accumulation and Fertilizer Use Efficiency on a Sandy Soil, as Affected by Nitrogen Rate and Irrigation Scheduling. Agric. Water Manag. 2009, 96, 1247–1258. [Google Scholar] [CrossRef]
- Alordzinu, K.E.; Li, J.; Lan, Y.; Appiah, S.A.; Al Aasmi, A.; Wang, H.; Liao, J.; Sam-Amoah, L.K.; Qiao, S. Remote Sensing of Environment Ground-Based Hyperspectral Remote Sensing for Estimating Water Stress in Tomato Growth in Sandy Loam and Silty Loam Soils. Sensors 2021, 21, 5705. [Google Scholar] [CrossRef]
- Alhaj Hamoud, Y.; Shaghaleh, H.; Sheteiwy, M.; Guo, X.; Elshaikh, N.A.; Ullah Khan, N.; Oumarou, A.; Rahim, S.F. Impact of Alternative Wetting and Soil Drying and Soil Clay Content on the Morphological and Physiological Traits of Rice Roots and Their Relationships to Yield and Nutrient Use-Efficiency. Agric. Water Manag. 2019, 223, 105706. [Google Scholar] [CrossRef]
- Hargreaves, G.H.; Samani, Z.A. Estimating Potential Evapotranspiration. J. Irrig. Drain. Div. 1982, 108, 223–230. [Google Scholar] [CrossRef]
- Hargreaves, G.H.; Samani, Z.A. Reference Crop Evapotranspiration from Temperature. Appl. Eng. Agric. 1985, 1, 96–99. [Google Scholar] [CrossRef]
- Feng, Y.; Jia, Y.; Cui, N.; Zhao, L.; Li, C.; Gong, D. Calibration of Hargreaves Model for Reference Evapotranspiration Estimation in Sichuan Basin of Southwest China. Agric. Water Manag. 2017, 181, 1–9. [Google Scholar] [CrossRef]
- Bai, H.; Purcell, L.C. Aerial Canopy Temperature Differences between Fast- and Slow-Wilting Soya Bean Genotypes. J. Agron. Crop. Sci. 2018, 204, 243–251. [Google Scholar] [CrossRef]
- Bausch, W.C.; Diker, K.; Khosla, R.; Paris, J.F. Estimating Corn Nitrogen Status Using Ground–Based and Satellite Multispectral Data. Remote Sens. Modeling Ecosyst. Sustain. 2004, 5544, 489–498. [Google Scholar] [CrossRef]
- Gitelson, A.A.; Viña, A.; Ciganda, V.; Rundquist, D.C.; Arkebauer, T.J. Remote Estimation of Canopy Chlorophyll Content in Crops. Geophys. Res. Lett. 2005, 32, 1–4. [Google Scholar] [CrossRef] [Green Version]
- Association of Official Agricultural Chemistry. Official Methods of Analysis International, 18th ed.; AOAC: Washington, DC, USA, 2005. [Google Scholar]
- Li, Y.; Sun, Y.; Liao, S.; Zou, G.; Zhao, T.; Chen, Y.; Yang, J.; Zhang, L. Effects of Two Slow-Release Nitrogen Fertilizers and Irrigation on Yield, Quality, and Water-Fertilizer Productivity of Greenhouse Tomato. Agric. Water Manag. 2017, 186, 139–146. [Google Scholar] [CrossRef]
- Nyabundi, J.O.; Hsia, T.C. Effects of Water Stress on Growth and Yield of Field-Grown Tomatoes. H. Biomass Partitioning between Vegetative and Productive Growth. E. Afr. Agric. J. 2009, 55, 53–61. [Google Scholar]
- Selahle, M.K.; Sivakumar, D.; Soundy, P. Effect of Photo-Selective Nettings on Post-Harvest Quality and Bioactive Compounds in Selected Tomato Cultivars. J. Sci. Food Agric. 2014, 94, 2187–2195. [Google Scholar] [CrossRef]
- Abdul-Hammed, M.; Bello, I.A.; Oladoye, S.O. Simultaneous Spectrophotometric Determination of Lycopene and Beta-Carotene Concentrations in Carotenoid Mixtures of the Extracts from Tomatoes, Papaya and Orange Juice. Pak. J. Sci. Ind. Res. Ser. B Biol. Sci. 2013, 56, 90–97. [Google Scholar] [CrossRef]
- Bunghez, I.R.; Raduly, M.; Doncea, S.; Aksahin, I.; Ion, R.M. Lycopene Determination in Tomatoes by Different Spectral Techniques (UV-VIS, FTIR and HPLC). Dig. J. Nanomater. Biostruct. 2011, 6, 1349–1356. [Google Scholar]
- Wu, I. A Simple Evapotranspiration Model for Hawaii: The Hargreaves Model; Engineer’s Notebook No. 106; Cooperative Extension Service, CTAHR: Honolulu, HI, USA, 1997; pp. 1–2. [Google Scholar]
- Schelde, K.; Ringgaard, R.; Herbst, M.; Thomsen, A.; Friborg, T.; Søgaard, H. Comparing Evapotranspiration Rates Estimated from Atmospheric Flux and TDR Soil Moisture Measurements. Vadose Zone J. 2011, 10, 78–83. [Google Scholar] [CrossRef]
- Kirda, C.; Cetin, M. Evapotranspiration Measurements of Greenhouse Grown Tomato, Melon and Cucumber. In Proceedings of the M. Şefik Yeşilsoy International Symposium on Arid Region Soils (YISARS), International Agrohydrology Research and Training Center, İzmir, Turkey, 21–24 September 1998; pp. 73–78. [Google Scholar]
- Valdés, H.; Ortega-Farias, S.; Argote, M.; Leyton, B.; Olioso, A.; Paillán, H. Estimation of Evapotranspiration over a Greenhouse Tomato Crop Using the Penman-Monteith Equation. Acta Hortic. 2004, 664, 477–482. [Google Scholar] [CrossRef]
- Parkash, V.; Singh, S. A Review on Potential Plant-Basedwater Stress Indicators for Vegetable Crops. Sustainability 2020, 12, 3945. [Google Scholar] [CrossRef]
- Shi, X.; Han, W.; Zhao, T.; Tang, J. Decision support system for variable rate irrigation based on UAV multispectral remote sensing. Sensors 2019, 19, 2880. [Google Scholar] [CrossRef] [Green Version]
- Albergel, C.; Dutra, E.; Munier, S.; Calvet, J.C.; Munoz-Sabater, J.; De Rosnay, P.; Balsamo, G. ERA-5 and ERA-Interim Driven ISBA Land Surface Model Simulations: Which One Performs Better? Hydrol. Earth Syst. Sci. 2018, 22, 3515–3532. [Google Scholar] [CrossRef] [Green Version]
- Allen, G.; Pereira, S.; Raes, D.; Smith, M. Crop Evapotranspiration. FAO Irrig. Drain. Pap. 1998, 56, 300. [Google Scholar]
- Sharma, S.K.; Le-Marguer, M. Lycopene in Tomatoes and Tomato Pulp Fractions. Ital. J. Food Sci. 1996, 2, 107–113. [Google Scholar]
- Pék, Z.; Szuvandzsiev, P.; Daood, H.; Neményi, A.; Helyes, L. Effect of Irrigation on Yield Parameters and Antioxidant Profiles of Processing Cherry Tomato. Open Life Sci. 2014, 9, 383–395. [Google Scholar] [CrossRef] [Green Version]
- Birhanu, K.; Tilahun, K. Fruit Yield and Quality of Drip-Irrigated Tomato under Deficit Irrigation. Afr. J. Food Agric. Nutr. Dev. 2010, 10, 2142. [Google Scholar] [CrossRef]
- Alordzinu, K.E.; Jiuhao, L.; Appiah, S.A.; Aasmi, A.A.L.; Blege, P.K.; Afful, E.A. Water Stress Affects the Physio-Morphological Development of Tomato Growth. Afr. J. Agric. Res. 2021, 17, 733–742. [Google Scholar] [CrossRef]
- Lu, J.; Shao, G.; Cui, J.; Wang, X.; Keabetswe, L. Yield, Fruit Quality and Water Use Efficiency of Tomato for Processing under Regulated Deficit Irrigation: A Meta Analysis. Agric. Water Manag. 2019, 222, 30. [Google Scholar] [CrossRef]
- Takács, S.; Pék, Z.; Csányi, D.; Daood, H.G.; Szuvandzsiev, P.; Palotás, G.; Helyes, L. Influence of Water Stress Levels on the Yield and Lycopene Content of Tomato. Water 2020, 12, 2165. [Google Scholar] [CrossRef]
- Zhang, C.; Filella, I.; Liu, D.; Ogaya, R.; Llusià, J.; Asensio, D.; Peñuelas, J. Photochemical Reflectance Index (PRI) for Detecting Responses of Diurnal and Seasonal Photosynthetic Activity to Experimental Drought and Warming in a Mediterranean Shrubland. Remote Sens. 2017, 9, 1189. [Google Scholar] [CrossRef] [Green Version]
- Espinoza, C.Z.; Khot, L.R.; Sankaran, S.; Jacoby, P.W. High Resolution Multispectral and Thermal Remote Sensing-Based Water Stress Assessment in Subsurface Irrigated Grapevines. Remote Sens. 2017, 9, 961. [Google Scholar] [CrossRef] [Green Version]
- Liu, J.; Hu, T.; Feng, P.; Wang, L.; Yang, S. Tomato Yield and Water Use Efficiency Change with Various Soil Moisture and Potassium Levels during Different Growth Stages. PLoS ONE 2019, 14, e0213643. [Google Scholar] [CrossRef]
- Nuruddin, M.M.; Madramootoo, C.A.; Doods, G.T. Effects of Water Stress at Different Growth Stages on Greenhouse Tomato Yield and Quality. Am. Soc. Hortic. Sci. 2003, 37, 1389–1393. [Google Scholar] [CrossRef] [Green Version]
- Zhang, L.; Zhang, H.; Niu, Y.; Han, W. Mapping Maize Water Stress Based on UAV Multispectral Remote Sensing. Remote Sens. 2019, 11, 605. [Google Scholar] [CrossRef] [Green Version]
- Gerhards, M.; Schlerf, M.; Mallick, K.; Udelhoven, T. Challenges and Future Perspectives of Multi- Hyperspectral Thermal Infrared Remote Sensing for Crop Water-Stress Detection: A Review. Remote Sens. 2019, 11, 1240. [Google Scholar] [CrossRef] [Green Version]
- Zhang, J.; Wang, J.; Chen, J.; Song, H.; Li, S.; Zhao, Y.; Tao, J.; Liu, J. Soil Moisture Determines Horizontal and Vertical Root Extension in the Perennial Grass Lolium perenne L. Growing in Karst Soil. Front. Plant Sci. 2019, 10, 629. [Google Scholar] [CrossRef] [PubMed]
- Patanè, C.; Tringali, S.; Sortino, O. Effects of Deficit Irrigation on Biomass, Yield, Water Productivity and Fruit Quality of Processing Tomato under Semi-Arid Mediterranean Climate Conditions. Sci. Hortic. 2011, 129, 590–596. [Google Scholar] [CrossRef]
- Gamon, J.A.; Huemmrich, K.F.; Wong, C.Y.S.; Ensminger, I.; Garrity, S.; Hollinger, D.Y.; Noormets, A.; Peñuelas, J. A Remotely Sensed Pigment Index Reveals Photosynthetic Phenology in Evergreen Conifers. Proc. Natl. Acad. Sci. USA 2016, 113, 13087–13092. [Google Scholar] [CrossRef] [Green Version]
- Lichtenthaler, H.K. Synthesis of Prenyllipids in Vascular Plants (Including Chlorophylls, Carotenoids, Prenylquinones). Vol. I, Part I: Basic Principles; Matsui, A., Black, C.C., Eds.; CRC Press: Boca Raton, FL, USA, 1982; Volume 1, pp. 405–421. [Google Scholar]
- Lahoz, I.; Pérez-de-Castro, A.; Valcárcel, M.; Macua, J.I.; Beltránd, J.; Rosellóc, S.; Cebolla-Cornejo, J. Effect of Water Deficit on the Agronomical Performance and Quality of Processing Tomato. Sci. Hortic. 2016, 200, 55–65. [Google Scholar] [CrossRef] [Green Version]







| Factors | Level of Factors | Descriptions |
|---|---|---|
| Soil type | SA | Sandy loam soil |
| SB | Silty loam soil | |
| Water stress Treatment | 70–100 %FC | No water stress |
| 60–70 %FC | Moderate water stress | |
| 50–60 %FC | Mid-moderate water stresss | |
| 40–50 %FC | High water stress |
| Soil Texture | Sand (%) | Silt (%) | Clay (%) | Bulk Density (g/cm3) | Saturation Point (%) | Field Capacity (%) | Permanent Wilting Point (%) | Porosity (m3/m3) | Permeability (cm/hour) |
|---|---|---|---|---|---|---|---|---|---|
| Sandy loam | 75.4 | 20 | 4.6 | 1.34 | 48 | 21 | 9 | 0.47 | 2.34 |
| Silty loam | 43.53 | 39.93 | 16.63 | 1.32 | 45.73 | 31 | 19 | 0.4 | 0.23 |
| Soil Texture | pH | O.M (g/kg) | Total N (g/kg) | Total P (g/kg) | Total K (G/KG) | Alkalized N (mg/kg) | Avail. P (mg/kg) | Avail. K (mg/kg) |
|---|---|---|---|---|---|---|---|---|
| Sandy loam | 5.64 | 15.91 | 1.23 | 0.88 | 9.3 | 450.28 | 195.72 | 428.43 |
| Silty loam | 5.3 | 22.97 | 1.518 | 0.865 | 19.59 | 72.71 | 28.25 | 85.5 |
| Growth Stages | RH (%) | Ra (w/m2) | Tmax | Tmax | Tmean (℃) | VPD (kPa) | λ (MJ kg−1) |
|---|---|---|---|---|---|---|---|
| Vegetative Stage | 62.3 | 300.31 | 26.8 | 24 | 25.4 | 0.33 | 2.43 MJ/P |
| Anthesis Stage | 67.6 | 297.98 | 24.6 | 23.2 | 23.9 | 0.39 | |
| Fruit Expansion Stage | 57.1 | 276.1 | 25.3 | 19.1 | 22.2 | 0.37 | |
| Senescence Stage | 60.1 | 290.5 | 25.7 | 23.5 | 24.6 | 0.38 |
| Treatment (% FC) | Duration (Days) | Irrigation Water Applied (mm) | |||
|---|---|---|---|---|---|
| 70–100 | 60–70 | 50–60 | 40–50 | ||
| SA | SA | SA | SA | SA | |
| Vegetative stage | 30 | 50 | 32.5 | 27.5 | 22.5 |
| Anthesis stage | 40 | 60.1 | 39.1 | 33.1 | 27.1 |
| Fruit expansion stage | 50 | 70 | 45.5 | 38.5 | 31.5 |
| Senescence stage | 30 | 45.8 | 29.8 | 25.2 | 20.6 |
| Total | 150 | 225.9 | 146.9 | 124.3 | 101.7 |
| Treatment (% FC) | Duration (Days) | Irrigation Water Applied (mm) | |||
|---|---|---|---|---|---|
| 70–100 | 60–70 | 50–60 | 40–50 | ||
| SB | SB | SB | SB | SB | |
| Vegetative stage | 32 | 55 | 35.8 | 30.3 | 24.8 |
| Anthesis stage | 40 | 65 | 42.3 | 23.3 | 29.3 |
| Fruit expansion stage | 50 | 73 | 47.5 | 40.2 | 32.9 |
| Senescence stage | 31 | 50 | 32.5 | 27.5 | 22.5 |
| Total | 153 | 243 | 158.1 | 121.3 | 109.5 |
| Soil Type | Water Stress FC% | Above-Ground Biomass kg/plant | Below-Ground Biomass kg/plant | Chlorophyll Content (SPAD) |
|---|---|---|---|---|
| SA | 70–100 | 56.7 | 22.7 | 54.3 |
| 60–70 | 48.4 | 13.0 | 51.2 | |
| 50–60 | 44.0 | 10.1 | 50.9 | |
| 40–50 | 390 | 9.5 | 48.0 | |
| SB | 70–100 | 60.8 | 16.9 | 57.3 |
| 60–70 | 43.3 | 19.3 | 55.5 | |
| 50–60 | 34.5 | 15.2 | 54.1 | |
| 40–50 | 23.2 | 13.1 | 52.0 | |
| Factors WS | LEVELS | |||
| 70–100 | 52.0 a | 24.2 a | 53.9 a | |
| 60–70 | 45.2 b | 15.2 bc | 51.9 b | |
| 50–60 | 41.5 bc | 13.7 c | 51.2 bc | |
| 40–50 | 30.2 c | 11.1 d | 49.3 c | |
| S | SA | 50.3 ab | 15.7 bc | 52.0 b |
| SB | 53.0 a | 16.6 b | 54.2 a | |
| ANOVA | RWS | S | S | S |
| Rtv −WS | 0.412 | 0.590 | 0.924 | |
| RS | S | S | S | |
| Rtv−S | 0.113 | 0.339 | 0.831 | |
| RWS−S | S | S | S | |
| RtvWS−S | 0.017 | 0.041 | 0.461 |
| Soil Type | Water Stress FC% | Firmness (×0.1 MPa) | Soluble Solids (%) | pH | Titratable Acids (%) | Ascorbic Acid mg/100 g | Carotene mg/100 g | Lycopene mg/100 g | |
|---|---|---|---|---|---|---|---|---|---|
| Peeled | Unpeeled | ||||||||
| SA | 70–100 | 5.0 | 12.5 | 5.8 | 4.5 | 0.35 | 19.1 | 8.5 | 8.7 |
| 60–70 | 4.6 | 11.1 | 5.8 | 4.3 | 0.41 | 19.6 | 9.1 | 9.6 | |
| 50–60 | 4.9 | 10.3 | 6.6 | 4.1 | 0.48 | 20.5 | 9.6 | 9.6 | |
| 40–50 | 4.0 | 9.9 | 7.0 | 3.8 | 0.5 | 21.3 | 10.2 | 10.0 | |
| SB | 70–100 | 5.7 | 13.2 | 6.5 | 4.7 | 0.45 | 15.6 | 8.4 | 6.8 |
| 60–70 | 4.6 | 12.9 | 6.8 | 4.2 | 0.50 | 16.5 | 9.1 | 7.1 | |
| 50–60 | 4.3 | 13.0 | 7.5 | 4.1 | 0.56 | 17.6 | 10.5 | 9.1 | |
| 40–50 | 4.2 | 11.5 | 8.2 | 4.1 | 0.71 | 22.0 | 13.0 | 9.3 | |
| Factors WS | LEVELS | ||||||||
| 70–100 | 4.1 bc | 10.9 c | 4.8 c | 5.5 ab | 0.3 d | 19.0 b | 8.9 c | 9.4 b | |
| 60–70 | 4.5 b | 11.1 b | 4.3 c | 6.3 a | 0.4 c | 20.0 ab | 9.71 b | 10.6 a | |
| 50–60 | 4.5 b | 11.5 b | 6.5 bc | 5.1 ab | 0.5 b | 20.9 ab | 11.12 ab | 10.5 a | |
| 40–50 | 5.6 a | 12.2 a | 7.5 b | 3.1 c | 0.6 b | 22.59 a | 12.04 a | 10.8 a | |
| S | SA | 5.0 a | 12.7 a | 7.1 b | 4.7 b | 0.6 b | 21.1 a | 9.3 b | 10.0 ab |
| SB | 5.3 a | 12.5 a | 8.5 a | 5.0 ab | 0.7 a | 19.0 c | 13.0 a | 9.01 b | |
| ANOVA | RWS | S | S | S | S | S | S | S | S |
| Rtv−WS | 0.032 | 0.67 | 0.75 | 0.031 | 0.121 | 0.101 | 0.733 | 0.93 | |
| RS | NS | NS | S | S | S | S | S | S | |
| Rtv−S | 0.21 | 0.521 | 0.611 | 0.002 | 0.251 | 0.493 | 0.92 | 0.67 | |
| RWS−S | S | S | S | S | S | S | S | S | |
| RtvWS−S | 0.316 | 0.272 | 0.521 | 0.103 | 0.037 | 0.89 | 0.856 | 0.962 | |
Publisher’s Note: MDPI stays neutral with regard to jurisdictional claims in published maps and institutional affiliations. |
© 2022 by the authors. Licensee MDPI, Basel, Switzerland. This article is an open access article distributed under the terms and conditions of the Creative Commons Attribution (CC BY) license (https://creativecommons.org/licenses/by/4.0/).
Share and Cite
Alordzinu, K.E.; Appiah, S.A.; AL Aasmi, A.; Darko, R.O.; Li, J.; Lan, Y.; Adjibolosoo, D.; Lian, C.; Wang, H.; Qiao, S.; et al. Evaluating the Influence of Deficit Irrigation on Fruit Yield and Quality Indices of Tomatoes Grown in Sandy Loam and Silty Loam Soils. Water 2022, 14, 1753. https://doi.org/10.3390/w14111753
Alordzinu KE, Appiah SA, AL Aasmi A, Darko RO, Li J, Lan Y, Adjibolosoo D, Lian C, Wang H, Qiao S, et al. Evaluating the Influence of Deficit Irrigation on Fruit Yield and Quality Indices of Tomatoes Grown in Sandy Loam and Silty Loam Soils. Water. 2022; 14(11):1753. https://doi.org/10.3390/w14111753
Chicago/Turabian StyleAlordzinu, Kelvin Edom, Sadick Amoakohene Appiah, Alaa AL Aasmi, Ransford Opoku Darko, Jiuhao Li, Yubin Lan, Daniel Adjibolosoo, Chenguo Lian, Hao Wang, Songyang Qiao, and et al. 2022. "Evaluating the Influence of Deficit Irrigation on Fruit Yield and Quality Indices of Tomatoes Grown in Sandy Loam and Silty Loam Soils" Water 14, no. 11: 1753. https://doi.org/10.3390/w14111753
APA StyleAlordzinu, K. E., Appiah, S. A., AL Aasmi, A., Darko, R. O., Li, J., Lan, Y., Adjibolosoo, D., Lian, C., Wang, H., Qiao, S., & Liao, J. (2022). Evaluating the Influence of Deficit Irrigation on Fruit Yield and Quality Indices of Tomatoes Grown in Sandy Loam and Silty Loam Soils. Water, 14(11), 1753. https://doi.org/10.3390/w14111753

