Temporal and Spatial Characteristics of River Water Quality and Its Influence Factors in the TAIHU Basin Plains, Lower Yangtze River, China
Abstract
:1. Introduction
2. Materials and Methods
2.1. Study Area
2.2. Water Quality and Influencing Factors
2.3. Cluster Analysis (CA)
2.4. Moran’s I
2.5. Distribution of Polluted Regions (Standard Deviational Ellipse)
3. Results
3.1. Interannual Variation
3.2. Seasonal Variation
3.3. Spatial Characteristics
3.3.1. Clusters of Water Quality
3.3.2. Spatial Heterogeneity of Water Quality
3.3.3. Water Quality Pollution Areas
3.4. Influencing Factors of Water Quality
4. Discussion
4.1. Variations of the Water Quality in Plain Area of the Taihu
4.2. Influence Factors of the Surface Water Quality
4.2.1. Natural Factors
4.2.2. Artificial Factors
5. Conclusions
- (1)
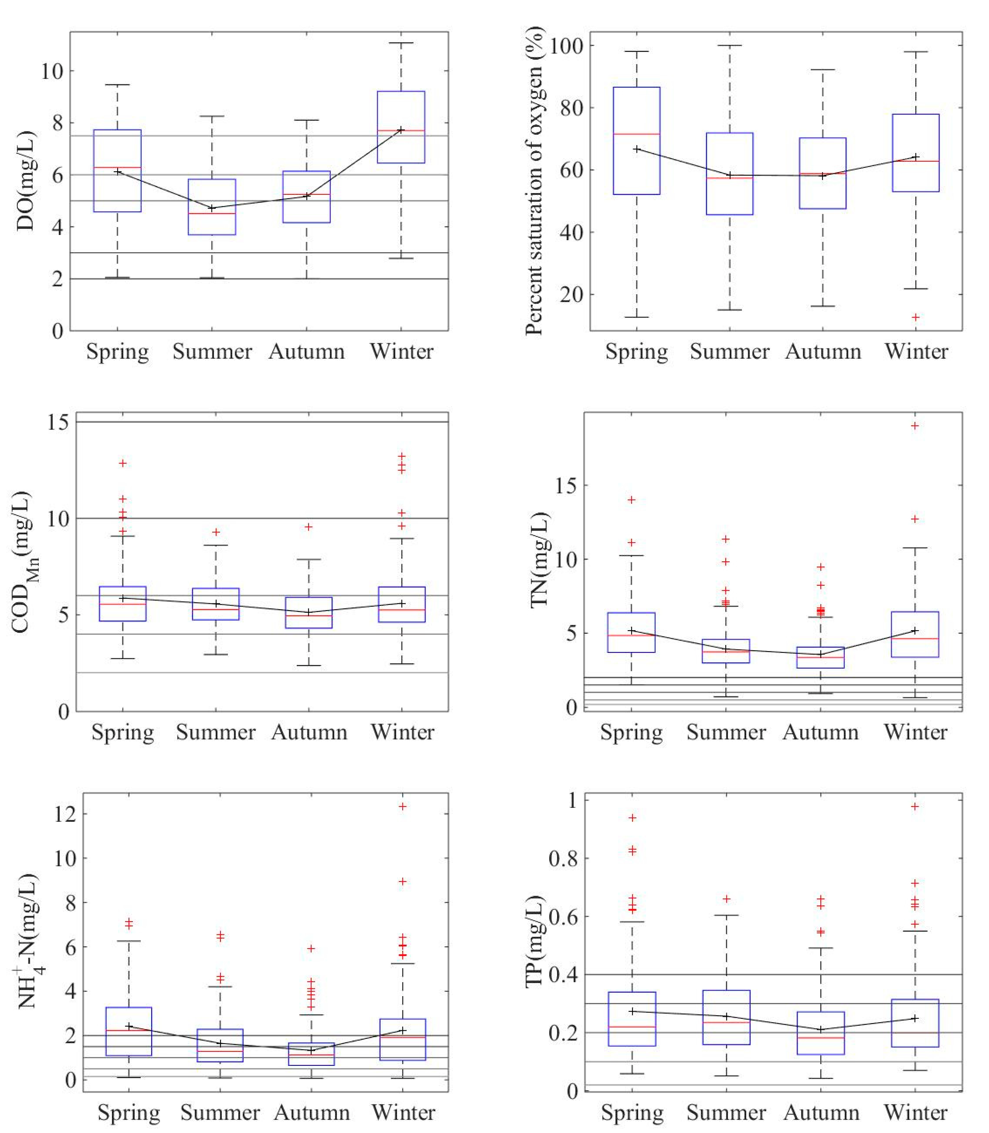
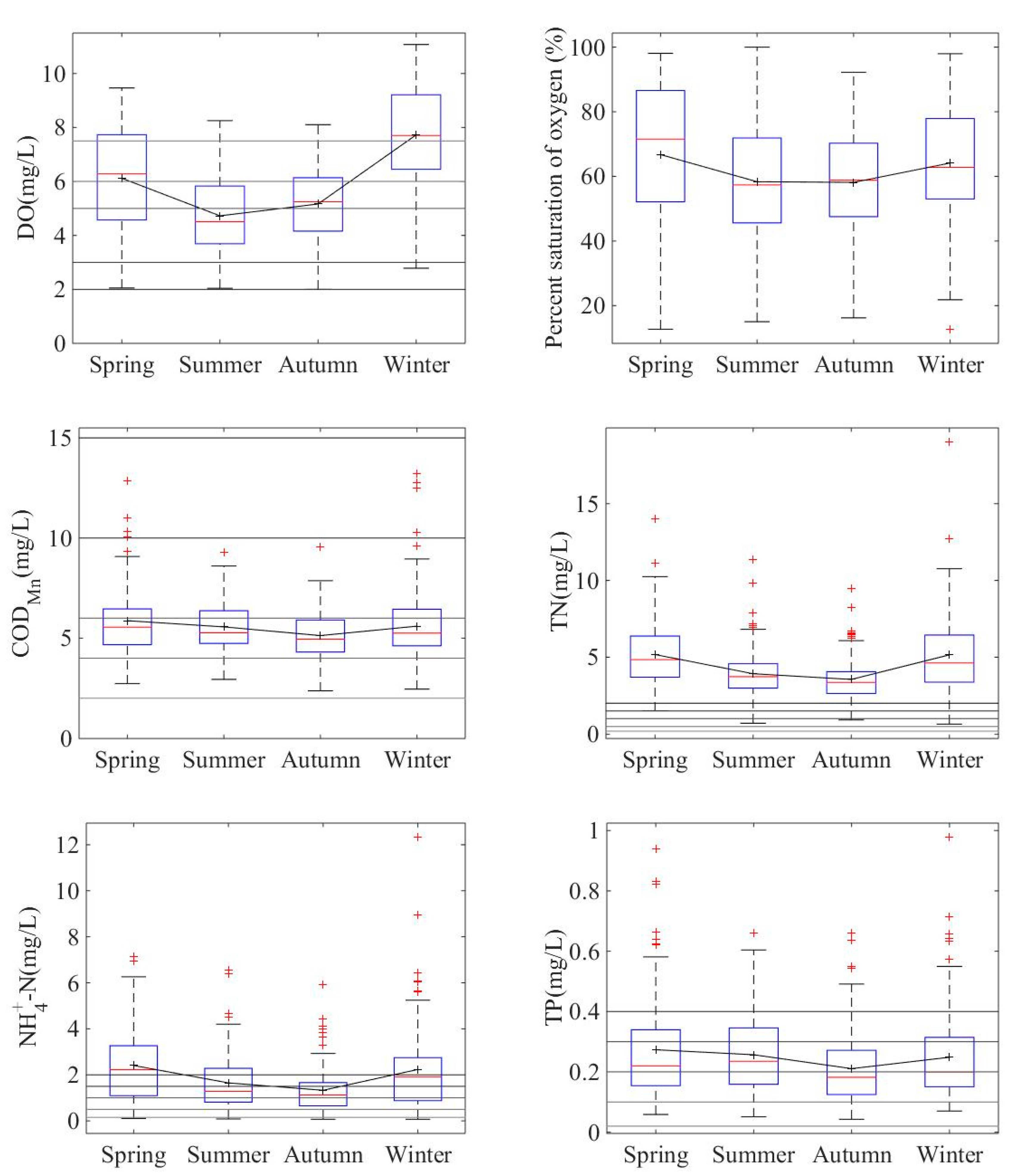
- Water quality in the plain area of Taihu Basin generally improved from 2002 to 2014. There was an obvious increasing trend in the DO (4.38 to 5.98 mg/L) concentration and decreasing trends in the CODMn (6.88 to 5.35 mg/L), NH4+-N (4.20 to 1.87 mg/L), and TN (6.48 to 4.39 mg/L) concentrations from 2002 to 2014. TN was the worst type of pollution in the plain area of Taihu Basin. The TP concentration did not show an effectively steady descending trend. However, its concentration was 0.25 mg/L in 2010–2014, which was lower than the previous concentration (0.29 mg/L). The DO concentration was high in winter and low in summer because of the temperature changes among different seasons. In terms of nutrients and CODMn, the water quality was relatively good in summer and the best in autumn. Water quality should be paid more attention in winter and spring.
- (2)
- There were still relatively polluted regions, although the water quality improved. Polluted sites showed clustered patterns in 2010 and 2011, while they were randomly distributed from 2012 to 2014. The regions with TN pollution were distributed in Taicang/Kunshan, Wuxi/Changzhou/Jiangyin, and Suzhou. The regions with TP pollution were mainly distributed in Taicang/Kunshan and other areas. The region in Taicang/Kunshan was the most polluted. TN and TP pollution in this area lasted from 2010 to 2014. Pollution reduction programs should be conducted in these polluted regions.
- (3)
- Natural factors influence the seasonal variations of water quality. In summer, the precipitation influenced TP or TN more significantly than any other factor. Artificial factors had a more significant influence on water quality than natural factors. Among artificial factors, the impervious surface rate influences water quality the most. Pollution from impervious surface should be paid more attention for water quality improvement.
Author Contributions
Funding
Data Availability Statement
Acknowledgments
Conflicts of Interest
References
- Duh, J.D.; Shandas, V.; Chang, H.; George, L.A. Rates of urbanisation and the resiliency of air and water quality. Sci. Total Environ. 2008, 400, 238–256. [Google Scholar] [PubMed]
- Su, W.Z. Measuring the past 20 years of urban-rural land growth in flood-prone areas in the developed Taihu Lake watershed, China. Front. Earth Sci. 2017, 11, 361–371. [Google Scholar] [CrossRef]
- Zhao, H.X.; Duan, X.J.; Stewart, B.; You, B.S.; Jiang, X.W. Spatial correlations between urbanization and river water pollution in the heavily polluted area of Taihu Lake Basin, China. J. Geogr. Sci. 2013, 23, 735–752. [Google Scholar]
- Huang, C.C.; Zhang, M.L.; Zou, J.; Zhu, A.; Chen, X.; Mi, Y.; Wang, Y.H.; Hao, Y.; Li, Y.M. Changes in land use, climate and the environment during a period of rapid economic development in Jiangsu province, China. Sci. Total Environ. 2015, 536, 173–181. [Google Scholar] [CrossRef] [PubMed]
- Bai, M.H.; Zhou, S.B.; Zhao, M. Cyanobacterial bloom control in taihu basin: Analysis of cost-risk analysis framework based on cooperative game. J. Clean. Prod. 2018, 195, 318–327. [Google Scholar] [CrossRef]
- Deng, X.J.; Xu, Y.P. Degrading flood regulation function of river systems in the urbanization process. Sci. Total Environ. 2018, 622–623, 1379–1390. [Google Scholar] [CrossRef] [PubMed]
- Han, C.; Liu, S.G.; Guo, Y.P.; Lin, H.J.; Liang, Y.Y.; Zhang, H. Copula-based analysis of flood peak level and duration: Two case studies in Taihu Basin, China. J. Hydrol. Eng. 2018, 23, 05018009. [Google Scholar] [CrossRef]
- Song, S.; Xu, Y.P.; Wu, Z.F.; Deng, X.J.; Wang, Q. The relative impact of urbanization and precipitation on long-term water level variations in the Yangtze River delta. Sci. Total Environ. 2019, 648, 460–471. [Google Scholar]
- Wang, L.; Cai, Y.L.; Fang, L.Y. Pollution in Taihu lake China: Causal chain and policy options analyses. Front. Earth Sci. China 2009, 3, 437–444. [Google Scholar] [CrossRef]
- Wang, L.; Cai, Y.L.; Chen, H.Q.; Dag, D.; Zhao, J.M.; Yang, J. Flood disaster in Taihu basin, China: Causal chain and policy option analyses. Environ. Earth Sci. 2011, 63, 1119–1124. [Google Scholar]
- Barakat, A.; El Baghdadi, M.; Rais, J.; Aghezzaf, B.; Slassi, M. Assessment of spatial and seasonal water quality variation of Oum er Rbia river (Morocco) using multivariate statistical techniques. Int. Soil Water Conserv. Res. 2016, 4, 284–292. [Google Scholar] [CrossRef]
- Wang, Q.; Zhang, Q.H.; Wu, Y.; Wang, X.C. Physicochemical conditions and properties of particles in urban runoff and rivers: Implications for runoff pollution. Chemosphere 2017, 173, 318–325. [Google Scholar] [CrossRef]
- Ouyang, Y.; Nkedi-Kizza, P.; Wu, Q.T.; Shinde, D.; Huang, C.H. Assessment of seasonal variations in surface water quality. Water Res. 2006, 40, 3800–3810. [Google Scholar] [CrossRef]
- Alexander, R.B.; Smith, R.A.; Schwarz, G.E. Effect of stream channel size on the delivery of nitrogen to the Gulf of Mexico. Nature 2000, 403, 758–761. [Google Scholar] [CrossRef]
- Chen, Q.; Mei, K.; Dahlgren, R.A.; Wang, T.; Gong, J.; Zhang, M.H. Impacts of land use and population density on seasonal surface water quality using a modified geographically weighted regression. Sci. Total Environ. 2016, 572, 450–466. [Google Scholar]
- Liu, R.M.; Zhang, P.P.; Wang, X.J.; Chen, Y.X.; Shen, Z.Y. Assessment of effects of best management practices on agricultural non-point source pollution in Xiangxi river watershed. Agric. Water Manag. 2013, 117, 9–18. [Google Scholar] [CrossRef]
- Strangway, C.; Bowman, M.F.; Kirkwood, A.E. Assessing landscape and contaminant point-sources as spatial determinants of water quality in the Vermilion River system, Ontario, Canada. Environ. Sci. Pollut. Res. 2017, 24, 22587–22601. [Google Scholar] [CrossRef]
- Wang, Y.Y.; Li, H.Z.; Xu, Z.X. Rainfall-induced nutrient losses from manure-fertilized farmland in an alluvial plain. Environ. Monit. Assess. 2016, 188, 8. [Google Scholar] [CrossRef]
- Qu, W.C.; Mike, D.; Wang, S.M. Multivariate analysis of heavy metal and nutrient concentrations in sediments of Taihu Lake, China. Hydrobiologia 2001, 450, 83–89. [Google Scholar]
- Zeinalzadeh, K.; Rezaei, E. Determining spatial and temporal changes of surface water quality using principal component analysis. J. Hydrol. Reg. Stud. 2017, 13, 1–10. [Google Scholar] [CrossRef]
- Xia, J.J.; Xu, G.H.; Guo, P.; Peng, H.; Zhang, X.; Wang, Y.G.; Zhang, W.S. Tempo-Spatial Analysis of Water Quality in the Three Gorges Reservoir, China, after its 175-m Experimental Impoundment. Water Resour. Manag. 2018, 32, 2937–2954. [Google Scholar] [CrossRef]
- Wu, P.; Qin, B.Q.; Yu, G.; Deng, J.M.; Zhou, J. Effects of nutrient on algae biomass during summer and winter in inflow rivers of Taihu Basin, China. Water Environm. Res. 2016, 88, 665–672. [Google Scholar] [CrossRef] [PubMed]
- Şener, Ş.; Şener, E.; Davraz, A. Evaluation of water quality using water quality index (WQI) method and GIS in Aksu River (SW-Turkey). Sci. Total Environ. 2017, 584–585, 131–144. [Google Scholar] [CrossRef]
- Wu, Z.S.; Wang, X.L.; Chen, Y.W.; Cai, Y.J.; Deng, J.C. Assessing river water quality using water quality index in Lake Taihu Basin, China. Sci. Total Environ. 2018, 612, 914–922. [Google Scholar] [CrossRef]
- Wang, S.Y.; Xu, Y.P.; Wang, D.Q.; Gao, B.; Lu, M.; Wang, Q. Effects of industry structures on water quality in different urbanized regions using an improved entropy-weighted matter-element methodology. Environ. Sci. Pollut. Res. 2020, 27, 7549–7558. [Google Scholar] [CrossRef]
- Ostad-Ali-Askari, K.; Shayannejad, M.; Ghorbanizadeh-Kharazi, H. Artificial neural network for modeling nitrate pollution of groundwater in marginal area of Zayandeh-rood River, Isfahan, Iran. KSCE J. Civ. Eng. 2017, 21, 134–140. [Google Scholar] [CrossRef]
- Qin, B.Q.; Xu, P.Z.; Wu, Q.L.; Luo, L.C.; Zhang, Y.L. Environmental issues of Lake Taihu, China. Hydrobiologia 2007, 581, 3–14. [Google Scholar]
- Wang, Q.G.; Gu, G.; Higano, Y. Toward integrated environmental management for challenges in water environmental protection of Lake Taihu Basin in China. Environ. Manag. 2006, 37, 579–588. [Google Scholar] [CrossRef]
- Ostad-Ali-Askari, K.; Shayannejad, M. Quantity and quality modelling of groundwater to manage water resources in Isfahan-Borkhar Aquifer. Environ. Dev. Sustain. 2021, 23, 15943–15959. [Google Scholar] [CrossRef]
- Deng, X.J. Correlations between water quality and the structure and connectivity of the river network in the southern Jiangsu plain, eastern China. Sci. Total Environ. 2019, 664, 583–594. [Google Scholar] [CrossRef]
- Yang, J.; Xu, Y.P.; Gao, B.; Wang, Y.F.; Xu, Y.; Ma, Q. River water quality change and its relationship with landscape pattern under the urbanization: A case study of Suzhou City in Taihu Basin. J. Lake Sci. 2017, 29, 827–835. [Google Scholar]
- Ewane, E.B. Assessing land use and landscape factors as determinants of water quality trends in Nyong River basin, Cameroon. Environ. Monit. Assess. 2020, 192, 507. [Google Scholar] [CrossRef] [PubMed]
- Xiao, R.; Wang, G.F.; Zhang, Q.W.; Zhang, Z.H. Multi-scale analysis of relationship between landscape pattern and urban river water quality in different seasons. Sci. Rep. 2016, 6, 25250. [Google Scholar] [CrossRef] [Green Version]
- Wang, Y.; Wang, P.; Bai, Y.J.; Tian, Z.X.; Li, J.W.; Shao, X.; Mustavich, L.F.; Li, B.L. Assessment of surface water quality via multivariate statistical techniques: A case study of the Songhua River Harbin region, China. J. Hydro-Environ. Res. 2013, 7, 30–40. [Google Scholar] [CrossRef]
- Yu, M.L.; Hong, G.X.; Xu, H.; Zhu, M.Y.; Quan, Q.M. Effects of Cyanobacterial Blooms in Eutrophic Lakes on Water Quality of Connected Rivers. Environ. Sci. 2019, 40, 603–613. [Google Scholar]
- Paerl, H.W.; Xu, H.; Hall, N.S.; Rossignol, K.L.; Joyner, A.R.; Zhu, G.W.; Qin, B.Q. Nutrient limitation dynamics examined on a multi-annual scale in lake Taihu, China: Implications for controlling eutrophication and harmful algal blooms. J. Freshwater Ecol. 2015, 30, 5–24. [Google Scholar] [CrossRef]
- Mei, K.; Liao, L.L.; Zhu, Y.L.; Lu, P.; Wang, Z.F.; Dahlgren, R.A.; Zhang, M.H. Evaluation of spatial-temporal variations and trends in surface water quality across a rural-suburban-urban interface. Environ. Sci. Pollut. Res. 2014, 21, 8036–8051. [Google Scholar] [CrossRef] [Green Version]
- Gao, B.; Xu, Y.P.; Lu, M.; Lin, Z.X.; Xu, X. Analysis of Rainfall Runoff Pollution and Pollution Load Estimation for Urban Communities in a Highly Urbanized Region. Environ. Sci. 2020, 41, 3657–3664. [Google Scholar]
- Santy, S.; Mujumdar, P.; Bala, G. Potential impacts of climate and Land Use change on the Water Quality of Ganga River around the industrialized Kanpur Region. Sci. Rep. 2020, 10, 9107. [Google Scholar] [CrossRef]
- Zhao, G.; Gao, J.; Tian, P.; Tian, K.; Ni, G. Spatial-temporal characteristics of surface water quality in the Taihu Basin, China. Environ. Earth Sci. 2011, 64, 809–819. [Google Scholar] [CrossRef]
- Zhao, J.; Lin, L.Q.; Yang, K.; Liu, Q.X.; Qian, G.R.; Zhao, J.; Lin, L.; Yang, K. Influences of land use on water quality in a reticular river network area: A case study in Shanghai, China. Landsc. Urban Plan. 2015, 137, 20–29. [Google Scholar] [CrossRef]
- Edwards, A.C.; Withers, P. Transport and delivery of suspended solids, nitrogen and phosphorus from various sources to freshwaters in the UK. J. Hydrol. 2008, 350, 144–153. [Google Scholar] [CrossRef]
- Deng, X.J. Influence of water body area on water quality in the southern Jiangsu Plain, eastern China. J. Clean. Prod. 2020, 254, 120136. [Google Scholar] [CrossRef]
- Deng, X.J.; Xu, Y.P.; Han, L.F.; Song, S.; Yang, L.; Li, G.; Wang, Y.F. Impacts of urbanization on river systems in the Taihu Region, China. Water 2015, 7, 1340–1358. [Google Scholar] [CrossRef]







| Year | Spring | Summer | Autumn | Winter | |
|---|---|---|---|---|---|
| Precipitation (mm) | 1078.72 | 240.96 | 483.47 | 183.59 | 170.70 |
| Air temperature (°C) | 16.90 | 15.88 | 27.56 | 18.85 | 5.31 |
| Class | Class I | Class II | Class III | Class IV | Class V |
|---|---|---|---|---|---|
| DO (mg/L) | 7.5 | 6.0 | 5.0 | 3.0 | 2.0 |
| CODMn (mg/L) | 2.0 | 4.0 | 6.0 | 10.0 | 15.0 |
| TN (mg/L) | 0.2 | 0.5 | 1.0 | 1.5 | 2.0 |
| NH4+-N (mg/L) | 0.15 | 0.5 | 1.0 | 1.5 | 2.0 |
| TP (mg/L) | 0.02 | 0.1 | 0.2 | 0.3 | 0.4 |
| Year | Spring | Summer | Autumn | Winter | |
|---|---|---|---|---|---|
| DO (mg/L) | 5.93 | 6.12 (+0.19) | 4.73 (−1.20) | 5.17 (−0.76) | 7.73 (+1.80) |
| Percent saturation of oxygen (%) | 61.84 | 66.73 (+4.89) | 58.34 (−3.50) | 58.14 (−3.70) | 64.14 (+2.30) |
| CODMn (mg/L) | 5.54 | 5.87 (+0.33) | 5.56 (+0.02) | 5.13 (−0.41) | 5.60 (+0.06) |
| TN (mg/L) | 4.45 | 5.17 (+0.72) | 3.92 (−0.53) | 3.55 (−0.90) | 5.15 (+0.70) |
| NH4+-N (mg/L) | 1.90 | 2.41 (+0.51) | 1.65 (−0.25) | 1.33 (−0.57) | 2.23 (+0.33) |
| TP (mg/L) | 0.25 | 0.27 (+0.02) | 0.26 (+0.01) | 0.21 (−0.04) | 0.25 (0.00) |
| Cluster | 1 | 2 | 3 | 4 | 5 | 6 |
|---|---|---|---|---|---|---|
| Number of sites | 71 | 33 | 4 | 13 | 1 | 1 |
| DO (mg/L) | 6.64 | 5 | 4.33 | 4.19 | 3.09 | 3.94 |
| NH4+-N (mg/L) | 1.08 | 2.43 | 2.72 | 4.14 | 5.83 | 6.35 |
| TP (mg/L) | 0.17 | 0.29 | 0.53 | 0.47 | 0.73 | 0.37 |
| TN (mg/L) | 3.37 | 5.08 | 5.72 | 7.21 | 9.03 | 11.36 |
| CODMn (mg/L) | 4.80 | 6.31 | 6.93 | 7.12 | 9.97 | 9.06 |
| Year | TN | TP | ||||||
|---|---|---|---|---|---|---|---|---|
| Moran’s I | z-Score | p-Value | Pattern | Moran’s I | z-Score | p-Value | Pattern | |
| 2010 | 0.51 | 2.50 | 0.0125 | Clustered | 0.5 | 2.46 | 0.0140 | Clustered |
| 2011 | 0.58 | 3.52 | 0.0004 | Clustered | 0.34 | 2.16 | 0.0310 | Clustered |
| 2012 | 0.13 | 0.16 | 0.8727 | Random | 0.09 | 0.12 | 0.9040 | Random |
| 2013 | 0.03 | 0.05 | 0.9632 | Random | 0.11 | 0.14 | 0.8891 | Random |
| 2014 | 0.05 | 0.06 | 0.9501 | Random | 0.01 | 0.14 | 0.8859 | Random |
| Year | Spring | Summer | Autumn | Winter | |||||||
|---|---|---|---|---|---|---|---|---|---|---|---|
| TN | TP | TN | TP | TN | TP | TN | TP | TN | TP | ||
| Impervious surface rate | 500 m | 0.197 * | 0.236 * | 0.202 * | 0.205 * | 0.167 | 0.164 | 0.108 | 0.227 * | 0.091 | 0.089 |
| 1000 m | 0.221 * | 0.223 * | 0.247 ** | 0.208 * | 0.156 | 0.148 | 0.152 | 0.255 ** | 0.107 | 0.138 | |
| 1500 m | 0.243 ** | 0.231 * | 0.259 ** | 0.202 * | 0.159 | 0.144 | 0.199 * | 0.271 ** | 0.138 | 0.166 | |
| 2000 m | 0.255 ** | 0.238 ** | 0.264 ** | 0.190 * | 0.173 | 0.149 | 0.230 * | 0.289 ** | 0.154 | 0.178 | |
| Paddy land rate | 500 m | −0.020 | 0.057 | −0.063 | 0.026 | 0.049 | 0.161 | 0.029 | 0.025 | 0.031 | −0.011 |
| 1000 m | −0.026 | 0.086 | −0.086 | 0.041 | 0.091 | 0.179 * | 0.021 | 0.026 | 0.023 | 0.003 | |
| 1500 m | −0.019 | 0.089 | −0.074 | 0.070 | 0.138 | 0.211 * | 0.033 | 0.043 | 0.018 | 0.002 | |
| 2000 m | −0.009 | 0.092 | −0.067 | 0.093 | 0.146 | 0.206 * | 0.031 | 0.042 | 0.023 | 0.002 | |
| Population | 500 m | 0.157 | 0.058 | 0.169 | 0.021 | 0.068 | −0.041 | 0.173 | 0.131 | 0.150 | −0.011 |
| 1000 m | 0.179 * | 0.106 | 0.195 * | 0.067 | 0.131 | 0.007 | 0.219 ** | 0.221 ** | 0.142 | 0.106 | |
| 1500 m | 0.172 | 0.075 | 0.178 | 0.018 | 0.117 | 0.000 | 0.176 | 0.199 * | 0.148 | 0.081 | |
| 2000 m | 0.158 | 0.07 | 0.167 | 0.014 | 0.093 | −0.002 | 0.184 * | 0.199 * | 0.126 | 0.049 | |
| Precipitation | - | −0.002 | −0.014 | −0.109 | −0.304 ** | 0.191 * | 0.234 * | 0.130 | 0.049 | −0.052 | −0.237 ** |
Publisher’s Note: MDPI stays neutral with regard to jurisdictional claims in published maps and institutional affiliations. |
© 2022 by the authors. Licensee MDPI, Basel, Switzerland. This article is an open access article distributed under the terms and conditions of the Creative Commons Attribution (CC BY) license (https://creativecommons.org/licenses/by/4.0/).
Share and Cite
Gao, B.; Xu, Y.; Lin, Z.; Lu, M.; Wang, Q. Temporal and Spatial Characteristics of River Water Quality and Its Influence Factors in the TAIHU Basin Plains, Lower Yangtze River, China. Water 2022, 14, 1654. https://doi.org/10.3390/w14101654
Gao B, Xu Y, Lin Z, Lu M, Wang Q. Temporal and Spatial Characteristics of River Water Quality and Its Influence Factors in the TAIHU Basin Plains, Lower Yangtze River, China. Water. 2022; 14(10):1654. https://doi.org/10.3390/w14101654
Chicago/Turabian StyleGao, Bin, Youpeng Xu, Zhixin Lin, Miao Lu, and Qiang Wang. 2022. "Temporal and Spatial Characteristics of River Water Quality and Its Influence Factors in the TAIHU Basin Plains, Lower Yangtze River, China" Water 14, no. 10: 1654. https://doi.org/10.3390/w14101654
APA StyleGao, B., Xu, Y., Lin, Z., Lu, M., & Wang, Q. (2022). Temporal and Spatial Characteristics of River Water Quality and Its Influence Factors in the TAIHU Basin Plains, Lower Yangtze River, China. Water, 14(10), 1654. https://doi.org/10.3390/w14101654

