Cultivation of Arthrospira platensis in Brewery Wastewater
Abstract
:1. Introduction
2. Materials and Methods
2.1. Brewery Wastewater
2.2. Microorganism and Culture Conditions of the Inoculum
2.3. Experimental Design
2.4. DNA Extraction and Next-Generation Sequencing
2.5. Analytical Methods
3. Results and Discussion
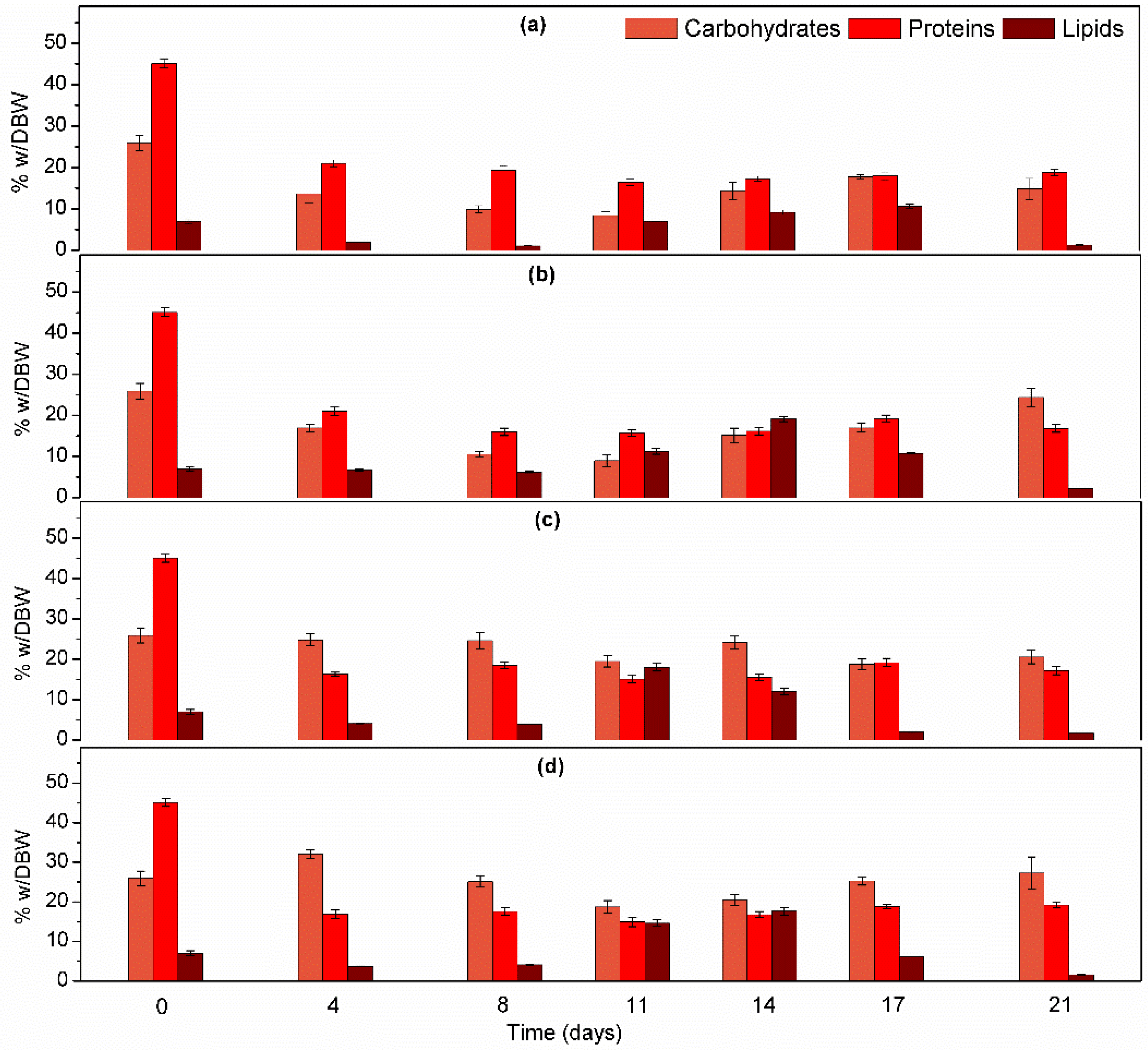
3.1. Optimization of A. platensis Cultivation Using Brewery Wastewater
3.2. Effect of Photoperiod on A. platensis Cultivation in Brewery Wastewater
3.3. Prokaryotic Community Dynamics during the Process
4. Conclusions
Author Contributions
Funding
Institutional Review Board Statement
Informed Consent Statement
Conflicts of Interest
References
- Mitra, M.; Mishra, S. Multiproduct biorefinery from Arthrospira spp. towards zero waste: Current status and future trends. Bioresour. Technol. 2019, 291, 121928. [Google Scholar] [CrossRef]
- Ronga, D.; Biazzi, E.; Parati, K.; Carminati, D.; Carminati, E.; Tava, A. Microalgal biostimulants and biofertilisers in crop productions. Agronomy 2019, 9, 192. [Google Scholar] [CrossRef] [Green Version]
- Zhang, F.; Man, Y.B.; Mo, W.Y.; Wong, M.H. Application of Spirulina in aquaculture: A review on wastewater treatment and fish growth. Rev. Aquac. 2020, 12, 582–599. [Google Scholar] [CrossRef]
- Lafarga, T.; Sánchez-Zurano, A.; Villaró, S.; Morillas-España, A.; Acién, G. Industrial production of Spirulina as a protein source for bioactive peptide generation. Trends Food Sci. Technol. 2021, 116, 176–185. [Google Scholar] [CrossRef]
- Markou, G.; Chatzipavlidis, I.; Georgakakis, D. Effects of phosphorus concentration and light intensity on the biomass composition of Arthrospira (Spirulina) platensis. World J. Microbiol. Biotechnol. 2012, 28, 2661–2670. [Google Scholar] [CrossRef]
- Vardaka, E.; Kormas, K.A.; Katsiapi, M.; Genitsaris, S.; Moustaka-Gouni, M. Molecular diversity of bacteria in commercially available “Spirulina” food supplements. PeerJ 2016, 2016, 1–14. [Google Scholar] [CrossRef] [Green Version]
- Yuan, D.; Yao, M.; Wang, L.; Li, Y.; Gong, Y.; Hu, Q. Effect of recycling the culture medium on biodiversity and population dynamics of bio-contaminants in Spirulina platensis mass culture systems. Algal Res. 2019, 44, 101718. [Google Scholar] [CrossRef]
- Markou, G.; Chatzipavlidis, I.; Georgakakis, D. Cultivation of Arthrospira (Spirulina) platensis in olive-oil mill wastewater treated with sodium hypochlorite. Bioresour. Technol. 2012, 112, 234–241. [Google Scholar] [CrossRef]
- Nogueira, S.M.S.; Junior, J.S.; Maia, H.D.; Saboya, J.P.S.; Farias, W.R.L. Use of Spirulina platensis in treatment of fish farming wastewater. Rev. Cienc. Agron. 2018, 49, 599–606. [Google Scholar] [CrossRef]
- Depraetere, O.; Foubert, I.; Muylaert, K. Decolorisation of piggery wastewater to stimulate the production of Arthrospira platensis. Bioresour. Technol. 2013, 148, 366–372. [Google Scholar] [CrossRef] [Green Version]
- Arashiro, L.T.; Boto-Ordóñez, M.; Van Hulle, S.W.H.; Ferrer, I.; Garfí, M.; Rousseau, D.P.L. Natural pigments from microalgae grown in industrial wastewater. Bioresour. Technol. 2020, 303, 122894. [Google Scholar] [CrossRef] [Green Version]
- Ljubic, A.; Safafar, H.; Holdt, S.L.; Jacobsen, C. Biomass composition of Arthrospira platensis during cultivation on industrial process water and harvesting. J. Appl. Phycol. 2018, 30, 943–954. [Google Scholar] [CrossRef] [Green Version]
- Spennati, E.; Casazza, A.A.; Perego, P.; Solisio, C.; Busca, G.; Converti, A. Microalgae growth in winery wastewater under dark conditions. Chem. Eng. Trans. 2019, 74, 1471–1476. [Google Scholar]
- Spennati, E.; Casazza, A.A.; Converti, A. Winery wastewater treatment by microalgae to produce low-cost biomass for energy production purposes. Energies 2020, 13, 2490. [Google Scholar] [CrossRef]
- Pereira, M.I.B.; Chagas, B.M.E.; Sassi, R.; Medeiros, G.F.; Aguiar, E.M.; Borba, L.H.F.; Silva, E.P.E.; Neto, J.C.A.; Rangel, A.H.N. Mixotrophic cultivation of Spirulina platensis in dairy wastewater: Effects on the production of biomass, biochemical composition and antioxidant capacity. PLoS ONE 2019, 14, e0224294. [Google Scholar] [CrossRef] [Green Version]
- Papadopoulos, K.P.; Economou, C.N.; Dailianis, S.; Charalampous, N.; Stefanidou, N.; Moustaka-Gouni, M.; Tekerlekopoulou, A.G.; Vayenas, D.V. Brewery wastewater treatment using cyanobacterial-bacterial settleable aggregates. Algal Res. 2020, 49, 101957. [Google Scholar] [CrossRef]
- Papadopoulos, K.P.; Economou, C.N.; Tekerlekopoulou, A.G.; Vayenas, D.V. Two-step treatment of brewery wastewater using electrocoagulation and cyanobacteria-based cultivation. J. Environ. Manag. 2020, 265, 110543. [Google Scholar] [CrossRef]
- Papadopoulos, K.P.; Economou, C.N.; Tekerlekopoulou, A.G.; Vayenas, D.V. A cyanobacteria-based biofilm system for advanced brewery wastewater treatment. Appl. Sci. 2021, 11, 174. [Google Scholar] [CrossRef]
- Farooq, W.; Lee, Y.C.; Ryu, B.G.; Kim, B.H.; Kim, H.S.; Choi, Y.E.; Yang, J.W. Two-stage cultivation of two Chlorella sp. strains by simultaneous treatment of brewery wastewater and maximizing lipid productivity. Bioresour. Technol. 2013, 132, 230–238. [Google Scholar] [CrossRef]
- Ferreira, A.; Ribeiro, B.; Marques, P.A.S.S.; Ferreira, A.F.; Dias, A.P.; Pinheiro, H.M.; Reis, A.; Gouveia, L. Scenedesmus obliquus mediated brewery wastewater remediation and CO2 biofixation for green energy purposes. J. Clean. Prod. 2017, 165, 1316–1327. [Google Scholar] [CrossRef]
- Subramaniyam, V.; Subashchandrabose, S.R.; Ganeshkumar, V.; Thavamani, P.; Chen, Z.; Naidu, R.; Megharaj, M. Cultivation of Chlorella on brewery wastewater and nano-particle biosynthesis by its biomass. Bioresour. Technol. 2016, 211, 698–703. [Google Scholar] [CrossRef]
- Markou, G.; Arapoglou, D.; Eliopoulos, C.; Balafoutis, A.; Taddeo, R.; Panara, A.; Thomaidis, N. Cultivation and safety aspects of Arthrospira platensis (Spirulina) grown with struvite recovered from anaerobic digestion plant as phosphorus source. Algal Res. 2019, 44, 101716. [Google Scholar] [CrossRef]
- APHA/AWWA/WEF. Standard Methods for the Examination of Water and Wastewater. In Standard Methods; APHA: Albany, NY, USA; AWWA: Columbia, MD, USA; WEF: Flagstaff, AZ, USA, 2012; p. 541. [Google Scholar]
- Lowry, O.H.; Rosebrough, N.J.; Farr, A.L.; Randall, R.J. Protein measurement with the Folin phenol reagent. J. Biol. Chem. 1951, 193, 265–275. [Google Scholar] [CrossRef]
- Lichtenthaler, H.K.; Buschmann, C. Chlorophylls and carotenoids: Measurement and characterization by UV-VIS spectroscopy. Handb. Food Anal. Chem. 2005, 2–2, 171–178. [Google Scholar] [CrossRef]
- Moraes, C.C.; Sala, L.; Cerveira, G.P.; Kalil, S.J. C-Phycocyanin extraction from Spirulina platensis wet biomass. Braz. J. Chem. Eng. 2011, 28, 45–49. [Google Scholar] [CrossRef] [Green Version]
- Kim, C.J.; Jung, Y.H.; Oh, H.M. Factors indicating culture status during cultivation of Spirulina (Arthrospira) platensis. J. Microbiol. 2007, 45, 122–127. [Google Scholar]
- Morais, M.G.; Radmann, E.M.; Andrade, M.R.; Teixeira, G.G.; Brusch, L.R.F.; Costa, J.A.V. Pilot scale semicontinuous production of Spirulina biomass in southern Brazil. Aquaculture 2009, 294, 60–64. [Google Scholar] [CrossRef]
- Delrue, F.; Alaux, E.; Moudjaoui, L.; Gaignard, C.; Fleury, G.; Perilhou, A.; Richaud, P.; Petitjean, M.; Sassi, J.F. Optimization of Arthrospira platensis (Spirulina) growth: From laboratory scale to pilot scale. Fermentation 2017, 3, 59. [Google Scholar] [CrossRef] [Green Version]
- Li, T.; Sharp, C.E.; Ataeian, M.; Strous, M.; De Beer, D. Role of extracellular carbonic anhydrase in dissolved inorganic carbon uptake in alkaliphilic phototrophic biofilm. Front. Microbiol. 2018, 9, 2490. [Google Scholar] [CrossRef]
- Quijano, G.; Arcila, J.S.; Buitrón, G. Microalgal-bacterial aggregates: Applications and perspectives for wastewater treatment. Biotechnol. Adv. 2017, 35, 772–781. [Google Scholar] [CrossRef]
- Cai, T.; Park, S.Y.; Li, Y. Nutrient recovery from wastewater streams by microalgae: Status and prospects. Renew. Sustain. Energy Rev. 2013, 19, 360–369. [Google Scholar] [CrossRef]
- Correll, D.L. The Role of Phosphorus in the Eutrophication of Receiving Waters: A Review. J. Environ. Qual. 1998, 27, 261–266. [Google Scholar] [CrossRef] [Green Version]
- Lee, C.S.; Lee, S.A.; Ko, S.R.; Oh, H.M.; Ahn, C.Y. Effects of photoperiod on nutrient removal, biomass production, and algal-bacterial population dynamics in lab-scale photobioreactors treating municipal wastewater. Water Res. 2015, 68, 680–691. [Google Scholar] [CrossRef]
- Rizzo, R.F.; dos Santos, B.N.C.; de Castro, G.F.P.S.; Passos, T.S.; de Abreu Nascimento, M.; Guerra, H.D.; da Silva, C.G.; da Silva Dias, D.; Domingues, J.R.; de Lima-Araújo, K.G. Production of phycobiliproteins by Arthrospira platensis under different light conditions for application in food products. Food Sci. Technol. 2015, 35, 247–252. [Google Scholar] [CrossRef] [Green Version]
- Soni, R.A.; Sudhakar, K.; Rana, R.S. Spirulina—From growth to nutritional product: A review. Trends Food Sci. Technol. 2017, 69, 157–171. [Google Scholar] [CrossRef] [Green Version]
- Verma, K.; Mohanty, P. Changes of the photosynthetic apparatus in Spirulina cyanobacterium by sodium stress. Z. Naturforsch.-Sect. C J. Biosci. 2000, 55, 16–22. [Google Scholar] [CrossRef]
- Dejsungkranont, M.; Chisti, Y.; Sirisansaneeyakul, S. Simultaneous production of C-phycocyanin and extracellular polymeric substances by photoautotrophic cultures of Arthrospira platensis. J. Chem. Technol. Biotechnol. 2017, 92, 2709–2718. [Google Scholar] [CrossRef]
- Gim, G.H.; Ryu, J.; Kim, M.J.; Kim, P.I.; Kim, S.W. Effects of carbon source and light intensity on the growth and total lipid production of three microalgae under different culture conditions. J. Ind. Microbiol. Biotechnol. 2016, 43, 605–616. [Google Scholar] [CrossRef]
- Chen, C.Y.; Kao, P.C.; Tsai, C.J.; Lee, D.J.; Chang, J.S. Engineering strategies for simultaneous enhancement of C-phycocyanin production and CO2 fixation with Spirulina platensis. Bioresour. Technol. 2013, 145, 307–312. [Google Scholar] [CrossRef]
- Zeng, X.; Danquah, M.K.; Zhang, S.; Zhang, X.; Wu, M.; Chen, X.D.; Ng, I.S.; Jing, K.; Lu, Y. Autotrophic cultivation of Spirulina platensis for CO2 fixation and phycocyanin production. Chem. Eng. J. 2012, 183, 192–197. [Google Scholar] [CrossRef]
- Rangel-Yagui, C.D.O.; Danesi, E.D.G.; De Carvalho, J.C.M.; Sato, S. Chlorophyll production from Spirulina platensis: Cultivation with urea addition by fed-batch process. Bioresour. Technol. 2004, 92, 133–141. [Google Scholar] [CrossRef]
- Markou, G.; Kougia, E.; Kefalogianni, I.; Tsagou, V.; Arapoglou, D.; Chatzipavlidis, I. Effect of glycerol concentration and light intensity on growth and biochemical composition of Arthrospira (Spirulina) platensis: A study in semi-continuous mode with non-aseptic conditions. Appl. Sci. 2019, 9, 4703. [Google Scholar] [CrossRef] [Green Version]
- García-López, D.A.; Olguín, E.J.; González-Portela, R.E.; Sánchez-Galván, G.; De Philippis, R.; Lovitt, R.W.; Llewellyn, C.A.; Fuentes-Grünewald, C.; Parra Saldívar, R. A novel two-phase bioprocess for the production of Arthrospira (Spirulina) maxima LJGR1 at pilot plant scale during different seasons and for phycocyanin induction under controlled conditions. Bioresour. Technol. 2020, 298, 122548. [Google Scholar] [CrossRef] [PubMed]
- Kilimtzidi, E.; Cuellar Bermudez, S.; Markou, G.; Goiris, K.; Vandamme, D.; Muylaert, K. Enhanced phycocyanin and protein content of Arthrospira by applying neutral density and red light shading filters: A small-scale pilot experiment. J. Chem. Technol. Biotechnol. 2019, 94, 2047–2054. [Google Scholar] [CrossRef]
- Bezerra, P.Q.M.; Moraes, L.; Cardoso, L.G.; Druzian, J.I.; Morais, M.G.; Nunes, I.L.; Costa, J.A.V. Spirulina sp. LEB 18 cultivation in seawater and reduced nutrients: Bioprocess strategy for increasing carbohydrates in biomass. Bioresour. Technol. 2020, 316, 123883. [Google Scholar] [CrossRef]
- Converti, A.; Lodi, A.; Del Borghi, A.; Solisio, C. Cultivation of Spirulina platensis in a combined airlift-tubular reactor system. Biochem. Eng. J. 2006, 32, 13–18. [Google Scholar] [CrossRef]
- Xue, S.; Su, Z.; Cong, W. Growth of Spirulina platensis enhanced under intermittent illumination. J. Biotechnol. 2011, 151, 271–277. [Google Scholar] [CrossRef]
- Photiou, P.; Kallis, M.; Samanides, C.G.; Vyrides, I.; Padoan, E.; Montoneri, E.; Koutinas, M. Integrated chemical biochemical technology to reduce ammonia emission from fermented municipal biowaste. ACS Sustain. Chem. Eng. 2021, 9, 25. [Google Scholar] [CrossRef]
- Muñoz, R.; Guieysse, B. Algal-bacterial processes for the treatment of hazardous contaminants: A review. Water Res. 2006, 40, 2799–2815. [Google Scholar] [CrossRef]
- Mogale, M. Identification and Quantification of Bacteria Associated with Cultivated Spirulina and Impact of Physiological Factors. Ph.D. Thesis, University of Cape Town, Cape Town, South Africa, 2016. [Google Scholar]
- Numberger, D.; Ganzert, L.; Zoccarato, L.; Mühldorfer, K.; Sauer, S.; Grossart, H.P.; Greenwood, A.D. Characterization of bacterial communities in wastewater with enhanced taxonomic resolution by full-length 16S rRNA sequencing. Sci. Rep. 2019, 9, 9673. [Google Scholar] [CrossRef] [Green Version]
- Hoekstra, D.T.; Volschenk, H.; Collins, M.; McMaster, L.D. An investigation of Clostridium species present in nutraceutical preparations of Arthrospira platensis (Spirulina) for human consumption. J. Appl. Phycol. 2011, 23, 777–787. [Google Scholar] [CrossRef]
- Fernandez, F.G.A.; Sevilla, J.M.F.; Grima, E.M. Microalgae: The basis of mankind sustainability. In Case Study of Innovative Projects-Successful Real Cases; Llamas, B., Ed.; Intech Open: London, UK, 2017; pp. 123–140. [Google Scholar]






| Physicochemical Characteristics | Value |
|---|---|
| d-COD (mg/L) | 1670 ± 30.16 |
| NO3−-N (mg/L) | 31.19 ± 1.25 |
| NO2−-N (mg/L) | ND 1 |
| NH4+-N (mg/L) | 6.15 ± 0.23 |
| PO43−-P (mg/L) | 9.46 ± 0.35 |
| TKN (mg/L) | 60.00 ± 3.85 |
| pH | 8.10 ± 0.20 |
Publisher’s Note: MDPI stays neutral with regard to jurisdictional claims in published maps and institutional affiliations. |
© 2022 by the authors. Licensee MDPI, Basel, Switzerland. This article is an open access article distributed under the terms and conditions of the Creative Commons Attribution (CC BY) license (https://creativecommons.org/licenses/by/4.0/).
Share and Cite
Papadopoulos, K.P.; Economou, C.N.; Markou, G.; Nicodemou, A.; Koutinas, M.; Tekerlekopoulou, A.G.; Vayenas, D.V. Cultivation of Arthrospira platensis in Brewery Wastewater. Water 2022, 14, 1547. https://doi.org/10.3390/w14101547
Papadopoulos KP, Economou CN, Markou G, Nicodemou A, Koutinas M, Tekerlekopoulou AG, Vayenas DV. Cultivation of Arthrospira platensis in Brewery Wastewater. Water. 2022; 14(10):1547. https://doi.org/10.3390/w14101547
Chicago/Turabian StylePapadopoulos, Konstantinos P., Christina N. Economou, Giorgos Markou, Andonia Nicodemou, Michalis Koutinas, Athanasia G. Tekerlekopoulou, and Dimitris V. Vayenas. 2022. "Cultivation of Arthrospira platensis in Brewery Wastewater" Water 14, no. 10: 1547. https://doi.org/10.3390/w14101547
APA StylePapadopoulos, K. P., Economou, C. N., Markou, G., Nicodemou, A., Koutinas, M., Tekerlekopoulou, A. G., & Vayenas, D. V. (2022). Cultivation of Arthrospira platensis in Brewery Wastewater. Water, 14(10), 1547. https://doi.org/10.3390/w14101547

