Abstract
Amidst the growing population, urbanization, globalization, and economic growth, along with the impacts of climate change, decision-makers, stakeholders, and researchers need tools for better assessment and communication of the highly interconnected food–energy–water (FEW) nexus. This study aimed to identify critical periods for water resources management for robust decision-making for water resources management at the nexus. Using a 4610 ha agricultural watershed as a pilot site, historical data (2006–2012), scientific literature values, and SWAT model simulations were utilized to map out critical periods throughout the growing season of corn and soybeans. The results indicate that soil water deficits are primarily seen in June and July, with average deficits and surpluses ranging from −134.7 to +145.3 mm during the study period. Corresponding water quality impacts include average monthly surface nitrate-N, subsurface nitrate-N, and soluble phosphorus losses of up to 0.026, 0.26, and 0.0013 kg/ha, respectively, over the growing season. Estimated fuel requirements for the agricultural practices ranged from 24.7 to 170.3 L/ha, while estimated carbon emissions ranged from 0.3 to 2.7 kg CO2/L. A composite look at all the FEW nexus elements showed that critical periods for water management in the study watershed occurred in the early and late season—primarily related to water quality—and mid-season, related to water quantity. This suggests the need to adapt agricultural and other management practices across the growing season in line with the respective water management needs. The FEW nexus assessment methodologies developed in this study provide a framework in which spatial, temporal, and literature data can be implemented for improved water resources management in other areas.
1. Introduction
With a changing climate, rapid population growth, and urbanization, robust and innovative solutions are needed to address the increasing and competing needs for food, energy, and water. The interdependence among food, energy, and water systems [1] and the competition between energy and food production for limited water resources [2], are the basis for the framework of the food–energy–water (FEW) nexus. Water resource allocation and water quality are especially critical within the FEW nexus framework, as clean water is required for both food and energy production [2,3,4], yet both food and energy production have negative impacts on water quality [5]. Adverse impacts on water quality, in turn, have implications on the amount of water available for anthropogenic and ecosystem allocations. Thus, both aspects of water resources integrity (quantity and quality) need to be considered in FEW nexus assessments so as to avoid misconceptions related to the availability of water resources. In previous work [6] Schull et al. (2020) showed how a FEW nexus decision-making model—the WEF Nexus Tool 2.0 [3]—and results from the Soil and Water Assessment Tool (SWAT) [7] could be combined to give water-centric insights into interactions among FEW nexus sectors in an agricultural watershed through to the end of the 21st century. In the study, average annual values were obtained and used to provide a broad picture of the interactions among FEW nexus components. The results, however, show the need for finer-scaled evaluations as assessments on an average annual level could potentially mask the periods of time during which tradeoffs within the FEW nexus might be most critical for water management.
In particular, a detailed tracking of water availability and water quality on a monthly basis through the growing season would provide actionable insights on water-related aspects at the different crop-growth stages. Crop production requires not only water, but also energy. Farmers use a variety of tillage, planting, chemical application, and harvesting methods, and thus the amount of energy consumed is dependent on these practices. Evaluating energy usage and carbon emission across the growing season would provide a more accurate picture of how energy is consumed at the different crop growth stages, than would average annual values. For field operations, the most commonly used fuels are gasoline, diesel, and liquified petroleum gas [8]. With the use of fossil fuels as energy sources, it is necessary to calculate the carbon equivalent to gauge the environmental impact of agricultural production. Thus, even while addressing water resources management, it is important to quantify relationships and tradeoffs among the different sectors of the nexus [2] such that decision making is robust, and solutions are sustainable [9].
This study aims to identify critical periods for water resources management at the watershed scale and explore their potential for improving decision-making at the nexus; specifically, to: (1) develop critical periods for water quantity and quality management in an agricultural system by identifying periods of water surplus and deficits based on historical data; (2) integrate energy, environmental, and cost impacts of agricultural production in water resources management; and, (3) make recommendations on the use of critical periods in developing sustainable and robust solutions at a watershed scale. This study uses the 4610 ha (11,392 acres) Matson Ditch Watershed (Figure 1) in DeKalb County, northeastern Indiana, U.S., as a pilot site. The watershed was selected as it has sufficient data on land cover, crop yield, soil, management operations, and hydrological conditions to allow the different FEW nexus components in the watershed to be captured. Methodologies and approaches are applicable to other agricultural watersheds.
Figure 1.
Topography, land cover (2011), and soil drainage classification of the Matson Ditch Watershed, Dekalb County, IN, USA.
FEW Nexus System for the Matson Ditch Watershed
The Matson Ditch Watershed FEW nexus system through the growing season is represented using Figure 2. The outer dashed line shows the system boundary and captures aspects of the FEW nexus that are being considered in the study. Due to the fluctuation in water, energy, and fertilizer demands, as well as prices and costs for each crop, the system schematic has been presented at the per hectare scale. The watershed is a rainfed predominantly sub-surface drained agricultural watershed [10]. Based on historical data from 2003–2012, annual precipitation averages around 1000 mm (39.4 in) [6,11,12,13]. Crop production in the watershed is reflective of the U.S. Midwest [14,15], with largely corn-soybean rotations covering 62.6% of the available agricultural land. Other land uses in the watershed include developed land (5%), pasture (13%), and deciduous forest (9%), with smaller land uses occupying <10% of the land use area. This study focused only on corn and soybeans.
Figure 2.
Schematic showing system and boundaries of the FEW nexus framework for the Matson Ditch Watershed downscaled on a hectare scale. As the Matson Ditch Watershed is precipitation-fed, the water source comes only from precipitation (mm), with the nutrients of interest in this study being surface and subsurface nitrate (NO3-N, kg/ha) and soluble phosphorus (SOLP, kg/ha). The energy use of each component is represented by Ecomponent (e.g., Etillage) in MJ from fuel or electricity, with carbon emissions (CO2, t/ha) being an output. Food production is represented by crop yield (t/ha) along with associated revenues (USD/ha). Costs (USD/ha) include fertilizer and pesticide application, and general costs of farm management.
With respect to water quantity, losses in crop growth and yield could occur due to stresses from deficits in the amount of water available in the soil [16]. As with the larger Western Lake Erie Basin (WLEB) in which the study watershed is located, water quality concerns stem from pollutants from agricultural lands and include nutrients and pesticides [17,18]. The corn and soybean growing season in the study region runs from May through October, with most field operations occurring in early (tillage, planting, fertilizer, and pesticide applications) and late season (harvesting). Agricultural tillage systems in DeKalb County are predominantly conventional tillage for corn and no-till for soybeans. According to the United States Energy Information Administration [19], in the state of Indiana the dominant energy sources are coal, natural gas, and gasoline. In terms of carbon emissions, Indiana is ranked as the eighth highest state based on 2017 data, and 11th highest in energy consumption per capita. The energy consumption and carbon emissions embedded in fertilizer and pesticide production are also included within the system boundary.
Details on how the different components are evaluated in this study are presented in the materials and methods sections. As assumptions, processes, and equations vary across the different sectors, each of the components is analyzed individually. Later, we discuss how the components interact with each other and combine results to provide an overall interpretation on critical periods for water management in the watershed.
2. Materials and Methods
2.1. Identifying Critical Periods for Water Quantity and Quality
In this study, critical periods for water quantity were determined through water balance evaluations and identification of periods of water surpluses and deficits based on results from SWAT. Critical periods for water quality were identified from periods in which the highest losses of phosphorus and nitrogen occurred, also based on SWAT model simulations. The analysis was conducted on a growing season basis (May through October), so as to better capture interactions among FEW nexus components. The study built on prior SWAT model assessments conducted in the watershed [12], in which the model had been set up to allow detailed evaluations of hydrology and nutrient yields in the watershed. In this prior work, the SWAT model was set up for the period between 2003 and 2012 with the first three years comprising a warm-up period. Crop management and other field operations were simulated based on current practice in the watershed. The model was calibrated for 2006–2009, using standard parameter optimization procedures, and validated for 2010–2012. Additional evaluations based on soft data were conducted for subsurface flow and crop yields, and the model was checked for accuracy in spatial representation. As the model had already been set up and had undergone a thorough calibration and validation in the previous work, this aspect of modeling was not repeated in this study. However, the model was re-run to provide the level of data needed for the planned analysis. To maintain consistency with the previous work, historical data from the period 2003–2012 were used to provide baseline runs for the watershed, with 2003–2005 being maintained as a warmup period.
2.1.1. Water Quantity
Figure 3 shows the hydrological system of the Matson Ditch Watershed. The input into the system is the precipitation, with the losses from the system being a summation of surface runoff, lateral flow, tile (subsurface drainage) flow, groundwater flow, and deep aquifer recharge. Effective precipitation is the amount of precipitation remaining after accounting for all losses; it is the precipitation that is stored in the root zone and is available for use by plants. The percentage of precipitation that is effective depends on factors such as climate, soil texture and structure, and the depth of the root zone [20]. The effective precipitation in any one month was calculated as (Equation (1)):
where, for any month m, Peff,m is the effective precipitation (mm), Pm is the precipitation (mm), SURQm is the amount of surface runoff (mm), GWQm is the amount of groundwater flow (mm), TILEQm is the amount of tile (subsurface drainage) flow (mm), LATQm is the lateral flow (mm), and DArchg,m is the deep aquifer recharge (mm).
Figure 3.
Hydrological system for the Matson Ditch Watershed.
The water surplus or deficit was determined as the difference between the effective precipitation and the amount of water required by the crops as determined based on the evapotranspiration (Equation (2)):
where, for any month m, Ds,m is the surplus or deficit (mm), Peff,m is the effective precipitation as calculated in Equation (1) (mm), and ETm is the actual evapotranspiration (mm). If DS,m is positive, this means the effective precipitation is higher than the evapotranspiration and, thus, there is a surplus and water requirements for the crop are met effectively through precipitation; if DS,m is negative, the effective precipitation is less than the evapotranspiration thus there is a deficit and the crop would need to extract from available soil water reserve, if any, or depend on external inputs.
2.1.2. Water Quality
The water quality parameters that were evaluated in this study were soluble phosphorus (SOLP) and surface and subsurface nitrate (NO3, TNO3). As with water balance components, water quality parameter values were based on the model developed by Mehan et al. (2019a) [12]. Values were extracted and analyzed for all Hydrologic Response Units (HRUs) that had corn or soybeans land cover. In primarily sub-surface drained agricultural watersheds such as the Matson Ditch Watershed, water quality impacts of agricultural production are typically associated with the application of agricultural chemicals (fertilizers, pesticides) on agricultural fields [21,22], which typically coincides with the beginning of the growing season and the start of the spring rains. Thus, for this analysis, water quality parameters were aggregated and evaluated on a monthly basis for May through October of each year, and over the entire study period (2006–2012). The water quality parameters were then visualized across the growing seasons to determine the variation over the entire period.
2.2. Crop Growth
In SWAT, plant growth is modeled through simulating leaf area development, light interception, and conversion of intercepted light into biomass through the assumption of radiation-use efficiency based on the species of plant. Yield is calculated using an adjusted harvest index for a given day and the aboveground biomass [23]. For corn and soybeans, Equation (3) was used to calculate the yield,
where yld is the crop yield (kg ha−1), bioag is the aboveground live biomass on the day of the harvest (kg ha−1), and HI is the adjusted harvest index on the harvest date (<1). Values obtained for yield during the period 2006–2012 were checked against historical data for the Matson Ditch Watershed. The historical data were obtained from the USDA National Agricultural Statistics Service (NASS).
2.3. Energy Usage and Carbon Emissions
As values for energy use and carbon emissions specific to the watershed were not available, regional values were used in this study. Generally, Cooperative Extension fact sheets, such as Downs and Hansen (1998) [8] and Hanna (2001) [24] provide farmers with guidance on inputs into their agricultural production, such as recommended fertilizer, pesticides, and fuel. In this study, fuel requirements for diesel were obtained from Hanna (2001) [24]. This author provided the fuel requirements for diesel; hence it was necessary to calculate equivalent values for the two other most common fuels used in agriculture, gasoline and liquified petroleum (LP) gas based on their respective energy content in comparison to diesel (Equation (4), [8]):
where the fuel estimate (fuelest) for the alternative fuel is calculated by multiplying the required amount of diesel (dieselreq) by the energy content ratio (Eratio) between diesel and the alternative fuel. The value 9.35394 is a factor to convert values from imperial to metric units.
The type of fuel selected as an energy source will affect the amount of carbon being emitted during a specific agricultural practice. Estimates for carbon equivalents or carbon footprints associated with usage of fuel, fertilizers, and pesticides in agricultural systems were obtained based on greenhouse gas equivalencies calculations by government-level environmental protection agencies, such as the United States Environmental Protection Agency (USEPA) [25,26,27] and academic institutions [3,28,29,30,31,32,33]. Ranges of carbon emission equivalents for each of the farming practices, as well as the carbon equivalents per kilogram of energy source were obtained from Lal (2004) [28]. These carbon equivalent values were provided by kg of fuel. Using the values of average weight from Downs and Hansen (1998) [8], Equation (5) was used to convert values from Lal (2004) [28]:
2.4. Cost Analysis in Decision-Making in the FEW Nexus
In order to understand the impacts on cost of agricultural production, it was necessary to assess the economic costs of agricultural production. Both monthly and annual averages for price received for corn and soybeans in the state of Indiana were obtained from NASS. “Price received” for the crops is based on the data collected and the information received from the Agricultural Marketing Service. Monthly average state and national prices that producers received including market year averages are available from NASS. Monthly crop price received by farmers are available for the period 1970–2018. These values were implemented to provide indications on how the price received by farmers has changed over both the long-term and short-term. For this study, the Purdue Crop Cost and Return Guide archive was used to obtain estimates for earnings and losses for the period of 2006–2012. The Center for Commercial Agriculture has provided an archive since 2002 to project costs for the upcoming cropping year [34]. The costs that were taken into consideration included fertilizer, seed, pesticides, machinery (fuel, repairs, and ownership), hauling, interest, insurance, labor, as well as land. A range of potential values of earnings and losses across the state of Indiana were obtained by calculating earnings and losses per hectare for each crop, based on the assumptions of a 404.7 ha (1000-acre) farm with corn and soybeans crop rotations. Overall market revenue per crop was calculated using Equation (6):
Government payments for the crops were based on the direct payment per crop, as shown in Equation (7):
The direct payment for corn was USD 11.02/metric ton (USD 0.28/bu) for corn and USD 16.17/metric ton (USD 0.44/bu) for soybean, with the direct payment based on direct payment yields for low, average, and high productivity soil.
Overhead costs—which include machinery ownership, family and hired labor, as well as land rent—for crop production were subtracted from the summation of the market revenue and government payment to obtain the overall earnings or losses, as indicated by Equation (8):
3. Results
3.1. Water Quantity
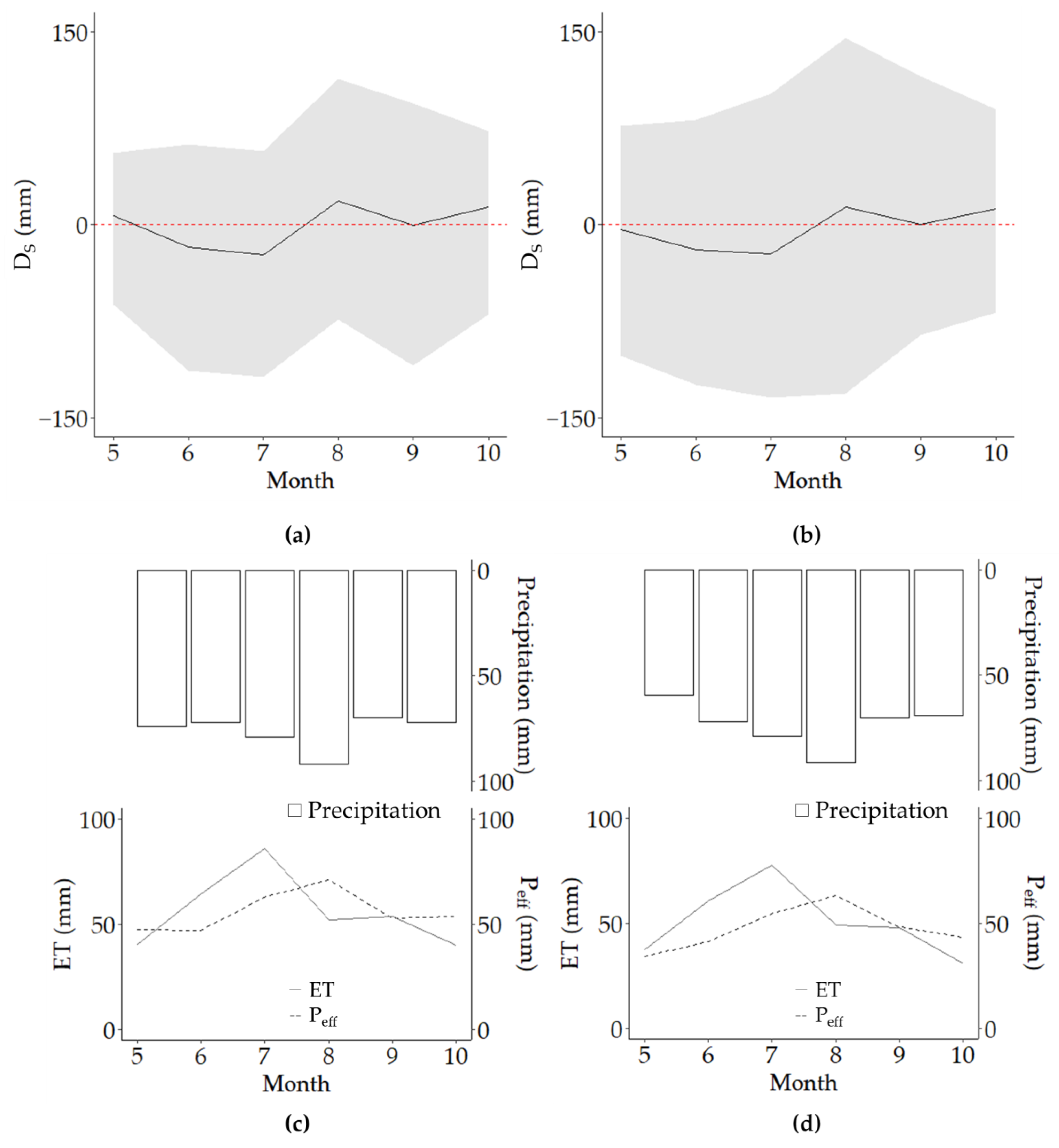
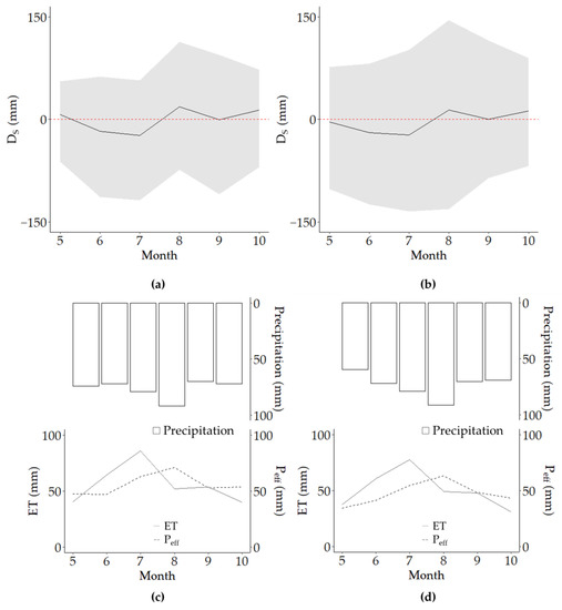
Figure 4 shows the range of values for monthly deficits and surpluses (a, b), along with average monthly precipitation, effective precipitation, and evapotranspiration (c, d) for the same crops. Data shown are averages for the period of 2006–2012. In Figure 4a,b, the shaded region indicates the range of distribution of the DS across all years. While both deficits and surpluses occurred throughout the growing season, for both corn and soybeans, deficits were more pronounced in mid-season, particularly in June and July (Figure 4). Deficits were also seen in August, although this month also tended to have somewhat higher rainfall than the other two months, and hence the deficits were generally less severe. These patterns were thought to be due to the green leaf area, as it plays an important role for evapotranspiration [35,36]. Stone (2003) [37] provides insight on which growth stages are most sensitive to water stress. For corn, water stress should be lessened in particular during the silking period, while for soybeans, it should be lessened during early to mid-bean fill [37]. Silking occurs about 69–76 days (mid-July) after seeding for a typical 120-day hybrid in the Corn Belt of the United States [38]. Early pod development for soybeans starts about 74–88 days (early to mid-August) from planting, with an additional 15–20 days to the middle of the seed filling [39]. Though these periods correlate with the highest number of days of stress per month according to the SWAT output, these sensitive growth stages correlate with a water deficit for corn at −23.50 mm (−0.93 in) and surplus for soybeans at 14.04 mm (0.55 in). As the Matson Ditch Watershed is a precipitation-fed watershed with rapid aquifer recharge, a deficit does not necessarily mean that the crop is experiencing water stress, but that the crop needs from evapotranspiration exceed what is available through effective precipitation and, thus, that the crop would be drawing from storage.
Figure 4.
(a) Average monthly deficits (−ve) and surpluses (+ve) for corn; (b) Average monthly deficits (−ve) and surpluses (+ve) for soybeans; (c) Average monthly precipitation, effective precipitation (black dotted line), and evapotranspiration (grey solid line) for corn; (d) Average monthly precipitation, effective precipitation (black dotted line), and evapotranspiration (grey solid line) for soybeans. Shaded region indicates the range of distribution of the monthly DS across all years.
As Peff is calculated based on the differences between the precipitation and the losses from the system, the amount of effective precipitation may vary with the hydrological conditions in the system. In the Matson Ditch Watershed, the variation in Peff is mainly driven by the surface and subsurface drainage for both corn and soybeans. Losses for corn were highest in May, with surface runoff being highest on average during this month (14.39 mm; 0.57 in). Average subsurface flow for corn ranged from 8.61– to 10.75 mm (0.34–0.42 in), with the highest flow occurring in August. For soybeans, May had surface runoff averaging 12.27 mm (0.48 in) and subsurface flow averaging 8.37mm (0.33 in). The largest combined losses occurred in June, with surface flow averaging 10.39 mm (0.41 in) and subsurface flow averaging 11.77 mm (0.46 in). Subsurface flow for soybeans peaked in August (13.21 mm; 0.52 in), with the end of the growing season having levels at 12.83 mm (0.51 in).
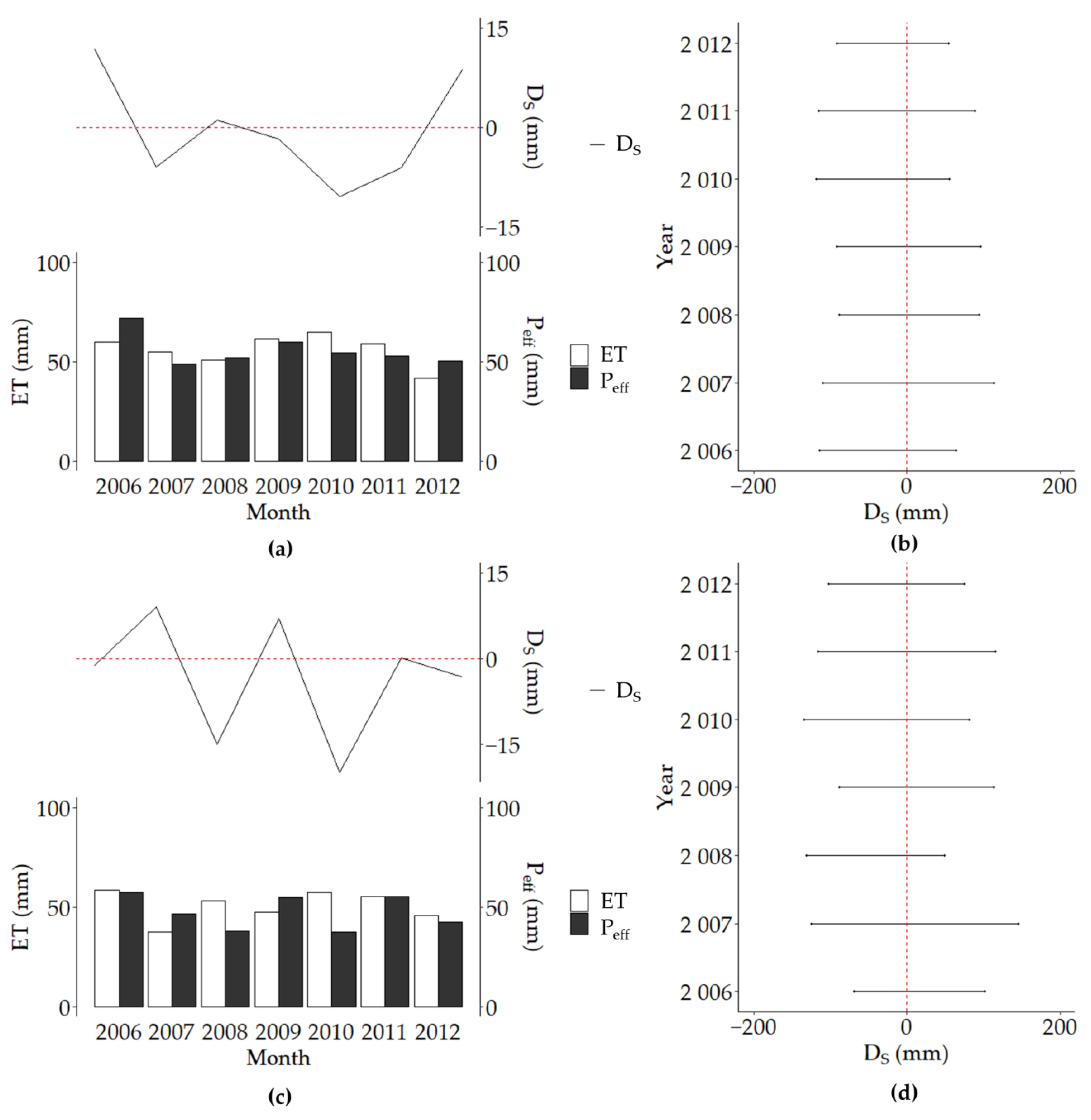
Figure 5 shows the average evapotranspiration and effective precipitation, as well as deficits or surpluses through each growing season in 2006–2012 for both the corn and soybean crops. For corn, the smallest range of DS was seen in 2012, with the range of the deficit and surplus being −91.27 to +54.94 mm (−3.59 to +2.16 in). For soybeans, the smallest range of DS occurred in 2006, with deficit values between −68.35 and 101.68 mm (−2.69 in to +4.00 in). The largest range of the deficit and surplus for corn was in 2007, with a range of −109.65 to +113.49 mm (−4.32 to +4.47 in). For soybeans, this was also in 2007, with a range of −124.56 to +145.34 mm (−4.90 to +5.72 in).
Figure 5.
(a) Average effective precipitation (Peff), evapotranspiration (ET), and deficit/surplus (DS) for corn; (b) Annual range in deficit/surplus for corn; (c) Average effective precipitation (Peff), evapotranspiration (ET), and deficit/surplus (DS) for soybeans; (d) Annual range in deficit/surplus for soybeans.
Variations in temperature, frequency, antecedent soil moisture conditions, and intensity in rainfall can all affect the range for deficits and surpluses for crops. In 2006, the maximum temperature was 34.1 °C (93.4 °F) in July during the growing season, with a minimum of −3.33 °C (26 °F) in October. The maximum temperature for 2012 for the growing season was 38.5°C (101.3 °F) in July, with a minimum in the growing season at −2.4 °C (27.68 °F) in October. Mehan (2018) indicated that the critical daily average temperatures for crop growth range from 20 to 25 °C [11]. From 2006 to 2012, the number of days within this optimal temperature during the growing season ranged between 46 (2009) and 85 (2010). Higher daily temperatures could lead to heat stress and higher evapotranspiration rates [40]. Such climate shifts have already been documented [41,42,43,44,45,46,47] and could have effects on soil water reserves and other characteristics that affect water availability for cropland. It should be noted that the range of values for soybeans is much more pronounced than that of corn. This could be because soybeans are not as severely affected by drought as corn [48], and thus may be more adaptable to changes in climate. This inference aligns with findings from Mehan et al. (2019a) [12] indicating that future yields for soybeans in the Matson Ditch Watershed were projected to be higher than baseline values. Hatfield et al. (2018) [43] showed that corn yields would significantly decrease in the Midwest due to increases in temperature, while soybeans would be more affected by water availability.
3.2. Water Quality
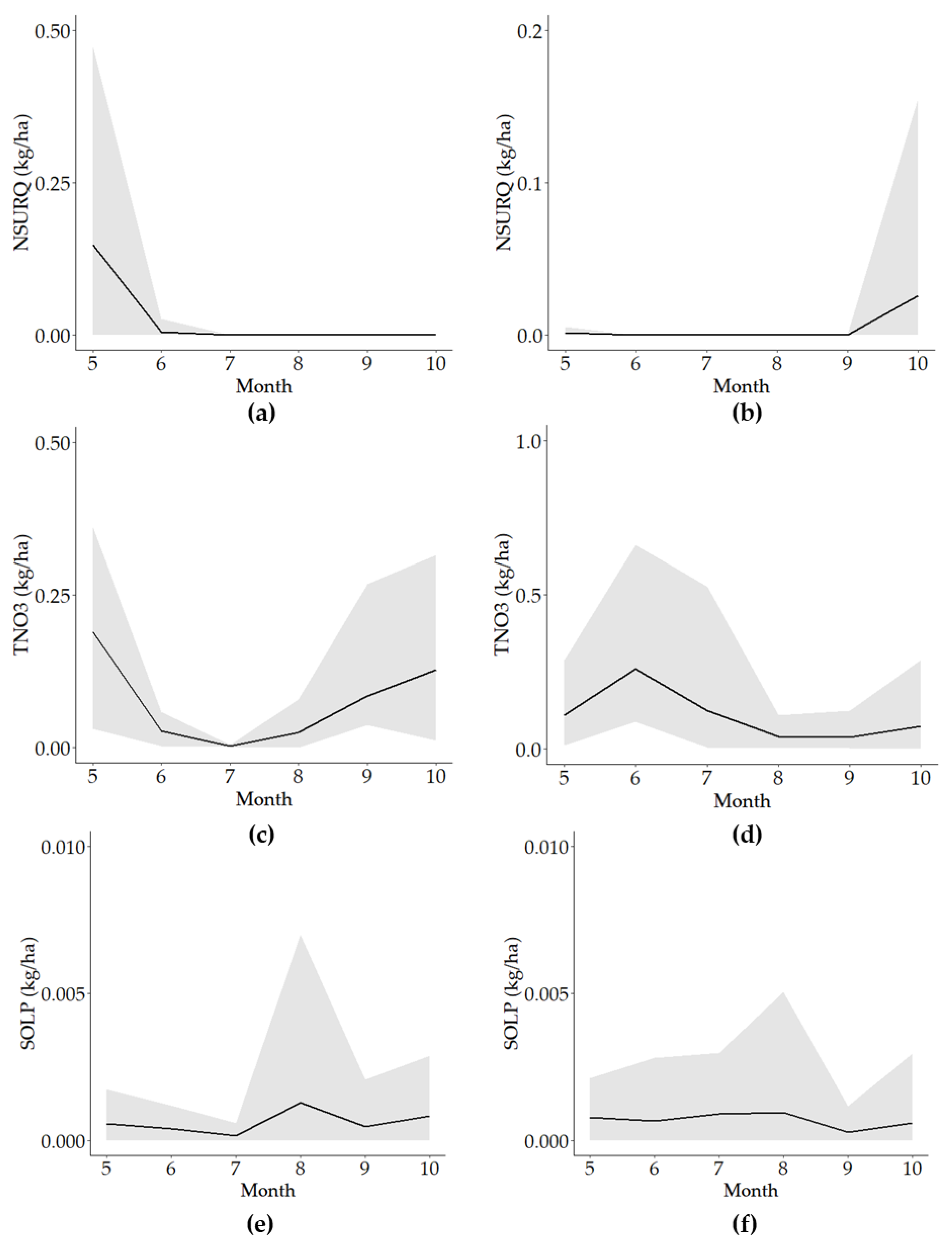
Figure 6 shows the monthly averages for nitrate-N losses in surface runoff (NSURQ), tile (subsurface drainage) nitrate-N losses (TNO3), and soluble phosphorus losses (SOLP) losses from each crop type. The shaded region indicates the range of monthly average distributions across all the growing periods for 2006–2012. For surface nitrate-N losses, the average values in May were 1.48 × 10−1 and 1.22 × 10−3 kg/ha for corn and soybeans, respectively. For corn, there was a decline for June (4.47 × 10−3 kg/ha) and July (1.49 × 10−6 kg/ha), but a slight increase in August (9.39 × 10−5 kg/ha) and September (8.47 × 10−5 kg/ha) with the October average of surface nitrate at 1.66 × 10−4 kg/ha. For soybeans, the values of surface nitrate decreased after May, with the lowest value in June at 2.49 × 10−5 kg/ha and increasing in July (4.97 × 10−5 kg/ha) and August (7.65 × 10−5 kg/ha). There was a slight dip in the average in September (5.77 × 10−5 kg/ha) and then an increase in the harvesting month of October (2.58 × 10−2 kg/ha). The average value of subsurface nitrate-N losses during May was 1.89 × 10−1 kg/ha for corn and 1.09 x 10−1 kg/ha for soybeans. For corn, the average declined in June (2.72 × 10−2 kg/ha), with the lowest value being simulated in July (2.68 × 10−3 kg/ha). Increases were seen in August (2.55 × 10−2 kg/ha) and September (8.40 × 10−2 kg/ha), with the value at the end of the growing season (October) being 1.27 × 10−1 kg/ha. For soybeans, there was an increase in the monthly average of June to 2.58 × 10−1 kg/ha. In July, the monthly average declined to 1.25 × 10−1 kg/ha and decreased in August (4.14 × 10−2 kg/ha) and September (3.78 × 10−2 kg/ha). A slight increase was observed for October (7.25 × 10−2 kg/ha). For soluble phosphorus losses, there was a decline in monthly averages through the growing periods of soybeans, with a slight increase in monthly averages for corn. For corn, the average soluble phosphorus loss at the start of the growing season was 5.67 × 10−4 kg/ha and the season ended with an average value of 8.40 × 10−4 kg/ha. For soybeans, the monthly values of soluble phosphorus losses began at 7.73 × 10−4 kg/ha and ended at 5.95 × 10−4 kg/ha. The increases during the late summer months of July (corn: 1.56 × 10−4 kg/ha; soybean: 8.94 × 10−4 kg/ha) and August (corn peak at 1.29 × 10−3 kg/ha; soybean peak at 9.40 × 10−4 kg/ha) were due to subsurface flow. For both soluble phosphorus and nitrate-N, higher loadings were simulated during the months in which agronomic practices occurred, making these critical periods for water quality. The results, however, suggest the need to monitor contaminant transport during the growing season particularly as related to subsurface losses. Capturing these critical periods allows decision-makers to understand the relationships in water quantity and quality issues on a watershed-scale basis.
Figure 6.
Monthly average nutrient losses from crops in the Matson Ditch Watershed for 2006–2012: (a) surface NO3-N for corn; (b) surface NO3-N for soybeans; (c) subsurface drainage NO3-N for corn; (d) subsurface drainage NO3-N for soybeans; (e) soluble P for corn; (f) soluble P for soybeans. Shaded regions indicate the range of distribution of the monthly nutrient load across all years.
3.3. Crop Growth
Yield values from the SWAT output, as well as the observed values from NASS, are shown in Table 1. The observed NASS crop yield averages for 2006–2012 were 8.1 ± 1.3 t/ha for corn and 2.8 ± 0.3 t/ha for corn and soybean, respectively, compared to 6.5 ± 1.3 and 2.6 ± 1.4 t/ha for the simulated value. Overall, the comparison between the observed and simulated yields indicated that the SWAT model adequately captured crop growth in the Matson Ditch Watershed. It also provided confirmation that though deficits were experienced within the watershed, the crops did not experience stress and had enough water to sustain their growth. This is reasonable, as the Matson Ditch Watershed is a precipitation-fed system with adequate yields being obtained without the need for irrigation. The output of crop yields is important in relation to critical periods as it provides context on why there are stressors within the nexus. By temporally mapping the harvest of these crops in October, it provides a tradeoff that occurs in the nexus; the yield of the crops comes at the cost of water quality, in which several water quality parameters are seen to increase in the month of October.
Table 1.
USDA NASS DeKalb County crop yields for 2006–2012.
3.4. Energy Consumption and Carbon Emissions
The agronomic practices and management operations for corn and soybeans are shown in Table 2. This outlines the timeline for which nutrient and pesticide application occurs, as well as the type of tillage that is used with each crop type within the watershed. The timing of these practices captures critical periods for both energy usages and carbon emissions as these are associated with tillage, planting, fertilizer, and pesticide applications, and harvesting. No energy is required for water application, as the watershed is precipitation-fed. Furthermore, this timing is associated with the water balance through the growing stages of the crop—discussed earlier in the text—and affects the amount and availability of nutrients for transport within the system. Table 3 shows the gallons of fuel required per crop hectare based on the agronomic activities for the Matson Ditch Watershed and the calculated values for carbon emission per liter based on the fuel type found in various sources. The carbon footprint per hectare was calculated by summing the most appropriate fuel requirement based on the field operation as documented in Downs and Hansen (1998) [8], Hanna (2001) [24], and Lal (2004) [28], including fertilization application, tillage, planting, harvesting, and hauling. It was assumed that the crop would be hauled up to half a mile (0.805 km) off the field. The range in carbon emission coefficients shows there is uncertainty in calculating the carbon equivalent for various energy sources, and thus for the Matson Ditch Watershed, decision-makers can estimate the total amount of fuel and carbon emissions based on site-specific agronomic practices.
Table 2.
Agronomic practices or management operations for different land use/ land cover for the Matson Ditch Watershed [11,49].
Table 3.
Estimated range of fuel required (L/ha) for agronomic practices and management operations based on crop and fuel type.
Table 4 outlines the estimated energy required and the carbon equivalent per kg of active ingredient (ai) estimated for the Matson Ditch Watershed based on literature for carbon footprint and equivalent of these chemicals. As inputs for energy are outlined based on the agronomic practices occurring throughout the year, these values are applicable to the growing season in general. For irrigated systems, it would be important to also calculate monthly energy use requirements of pumping and transporting the water to fields through the growing season. Furthermore, carbon emissions from different energy sources could be assessed to provide watershed managers and decision-makers an understanding on the tradeoffs in renewable and nonrenewable energy sources.
Table 4.
Estimates of total energy (MJ/kg ai) and carbon equivalent (kg CO2/kg ai) for fertilizer and pesticide production, packaging, and transport for the Matson Ditch Watershed.
3.5. Cost Assessment of the FEW Nexus
Based on the analysis of all available NASS data (1970–2018) there was an increase in price received for corn and soybeans over time (τ = 0.3749, p < 0.0001 for corn, τ = 0.5732, p < 0.0001 for soybeans). However, this does not necessarily consider potential increases in costs for agronomic inputs, such as machinery maintenance, chemical application, labor, rent, etc. Hence these inputs were taken into account through short-term assessment. The earnings and losses shown in Table 5 were based on a 1000-acre (404.7 ha) farm in Indiana with corn and soybeans rotations, as previously discussed. These values reflect the profitability, which is the difference between the price received multiplied by the yield and the government subsidies (thus, revenue) and the cost of the crop. While the revenue from a crop is not realized until after the growing season, the cost inputs of agronomic practices tend to occur at the beginning of the growing season, thus, these values reflect the costs over the growing period.
Table 5.
Ranges of estimated earnings (+ve) or losses (−ve) per ha for 2003–2012 for a medium-sized farm in Indiana.
The earnings and losses can be explained by historical context. In 2003, a summer drought in the Midwest caused yields for corn and soybeans to be reduced [54], which meant crops were severely stressed. Though still operating at losses in 2004, losses were not as great as those in 2003. According to the Committee on Water Implication of Biofuels Production in the United States in the National Academies of Sciences, Engineering, and Medicine [55], after Hurricane Katrina in 2005, there was a surge in the price of oil, causing an interest in ethanol production due to the low corn prices. The federal government encouraged corn and soybean production with an ethanol subsidy through the Energy Act of 2005 [55]. In 2006, the governor of Indiana announced plans for the state to shift to cellulosic and biomass fuel production. With Indiana being one of the top soy and corn producers in the country, this made the state a suitable candidate for biodiesel production [56]. This, in combination with policies implemented by several countries that constrained corn and soybean supply in the world market, likely added upward pressure to the price of corn and soybean prices [57], which is reflected in the results found. After 2008, there was a decline in demand for agricultural commodities due to the recession, so the profitability of corn and soybeans was reduced [54,55]. These values correspond with insights from Langemeier (2017), that indicated that from 2007–2013, corn production was relatively more profitable than soybeans on an average farm in Indiana [58].
3.6. Interactions Among FEW Nexus Components in the Matson Ditch Watershed
Figure 7 shows how critical periods for the different FEW nexus components can be mapped out across the growing period for decision-making. Inputs and outputs associated with the food and energy components typically occur at the beginning and the end of the growing season as they are associated with farming operations including tillage, planting, and fertilizer applications—which occur at the beginning of the growing season—and harvesting and yields—which occur at the end of the growing season. However, operations occurring mid-season could also have impacts. For example, a post-emergence herbicide application occurring around June is a typical agronomic practice for soybeans in Indiana [59]. While not included in this study, such operations would have associated energy consumption and carbon emissions that would occur during the growing season. Depending on the operation, there could be water quality implications associated with the application or with any soil disturbances that occur. In contrast, both water quantity and quality components varied across the growing season and for the different crops. Nonetheless, there were distinct periods in which water deficits occurred, generally during the period when the crop is actively growing. In the study watershed, the crops were generally able to draw from soil storage when deficits occurred. In areas where substantial deficits occur, irrigation would be necessary to avoid yield losses. Introducing irrigation to a system has implications on energy use and carbon emissions [60]. Furthermore, irrigation has implications for pollutant transport and, thus, could introduce critical periods for water quality in mid-season. Even in areas such as the study watershed, supplemental irrigation has been shown to increase crop yields. Thus, opportunities for potentially water quality-friendly practices—such as drainage water recycling [61]—could be explored. With respect to water quality, key management interventions would be needed at the beginning and towards the end of the growing season. Some of these could entail changes in farming operations, for example, the timing or method of fertilizer applications to minimize pollutant availability for transport thorough surface and/or subsurface pathways. This could have implications on energy use and carbon emissions. Regardless, farmers would be concerned about the implications of changing management practices on yields and overall costs of crop production. Thus, concerted efforts would be needed to optimize management practices so as to minimize water quality impacts while ensuring farming remains profitable [62].
Figure 7.
Summary of monthly (May–October) patterns for corn and soybeans in the Matson Ditch Watershed across the various aspects of the FEW nexus during the 2006–2012 time period. The color-scales indicate low values with lighter colors and higher values with darker colors. For food: the crops continue to grow until at the end of the growing season, in this case, in October. For energy: fuel usage and carbon emissions for each year can be determined for the agronomic calendars for each crop, along with their associated carbon emissions. For water: water quality loads for various pollutants (surface nitrate, NO3-N (surf); subsurface nitrate, NO3-N (sub surf); and soluble phosphorus, SOLP) are mapped out across the growing season for each crop. For water quantity, deficits and surpluses (DS) are indicated for each month for each crop.
4. Discussion
Given the intricate links among food, energy, and water, the competition for water between the food and energy sectors, and the negative effects these two sectors often have on water, assessments considering all three sectors in concert are key to developing long-term solutions for water management. While most associated analyses are conducted on an annual or average annual basis, this study considered monthly timeframes across the crop growing season. This level of analysis provided insights into critical periods for water resources management considering both quantity and quality, and allowed other aspects of the nexus to be integrated at the same level.
When addressing the water demands of corn and soybeans, it is necessary to understand that there are various factors that can play a role. According to the FAO, corn requires about 500–800 mm per growing period, with soybeans requiring 450–700 mm [20]. The actual amount of precipitation available to the crop can be determined by calculating the effective rainfall, which can be obtained by subtracting losses other than evapotranspiration from the total precipitation. Site-specific water balances can be obtained using a hydrological modeling approach, which also helps better attribute periods of water stress. However, depending on the model, a substantial amount of data might be required. In the absence of detailed data, the FAO provides a chart that could be used to calculate effective precipitation [20]. However, various factors can affect effective precipitation, including soil moisture status, crop characteristics, climatic conditions, and hydrological conditions due to geographic location [63], and thus the chart might not always provide a representative picture. Correlations between precipitation and effective precipitation (Peff), and those between effective precipitation and deficits or surpluses (DS) could be constructed for different crops in areas or periods with data (Figure 8) and used in subsequent assessments or other assessments in the same or similar region. For the Matson Ditch Watershed, for example, the chart obtained for Peff compared well to that provided by the FAO (Figure 8a), and inferences could potentially be made on DS based on Peff (Figure 8b). Corresponding correlations (Spearman’s ρ) between precipitation and Peff, and Peff and DS were 0.9239 and 0.6891, respectively, while that betwee precipitation and DS was 0.6344. All correlation values were significant (p < 0.0001). Thus, in cases where it would be difficult to quantify losses due to data limitations, Peff and/or DS could still be estimated as long as precipitation data are available.
Figure 8.
Scatter plots for the Matson Ditch Watershed (MDW) showing: (a) effective precipitation (Peff) for corn and soybeans vs. monthly average precipitation compared to the effective precipitation (Peff) vs. precipitation curve provided by the FAO [24]; and, (b) deficits or surpluses (DS) vs. monthly average effective precipitation.
Though the Matson Ditch is a precipitation-fed watershed, the amount of soil water reserve that is available to plants can become significantly reduced, based on study results. Losses in crop growth and yield may occur due to stress from a deficit in the availability in the amount of water in the soil [16]. In our study, although there were months in which deficits were observed, the crops were able to rely on soil moisture storage and were not adversely affected. This might not be the case in other watersheds. Methodologies used in this study can be applied in other areas to identify critical periods and help identify where additional efforts are needed to better manage water availability. With respect to water quality, the situation in the Matson Ditch Watershed is reflective of the agricultural industry. Nonpoint source pollution from agriculture impairs 48% of rivers in the United States [64], with primary concerns being phosphorus and nitrogen. In high concentrations, soluble phosphorus and nitrogen can become detrimental to water quality [65,66,67,68]. Phosphorus creates eutrophic water conditions that deplete oxygen and heighten hypoxic conditions [69,70,71,72]. Soluble reactive phosphorus, due to its bioavailability, is often the limiting nutrient in fresh waters, thus it is critical to prevent this type of phosphorus from entering susceptible bodies of water [73]. Nitrogen in excessive levels may deplete dissolved oxygen supply and contribute to cyanobacteria growth [73]. Nitrogen paired with phosphorus can affect the prevalence of and toxicity of HABs [74,75,76]. Due to degradation of land and water resources, individual farmers and communities may have to make critical investments to reverse the situation [77]. Government programs that aid in minimizing the cost of sustainable farming practices are available in the United States. In the larger Western Lake Erie Basin, farmers are implementing Best Management Practices (BMPs) on a voluntary basis [78]. With programs such as the 4R Nutrient Stewardship Program, government agencies and farmers work together to optimize farming practices [79] to minimize environmental impacts while continuing to support the viability of farming.
Carbon footprints and carbon emission assessments for farming operations and energy sources required in the agricultural system of interest provide another context that may be of interest to decision-makers. Most FEW nexus assessments focus on greenhouse gas and carbon emissions in relation to energy consumption [80]. To quantify the relationship pathways outlined, values from literature representative of the Matson Ditch Watershed were implemented for energy efficiency and carbon emission concerns that may be of interest to decision-makers or stakeholders. These included fertilizer and pesticides as they are significant secondary sources of carbon emissions in agriculture [28]. Including aspects of agricultural production that occur outside of the growing period would provide an expanded view of the life cycle of agricultural chemical usage through their energy and carbon emissions. As the focus of this study was on the development of critical periods for water resources management in agricultural systems, analysis was kept to the growing period.
With respect to the cost analysis, it was necessary to not just look at the price received by the farmer, but also to address profits or losses. Using the Purdue Crop Cost and Return Guide allowed us to develop an understanding of realistic scenarios for earnings and losses in crop production. Though the assumption for this study was that everything grown was sold at the end of the season, there is potential for storage of grains for later sale [81]. Additionally, cost assessment is much more complex, as the economic value of crops shifts. As noted previously, policy initiatives can influence the profitability of certain crop production and alter the tradeoffs when selecting which crops to produce. This highlights that though policy could allow for differences in behavior, it can also allow for current practices to continue. It also brings forth the point that policy effects are difficult to predict. When evaluating the cost aspects of the FEW nexus, it is, thus, necessary to understand that policy and other cost factors can play a role in profitability of agricultural production.
5. Conclusions
Due to the major role that water quality and quantity play in the FEW nexus, constructing critical periods for water management is important. This study outlined critical periods for various FEW nexus components during the growing season. The amount of water required by crops varied through the season, with needs for corn and soybeans being greatest during the summer months. Water quality was influenced by agronomic practices, with subsurface nitrate-N losses simulated throughout the growing season due to subsurface flow. In general, critical periods for water quality in the study watershed occurred in the early and late season while those for water quantity occurred in mid-season. Any changes to current practice could potentially shift this pattern, particularly as related to water quality. The results suggest the need to adapt agricultural and other management practices across the growing season in line with the respective water resource management needs. It was, however, recognized that such adaptations could have implications for crop yields, energy usage, and carbon emissions which could, in turn, affect farming profitability. This pointed to the need for an optimization approach to finding water management solutions at the nexus. The methodology developed in this study provides a framework through which spatial, temporal, and literature data can be used to conduct FEW nexus-based assessments on a monthly scale with a view to capturing FEW nexus elements as related to critical periods for water management. This provides an additional level of information for decision-makers and stakeholders, apart from the annual or average annual picture, which helps better address water resources concerns. The results show that through the integration of representative values for energy consumption and carbon emissions for field operations and profitability, a more holistic view of component interactions at the FEW nexus could be developed to improve decision-making. Finally, this methodology could be implemented in other areas with similar needs.
Author Contributions
Conceptualization, V.Z.S. and M.W.G.; methodology, V.Z.S., M.W.G., S.S., D.R.J.; software, V.Z.S., S.M.; validation, S.M., M.W.G., S.S., D.R.J., J.P.S., and D.C.F.; formal analysis, V.Z.S.; investigation, V.Z.S.; resources, D.C.F.; data curation, S.M.; writing—original draft preparation, V.Z.S.; writing—review and editing, S.M., M.W.G., S.S., D.R.J., J.P.S., and D.C.F.; visualization, V.Z.S.; supervision, M.W.G.; project administration, M.W.G.; funding acquisition, M.W.G. All authors have read and agreed to the published version of the manuscript.
Funding
This work was supported in part by the National Science Foundation, Award No. 1735282, and in part by the USDA National Institute of Food and Agriculture, Hatch Project IND00000752.
Institutional Review Board Statement
Not applicable.
Informed Consent Statement
Not applicable.
Data Availability Statement
Data available in a publicly accessible repository that does not issue DOIs. Publicly available datasets were analyzed in this study. This data can be found here: https://www.nass.usda.gov/.
Acknowledgments
In this section, you can acknowledge any support given which is not covered by the author contribution or funding sections. This may include administrative and technical support, or donations in kind (e.g., materials used for experiments).
Conflicts of Interest
The authors declare no conflict of interest. The funders had no role in the design of the study; in the collection, analyses, or interpretation of data; in the writing of the manuscript, or in the decision to publish the results.
References
- Hoff, H. Understanding the Nexus. Background Paper for the Bonn2011 Conference: The Water, Energy and Food Security Nexus; Stockholm Environment Institute: Stockholm, Sweden, 2011. [Google Scholar]
- Cai, X.; Wallington, K.; Shafiee-Jood, M.; Marston, L. Understanding and managing the food-energy-water nexus—Oopportunities for water resources research. Adv. Water Resour. 2018, 111, 259–273. [Google Scholar] [CrossRef]
- Daher, B.T.; Mohtar, R.H. Water–energy–food (WEF) Nexus Tool 2.0: Guiding integrative resource planning and decision-making. Water Int. 2015, 40, 748–771. [Google Scholar] [CrossRef]
- Rao, P.; Kostecki, R.; Dale, L.; Gadgil, A. Technology and Engineering of the Water-Energy Nexus. Annu. Rev. Environ. Resour. 2017, 42, 407–437. [Google Scholar] [CrossRef]
- D’Odorico, P.; Davis, K.F.; Rosa, L.; Carr, J.A.; Chiarelli, D.; Dell’Angelo, J.; Gephart, J.; Macdonald, G.K.; Seekell, D.A.; Suweis, S.; et al. The Global Food-Energy-Water Nexus. Rev. Geophys. 2018, 56, 456–531. [Google Scholar] [CrossRef]
- Schull, V.Z.; Daher, B.; Gitau, M.W.; Mehan, S.; Flanagan, D.C. Analyzing FEW nexus modeling tools for water resources decision-making and management applications. Food Bioprod. Process. 2020, 119, 108–124. [Google Scholar] [CrossRef]
- Arnold, J.G.; Srinivasan, R.; Muttiah, R.S.; Williams, J.R. Large area hydrologic modeling and assessment part I: Model development. JAWRA 1998, 34, 73–89. [Google Scholar] [CrossRef]
- Downs, H.; Hansen, R. Estimating Farm Fuel Requirements; Farm and Ranch Series: Equipment; Colorado State University: Fort Collins, CO, USA, 1998. [Google Scholar]
- Namany, S.; Al-Ansari, T.; Govindan, R. Sustainable energy, water and food nexus systems: A focused review of decision-making tools for efficient resource management and governance. J. Clean. Prod. 2019, 225, 610–626. [Google Scholar] [CrossRef]
- United States Environmental Protection Agency (USEPA); Tetra Tech, Inc. St. Joseph River Watershed Indiana TMDLs. Available online: http://www.state.in.us/idem/nps/files/tmdl_st_joseph-lake_erie_report.pdf (accessed on 22 January 2021).
- Mehan, S. Impact of Changing Climate on Water Resources in the Western Lake Erie Basin Using SWAT. Ph.D. Thesis, Purdue University, West Lafayette, IN, USA, 2018. Available online: https://docs.lib.purdue.edu/open_access_dissertations/1512/ (accessed on 22 January 2021).
- Mehan, S.; Aggarwal, R.; Gitau, M.W.; Flanagan, D.C.; Wallace, C.W.; Frankenberger, J.R. Assessment of hydrology and nutrient losses in a changing climate in a subsurface-drained watershed. Sci. Total Environ. 2019, 688, 1236–1251. [Google Scholar] [CrossRef] [PubMed]
- Mehan, S.; Gitau, M.W.; Flanagan, D.C. Reliable Future Climatic Projections for Sustainable Hydro-Meteorological Assessments in the Western Lake Erie Basin. Water 2019, 11, 581. [Google Scholar] [CrossRef]
- Flanagan, D.C.; Livingston, S.J.; Huang, C.-H.; Warnemuende, E.A. Runoff and Pesticide Discharge from Agricultural Watersheds in NE Indiana; American Society of Agricultural and Biological Engineers: St. Joseph, IN, USA, 2003; p. 1. [Google Scholar] [CrossRef]
- Flanagan, D.C.; Zuercher, B.W.; Huang, C.-H. AnnAGNPS Application and Evaluation in NE Indiana; American Society of Agricultural and Biological Engineers: St. Joseph, IN, USA, 2008; p. 19. [Google Scholar] [CrossRef]
- Walthall, C.L.; Anderson, C.J.; Baumgard, L.H.; Takle, E.; Wright-Morton, L. Climate Change and Agriculture in the United States: Effects and Adaptation. Technical Bulletin. Available online: https://www.usda.gov/sites/default/files/documents/CC%20and%20Agriculture%20Report%20(02-04-2013)b.pdf (accessed on 26 January 2021).
- Johnson, B.; Whitford, F.; Hahn, L.; Flakne, D.; Frankenberger, J.; Janssen, C.; Bailey, T. Atrazine and Drinking Water: Un-derstanding the Needs of Farmers and Citizens; Purdue University Cooperative Extension Service: West Lafayette, IN, USA, 2004; p. 66. [Google Scholar]
- Sekaluvu, L.; Zhang, L.; Gitau, M. Evaluation of constraints to water quality improvements in the Western Lake Erie Basin. J. Environ. Manag. 2018, 205, 85–98. [Google Scholar] [CrossRef] [PubMed]
- United States Energy Information Agency (USEIA). Indiana State Profile and Energy Estimates. Available online: https://www.eia.gov/state/?sid=IN#tabs-1 (accessed on 21 January 2021).
- Brouwer, C.; Heibloem, M. Irrigation Water Management: Irrigation Water Needs; Training Manual; Food and Agriculture Organization (FAO) of the United Nations, Land and Water Development Division: Rome, Italy, 1986; Available online: http://www.fao.org/3/S2022E/s2022e00.htm (accessed on 25 January 2021).
- Goulding, K. Pathways and Losses of Fertilizer Nitrogen at Different Scales. In Agriculture and The Nitrogen Cycle: Assessing the Impacts of Fertilizer Use on Food Production and the Environment; Scientific Committee on Problems of the Environment: Paris, France, 2004; pp. 209–219. [Google Scholar]
- Nangia, V.; Gowda, P.H.; Mulla, D.J.; Sands, G.R. Water Quality Modeling of Fertilizer Management Impacts on Nitrate Losses in Tile Drains at the Field Scale. J. Environ. Qual. 2008, 37, 296–307. [Google Scholar] [CrossRef]
- Neitsch, S.L.; Arnold, J.G.; Kiniry, J.R.; Williams, J.R. Soil and Water Assessment Tool Theoretical Documentation Version 2009; Texas Water Resources Institute: College Station, TX, USA, 2011. [Google Scholar]
- Hanna, H.M. Fuel Required for Field Operations; Iowa State University, University Extension: Ames, IA, USA, 2001. [Google Scholar]
- United States Environmental Protection Agency (USEPA). 1.5 Liquefied Petroleum Gas Combustion. Available online: https://www3.epa.gov/ttnchie1/ap42/ch01/final/c01s05.pdf (accessed on 19 January 2021).
- United States Environmental Protection Agency (USEPA). Emission Factors for Greenhouse Gas Inventories. Available online: https://www.epa.gov/sites/production/files/2015-07/documents/emission-factors_2014.pdf (accessed on 19 January 2021).
- United States Environmental Protection Agency (USEPA). Greenhouse Gases Equivalencies Calculator-Calculations and References. Available online: https://www.epa.gov/energy/greenhouse-gases-equivalencies-calculator-calculations-and-references (accessed on 19 January 2021).
- Lal, R. Carbon emission from farm operations. Environ. Int. 2004, 30, 981–990. [Google Scholar] [CrossRef] [PubMed]
- Audsley, E.; Stacey, K.; Parsons, D.J.; Williams, A.G. Estimation of the Greenhouse Gas Emissions from Agricultural Pesticide Manufacture and Use. Available online: https://dspace.lib.cranfield.ac.uk/bitstream/handle/1826/3913/Estimation_of_the_greenhouse_gas_emissions_from_agricultural_pesticide_manufacture_and_use-2009.pdf;jsessionid=784EAECEE049B54A85B13688379064F4?sequence=1 (accessed on 26 January 2021).
- Ma, B.L.; Liang, B.C.; Biswas, D.K.; Morrison, M.J.; McLaughlin, N.B. The carbon footprint of maize production as affected by nitrogen fertilizer and maize-legume rotations. Nutr. Cycl. Agroecosyst. 2012, 94, 15–31. [Google Scholar] [CrossRef]
- Brentrup, F.; Hoxha, A.; Christensen, B. Carbon footprint analysis of mineral fertilizer production in Europe and other world regions. In Proceedings of the 10th International Conference on Life Cycle Assessment of Food (LCA Food 2016), Dublin, Ireland, 19–21 October 2016. [Google Scholar]
- Hillier, J.; Hawes, C.; Squire, G.; Hilton, A.; Wale, S.; Smith, P. The carbon footprints of food crop production. Int. J. Agric. Sustain. 2009, 7, 107–118. [Google Scholar] [CrossRef]
- Hillier, J.; Walter, C.; Malin, D.; Garcia-Suarez, T.; Mila-I-Canals, L.; Smith, P. A farm-focused calculator for emissions from crop and livestock production. Environ. Model. Softw. 2011, 26, 1070–1078. [Google Scholar] [CrossRef]
- Dobbins, C.; Langemeier, M.; Nielsen, B.; Vyn, T.; Casteel, S.; Johnson, B. Crop Cost & Return Guide. Available online: https://ag.purdue.edu/commercialag/home/resource/keyword/crop-cost-return-guide-archive/ (accessed on 19 January 2021).
- Payero, J.; Tarkalson, D.; Irmak, S.; Davison, D.; Petersen, J. Effect of timing of a deficit-irrigation allocation on corn evapotranspiration, yield, water use efficiency and dry mass. Agric. Water Manag. 2009, 96, 1387–1397. [Google Scholar] [CrossRef]
- Suyker, A.E.; Verma, S.B. Evapotranspiration of irrigated and rainfed maize–soybean cropping systems. Agric. For. Meteorol. 2009, 149, 443–452. [Google Scholar] [CrossRef]
- Stone, L.R. Crop water use requirements and water use efficiency. In Proceedings of the 15th annual Central Plains Irrigation Conference and Exposition proceedings, Colby, KS, USA, 4–5 February 2003. [Google Scholar]
- Widhalm, M. Corn Growth Stages with Estimated Calendar Days and Growing-Degree Units. Available online: https://mygeohub.org/resources/879/download/Corn-growth-stage-day-and-GDU-calendar10.pdf (accessed on 22 January 2021).
- Casteel, S. Soybean Physiology: How Well Do You Know Soybeans. Available online: https://www.agry.purdue.edu/ext/soybean/arrivals/10soydevt.pdf (accessed on 22 January 2021).
- Ritchie, J.T. Model for predicting evaporation from a row crop with incomplete cover. Water Resour. Res. 1972, 8, 1204–1213. [Google Scholar] [CrossRef]
- Widhalm, M.; Hamlet, A.; Byun, K.; Robeson, S.; Baldwin, M.; Staten, P.; Chiu, C.-M.; Coleman, J.; Hall, B.; Hoogewind, K. Indiana’s Past & Future Climate: A Report from the Indiana Climate Change Impacts Assessment; Purdue University: West Lafayette, IN, USA, 2018. [Google Scholar]
- Byun, K.; Hamlet, A.F. Projected changes in future climate over the Midwest and Great Lakes region using downscaled CMIP5 ensembles. Int. J. Clim. 2018, 38, e531–e553. [Google Scholar] [CrossRef]
- Hatfield, J.L.; Wright-Morton, L.; Hall, B. Vulnerability of grain crops and croplands in the Midwest to climatic variability and adaptation strategies. Clim. Chang. 2018, 146, 263–275. [Google Scholar] [CrossRef]
- United States Environmental Protection Agency (USEPA). Adapting to Climate Change: Midwest. Office of Policy. Available online: https://www.epa.gov/sites/production/files/2016-07/documents/midwest_fact_sheet.pdf (accessed on 25 January 2021).
- United States Environmental Protection Agency (USEPA). Climate Impacts in the Midwest. Available online: https://19january2017snapshot.epa.gov/climate-impacts/climate-impacts-midwest_.html (accessed on 5 July 2020).
- O’Neal, M.R.; Nearing, M.; Vining, R.C.; Southworth, J.; Pfeifer, R.A. Climate change impacts on soil erosion in Midwest United States with changes in crop management. Catena 2005, 61, 165–184. [Google Scholar] [CrossRef]
- Wuebbles, D.J.; Hayhoe, K. Climate Change Projections for the United States Midwest. Mitig. Adapt. Strat. Glob. Chang. 2004, 9, 335–363. [Google Scholar] [CrossRef]
- Licht, M.; Sotirios, A. Integrated Crop Management. Influence of Drought on Corn and Soybean; Iowa State University, University Extension: Ames, IA, USA, 2017; Available online: https://crops.extension.iastate.edu/cropnews/2017/07/influence-drought-corn-and-soybean (accessed on 25 January 2021).
- Wallace, C.W. Simulation of Conservation Practice Effects on Water Quality Under Current and Future Climate Scenarios. Ph.D. Thesis, Purdue University, West Lafayette, IN, USA, 2016. Available online: https://docs.lib.purdue.edu/open_access_dissertations/724/ (accessed on 22 January 2021).
- United States Energy Information Agency (USEIA). How Much Carbon Dioxide is Produced when Different Fuels are Burned? Available online: https://www.eia.gov/tools/faqs/faq.php?id=73&t=11 (accessed on 19 January 2021).
- Hall, C.A.; Dale, B.E.; Pimentel, D. Seeking to Understand the Reasons for Different Energy Return on Investment (EROI) Estimates for Biofuels. Sustainability 2011, 3, 2413–2432. [Google Scholar] [CrossRef]
- Kim, S.; Dale, B.E. Life cycle assessment of various cropping systems utilized for producing biofuels: Bioethanol and biodiesel. Biomass Bioenergy 2005, 29, 426–439. [Google Scholar] [CrossRef]
- Pimentel, D.; Patzek, T.W. Ethanol Production Using Corn, Switchgrass, and Wood; Biodiesel Production Using Soybean and Sunflower. Nat. Resour. Res. 2005, 14, 65–76. [Google Scholar] [CrossRef]
- Mondesir, R. A Historical Look at Soybean Price Increases: What Happened Since the Year 2000? Available online: https://stats.bls.gov/opub/btn/volume-9/pdf/a-historical-look-at-soybean-price-increases-what-happened-since-the-year-2000.pdf (accessed on 22 January 2021).
- National Research Council (NRC). Water Implications of Biofuels Production in the United States; National Academies Press: Washington, DC, USA, 2008; Available online: https://www.nap.edu/catalog/12039/water-implications-of-biofuels-production-in-the-united-states (accessed on 25 January 2021).
- Wishin, A.R. Soy and the City: The Protection of Indiana’s Agricultural Land in Light of Biofuel Issues. Valpso. Univ. Law Rev. 2008, 42. Available online: https://scholar.valpo.edu/vulr/vol42/iss3/7 (accessed on 26 January 2021).
- Hochman, G.; Kaplan, S.; Rajagopal, D.; Zilberman, D. Biofuel and Food-Commodity Prices. Agriculture 2012, 2, 272–281. [Google Scholar] [CrossRef]
- Langemeier, M. Relative Profitability of Corn and Soybean Production in Indiana. Available online: https://ag.purdue.edu/commercialag/Documents/Resources/Mangagement-Strategy/Crop-Economics/2017_04_04_Langemeier_Relative_Profitability.pdf (accessed on 22 January 2021).
- Loux, M.M.; Doohan, D.; Dobbels, A.F.; Johnson, W.G.; Young, B.G.; Legleiter, T.R.; Hager, A. Weed Control Guide for Ohio, Indiana and Illinois. Available online: https://farmdoc.illinois.edu/wp-content/uploads/2014/12/2015-Weed-Control-Guide.pdf (accessed on 25 January 2021).
- Rothausen, S.G.S.A.; Conway, D. Greenhouse-gas emissions from energy use in the water sector. Nat. Clim. Chang. 2011, 1, 210–219. [Google Scholar] [CrossRef]
- Reinhart, B.D.; Frankenberger, J.R.; Hay, C.H.; Helmers, M.J. Simulated water quality and irrigation benefits from drainage water recycling at two tile-drained sites in the U.S. Midwest. Agric. Water Manag. 2019, 223, 105699. [Google Scholar] [CrossRef]
- Gitau, M.W.; Veith, T.L.; Gburek, W.J. Farm–level optimization of bmp placement for cost–effective pollution reduction. Trans. ASAE 2004, 47, 1923–1931. [Google Scholar] [CrossRef]
- Ali, M.H.; Mubarak, S. Effective Rainfall Calculation Methods for Field Crops: An Overview, Analysis and New Formulation. Asian Res. J. Agric. 2017, 7, 1–12. [Google Scholar] [CrossRef]
- Cain, Z.; Lovejoy, S. The Economic and Environmental Effect of Adding Conservation Buffer Areas in the Matson Ditch Wa-Tershed; Purdue University: West Lafayette, IN, USA, 2006. [Google Scholar]
- Mueller, D.K.; Spahr, N.E. Nutrients in Streams and Rivers Across the Nation. Sci. Investig. Rep. 2006, 5107, 2328. [Google Scholar]
- Vitousek, P.M.; Hättenschwiler, S.; Olander, L.; Allison, S. Nitrogen and Nature. AMBIO 2002, 31, 97–101. [Google Scholar] [CrossRef] [PubMed]
- Chaffin, J.D.; Bridgeman, T.B.; Bade, D.L. Nitrogen Constrains the Growth of Late Summer Cyanobacterial Blooms in Lake Erie. Adv. Microbiol. 2013, 3, 16–26. [Google Scholar] [CrossRef]
- Mueller, D.K.; Helsel, D.R. Nutrients in the Nation’s Waters—Too Much of a Good Thing? US Government Printing Office: Washington, DC, USA, 1996; Volume 1136.
- Kerr, J.M.; DePinto, J.V.; McGrath, D.; Sowa, S.P.; Swinton, S.M. Sustainable management of Great Lakes watersheds dominated by agricultural land use. J. Great Lakes Res. 2016, 42, 1252–1259. [Google Scholar] [CrossRef]
- Bridgeman, T.B.; Chaffin, J.D.; Kane, D.D.; Conroy, J.D.; Panek, S.E.; Armenio, P.M. From River to Lake: Phosphorus partitioning and algal community compositional changes in Western Lake Erie. J. Great Lakes Res. 2012, 38, 90–97. [Google Scholar] [CrossRef]
- Michalak, A.M.; Anderson, E.J.; Beletsky, D.; Boland, S.; Bosch, N.S.; Bridgeman, T.B.; Chaffin, J.D.; Cho, K.; Confesor, R.; Daloğlu, I.; et al. Record-setting algal bloom in Lake Erie caused by agricultural and meteorological trends consistent with expected future conditions. Proc. Natl. Acad. Sci. USA 2013, 110, 6448–6452. [Google Scholar] [CrossRef] [PubMed]
- Daloğlu, I.; Cho, K.H.; Scavia, D. Evaluating Causes of Trends in Long-Term Dissolved Reactive Phosphorus Loads to Lake Erie. Environ. Sci. Technol. 2012, 46, 10650–10666. [Google Scholar] [CrossRef]
- Mijares, V.; Gitau, M.; Johnson, D.R. A Method for Assessing and Predicting Water Quality Status for Improved Decision-Making and Management. Water Resour. Manag. 2018, 33, 509–522. [Google Scholar] [CrossRef]
- Gobler, C.J.; Burkholder, J.M.; Davis, T.W.; Harke, M.J.; Johengen, T.; Stow, C.A.; Van de Waal, D.B. The dual role of nitrogen supply in controlling the growth and toxicity of cyanobacterial blooms. Harmful Algae 2016, 54, 87–97. [Google Scholar] [CrossRef]
- Davis, T.W.; Berry, D.L.; Boyer, G.L.; Gobler, C.J. The effects of temperature and nutrients on the growth and dynamics of toxic and non-toxic strains of Microcystis during cyanobacteria blooms. Harmful Algae 2009, 8, 715–725. [Google Scholar] [CrossRef]
- Heisler, J.; Glibert, P.; Burkholder, J.; Anderson, D.; Cochlan, W.; Dennison, W.; Dortch, Q.; Gobler, C.; Heil, C.; Humphries, E.; et al. Eutrophication and harmful algal blooms: A scientific consensus. Harmful Algae 2008, 8, 3–13. [Google Scholar] [CrossRef] [PubMed]
- Shiferaw, B.A.; Okello, J.; Reddy, R.V. Adoption and adaptation of natural resource management innovations in smallholder agriculture: Reflections on key lessons and best practices. Environ. Dev. Sustain. 2007, 11, 601–619. [Google Scholar] [CrossRef]
- Zhang, W. Agricultural land management and downstream water quality: Insights from Lake Erie. In Proceedings of the Integrated Crop Management Conference, Iowa State University, Ames, IN, USA, 1 December 2016. [Google Scholar]
- Burnett, E.A.; Wilson, R.S.; Roe, B.; Howard, G.; Irwin, E.; Zhang, W.; Martin, J. Farmers, Phosphorus and Water Quality: Part II. A Descriptive Report of Beliefs, Attitudes and Best Management Practices in the Maumee Watershed of the Western Lake Erie Basin; The Ohio State University, School of Environment & Natural Resources: Columbus, OH, USA, 2015; Available online: https://www2.econ.iastate.edu/faculty/zhang/publications/outreach-articles/farmers-phosphorus-and-water-quality-2015-burnett.pdf (accessed on 25 January 2021).
- Mannan, M.; Al-Ansari, T.; Mackey, H.R.; Al-Ghamdi, S.G. Quantifying the energy, water and food nexus: A review of the latest developments based on life-cycle assessment. J. Clean. Prod. 2018, 193, 300–314. [Google Scholar] [CrossRef]
- Ikerd, J. Marketing Strategies for New Farmers. Available online: http://web.missouri.edu/~ikerdj/papers/SFT-New%20Farm%20Marketing%20(508).htm#:~:text=Grain%20farmers%20can%20sell%20at,buyers%20at%20different%20market%20locations (accessed on 22 January 2021).
Publisher’s Note: MDPI stays neutral with regard to jurisdictional claims in published maps and institutional affiliations. |
© 2021 by the authors. Licensee MDPI, Basel, Switzerland. This article is an open access article distributed under the terms and conditions of the Creative Commons Attribution (CC BY) license (http://creativecommons.org/licenses/by/4.0/).







