Thirty-Nine-Year Wave Hindcast, Storm Activity, and Probability Analysis of Storm Waves in the Kara Sea, Russia
Abstract
1. Introduction
2. Materials and Methods
2.1. Wave Modeling
2.2. Quality Assessment of the Wave Model Results
2.3. Recurrence of the Storm Wave Events
3. Wave Climate
3.1. Mean and Extreme Wave Parameters
3.2. Seasonal Variability of Wave Characteristics
3.3. Interannual Variability of Storm Wave Events
4. Probability Analysis of Storm Waves
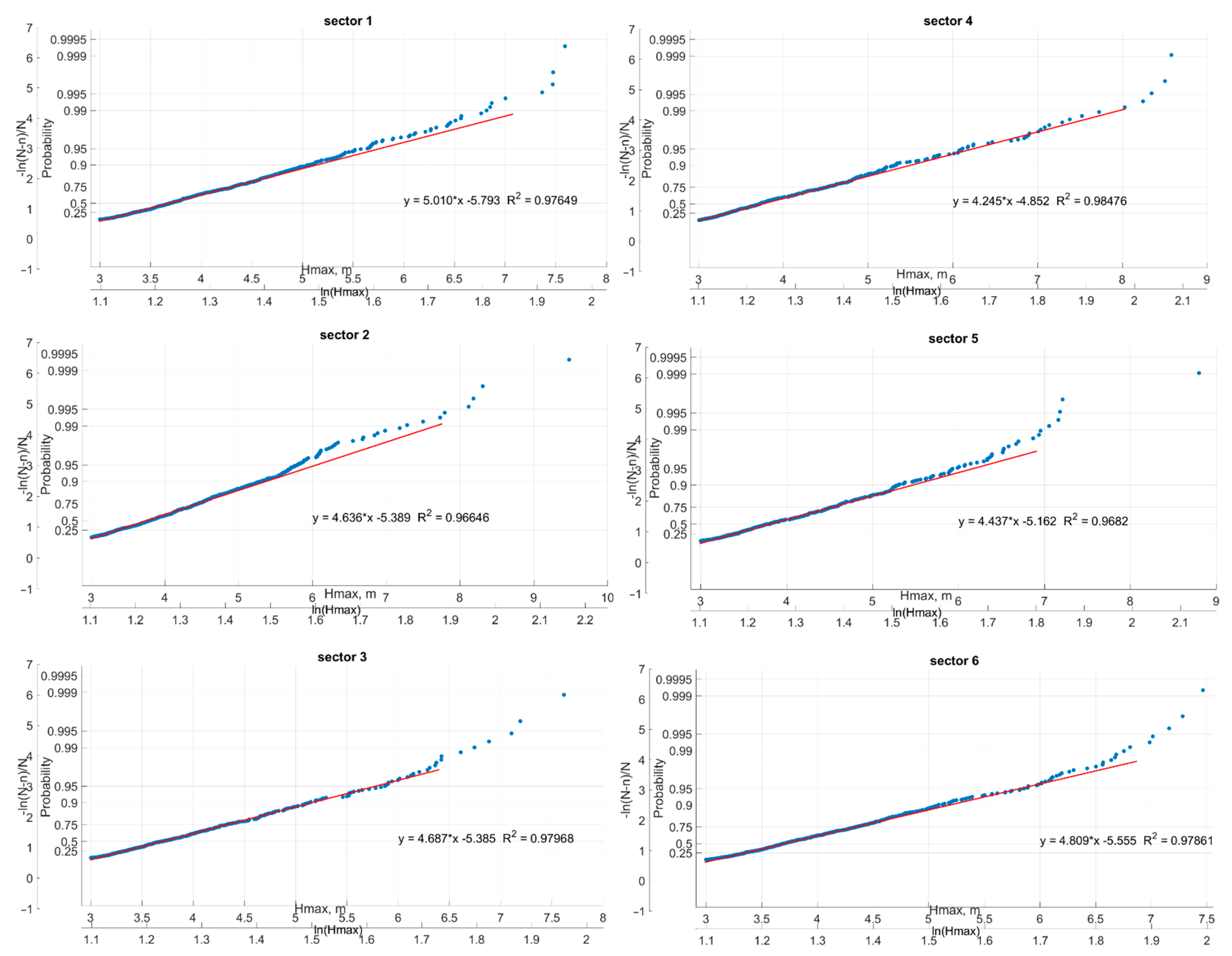
4.1. Probability Functions of the Storm Recurrence in Different Sectors of the Kara Sea
4.2. Interannual Analysis of Extreme Events (“Dragons”)
5. Discussion and Conclusions
Author Contributions
Funding
Acknowledgments
Conflicts of Interest
References
- De Leo, F.; Solari SBesio, G. Extreme wave analysis based on atmospheric pattern classification: An application along the Italian coast. Nat. Hazards Earth Syst. Sci. 2020, 20, 1233–1246. [Google Scholar] [CrossRef]
- Menéndez, M.; Méndez, F.; Losada, I.; Graham, N. Variability of extreme wave heights in the northeast Pacific Ocean based on buoy measurements. Geophys. Res. Lett. 2008, 35, L22607. [Google Scholar] [CrossRef]
- Meucci, A.; Young, I.; Aarnes, O.; Breivik, Ø. Comparison of wind speed and wave height trends from twentieth-century models and satellite altimeters. J. Clim. 2020, 33, 611–624. [Google Scholar] [CrossRef]
- Young, I.; Ribal, A. Multiplatform evaluation of global trends in wind speed and wave height. Science 2019, 364, 548–552. [Google Scholar] [CrossRef]
- Liu, Q.; Babanin, A.; Zieger, S.; Young, I.; Guan, C. Wind and wave climate in the Arctic Ocean as observed by altimeters. J. Clim. 2016, 29, 7957–7975. [Google Scholar] [CrossRef]
- Bertin, X.; Prouteau, E.; Letetrel, C. A significant increase in wave height in the North Atlantic Ocean over the 20th century. Glob. Planet Change 2013, 106, 77–83. [Google Scholar] [CrossRef]
- Dobrynin, M.; Murawski, J.; Baehr, J.; Ilyina, T. Detection and attribution of climate change signal in ocean wind waves. J. Clim. 2015, 28, 1578–1591. [Google Scholar] [CrossRef]
- Kumar, P.; Min, S.-K.; Weller, E.; Lee, H.; Wang, X. Influence of climate variability on extreme ocean surface wave heights assessed from ERA-Interim and ERA-20C. J. Clim. 2016, 29, 4031–4046. [Google Scholar] [CrossRef]
- Semedo, A.; Sušelj, K.; Rutgersson, A.; Sterl, A. A global view on the wind sea and swell climate and variability from ERA-40. J. Clim. 2011, 24, 1461–1479. [Google Scholar] [CrossRef]
- Wang, X.; Swail, V. Changes of extreme wave heights in Northern Hemisphere oceans and related atmospheric circulation regimes. J. Clim. 2001, 14, 2204–2221. [Google Scholar] [CrossRef]
- Weisse, R.; Von Storch, H.; Feser, F. Northeast Atlantic and North Sea storminess as simulated by a regional climate model during 1958–2001 and comparison with observations. J. Clim. 2005, 18, 465–479. [Google Scholar] [CrossRef]
- Khon, V.; Mokhov, I.; Pogarskiy, F.; Babanin, A.; Dethloff, K.; Rinke, A.; Matthes, H. Wave heights in the 21st century Arctic Ocean simulated with a regional climate model. Geophys. Res. Lett. 2014, 41, 2956–2961. [Google Scholar] [CrossRef]
- Fedele, F.; Arena, F. Long-Term Statistics and Extreme Waves of Sea Storms. J. Phys. Oceanogr. 2010, 40, 1106–1117. [Google Scholar] [CrossRef]
- Adekunle, O.; Xiaopei, L.; Dongliang, Z.; Zhifeng, W. Long-term variability of extreme significant wave height in the South China Sea. Adv. Meteorol. 2016, 2016, 2419353. [Google Scholar] [CrossRef]
- Lopatukhin, L.I. (Ed.) Wind and Wave Climate Handbook. Kara Sea and Sea of Japan; Russian Maritime, Register of Shipping: St. Petersburg, Russia, 2009. [Google Scholar]
- Diansky, N.; Fomin, V.; Kabatchenko, I.; Gruzinov, V. Simulation of circulation of the Kara and Pechora Seas through the system of express diagnosis and prognosis of marine dynamics. Arct. Ecol. Econom. 2014, 1, 57–73. [Google Scholar]
- Stopa, J.; Ardhuin, F.; Girard-Ardhuin, F. Wave climate in the Arctic 1992–2014: Seasonality and trends. Cryosphere 2016, 10, 1605–1629. [Google Scholar] [CrossRef]
- Li, J.; Ma, Y.; Liu, Q.; Zhang, W.; Guan, C. Growth of wave height with retreating ice cover in the Arctic. Cold Reg. Sci. Technol. 2019, 164, 102790. [Google Scholar] [CrossRef]
- Duan, C.; Dong, S.; Wang, Z. Wave climate analysis in the ice-free waters of Kara Sea Regio. Stud. Mar. Sci. 2019, 30, 100719. [Google Scholar]
- Waseda, T.; Webb, A.; Sato, K.; Inoue, J.; Kohout, A.; Penrose, B. Correlated increase of high ocean waves and winds in the ice-free waters of the Arctic Ocean. Sci. Rep. 2018, 8, 1–9. [Google Scholar] [CrossRef]
- Young, I.; Zieger, S.; Babanin, A. Global trends in wind speed and wave height. Science 2011, 332, 451–455. [Google Scholar] [CrossRef] [PubMed]
- Kislov, A.; Matveeva, T. The Monsoon over the Barents Sea and Kara Sea. Atmos. Clim. Sci. 2020, 10, 339–356. [Google Scholar] [CrossRef]
- Serreze, M.; Stroeve, J. Arctic sea ice trends, variability and implications for seasonal ice forecasting. Philos. Trans. R. Soc. Lond. 2015, 373, 20140159. [Google Scholar] [CrossRef] [PubMed]
- Caian, M.; Koenigk, T.; Döscher, R.; Devasthale, A. An interannual link between Arctic sea-ice cover and the North Atlantic Oscillation. Clim. Dyn. 2018, 50, 423–441. [Google Scholar] [CrossRef]
- Shalina, E. Arctic sea ice decline from satellite passive microwave observations. Sovremennye Probl. Distantsionnogo Zondirovaniya Zemli iz Kosm. 2013, 10, 328–336. [Google Scholar]
- Semenov, E.; Sokolikhina, N.; Tudriy, K.; Shchenin, M. Synoptic mechanisms of winter warming in the Arctic. Rus. Meteorol. Hydrol. 2015, 40, 576–583. [Google Scholar] [CrossRef]
- Semenov, V.; Cherenkova, E. Evaluation of the Atlantic multidecadal oscillation impact on large-scale atmospheric circulation in the Atlantic region in summer. Dokl. Earth Sc. 2018, 478, 263–267. [Google Scholar] [CrossRef]
- Ivanov, V.; Repina, I. The effect of seasonal variability of Atlantic water on the Arctic sea ice cover. Izv. Atmos. Ocean. Phys. 2018, 54, 65–72. [Google Scholar] [CrossRef]
- Tilinina, N.; Gulev, S.; Bromwich, D. New view of Arctic cyclone activity from the Arctic System reanalysis. Geophys. Res. Lett. 2014, 43, 1766–1772. [Google Scholar] [CrossRef]
- Zhang, X.; Walsh, J.; Zhang, J.; Bhatt, U.; Ikeda, M. Climatology and interannual variability of Arctic cyclone activity: 1948–2002. J. Climate 2004, 17, 2300–2317. [Google Scholar] [CrossRef]
- Surkova, G.; Sokolova, L.; Chichev, A. Long-term regime of extreme winds in the Barents and Kara seas. Vestn. Mosk. Univ. Ser. 5 Geogr. 2015, 5, 53–58. [Google Scholar]
- Stocker, T.F.; Qin, D.; Plattner, G.K.; Tignor, M.; Allen, S.K.; Boschung, J.; Nauels, A.; Xia, Y.; Bex, V.; Midgley, P.M. (Eds.) IPCC, 2013: Climate Change 2013: The Physical Science Basis. Contribution of Working Group I to the Fifth Assessment Report of the Intergovernmental Panel on Climate Change; Cambridge University Press: Cambridge, UK; New York, NY, USA, 2013. [Google Scholar]
- Reistad, M.; Breivik, Ø.; Haakenstad, H.; Aarnes, O.J.; Furevik, B.R. A high-resolution hindcast of wind and waves for the North Sea, the Norwegian Sea and the Barents Sea. J. Geophys. Res. 2011, 116, C05019. [Google Scholar] [CrossRef]
- Tolman, H. The WAVEWATCH III Development Group User Manual and System Documentation of WAVEWATCH III Version 4.18. Tech. Note 316, NOAA/NWS/NCEP/MMAB. 2014. Available online: https://www.researchgate.net/publication/282672355_User_manual_and_system_documentation_of_WAVEWATCH_III_R_version_418 (accessed on 18 December 2020).
- Tolman, H. The WAVEWATCH III Development Group User Manual and System Documentation of WAVEWATCH III Version 6.07. Tech. Note 333, NOAA/NWS/NCEP/MMAB 2019. Available online: https://www.researchgate.net/publication/336069899_User_manual_and_system_documentation_of_WAVEWATCH_III_R_version_607 (accessed on 18 December 2020).
- Snyder, R.L.; Dobson, F.W.; Elliott, J.A.; Long, R.B. Array measurements of atmospheric pressure fluctuations above surface gravity waves. J. Fluid Mech. 1981, 102, 1–59. [Google Scholar] [CrossRef]
- Komen, G.J.; Hasselmann, S.; Hasselmann, K. On the existence of a fully developed wind-sea spectrum. J. Phys. Oceanogr. 1984, 14, 1271–1285. [Google Scholar] [CrossRef]
- WAMDIG. The WAM model—A third generation ocean wave prediction model. J. Phys. Oceanogr. 1988, 18, 1775–1810. [Google Scholar] [CrossRef]
- Rogers, W.E.; Babanin, A.V.; Wang, D.W. Observation consistent input and white capping dissipation in a model for wind generated surface waves: Description and simple calculations. J. Atmos. Ocean. Technol. 2012, 29, 1329–1346. [Google Scholar] [CrossRef]
- Zieger, S.; Babanin, A.V.; Rogers, W.E.; Young, I.R. Observation based source terms in the third-generation wave model WAVEWATCH. Ocean Mod. 2015, 96, 2–25. [Google Scholar] [CrossRef]
- Hasselmann, S.; Hasselmann, K. Computations and parameterizations of the nonlinear energy transfer in a gravity-wave spectrum, Part I: A new method for efficient computations of the exact nonlinear transfer integral. J. Phys. Oceanogr. 1985, 15, 1369–1377. [Google Scholar] [CrossRef]
- Hasselmann, K.; Barnett, T.P.; Bouws, E.; Carlson, H.; Cartwright, D.E.; Enke, K.; Ewing, J.A.; Gienapp, H.; Hasselmann, D.E.; Kruseman, P.; et al. Measurements of wind-wave growth and swell decay during the Joint North Sea Wave Project (JONSWAP), Erganzungsheft zur Deutschen Hydrographischen Zeitschrift. Reihe A 1973, 8, 12. [Google Scholar]
- Myslenkov, S.; Arkhipkin, V.; Koltermann, K. Evaluation of swell height in the Barents and White Seas. Mosc. Univ. Bull. Ser. 5 Geogr. 2015, 5, 59–66. [Google Scholar]
- Saha, S.; Moorthi, S.; Pan, H.L.; Wu, X.; Wang, J.; Nadiga, S.; Goldberg, M. The NCEP climate forecast system reanalysis. Bull. Am. Meteorol. Soc. 2010, 91, 1015–1057. [Google Scholar] [CrossRef]
- Saha, S.; Moorthi, S.; Wu, X.; Wang, J.; Nadiga, S.; Tripp, P.; Becker, E. The NCEP Climate Forecast System Version 2. J. Clim. 2014, 27, 2185–2208. [Google Scholar] [CrossRef]
- Myslenkov, S.; Markina, M.; Arkhipkin, V.; Tilinina, N. Frequency of storms in the Barents Sea under modern climate conditions. Vestnik Moskovskogo Universiteta Seriya 5 Geografiya 2019, 2, 45–54. [Google Scholar]
- Myslenkov, S.A.; Markina, M.Y.; Kiseleva, S.V.; Stoliarova, E.V.; Arkhipkin, V.S.; Umnov, P.M. Estimation of Available Wave Energy in the Barents Sea. Therm. Eng. 2018, 65, 411–419. [Google Scholar] [CrossRef]
- Myslenkov, S.; Medvedeva, A.; Arkhipkin, V.; Markina, M.; Surkova, G.; Krylov, A.; Dobrolyubov, S.; Zilitinkevich, S.; Koltermann, P. Long-term statistics of storms in the Baltic, Barents and White Seas and their future climate projections. Geogr. Environ. Sustain. 2018, 11, 93–112. [Google Scholar] [CrossRef]
- Sawaragi, T. (Ed.) Coastal Engineering—Waves, Beaches, Wave-Structure Interactions; Elsevier: Amsterdam, The Netherlands, 1995; Volume 78, pp. 1–479. [Google Scholar]
- Lopatoukhin, L.; Rozhkov, V.; Ryabinin, V.; Swail, V.; Boukhanovsky, A.; Degtyarev, A. Estimation of Extreme Wind Wave Heights; JCOMM Technical Report WMO/TD-No. 1041; WMO & IOC: Geneva, Switzerland, 2000. [Google Scholar]
- Atlas of Hydrometeorological and Ice Conditions of the Seas of the Russian Arctic; Neftyanoe khozyaistvo: Moscow, Rrussia, 2015; 128 p.
- Ribal, A.; Young, I.R. 33 years of globally calibrated wave height and wind speed data based on altimeter observations. Sci. Data 2019, 6, 77. [Google Scholar] [CrossRef] [PubMed]
- Cavalieri, D.; Parkinson, C. Arctic sea ice variability and trends, 1979–2010. Cryosphere 2012, 6, 881–889. [Google Scholar] [CrossRef]
- Comiso, J.; Meier, W.; Gersten, R. Variability and trends in the Arctic Sea ice cover: Results from different techniques. J. Geophys. Res. Oceans 2017, 122, 6883–6900. [Google Scholar] [CrossRef]
- Maslanik, J.; Stroeve, J.; Fowler, C.; Emery, W. Distribution and trends in Arctic sea ice age through spring 2011. Geophys. Res. Lett. 2011, 38, L13502. [Google Scholar] [CrossRef]
- Cook, N. Towards better estimation of wind speeds. J. Wind Eng. Ind. Aerodyn. 1982, 9, 295–323. [Google Scholar] [CrossRef]
- Taleb, N.N. Black swans and the domains of statistics. Am. Stat. 2007, 198–200. [Google Scholar] [CrossRef]
- Sornette, D. Dragon-kings, black swans and the prediction of crises. Int. J. Terrasp. Sci. Eng. 2009, 2, 1–18. [Google Scholar] [CrossRef]
- Kislov, A.; Platonov, V. Analysis of observed and modelled near-surface wind extremes over the sub-arctic northeast Pacific. Atmos. Clim. Sci. 2019, 9, 146–158. [Google Scholar] [CrossRef][Green Version]
- Kislov, A.; Matveeva, T. An extreme value analysis of wind speed over the European and Siberian parts of Arctic region. Atmos. Clim. Sci. 2016, 6, 205–223. [Google Scholar] [CrossRef][Green Version]
- Platonov, V.; Kislov, A. Spatial distribution of extreme wind speeds statistics over the Sakhalin island based on observations and high-resolution modelling data. In Proceedings of the IOP Conference Series, International Young Scientists School and Conference on Computational Information Technologies for Environmental Sciences, Moscow, Russia, 27 May–6 June 2019; p. 386. [Google Scholar] [CrossRef]
- Bühler, O. Large deviation theory and extreme waves. In Proceedings of the Aha Hulikoa Hawaiian Winter Workshop University of Hawaii, Manoa, HI, USA, 23–26 January 2007; pp. 9–18. [Google Scholar]
- Janssen, P.; Abdalla, S.; Hersbsch, H.; Bidlot, J.-R. Error estimation of buoy, satellite, and model wave height data. J. Atm. Ocean. Tech. 2006, 24, 1665. [Google Scholar] [CrossRef]
- Chiranjivi, J.; Saurabh, B.; Sai Krishnaveni, A.; Neethu Chacko, V.M.; Chowdary, D.; Dutta, K.H.; Rao, C.B.; Dutt, S.; Sharma, J.R.; Dadhwal, V.K. Evaluation of SARAL/AltiKa measured significant wave height and wind speed in the Indian ocean region. J. Indian Soc. Rem. Sens. 2016, 44, 225–231. [Google Scholar]
- Taylor, P.K.; Yelland, M.J. The dependence of sea surface roughness on the height and steepness of the waves. J. Phys. Ocean. 2001, 31, 572–590. [Google Scholar] [CrossRef]
- Yang, X.; Yuan, X.; Ting, M. Dynamical link between the Barents-Kara sea ice and the Arctic Oscillation. J. Clim. 2016, 29, 5103–5122. [Google Scholar] [CrossRef]
















| Sat/Parameter | R | Bias, m | RMSE, m | SI | N | Years |
|---|---|---|---|---|---|---|
| ST1 | ||||||
| Cryosat | 0.89 | −0.07 | 0.39 | 0.3 | ~83,000 | 2010–2017 |
| Saral | 0.92 | 0.05 | 0.32 | 0.24 | ~74,000 | 2013–2017 |
| Sentinel | 0.91 | 0.07 | 0.37 | 0.27 | ~34,000 | 2016–2017 |
| ST6 | ||||||
| Cryosat | 0.89 | −0.03 | 0.38 | 0.28 | ~83,000 | 2010–2017 |
| Saral | 0.93 | 0.11 | 0.33 | 0.24 | ~74,000 | 2013–2017 |
| Sentinel | 0.92 | 0.14 | 0.37 | 0.26 | ~34,000 | 2016–2017 |
Publisher’s Note: MDPI stays neutral with regard to jurisdictional claims in published maps and institutional affiliations. |
© 2021 by the authors. Licensee MDPI, Basel, Switzerland. This article is an open access article distributed under the terms and conditions of the Creative Commons Attribution (CC BY) license (http://creativecommons.org/licenses/by/4.0/).
Share and Cite
Myslenkov, S.; Platonov, V.; Kislov, A.; Silvestrova, K.; Medvedev, I. Thirty-Nine-Year Wave Hindcast, Storm Activity, and Probability Analysis of Storm Waves in the Kara Sea, Russia. Water 2021, 13, 648. https://doi.org/10.3390/w13050648
Myslenkov S, Platonov V, Kislov A, Silvestrova K, Medvedev I. Thirty-Nine-Year Wave Hindcast, Storm Activity, and Probability Analysis of Storm Waves in the Kara Sea, Russia. Water. 2021; 13(5):648. https://doi.org/10.3390/w13050648
Chicago/Turabian StyleMyslenkov, Stanislav, Vladimir Platonov, Alexander Kislov, Ksenia Silvestrova, and Igor Medvedev. 2021. "Thirty-Nine-Year Wave Hindcast, Storm Activity, and Probability Analysis of Storm Waves in the Kara Sea, Russia" Water 13, no. 5: 648. https://doi.org/10.3390/w13050648
APA StyleMyslenkov, S., Platonov, V., Kislov, A., Silvestrova, K., & Medvedev, I. (2021). Thirty-Nine-Year Wave Hindcast, Storm Activity, and Probability Analysis of Storm Waves in the Kara Sea, Russia. Water, 13(5), 648. https://doi.org/10.3390/w13050648

